An Evaluation of the Sensitivity of a Source Term Estimation Methodology of Sensor Configuration in an Urban-like Environment
Abstract
1. Introduction
2. Methodology
2.1. Bayesian Inference
2.2. Source–Receptor Relationship
2.3. Sampling Algorithm
2.4. Case Study Description
2.4.1. Michelstadt Wind Tunnel Experiment
2.4.2. Release Scenarios
2.5. Model and Method Evaluation
2.5.1. Wind Flow Evaluation
2.5.2. Forward Dispersion Model Evaluation
- Fraction within a factor of two, :
- Fraction within a factor of four, :
- Normalized mean squared error, :
- Fractional bias, :
- Geometric mean, :
- Geometric variance, :
2.5.3. STE Evaluation
2.6. Sensors Analysis
2.7. Numerical Simulation Settings
2.8. Metropolis–Hastings MCMC Settings
3. Results
3.1. Wind Field Results
3.2. Forward Dispersion Model Results
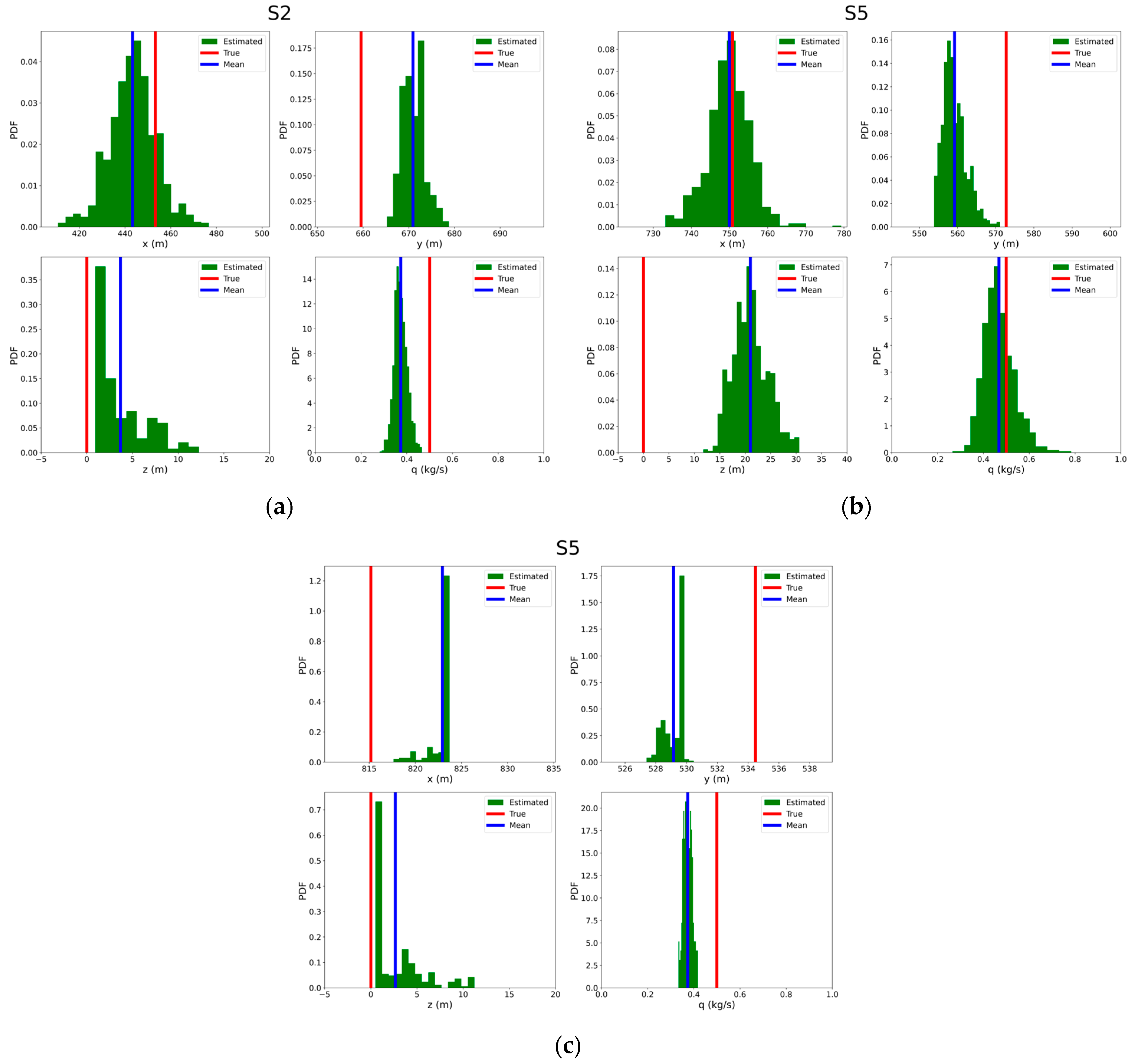
3.3. STE Results
3.4. Sensitivity on Sensors Configuration
4. Discussion
5. Conclusions
- A stationary source,
- A non-reactive, passive pollutant,
- Steady meteorological conditions with a single wind direction,
- Neutral stability conditions without thermal effects.
