Real-Time Operational Trial of Atmosphere–Ocean–Wave Coupled Model for Selected Tropical Cyclones in 2024
Abstract
1. Introduction
2. The Atmosphere–Ocean–Wave Coupled Model
3. The Selected TC Cases in 2024
4. Track Forecast Verification
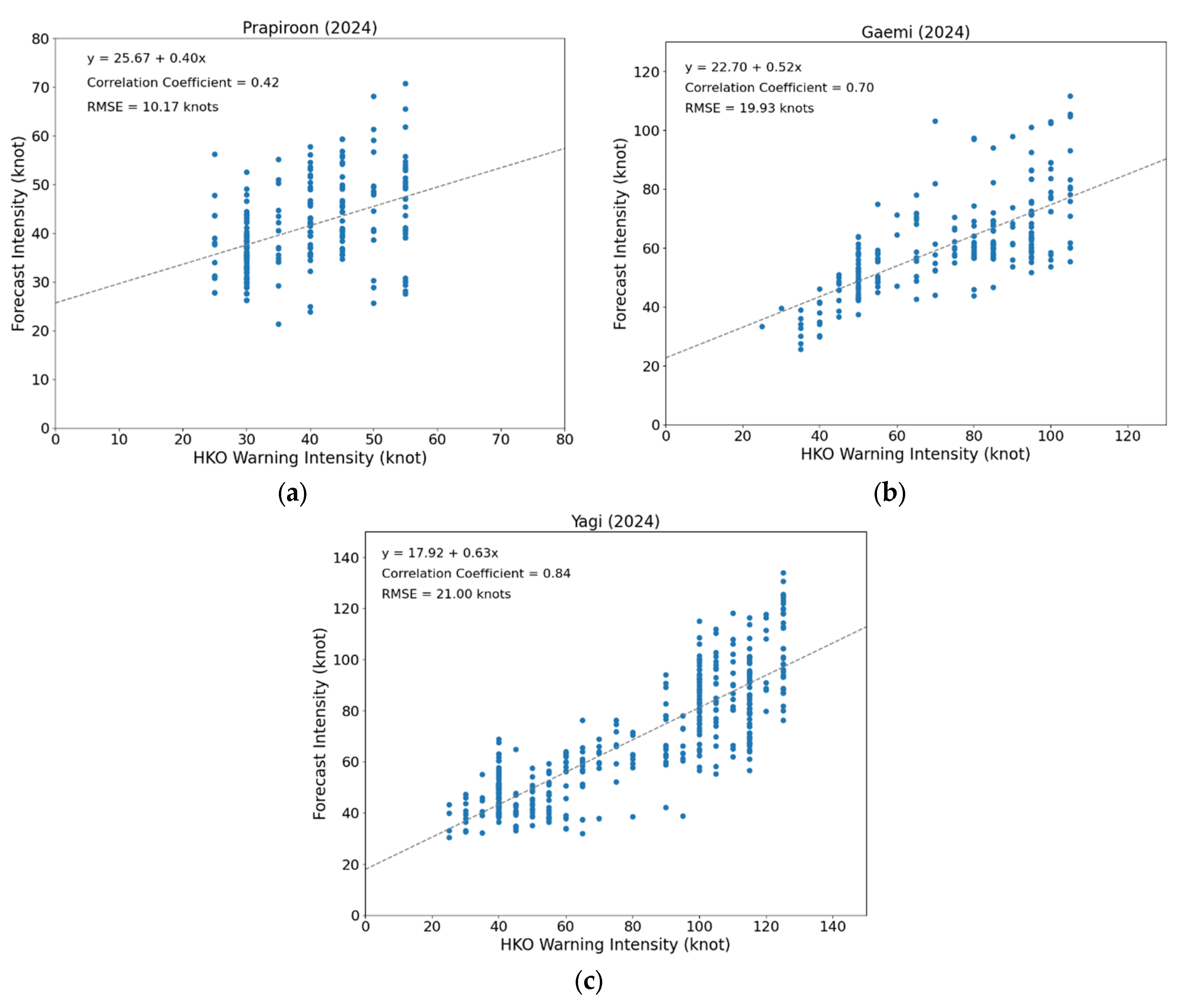
5. Intensity Forecast Verification
6. Comparison with Observations from Weather Buoy and SAR
7. Conclusions
Supplementary Materials
Author Contributions
Funding
Institutional Review Board Statement
Informed Consent Statement
Data Availability Statement
Conflicts of Interest
References
- Salisbury, D.; Mogensen, K.; Balsamo, G. Use of In Situ Observations to Verify the Diurnal Cycle of Sea Surface Temperature in ECMWF Coupled Model Forecasts. ECMWF Technical Memoranda, 2018, Number 826. Available online: https://www.ecmwf.int/en/elibrary/80917-use-situ-observations-verify-diurnal-cycle-sea-surface-temperature-ecmwf-coupled (accessed on 5 December 2024).
