Projection of Sea Level Change in the South China Sea Based on Dynamical Downscaling
Abstract
:1. Introduction
2. Materials and Methods
2.1. Data
2.1.1. Data of Models in CMIP6
2.1.2. Observation and Reanalysis Data
2.2. Model Configuration
2.3. Methods
2.3.1. SSL
2.3.2. Non-Boussinesq Approximate Sea Level
3. Evaluation and Verification of Model
3.1. Evaluating and Verifying the CMIP6 Models
3.2. Validation of ROMS
4. Results and Discussions
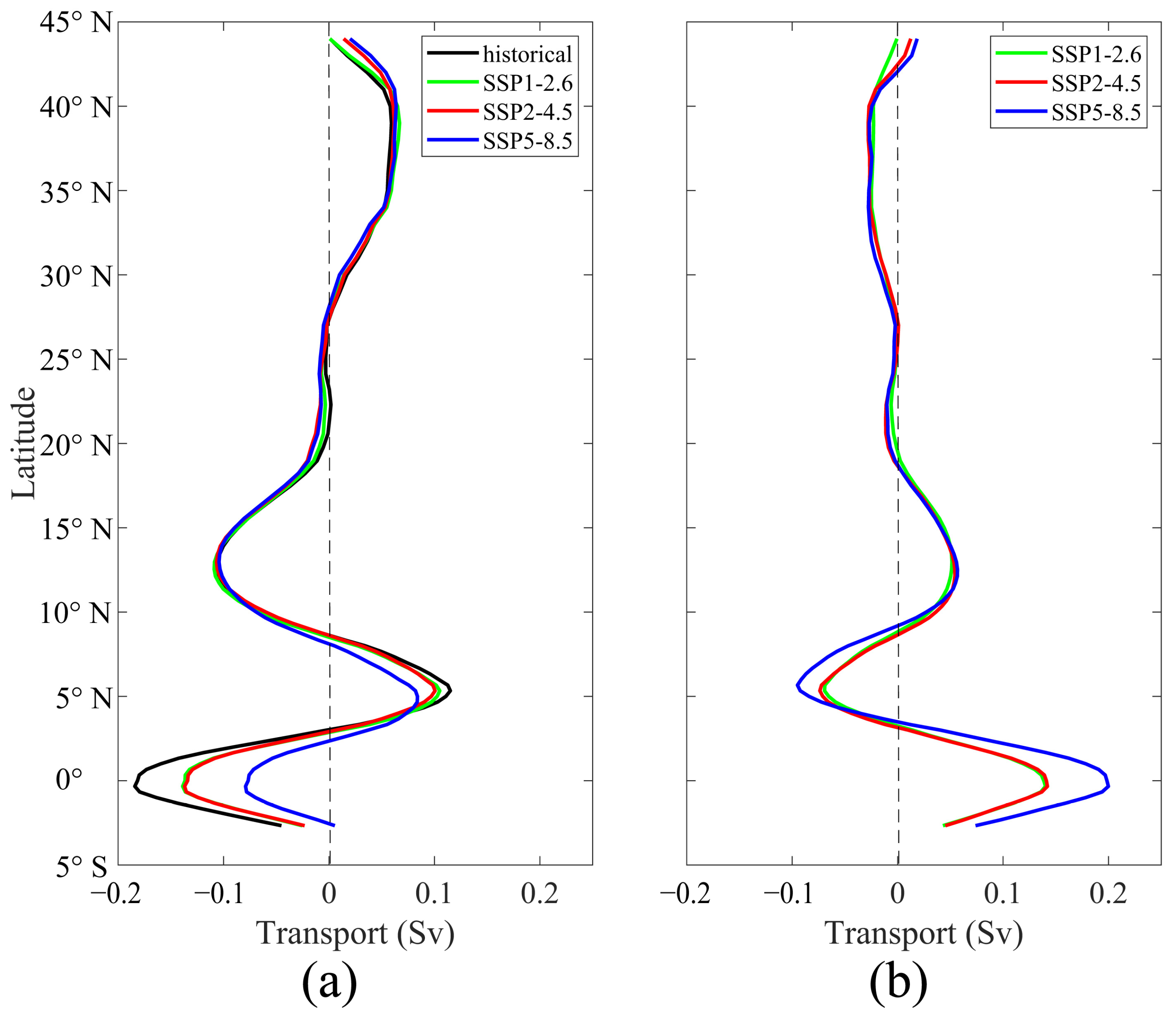
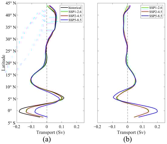
4.1. DSL Changes in the SCS
4.2. Local SSL Changes in the SCS
5. Conclusions
Author Contributions
Funding
Institutional Review Board Statement
Informed Consent Statement
Data Availability Statement
Acknowledgments
Conflicts of Interest
References
- Peltier, W.R.; Tushingham, A.M. Global Sea Level Rise and the Greenhouse Effect: Might They Be Connected? Science 1989, 244, 806–810. [Google Scholar] [CrossRef]
- Cazenave, A.; Cozannet, G.L. Sea level rise and its coastal impacts. Earths Future 2013, 2, 15–34. [Google Scholar] [CrossRef]
- IPCC. Climate Change 2013: The Physical Science Basis. Contribution of Working Group I to the Fifth Assessment Report of the Intergovernmental Panel on Climate Change; Stocker, T.F., Qin, D., Plattner, G.-K., Tignor, M., Allen, S.K., Boschung, J., Nauels, A., Xia, Y., Bex, V., Midgley, P.M., Eds.; Cambridge University Press: Cambridge, UK; New York, NY, USA, 2013; pp. 1–1535. [Google Scholar]
- IPCC. Climate Change 2021: The Physical Science Basis. Contribution of Working Group I to the Sixth Assessment Report of the Intergovernmental Panel on Climate Change; Masson-Delmotte, V., Zhai, P., Pirani, A., Connors, S.L., Péan, C., Berger, S., Caud, N., Chen, Y., Goldfarb, L., Gomis, M.I., Eds.; Cambridge University Press: Cambridge, UK; New York, NY, USA, 2021; in press. [Google Scholar]
- Cazenave, A.; Moreira, L. Contemporary sea-level changes from global to local scales: A review. Proc. R. Soc. A 2022, 478, 20220049. [Google Scholar] [CrossRef]
- Gregory, J.M.; Griffies, S.M.; Hughes, C.W.; Hughes, C.W.; Lowe, J.A.; Church, J.A.; Fukimori, I.; Gomez, N.; Kopp, R.E.; Landerer, F.; et al. Concepts and Terminology for Sea Level: Mean, Variability and Change, Both Local and Globa. Surv. Geophys. 2019, 40, 1251–1289. [Google Scholar] [CrossRef]
- Stammer, D.; Cazenave, A.; Ponte, R.M.; Tamisiea, M.E. Causes for Contemporary Regional Sea Level Changes. Annu. Rev. Mar. Sci. 2013, 5, 21–46. [Google Scholar] [CrossRef] [PubMed]