- Complex geometries that represent real urban environments,
- Highly accurate pollutant concentration measurements obtained from a robust wind tunnel experiment,
- Various release scenarios with different source location characteristics and sensor networks,
- Realistic scenarios with varying levels of agreement between forward-modelled and observed concentrations,
- A sensor configuration analysis based on STE algorithm solutions.
Author Contributions
Funding
Institutional Review Board Statement
Informed Consent Statement
Data Availability Statement
Acknowledgments
Conflicts of Interest
References
- Vlachokostas, C.; Banias, G.; Athanasiadis, A.; Achillas, C.; Akylas, V.; Moussiopoulos, N. Cense: A Tool to Assess Combined Exposure to Environmental Health Stressors in Urban Areas. Environ. Int. 2014, 63, 1–10. [Google Scholar] [CrossRef]
- Sofia, D.; Giuliano, A.; Gioiella, F.; Barletta, D.; Poletto, M. Modeling of an Air Quality Monitoring Network with High Space-Time Resolution. In Computer Aided Chemical Engineering; Elsevier: Amsterdam, The Netherlands, 2018; Volume 43, pp. 193–198. [Google Scholar]
- Ioannidis, G.; Tremper, P.; Li, C.; Riedel, T.; Rapkos, N.; Boikos, C.; Ntziachristos, L. Integrating Cost-Effective Measurements and CFD Modeling for Accurate Air Quality Assessment. Atmosphere 2024, 15, 1056. [Google Scholar] [CrossRef]
- Tarantola, A. Inverse Problem Theory and Methods for Model Parameter Estimation; Society for Industrial and Applied Mathematics: Philadelphia, PA, USA, 2005. [Google Scholar]
- Pudykiewicz, J.A. Application of Adjoint Tracer Transport Equations for Evaluating Source Parameters. Atmos. Environ. 1998, 32, 3039–3050. [Google Scholar] [CrossRef]
- Kobayashi, T.; Nagai, H.; Chino, M.; Kawamura, H. Source Term Estimation of Atmospheric Release Due to the Fukushima Dai-Ichi Nuclear Power Plant Accident by Atmospheric and Oceanic Dispersion Simulations: Fukushima NPP Accident Related. J. Nucl. Sci. Technol. 2013, 50, 255–264. [Google Scholar] [CrossRef]
- Terada, H.; Katata, G.; Chino, M.; Nagai, H. Atmospheric Discharge and Dispersion of Radionuclides during the Fukushima Dai-Ichi Nuclear Power Plant Accident. Part II: Verification of the Source Term and Analysis of Regional-Scale Atmospheric Dispersion. J. Environ. Radioact. 2012, 112, 141–154. [Google Scholar] [CrossRef] [PubMed]
- Katata, G.; Ota, M.; Terada, H.; Chino, M.; Nagai, H. Atmospheric Discharge and Dispersion of Radionuclides during the Fukushima Dai-Ichi Nuclear Power Plant Accident. Part I: Source Term Estimation and Local-Scale Atmospheric Dispersion in Early Phase of the Accident. J. Environ. Radioact. 2012, 109, 103–113. [Google Scholar] [CrossRef] [PubMed]
- Gkirmpas, P.; Tsegas, G.; Ioannidis, G.; Vlachokostas, C.; Moussiopoulos, N. Identification of an Unknown Stationary Emission Source in Urban Geometry Using Bayesian Inference. Atmosphere 2024, 15, 871. [Google Scholar] [CrossRef]
- Xue, F.; Kikumoto, H.; Li, X.; Ooka, R. Bayesian Source Term Estimation of Atmospheric Releases in Urban Areas Using LES Approach. J. Hazard. Mater. 2018, 349, 68–78. [Google Scholar] [CrossRef] [PubMed]