- Thompson, B.; Sanchez, C.; Heng, B.C.P.; Kumar, R.; Liu, J.; Huang, X.; Tkalich, P. Development of an atmosphere-ocean coupled operational forecast model for the Maritime Continent: Part 1—Evaluation of ocean forecasts. Geosci. Model Dev. 2020, 14, 1081–1100. [Google Scholar] [CrossRef]
- Wei, J.; Zhang, F.; Richter, J.H.; Alexander, M.J.; Sun, Y.Q. Global Distributions of Tropospheric and Stratospheric Gravity Wave Momentum Fluxes Resolved by the 9-km ECMWF Experiments. J. Atmos. Sci. 2022, 79, 2621–2644. [Google Scholar] [CrossRef]
- Mehra, A.; Tallapragada, V.; Zhang, Z.; Liu, B.; Zhu, L.; Wang, W.; Kim, H.S. Advancing the State of the Art in Operational Tropical Cyclone Forecasting at Ncep. Trop. Cyclone Res. Rev. 2018, 7, 51–56. [Google Scholar]
- Hon, K.K. Tropical cyclone track prediction using a large-area WRF model at the Hong Kong Observatory. Trop. Cyclone Res. Rev. 2020, 9, 67–74. [Google Scholar] [CrossRef]
- Judt, F.; Chen, S.S.; Curcic, M. Atmospheric forcing of the upper ocean transport in the Gulf of Mexico: From seasonal to diurnal scales. J. Geophys. Res. Ocean. 2016, 121, 4416–4433. [Google Scholar] [CrossRef]
- Wu, Z.; Jiang, C.; Chen, J.; Long, Y.; Deng, B.; Liu, X. Three-Dimensional Temperature Field Change in the South China Sea during Typhoon Kai-Tak (1213) Based on a Fully Coupled Atmosphere–Wave–Ocean Model. Water 2019, 11, 140. [Google Scholar] [CrossRef]
- Kerns, B.W.; Chen, S.S. Compound Effects of Rain, Storm Surge, and River 1 Discharge on Coastal Flooding during Hurricane Irene and Tropical Storm Lee (2011) in the Mid-Atlantic Region: Coupled Atmosphere-Wave-Ocean Model Simulation and Observations. Nat. Hazards 2023, 116, 693–726. [Google Scholar] [CrossRef]
- Pun, I.F.; Chan, J.C.L.; Lin, I.I.; Chan, K.T.F.; Price, J.F.; Ko, D.S.; Lien, C.C.; Wu, Y.L.; Huang, H.C. Rapid Intensification of Typhoon Hato (2017) over Shallow Water. Sustainability 2019, 11, 3709. [Google Scholar] [CrossRef]
- Zhang, Y.; Han, S. Response of Cyclonic Eddies to Typhoon Surigae and Their Weakening Effect on the Kuroshio Current in theWestern North Pacific Ocean. J. Mar. Sci. Eng. 2024, 12, 1202. [Google Scholar] [CrossRef]
- Lau, D.S.; Chan, W.S.; Wong, Y.C.; Lam, C.C.; Chan, P.W. Hindcast insights from storm surge forecasting of Super Typhoon Saola (2309) in Hong Kong with the Sea, Lake and Overland Surges from Hurricanes Model. Atmosphere 2024, 15, 17. [Google Scholar] [CrossRef]
- Chen, S.S.; Curcic, M. Ocean surface waves in Hurricane Ike (2008) and Superstorm Sandy (2012): Coupled model predictions and observations. Ocean. Model. 2016, 103, 161–176. [Google Scholar] [CrossRef]
