Quantifying Raindrop Evaporation Deficit in General Circulation Models from Observed and Model Rain Isotope Ratios on the West Coast of India
Abstract
1. Introduction
2. Data and Methods
2.1. Study Area and Choice of GCMs
2.2. Gridded Meteorological Data
2.3. Satellite-Based Vapour Isotope Data
3. Model for Estimation of Raindrop Evaporation Effect
3.1. Rain Forming Processes and Raindrop Isotopic Composition at the Cloud Base Height
3.2. Sub-Cloud Evaporative Exchange
3.3. Uncertainty Calculation by Numerical Quadrature Method
4. Results
5. Discussion
5.1. Comparison between Observed and Model Rain Isotope Values
5.2. Rain Evaporation Estimates and Their Relations with Model Rain Isotope Biases
6. Conclusions and Implications
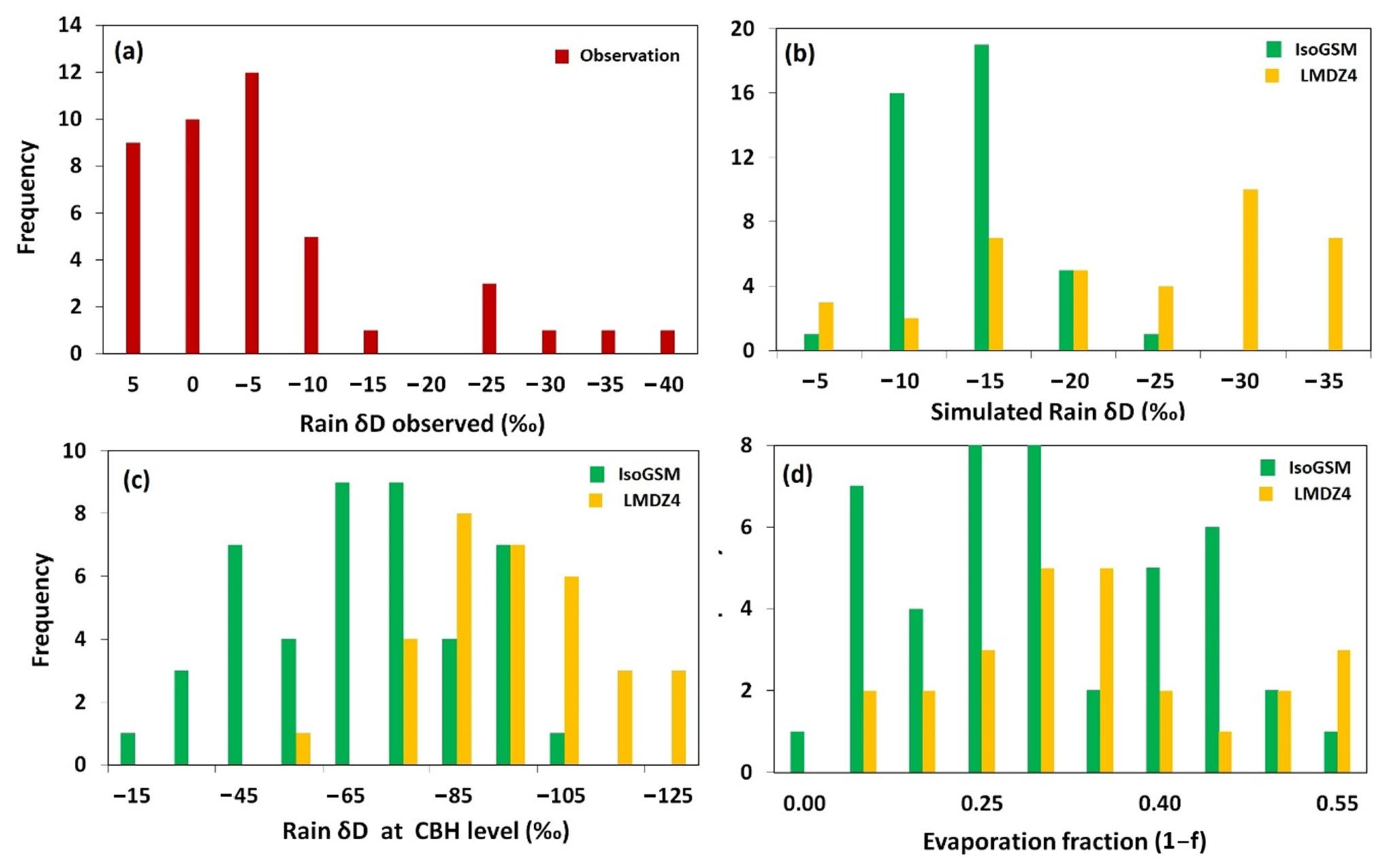
- The rain and vapour isotope simulations of IsoGSM and LMDZ4 models are compared with the observations from Kozhikode (GNIP data). Both models underestimate the long-term mean monsoon rain δD and δ18O values at Kozhikode, on average by 8‰ and 1.0‰ for IsoGSM and 12‰ and 1.4‰ for LMDZ4, respectively. However, the observed variation in rain isotope values (from +5 to −40‰ for δD and −0.6 to −6.7‰ for δ18O) is underestimated in IsoGSM but overestimated in LMDZ4.