- Church, J.A.; White, N.J.; Konikow, L.F.; Domingues, C.M.; Cogley, J.G.; Rignot, E.; Gregory, J.M.; van den Broeke, M.R.; Monaghan, A.J.; Velicogna, I. Revisiting the Earth’s sea-level and energy budgets from 1961 to 2008. Geophys. Res. Lett. 2011, 38, L18601. [Google Scholar] [CrossRef]
- Yan, M.; Zuo, J.; Fu, S.; Chen, M.; Cao, Y. Advances on sea level variation research in global and China sea. Mar. Environ. Res. 2008, 27, 197–200. [Google Scholar]
- Zhang, J.; Zuo, J.; Li, J.; Chen, M. Sea level viarations in the South China Sea during the 21st century under RCP4.5. Acta. Oceanol. Sin. 2014, 36, 21–29. [Google Scholar] [CrossRef]
- Brown, S.; Nicholls, R.J.; Lowe, J.A.; Hinkel, J. Spatial variations of sea-level rise and impacts: An application of DIVA. Clim. Chang. 2016, 134, 403–416. [Google Scholar] [CrossRef]
- Hallegatte, S.; Green, C.; Nicholls, R.J.; Corfee-Morlot, J. Future flood losses in major coastal cities. Nat. Clim. Change 2013, 3, 802–806. [Google Scholar] [CrossRef]
- Hermans, T.H.J.; Gregory, J.M.; Palmer, M.D.; Ringer, M.A.; Katsman, C.A.; Slangen, A.B.A. Projecting global mean sea-level change using CMIP6 models. Geophys. Res. Lett. 2021, 48, e2020GL092064. [Google Scholar] [CrossRef]
- Yin, J. Century to multi-century sea level rise projections from CMIP5 models. Geophys. Res. Lett. 2012, 39, L17709. [Google Scholar] [CrossRef]
- Zuo, J.; Zuo, C.; Li, J.; Chen, M.X. Advances in research on sea level variations in China from 2006 to 2015. J. Hohai Univ. 2015, 43, 442–449. [Google Scholar] [CrossRef]
- Liu, R.; Liu, X.D.; Liu, H. Projection of the 21st century sea level change in East China Sea and South China Sea based on CMIP5 model results. J. Earth. Environ. 2020, 11, 412–428. [Google Scholar] [CrossRef]
- Chen, C.; Wang, G.; Yan, Y.; Luo, Y. Projected sea level rise on the continental shelves of the China Seas and the dominance of mass contribution. Environ. Res. Lett. 2021, 16, 64040. [Google Scholar] [CrossRef]
- Huang, C.; Qiao, F. Sea level rise projection in the South China Sea from CMIP5 models. Acta Oceanol. Sin. 2015, 34, 31–41. [Google Scholar] [CrossRef]
- Jin, Y.; Zhang, X.; Church, J.A.; Bao, X.W. Projected sea-level changes in the marginal seas near China based on dynamical downscaling. J. Clim. 2021, 34, 7037–7055. [Google Scholar] [CrossRef]