- Li, Z.; Tam, C.Y.; Li, Y.; Lau, N.C.; Chen, J.; Chan, S.T.; Lau, D.S.; Huang, Y. How does air-sea wave interaction affect tropical cyclone intensity? An atmosphere-wave-ocean coupled model study based on super typhoon Mangkhut (2018). Earth Space Sci. 2022, 9, e2021EA002136. [Google Scholar] [CrossRef]
- Zhang, R.; Huangfu, J.; Hu, T. Dynamic mechanism for the evolution and rapid intensification of Typhoon Hato (2017). Atmos. Sci. Lett. 2019, 20, e930. [Google Scholar] [CrossRef]
- Kerns, B.W.; Chen, S.S. Impacts of Precipitation-Evaporation-Salinity Coupling on Upper Ocean Stratification and Momentum Over the Tropical Pacific Prior to Onset of the 2018 El Niño. Ocean. Model. 2021, 168, 101892. [Google Scholar] [CrossRef]
- Mogensen, K.S.; Magnusson, L.; Bidlot, J.R.; Tropical Cyclone Sensitivity to Ocean Coupling. ECMWF Technical Memoranda, 2017, Number 794. Available online: https://www.ecmwf.int/en/elibrary/80419-tropical-cyclone-sensitivity-ocean-coupling (accessed on 5 December 2024).
- Lee, C.Y.; Chen, S.S. Stable Boundary Layer and Its Impact on Tropical Cyclone Structure in a Coupled Atmosphere–Ocean Model. Mon. Weather. Rev. 2014, 142, 1927–1944. [Google Scholar] [CrossRef]
- DeMaria, M.; Franklin, J.L.; Onderlinde, M.J.; Kaplan, J. Operational Forecasting of Tropical Cyclone Rapid Intensification at the National Hurricane Center. Atmosphere 2021, 12, 683. [Google Scholar] [CrossRef]
- Skamarock, W.C.; Klemp, J.B.; Dudhia, J.; Gill, D.O.; Barker, D.M.; Duda, M.G.; Huang, X.Y.; Wang, W.; Powers, J.G. A Description of the Advanced Research WRF Version 3. NCAR Tech. Note 2008, 475, 10–5065. [Google Scholar] [CrossRef]
- Metzger, E.J.; Hogan, P.J.; Wallcraft, A.; Hurlburt, H.E.; Chassignet, E.P.; Smedstad, O.M. Basin-scale ocean prediction with the HYbrid Coordinate Ocean Model. In Proceedings of the 2003 User Group Conference, Bellevue, WA, USA, 9–13 June 2003. [Google Scholar] [CrossRef]
- Magnusson, L.; Doyle, J.D.; Komaromi, W.A.; Torn, R.D.; Tang, C.K.; Chan, J.C.L.; Yamaguchi, M.; Zhang, F. Advances in understanding difficult cases of tropical cyclone track forecasts. Trop. Cyclone Res. Rev. 2019, 8, 109–122. [Google Scholar] [CrossRef]
- Hsu, L.H.; Su, S.H.; Fovell, R.G.; Kuo, H.C. On Typhoon Track Deflections near the East Coast of Taiwan. Mon. Weather. Rev. 2018, 146, 1495–1510. [Google Scholar] [CrossRef]
- Luo, C.; Shang, S.; Xie, Y.; He, Z.; Wei, G.; Zhang, F.; Wang, L.; Li, X. Effects of Terrain near Taiwan Island on Typhoons with Different Tracks and Typhoon Waves. Water 2023, 15, 3661. [Google Scholar] [CrossRef]