- Tominaga, Y.; Stathopoulos, T. CFD Modeling of Pollution Dispersion in Building Array: Evaluation of Turbulent Scalar Flux Modeling in RANS Model Using LES Results. J. Wind. Eng. Ind. Aerodyn. 2012, 104–106, 484–491. [Google Scholar] [CrossRef]
- Jia, H.; Kikumoto, H. Source Term Estimation in Complex Urban Environments Based on Bayesian Inference and Unsteady Adjoint Equations Simulated via Large Eddy Simulation. Build. Environ. 2021, 193, 107669. [Google Scholar] [CrossRef]
- Hutchinson, M.; Oh, H.; Chen, W.H. A Review of Source Term Estimation Methods for Atmospheric Dispersion Events Using Static or Mobile Sensors. Inf. Fusion 2017, 36, 130–148. [Google Scholar] [CrossRef]
- Singh, S.K.; Rani, R. Assimilation of Concentration Measurements for Retrieving Multiple Point Releases in Atmosphere: A Least-Squares Approach to Inverse Modelling. Atmos. Environ. 2015, 119, 402–414. [Google Scholar] [CrossRef]
- Thomson, L.C.; Hirst, B.; Gibson, G.; Gillespie, S.; Jonathan, P.; Skeldon, K.D.; Padgett, M.J. An Improved Algorithm for Locating a Gas Source Using Inverse Methods. Atmos. Environ. 2007, 41, 1128–1134. [Google Scholar] [CrossRef]
- Haupt, S.E.; Young, G.S.; Allen, C.T. Validation of a Receptor–Dispersion Model Coupled with a Genetic Algorithm Using Synthetic Data. J. Appl. Meteorol. Climatol. 2006, 45, 476–490. [Google Scholar] [CrossRef]
- Allen, C.T.; Young, G.S.; Haupt, S.E. Improving Pollutant Source Characterization by Better Estimating Wind Direction with a Genetic Algorithm. Atmos. Environ. 2007, 41, 2283–2289. [Google Scholar] [CrossRef]
- Ma, D.; Tan, W.; Zhang, Z.; Hu, J. Parameter Identification for Continuous Point Emission Source Based on Tikhonov Regularization Method Coupled with Particle Swarm Optimization Algorithm. J. Hazard. Mater. 2017, 325, 239–250. [Google Scholar] [CrossRef] [PubMed]
- Wang, Y.; Chen, B.; Zhu, Z.; Wang, R.; Chen, F.; Zhao, Y.; Zhang, L. A Hybrid Strategy on Combining Different Optimization Algorithms for Hazardous Gas Source Term Estimation in Field Cases. Process Saf. Environ. Prot. 2020, 138, 27–38. [Google Scholar] [CrossRef]
- Efthimiou, G.C.; Kovalets, I.V.; Venetsanos, A.; Andronopoulos, S.; Argyropoulos, C.D.; Kakosimos, K. An Optimized Inverse Modelling Method for Determining the Location and Strength of a Point Source Releasing Airborne Material in Urban Environment. Atmos. Environ. 2017, 170, 118–129. [Google Scholar] [CrossRef]
- Keats, A.; Yee, E.; Lien, F.-S. Bayesian Inference for Source Determination with Applications to a Complex Urban Environment. Atmos. Environ. 2007, 41, 465–479. [Google Scholar] [CrossRef]
- Wawrzynczak, A.; Kopka, P.; Borysiewicz, M. Sequential Monte Carlo in Bayesian Assessment of Contaminant Source Localization Based on the Sensors Concentration Measurements. In Parallel Processing and Applied Mathematics, Proceedings of the 10th International Conference, PPAM 2013, Warsaw, Poland, 8–11 September 2013, Revised Selected Papers, Part II 10; Springer: Berlin/Heidelberg, Germany, 2014; pp. 407–417. [Google Scholar]
- Robins, P.; Rapley, V.E.; Green, N. Realtime Sequential Inference of Static Parameters with Expensive Likelihood Calculations. J. R. Stat. Soc. Ser. C Appl. Stat. 2009, 58, 641–662. [Google Scholar] [CrossRef]