- Griffies, S.M.; Danabasoglu, G.; Durack, P.J.; Adcroft, A.J.; Balaji, V.; Böning, C.W.; Chassignet, E.P.; Curchitser, E.; Deshayes, J.; Drange, H.; et al. OMIP contribution to CMIP6: Experimental and diagnostic protocol for the physical component of the Ocean Model Intercomparison Project. Geosci. Model. Dev. 2016, 9, 3231–3296. [Google Scholar] [CrossRef]
- Jevrejeva, S.; Palanisamy, H.; Jackson, L.P. Global mean thermosteric sea level projections by 2100 in CMIP6 climate models. Environ. Res. Lett. 2020, 16, 14028. [Google Scholar] [CrossRef]
- Fowler, H.J.; Blenkinsop, S.; Tebaldi, C. Linking climate change modelling to impacts studies: Recent advances in downscaling techniques for hydrological modelling. Int. J. Climatol. 2007, 27, 1547–1578. [Google Scholar] [CrossRef]
- Wang, J.; Church, J.A.; Zhang, X.; Chen, X. Reconciling global mean and regional sea level change in projections and observations. Nat. Commun. 2021, 12, 990. [Google Scholar] [CrossRef]
- Grose, M.R.; Narsey, S.; Delage, F.P.; Dowdy, A.J.; Bador, M.; Boschat, G.; Chung, C.; Kajtar, J.B.; Rauniyar, S.; Freund, M.B.; et al. Insights from CMIP6 for Australia’s future climate. Earths Future 2020, 8, e2019EF001469. [Google Scholar] [CrossRef]
- Lyu, K.; Zhang, X.; Church, J.A.; Hu, J. Evaluation of the interdecadal variability of sea surface temperature and sea level in the Pacific in CMIP3 and CMIP5 models. Int. J. Climatol. 2016, 36, 3723–3740. [Google Scholar] [CrossRef]
- Seo, G.H.; Cho, Y.K.; Choi, B.J.; Kim, K.Y.; Kim, B.; and Tak, Y. Climate change projection in the Northwest Pacific marginal seas through dynamic downscaling. J. Geophys. Res. Ocean. 2014, 119, 3497–3516. [Google Scholar] [CrossRef]
- Kim, Y.; Kim, B.; Jeong, K.Y.; Lee, E.; Byun, D.; Cho, Y. Local Sea-Level Rise Caused by Climate Change in the Northwest Pacific Marginal Seas Using Dynamical Downscaling. Front. Mar. Sci. 2021, 8, 620570. [Google Scholar] [CrossRef]
- Frederikse, T.; Landerer, F.; Caron, L.; Adhikari, S.; Parkes, D.; Humphrey, V.W.; Dangendorf, S.; Hogarth, P.; Zanna, L.; Cheng, L.; et al. The causes of sea-level rise since 1900. Nature 2020, 584, 393–397. [Google Scholar] [CrossRef] [PubMed]
- Milne, G.A.; Gehrels, W.R.; Hughes, C.; Tamisiea, M.E. Identifying the causes of sea-level change. Nat. Geosci. 2009, 2, 471–478. [Google Scholar] [CrossRef]
- Tabata, S.; Thomas, B.; Ramsden, D. Annual and Interannual Variability of Steric Sea Level along Line P in the Northeast Pacific Ocean. J. Phys. Oceanogr. 1986, 16, 1378–1398. [Google Scholar] [CrossRef]