- Lin, Y.L.; Savage, L.C., III. Effects of Landfall Location and the Approach Angle of a Cyclone Vortex Encountering a Mesoscale Mountain Range. J. Atmos. Sci. 2011, 68, 2095–2106. [Google Scholar] [CrossRef]
- Xu, W.; Qi, L.; Du, Y.; Xia, L. Analysis on Abnormal Tropical Cyclone Track Forecast Error of Ecmwf-Ifs in the Western North Pacific. Trop. Cyclone Res. Rev. 2016, 5, 12–22. [Google Scholar]
- Heming, J.T.; Prates, F.; Bender, M.A.; Bowyer, R.; Cangialosi, J.; Caroff, P.; Coleman, T.; Doyle, J.D.; Dube, A.; Faure, G.; et al. Review of Recent Progress in Tropical Cyclone Track Forecasting and Expression of Uncertainties. Trop. Cyclone Res. Rev. 2019, 8, 181–218. [Google Scholar] [CrossRef]
- Tang, C.K.; Chan, J.C.L.; Yamaguchi, M. Large tropical cyclone track forecast errors of global numerical weather prediction models in western North Pacific basin. Trop. Cyclone Res. Rev. 2021, 10, 151–169. [Google Scholar] [CrossRef]
- Kotal, S.D.; Bhattacharya, S.K. Impact of evolution of initial conditions in tropical cyclone forecasting. Nat. Hazards 2023, 115, 807–837. [Google Scholar] [CrossRef]
- Rivin, G.S.; Rozinkina, I.A.; Vil’fand, R.M.; Kiktev, D.B.; Tudrii, K.O.; Blinov, D.V.; Varentsov, M.I.; Zakharchenko, D.I.; Samsonov, T.E.; Repina, I.A.; et al. Development of the High-resolution Operational System for Numerical Prediction of Weather and Severe Weather Events for the Moscow Region. Russ. Meteorol. Hydrol. 2020, 45, 455–465. [Google Scholar] [CrossRef]
- Lo, K.W.; Chan, P.W.; Lai, K.K. Observations and Simulations of the Winds at a Bridge in Hong Kong during Two Tropical Cyclone Events in 2023. Appl. Sci. 2024, 14, 7789. [Google Scholar] [CrossRef]
- Sandery, P.A.; Sakov, P. Ocean forecasting of mesoscale features can deteriorate by increasing model resolution towards the submesoscale. Nat. Commun. 2017, 8, 1566. [Google Scholar] [CrossRef]
- Mullen, S.L.; Buizza, R. The Impact of Horizontal Resolution and Ensemble Size on Probabilistic Forecasts of Precipitation by the ECMWF Ensemble Prediction System. Weather. Forecast. 2002, 17, 173–191. [Google Scholar] [CrossRef]
- Polichtchouk, I.; Mogensen, K.; Hadade, I.; Hatfield, S.; Anantharaj, V. Greater Atmospheric Resolution Improves Prediction of Tropical Cyclones, 2022, ECMWF Newsletter Number 172. Available online: https://www.ecmwf.int/en/newsletter/172/news/greater-atmospheric-resolution-improves-prediction-tropical-cyclones#:~:text=Greater%20atmospheric%20resolution%20improves%20prediction%20of%20tropical%20cyclones,-Inna%20Polichtchouk%2C%20Kristian&text=Coupled%20simulations%20reveal%20that%20increasing,predictions%20of%20tropical%20cyclone%20intensity (accessed on 5 December 2024).