- Rajaona, H.; Septier, F.; Armand, P.; Delignon, Y.; Olry, C.; Albergel, A.; Moussafir, J. An Adaptive Bayesian Inference Algorithm to Estimate the Parameters of a Hazardous Atmospheric Release. Atmos. Environ. 2015, 122, 748–762. [Google Scholar] [CrossRef]
- Metropolis, N.; Rosenbluth, A.W.; Rosenbluth, M.N.; Teller, A.H.; Teller, E. Equation of State Calculations by Fast Computing Machines. J. Chem. Phys. 1953, 21, 1087–1092. [Google Scholar] [CrossRef]
- Gilks, W.R.; Richardson, S.; Spiegelhalter, D. Markov Chain Monte Carlo in Practice, 1st ed.; Chapman and Hall/CRC: New York, NY, USA, 1995. [Google Scholar] [CrossRef]
- Yee, E. Probability Theory as Logic: Data Assimilation for Multiple Source Reconstruction. Pure Appl. Geophys. 2012, 169, 499–517. [Google Scholar] [CrossRef]
- Ryan, S.D.; Arisman, C.J. Uncertainty Quantification of Steady and Transient Source Term Estimation in an Urban Environment. Environ. Fluid Mech. 2021, 21, 713–740. [Google Scholar] [CrossRef]
- Storwald, D.P. Detailed Test Plan for the Fusing Sensor Information from Observing Networks (Fusion) Field Trial (FFT-07); US Army Tech. Rep. WDTC-TP-07-078; U.S. Army Dugway Proving Ground WDTC: Salt Lake, UT, USA, 2007. [Google Scholar]
- Allwine, K.J.; Leach, M.J.; Stockham, L.W.; Shinn, J.S.; Hosker, R.P.; Bowers, J.F.; Pace, J.C. J7. 1 Overview of Joint Urban 2003–An Atmospheric Dispersion Study in Oklahoma City; NARAC—Lawrence Livermore National Laboratory: Livermore, CA, USA, 2004. [Google Scholar]
- Biltoft, C.A. Customer Report for Mock Urban Setting Test. DPG Document No. WDTC-FR-01-121; DTC Project No. 8-CO-160-000-052; Dugway Proving Ground: Salt Lake, UT, USA, 2001. [Google Scholar]
- Yee, E.; Biltoft, C.A. Concentration Fluctuation Measurements in a Plume Dispersing through a Regular Array of Obstacles. Bound. Layer Meteorol. 2004, 111, 363–415. [Google Scholar] [CrossRef]
- Platt, N.; DeRiggi, D. Comparative Investigation of Source Term Estimation Algorithms Using Fusion Field Trial 2007 Data: Linear Regression Analysis. Int. J. Environ. Pollut. 2012, 48, 13–21. [Google Scholar] [CrossRef]
- Singh, S.K.; Turbelin, G.; Issartel, J.-P.; Kumar, P.; Feiz, A.A. Reconstruction of an Atmospheric Tracer Source in Fusion Field Trials: Analyzing Resolution Features. J. Geophys. Res. Atmos. 2015, 120, 6192–6206. [Google Scholar] [CrossRef]
- Kumar, P.; Feiz, A.-A.; Singh, S.K.; Ngae, P.; Turbelin, G. Reconstruction of an Atmospheric Tracer Source in an Urban-like Environment. J. Geophys. Res. Atmos. 2015, 120, 12589–12604. [Google Scholar] [CrossRef]
- Kumar, P.; Singh, S.K.; Feiz, A.A.; Ngae, P. An Urban Scale Inverse Modelling for Retrieving Unknown Elevated Emissions with Building-Resolving Simulations. Atmos. Environ. 2016, 140, 135–146. [Google Scholar] [CrossRef]
- Singh, S.K.; Rani, R. A Least-Squares Inversion Technique for Identification of a Point Release: Application to Fusion Field Trials 2007. Atmos. Environ. 2014, 92, 104–117. [Google Scholar] [CrossRef]
- Zhang, H.L.; Li, B.; Shang, J.; Wang, W.W.; Zhao, F.Y. Source Term Estimation for Continuous Plume Dispersion in Fusion Field Trial-07: Bayesian Inference Probability Adjoint Inverse Method. Sci. Total Environ. 2024, 915, 169802. [Google Scholar] [CrossRef] [PubMed]