- Chen, C.; Zuo, J.; Chen, M.; Gao, Z.; SHUM, C. Sea level change under IPCC-A2 scenario in Bohai, Yellow, and East China Seas. Water Sci. Eng. 2014, 7, 446–456. [Google Scholar] [CrossRef]
- ICES; SCOR; IAPSO. Tenth Report of the Join Panel on Oceanographic Tables and Standards (The Practical Salinity Scale 1978 and the International Equation of State of Seawater 1980); UNESCO Technical Papers in Marine Science No. 36: Paris, French, 1981; pp. 1–25. [Google Scholar]
- Antonov, J.I.; Levitus, S.; Boyer, T.P. Thermosteric sea level rise, 1955–2003. Geophys. Res. Lett. 2005, 32, L12602. [Google Scholar] [CrossRef]
- Greatbatch, R.J. A note on the representation of steric sea level in models that conserve volume rather than mass. J. Geophys. Res. 1994, 99, 12767–12771. [Google Scholar] [CrossRef]
- Mellor, G.L.; Ezer, T. Sea level variations induced by heating and cooling: An evaluation of the Boussinesq approximation in ocean models. J. Geophys. Res. Ocean. 1995, 100, 20565. [Google Scholar] [CrossRef]
- Tedeschi, R.G.; Collins, M. The influence of ENSO on South American precipitation: Simulation and projection in CMIP5 models. Int. J. Climatol. 2017, 37, 3319–3339. [Google Scholar] [CrossRef]
- Xu, T.; Cao, Y. Numerical Simulation Study on the Seasonal Variations of Ocean Circulations in the South China Sea. Coast. Eng. 2017, 36, 62–71. [Google Scholar] [CrossRef]
- Maximenko, N.; Niiler, P.; Centurioni, L.; Rio, M.; Melnichenko, O.; Chambers, D.; Zlotnicki, V.; Galperin, B. Mean Dynamic Topography of the Ocean Derived from Satellite and Drifting Buoy Data Using Three Different Techniques. J. Atmos. Ocean. Technol. 2009, 26, 1910–1919. [Google Scholar] [CrossRef]
- Yin, J.; Griffies, S.M.; Stouffer, R.J. Spatial Variability of Sea Level Rise in Twenty-First Century Projections. J. Clim. 2010, 23, 4585–4607. [Google Scholar] [CrossRef]
- Wang, G.; Xie, S.; Huang, R.X.; Chen, C. Robust Warming Pattern of Global Subtropical Oceans and Its Mechanism. J. Clim. 2015, 28, 8574–8584. [Google Scholar] [CrossRef]
- Vousdoukas, M.I.; Mentaschi, L.; Voukouvalas, E.; Verlaan, M.; Jevrejeva, S.; Jackson, L.P.; Feyen, L. Global probabilistic projections of extreme sea levels show intensification of coastal flood hazard. Nat. Commun. 2018, 9, 2360. [Google Scholar] [CrossRef]









| ID | Source | Institution | Atmosphere | Ocean |
|---|---|---|---|---|