- Zhang, Z.; Wang, W.; Doyle, J.D.; Moskaitis, J.; Komaromi, W.A.; Heming, J.; Magnuson, L.; Cangialosi, J.P.; Cowan, L.; Brennan, M.; et al. A review of recent advances (2018–2021) on tropical cyclone intensity change from operational perspectives, part 1: Dynamical model guidance. Trop. Cyclone Res. Rev. 2023, 12, 30–49. [Google Scholar] [CrossRef]
- Li, Y.; Tang, Y.; Toumi, R.; Wang, S. Revisiting the Definition of Rapid Intensification of Tropical Cyclones by Clustering the Initial Intensity and Inner-Core Size. JGR Atmos. 2022, 12, e2022JD036870. [Google Scholar] [CrossRef]
- Tam, H.F.; Choy, C.W.; Wong, W.K. Development of objective forecast guidance on tropical cyclone rapid intensity change. Meteorol. Appl. 2021, 28, e1981. [Google Scholar] [CrossRef]







| Model | T + 0 | T + 12 | T + 24 | T + 36 | T + 48 | T + 60 | T + 72 | T + 84 | T + 96 | ||||||||||||||||||
|---|---|---|---|---|---|---|---|---|---|---|---|---|---|---|---|---|---|---|---|---|---|---|---|---|---|---|---|
| DPE | ATE | CTE | DPE | ATE | CTE | DPE | ATE | CTE | DPE | ATE | CTE | DPE | ATE | CTE | DPE | ATE | CTE | DPE | ATE | CTE | DPE | ATE | CTE | DPE | ATE | CTE | |
| UWIN-CM | 34 | 16 | 4 | 43 | 8 | 8 | 57 | 2 | 18 | 75 | −11 | 38 | 99 | −3 | 41 | 126 | 6 | 38 | 134 | −20 | 51 | 192 | −56 | 47 | 251 | −143 | 100 |
| AAMC WRF | 57 | −9 | 16 | 57 | −18 | 25 | 76 | −41 | 30 | 106 | −52 | 51 | 110 | −49 | 38 | 121 | −45 | 16 | 134 | −48 | 36 | ||||||
| HKO mEPS | 63 | −18 | −4 | 82 | −49 | 21 | 114 | −59 | 34 | 140 | −73 | 39 | 163 | −94 | 32 | 203 | −139 | 51 | 245 | −172 | 81 | ||||||
| TRAMS | 44 | 10 | 8 | 48 | −1 | 21 | 60 | −4 | 23 | 82 | −14 | 26 | 121 | −62 | 54 | 147 | −81 | 55 | 192 | −117 | 81 | 239 | −134 | 99 | 352 | −183 | 104 |
Disclaimer/Publisher’s Note: The statements, opinions and data contained in all publications are solely those of the individual author(s) and contributor(s) and not of MDPI and/or the editor(s). MDPI and/or the editor(s) disclaim responsibility for any injury to people or property resulting from any ideas, methods, instructions or products referred to in the content. |
© 2024 by the authors. Licensee MDPI, Basel, Switzerland. This article is an open access article distributed under the terms and conditions of the Creative Commons Attribution (CC BY) license (https://creativecommons.org/licenses/by/4.0/).
Share and Cite
Lai, S.K.; Chan, P.W.; He, Y.; Chen, S.S.; Kerns, B.W.; Su, H.; Mo, H. Real-Time Operational Trial of Atmosphere–Ocean–Wave Coupled Model for Selected Tropical Cyclones in 2024. Atmosphere 2024, 15, 1509. https://doi.org/10.3390/atmos15121509
Lai SK, Chan PW, He Y, Chen SS, Kerns BW, Su H, Mo H. Real-Time Operational Trial of Atmosphere–Ocean–Wave Coupled Model for Selected Tropical Cyclones in 2024. Atmosphere. 2024; 15(12):1509. https://doi.org/10.3390/atmos15121509
Chicago/Turabian StyleLai, Sin Ki, Pak Wai Chan, Yuheng He, Shuyi S. Chen, Brandon W. Kerns, Hui Su, and Huisi Mo. 2024. "Real-Time Operational Trial of Atmosphere–Ocean–Wave Coupled Model for Selected Tropical Cyclones in 2024" Atmosphere 15, no. 12: 1509. https://doi.org/10.3390/atmos15121509
APA StyleLai, S. K., Chan, P. W., He, Y., Chen, S. S., Kerns, B. W., Su, H., & Mo, H. (2024). Real-Time Operational Trial of Atmosphere–Ocean–Wave Coupled Model for Selected Tropical Cyclones in 2024. Atmosphere, 15(12), 1509. https://doi.org/10.3390/atmos15121509