- Bezpalcova, K.; Harms, F. EWTL Data Report/Part I: Summarized Test Description Mock Urban Setting Test; Environmental Wind Tunnel Laboratory, Centre for Marine and Atmospheric Research, University of Hamburg: Hamburg, Germany, 2005. [Google Scholar]
- Fischer, R.; Bastigkeit, I.; Leitl, B.; Schatzmann, M. Generation of Spatio-Temporally High Resolved Datasets for the Validation of LES-Models Simulating Flow and Dispersion Phenomena within the Lower Atmospheric Boundary Layer. In Proceedings of the 5th International Symposium on Computational Wind Engineering (CWE2010), Chapel Hill, NC, USA, 23–27 May 2010. [Google Scholar]
- Bastigkeit, I. Erzeugung von Validierungsdaten für Wirbelauflösende Mikroskalige Strömungs-und Ausbreitungsmodelle; Staats-und Universitätsbibliothek Hamburg Carl von Ossietzky: Hamburg, Germany, 2011. [Google Scholar]
- Baumann-Stanzer, K.; Andronopoulos, S.; Armand, P.; Berbekar, E.; Efthimiou, G.; Fuka, V.; Gariazzo, C.; Gasparac, G.; Harms, F.; Hellsten, A.; et al. COST ES1006 Model Evaluation Case Studies: Approach and Results; COST Action ES1006; COST|European Cooperation in Science and Technology: Brussels, Belgium, 2015. [Google Scholar]
- Kovalets, I.V.; Andronopoulos, S.; Venetsanos, A.G.; Bartzis, J.G. Identification of Strength and Location of Stationary Point Source of Atmospheric Pollutant in Urban Conditions Using Computational Fluid Dynamics Model. Math. Comput. Simul. 2011, 82, 244–257. [Google Scholar] [CrossRef]
- Kovalets, I.V.; Efthimiou, G.C.; Andronopoulos, S.; Venetsanos, A.G.; Argyropoulos, C.D.; Kakosimos, K.E. Inverse Identification of Unknown Finite-Duration Air Pollutant Release from a Point Source in Urban Environment. Atmos. Environ. 2018, 181, 82–96. [Google Scholar] [CrossRef]
- Efthimiou, G.C.; Kovalets, I.V.; Argyropoulos, C.D.; Venetsanos, A.; Andronopoulos, S.; Kakosimos, K.E. Evaluation of an Inverse Modelling Methodology for the Prediction of a Stationary Point Pollutant Source in Complex Urban Environments. Build. Environ. 2018, 143, 107–119. [Google Scholar] [CrossRef]
- Dong, J.; Du, W.; Wang, B.; Cao, C.; Chen, S.; Xu, Q. Impact Analysis of Multi-Sensor Layout on the Source Term Estimation of Hazardous Gas Leakage. J. Loss Prev. Process Ind. 2021, 73, 104579. [Google Scholar] [CrossRef]
- Budde, M.; Riedel, T.; Beigl, M.; Schäfer, K.; Emeis, S.; Cyrys, J.; Schnelle-Kreis, J.; Philipp, A.; Ziegler, V.; Grimm, H.; et al. SmartAQnet: Remote and in-Situ Sensing of Urban Air Quality. In Proceedings of the Remote Sensing of Clouds and the Atmosphere XXII, Warsaw, Poland, 12–14 September 2017; Volume 10424, pp. 19–26. [Google Scholar]
- Cheng, K.; Zhao, X.; Zhou, W.; Cao, Y.; Yang, S.H.; Chen, J. Source Term Estimation with Deficient Sensors: Traceability and an Equivalent Source Approach. Process Saf. Environ. Prot. 2021, 152, 131–139. [Google Scholar] [CrossRef]
- Ngae, P.; Kouichi, H.; Kumar, P.; Feiz, A.-A.; Chpoun, A. Optimization of an Urban Monitoring Network for Emergency Response Applications: An Approach for Characterizing the Source of Hazardous Releases. Q. J. R. Meteorol. Soc. 2019, 145, 967–981. [Google Scholar] [CrossRef]