- To estimate the magnitude of this underestimation, we first determined the isotope ratios of the accumulated liquid water at the cloud base height (CBH) using the GCMs’ vapour isotope profiles and a simple condensation-accretion process (without any in-cloud modification). Treating this composition as the initial rain isotope composition and the observed values as the final rain composition, we used the Stewart model to estimate the raindrop evaporation fractions on monthly scale.
- The evaporation fraction (1-f) varies from 2% to 56% with a mean of 32% (±12%) for IsoGSM when the fraction is computed from δD values. The same value for the LMDZ4 varies from 10% to 55% with a mean of 34% (±12%). We propose that the lower isotope values simulated by IsoGSM and LMDZ4 are due to lower estimates of evaporation (by about 10%) in those models.
- The evaporation is also calculated using the vapour δ18O profiles for both models. The evaporations required in this case are much less: 18% ± 5% for IsoGSM and 22% ± 8% for LMDZ4. This can be traced to the inconsistency of the adopted δ18O profile compared to that expected from the δD profile. The inconsistency can possibly happen because of the δ18O profile, which cannot be validated against the TES observation.
- To estimate the raindrop evaporation fraction on monthly scale, we rely on the vapour δD profiles obtained from the models. Although vapour δD values for the IsoGSM model reasonably agree with the TES observation on a long-term mean seasonal scale, LMDZ4 shows a significant negative bias. For the same reason, the liquid water compositions at CBH estimated from TES profiles grossly agree with the same obtained from the IsoGSM model (TES: −73.5‰; IsoGSM: −77.7‰). However, the value is much lower—about −112‰ for the LMDZ model. Even with stronger bias in the vapour values, raindrop evaporation fractions estimated by LMDZ4 strongly correlate with rain δD biases, suggesting raindrop evaporation indeed affects the rain isotope simulation.
- Our study region is very close to several climate proxies (speleothem and tree ring) locations in the Western Ghat Mountains. The isotope studies of these proxies provided valuable information on past rainfall variability in centennial scales. The present study shows that a monthly variation in raindrop evaporation fractions strongly affects rain isotope simulation. Therefore, the improvement of evaporation schemes in the GCMs may result in better rain isotope simulation, which would be useful in understanding past atmospheric circulation.
Author Contributions
Funding
Institutional Review Board Statement
Informed Consent Statement
Data Availability Statement
Acknowledgments
Conflicts of Interest
References
- Clark, I.D.; Fritz, P. Environmental Isotopes in Hydrogeology; CRC Press: Boca Raton, FL, USA, 1997; ISBN 1-56670-249-6. [Google Scholar]
- Craig, H.; Gordon, L.I. Deuterium and Oxygen 18 Variations in the Ocean and Marine Atmosphere; Stable Isotopes in Oceanographic Studies and Paleotemperatures: Pisa, Italy, 1965. [Google Scholar]
- Gat, J. Atmospheric Water Balance—The Isotopic Perspective. Hydrol. Process. 2000, 14, 1357–1369. [Google Scholar] [CrossRef]
- Kendall, C.; McDonnell, J.J. Preface. In Isotope Tracers in Catchment Hydrology; Elsevier: Amsterdam, The Netherlands, 1998; pp. vii–ix. ISBN 978-0-444-81546-0. [Google Scholar]
- Kurita, N.; Noone, D.; Risi, C.; Schmidt, G.A.; Yamada, H.; Yoneyama, K. Intraseasonal Isotopic Variation Associated with the Madden-Julian Oscillation. J. Geophys. Res. Atmos. 2011, 116, 1–20. [Google Scholar] [CrossRef]