| a | ACCESS-CM2 | ACCESS | 250 | 250 |
| b * | BCC-CSM2-MR | BCC | 100 | 100 |
| c | CAMS-CSM1-0 | CAMS | 100 | 100 |
| d * | CanESM5 | CCCma | 500 | 100 |
| e | CESM2 | NCAR | 100 | 100 |
| f | CESM2-WACCM | NCAR | 100 | 100 |
| g * | CMCC-CM2-SR5 | CMCC | 100 | 100 |
| h | CMCC-ESM2 | CMCC | 100 | 100 |
| i * | FGOALS-g3 | CAS | 250 | 100 |
| j | FIO-ESM-2-0 | FIO-QLNM | 100 | 100 |
| k * | GISS-E2-1-G | NASA-GISS | 250 | 250 |
| l * | GISS-E2-2-G | NASA-GISS | 250 | 250 |
| m | MIROC6 | MIROC | 250 | 100 |
| n | MPI-ESM1-2-HR | MPI-M | 100 | 50 |
| o | MPI-ESM1-2-LR | MPI-M | 250 | 250 |
| p | MRI-ESM2-0 | MRI | 100 | 100 |
| q | NESM3 | NUIST | 250 | 100 |
| r | NorESM2-LM | NCC | 250 | 100 |
| s * | NorESM1-MM | NCC | 100 | 100 |
| t | TaiESM1 | AS-RCEC | 100 | 100 |
| v | The average results of 7 models | |||
| w | The average results of 20 models | |||
Disclaimer/Publisher’s Note: The statements, opinions and data contained in all publications are solely those of the individual author(s) and contributor(s) and not of MDPI and/or the editor(s). MDPI and/or the editor(s) disclaim responsibility for any injury to people or property resulting from any ideas, methods, instructions or products referred to in the content. |
© 2023 by the authors. Licensee MDPI, Basel, Switzerland. This article is an open access article distributed under the terms and conditions of the Creative Commons Attribution (CC BY) license (https://creativecommons.org/licenses/by/4.0/).
Share and Cite
Zhang, J.; Ji, Q.; Zuo, J.; Li, J.; Zhang, Z.; Li, H.; Liu, X.; Wang, Z. Projection of Sea Level Change in the South China Sea Based on Dynamical Downscaling. Atmosphere 2023, 14, 1343. https://doi.org/10.3390/atmos14091343
Zhang J, Ji Q, Zuo J, Li J, Zhang Z, Li H, Liu X, Wang Z. Projection of Sea Level Change in the South China Sea Based on Dynamical Downscaling. Atmosphere. 2023; 14(9):1343. https://doi.org/10.3390/atmos14091343
Chicago/Turabian StyleZhang, Jie, Qiyan Ji, Juncheng Zuo, Juan Li, Zheen Zhang, Huan Li, Xing Liu, and Zhizu Wang. 2023. "Projection of Sea Level Change in the South China Sea Based on Dynamical Downscaling" Atmosphere 14, no. 9: 1343. https://doi.org/10.3390/atmos14091343
APA StyleZhang, J., Ji, Q., Zuo, J., Li, J., Zhang, Z., Li, H., Liu, X., & Wang, Z. (2023). Projection of Sea Level Change in the South China Sea Based on Dynamical Downscaling. Atmosphere, 14(9), 1343. https://doi.org/10.3390/atmos14091343