- Jia, H.; Kikumoto, H. Sensor Configuration Optimization Based on the Entropy of Adjoint Concentration Distribution for Stochastic Source Term Estimation in Urban Environment. Sustain. Cities Soc. 2022, 79, 103726. [Google Scholar] [CrossRef]
- Liu, Z.; Li, X. A New Sensor Configuration Design Method for Source Term Estimation in Urban Neighborhood with Complex Conditions under Different Wind Directions. Build. Environ. 2024, 252, 111210. [Google Scholar] [CrossRef]
- Yee, E.; Hoffman, I.; Ungar, K. Bayesian Inference for Source Reconstruction: A Real-World Application. Int. Sch. Res. Not. 2014, 2014, 507634. [Google Scholar] [CrossRef]
- Xue, F.; Li, X.; Ooka, R.; Kikumoto, H.; Zhang, W. Turbulent Schmidt Number for Source Term Estimation Using Bayesian Inference. Build. Environ. 2017, 125, 414–422. [Google Scholar] [CrossRef]
- Tolias, I.C.; Koutsourakis, N.; Hertwig, D.; Efthimiou, G.C.; Venetsanos, A.G.; Bartzis, J.G. Large Eddy Simulation Study on the Structure of Turbulent Flow in a Complex City. J. Wind. Eng. Ind. Aerodyn. 2018, 177, 101–116. [Google Scholar] [CrossRef]
- Trini Castelli, S.; Armand, P.; Tinarelli, G.; Duchenne, C.; Nibart, M. Validation of a Lagrangian Particle Dispersion Model with Wind Tunnel and Field Experiments in Urban Environment. Atmos. Environ. 2018, 193, 273–289. [Google Scholar] [CrossRef]
- Hertwig, D.; Efthimiou, G.C.; Bartzis, J.G.; Leitl, B. CFD-RANS Model Validation of Turbulent Flow in a Semi-Idealized Urban Canopy. J. Wind. Eng. Ind. Aerodyn. 2012, 111, 61–72. [Google Scholar] [CrossRef]
- Schatzmann, M.; Olesen, H.R.; Franke, J. COST 732 Model Evaluation Case Studies: Approach and Results; COST Office: Brussels, Belgium, 2010. [Google Scholar]
- Environmental Meteorology–Prognostic Micro-Scale Wind Field Models–Evaluation for Flow Around Buildings and Obstacles. In VDI Guideline 3783 Part 9; Beuth Verlag GmbH: Berlin, Germany, 2005.
- Chang, J.C.; Hanna, S.R. Air Quality Model Performance Evaluation. Meteorol. Atmos. Phys. 2004, 87, 167–196. [Google Scholar] [CrossRef]
- Hanna, S.R.; Hansen, O.R.; Dharmavaram, S. FLACS CFD Air Quality Model Performance Evaluation with Kit Fox, MUST, Prairie Grass, and EMU Observations. Atmos. Environ. 2004, 38, 4675–4687. [Google Scholar] [CrossRef]
- Hanna, S.R.; Chang, J. Setting Acceptance Criteria for Air Quality Models. In Air Pollution Modeling and its Application XXI; Springer: Dordrecht, The Netherlands, 2012; pp. 479–484. [Google Scholar]
- Henry, F.; Bonifacio, R.G.M.; Glasgow, L.A. Numerical Simulation of Transport of Particles Emitted From Ground-Level Area Source Using Aermod and CFD. Eng. Appl. Comput. Fluid Mech. 2014, 8, 488–502. [Google Scholar] [CrossRef]
- Tominaga, Y.; Stathopoulos, T. Turbulent Schmidt Numbers for CFD Analysis with Various Types of Flowfield. Atmos. Environ. 2007, 41, 8091–8099. [Google Scholar] [CrossRef]
- Wang, X.; McNamara, K.F. Evaluation of CFD Simulation Using RANS Turbulence Models for Building Effects on Pollutant Dispersion. Environ. Fluid Mech. 2006, 6, 181–202. [Google Scholar] [CrossRef]
- Richards, P.J.; Hoxey, R.P. Appropriate Boundary Conditions for Computational Wind Engineering Models Using the K-ε Turbulence Model. In Computational Wind Engineering 1, Proceedings of the 1st International Symposium on Computational Wind Engineering (CWE 92), Tokyo, Japan, 21–23 August 1992; Elsevier: Amsterdam, The Netherlands, 2014; pp. 145–153. [Google Scholar] [CrossRef]
- Ioannidis, G.; Li, C.; Tremper, P.; Riedel, T.; Ntziachristos, L. Application of CFD Modelling for Pollutant Dispersion at an Urban Traffic Hotspot. Atmosphere 2024, 15, 113. [Google Scholar] [CrossRef]














| Hit Rate | ||
|---|---|---|
| Measurement Points | ||
| 0.173 | 0.274 | |
| 0.489 | 0.450 | |
| 0.984 | 0.770 | |
| 1.000 | 0.890 | |
| all locations | 0.535 | 0.501 |
| Release Scenario | ||||||
|---|---|---|---|---|---|---|
| S2 | 0.73 | 0.90 | 0.53 | 0.16 | 1.05 | 1.79 |
| S4 | 0.48 | 0.64 | 11.80 | 0.62 | 2.45 | 27.33 |
| S5 | 0.45 | 0.77 | 3.26 | 0.19 | 1.70 | 4.14 |
| All | 0.63 | 0.81 | 7.11 | 0.34 | 1.45 | 4.25 |
| Case | Source | (m) | (m) | (m) | (kg/s) | (m) | (m) | (-) |
|---|---|---|---|---|---|---|---|---|
| S2 | True Estimated | 453.28 | 659.56 | 0.0 | 0.5 | 15.12 | 3.69 | 1.35 |
| 443.29 | 670.91 | 3.69 | 0.37 | |||||
| S4 | True Estimated | 750.78 | 572.77 | 0.0 | 0.5 | 13.61 | 21.01 | 1.06 |
| 749.93 | 559.19 | 21.01 | 0.47 | |||||
| S5 | True Estimated | 815.18 | 534.47 | 0.0 | 0.5 | 9.39 | 2.64 | 1.35 |
| 822.93 | 529.16 | 2.64 | 0.37 |
Disclaimer/Publisher’s Note: The statements, opinions and data contained in all publications are solely those of the individual author(s) and contributor(s) and not of MDPI and/or the editor(s). MDPI and/or the editor(s) disclaim responsibility for any injury to people or property resulting from any ideas, methods, instructions or products referred to in the content. |
© 2024 by the authors. Licensee MDPI, Basel, Switzerland. This article is an open access article distributed under the terms and conditions of the Creative Commons Attribution (CC BY) license (https://creativecommons.org/licenses/by/4.0/).
Share and Cite
Gkirmpas, P.; Barmpas, F.; Tsegas, G.; Efthimiou, G.; Tremper, P.; Riedel, T.; Vlachokostas, C.; Moussiopoulos, N. An Evaluation of the Sensitivity of a Source Term Estimation Methodology of Sensor Configuration in an Urban-like Environment. Atmosphere 2024, 15, 1512. https://doi.org/10.3390/atmos15121512
Gkirmpas P, Barmpas F, Tsegas G, Efthimiou G, Tremper P, Riedel T, Vlachokostas C, Moussiopoulos N. An Evaluation of the Sensitivity of a Source Term Estimation Methodology of Sensor Configuration in an Urban-like Environment. Atmosphere. 2024; 15(12):1512. https://doi.org/10.3390/atmos15121512
Chicago/Turabian StyleGkirmpas, Panagiotis, Fotios Barmpas, George Tsegas, George Efthimiou, Paul Tremper, Till Riedel, Christos Vlachokostas, and Nicolas Moussiopoulos. 2024. "An Evaluation of the Sensitivity of a Source Term Estimation Methodology of Sensor Configuration in an Urban-like Environment" Atmosphere 15, no. 12: 1512. https://doi.org/10.3390/atmos15121512
APA StyleGkirmpas, P., Barmpas, F., Tsegas, G., Efthimiou, G., Tremper, P., Riedel, T., Vlachokostas, C., & Moussiopoulos, N. (2024). An Evaluation of the Sensitivity of a Source Term Estimation Methodology of Sensor Configuration in an Urban-like Environment. Atmosphere, 15(12), 1512. https://doi.org/10.3390/atmos15121512