- Risi, C.; Bony, S.; Vimeux, F.; Jouzel, J. Water-stable Isotopes in the LMDZ4 General Circulation Model: Model Evaluation for Present-day and Past Climates and Applications to Climatic Interpretations of Tropical Isotopic Records. J. Geophys. Res. Atmos. 2010, 115, D12118. [Google Scholar] [CrossRef]
- Yoshimura, K.; Kanamitsu, M.; Noone, D.; Oki, T. Historical Isotope Simulation Using Reanalysis Atmospheric Data. J. Geophys. Res. Atmos. 2008, 113, 2983–2998. [Google Scholar] [CrossRef]
- Hoffmann, G.; Werner, M.; Heimann, M. Water Isotope Module of the ECHAM Atmospheric General Circulation Model: A Study on Timescales from Days to Several Years. J. Geophys. Res. Atmos. 1998, 103, 16871–16896. [Google Scholar] [CrossRef]
- Joussaume, S.; Jouzel, J. Paleoclimatic Tracers: An Investigation Using an Atmospheric General Circulation Model under Ice Age Conditions: 2. Water Isotopes. J. Geophys. Res. Atmos. 1993, 98, 2807–2830. [Google Scholar] [CrossRef]
- Jouzel, J.; Koster, R.; Suozzo, R.; Russell, G.; White, J.; Broecker, W. Simulations of the HDO and H2 18O Atmospheric Cycles Using the NASA GISS General Circulation Model: Sensitivity Experiments for Present-day Conditions. J. Geophys. Res. Atmos. 1991, 96, 7495–7507. [Google Scholar] [CrossRef]
- Noone, D.; Simmonds, I. Associations between Δ18O of Water and Climate Parameters in a Simulation of Atmospheric Circulation for 1979–95. J. Clim. 2002, 15, 3150–3169. [Google Scholar] [CrossRef]
- Delaygue, G.; Jouzel, J.; Dutay, J.-C. Oxygen 18–Salinity Relationship Simulated by an Oceanic General Circulation Model. Earth Planet. Sci. Lett. 2000, 178, 113–123. [Google Scholar] [CrossRef]
- Paul, A.; Mulitza, S.; Pätzold, J.; Wolff, T. Simulation of Oxygen Isotopes in a Global Ocean Model. In Use of Proxies in Paleoceanography: Examples from the South Atlantic; Springer: Berlin/Heidelberg, Germany, 1999; pp. 655–686. ISBN 978-3-642-63681-3. [Google Scholar]
- Schmidt, G.A. Oxygen-18 Variations in a Global Ocean Model. Geophys. Res. Lett. 1998, 25, 1201–1204. [Google Scholar] [CrossRef]
- Schmidt, G.A.; LeGrande, A.N.; Hoffmann, G. Water Isotope Expressions of Intrinsic and Forced Variability in a Coupled Ocean-atmosphere Model. J. Geophys. Res. Atmos. 2007, 112, D10. [Google Scholar] [CrossRef]
- Tindall, J.C.; Valdes, P.J.; Sime, L.C. Stable Water Isotopes in HadCM3: Isotopic Signature of El Nino–Southern Oscillation and the Tropical Amount Effect. J. Geophys. Res. Atmos. 2009, 114, D4. [Google Scholar] [CrossRef]
- Zhou, J.; Poulsen, C.; Pollard, D.; White, T. Simulation of Modern and Middle Cretaceous Marine Δ18O with an Ocean-atmosphere General Circulation Model. Paleoceanography 2008, 23, 3. [Google Scholar] [CrossRef]
- Brázdil, R.; Dobrovolný, P.; Luterbacher, J.; Moberg, A.; Pfister, C.; Wheeler, D.; Zorita, E. European Climate of the Past 500 Years: New Challenges for Historical Climatology. Clim. Change 2010, 101, 7–40. [Google Scholar] [CrossRef]
- Vuille, M.; Burns, S.J.; Taylor, B.L.; Cruz, F.W.; Bird, B.W.; Abbott, M.B.; Kanner, L.C.; Cheng, H.; Novello, V.F. A Review of the South American Monsoon History as Recorded in Stable Isotopic Proxies over the Past Two Millennia. Clim. Past 2012, 8, 1309–1321. [Google Scholar] [CrossRef]
- Braconnot, P.; Harrison, S.P.; Kageyama, M.; Bartlein, P.J.; Masson-Delmotte, V.; Abe-Ouchi, A.; Otto-Bliesner, B.; Zhao, Y. Evaluation of Climate Models Using Palaeoclimatic Data. Nat. Clim. Change 2012, 2, 417–424. [Google Scholar] [CrossRef]
- Harrison, S.; Bartlein, P.; Brewer, S.; Prentice, I.; Boyd, M.; Hessler, I.; Holmgren, K.; Izumi, K.; Willis, K. Climate Model Benchmarking with Glacial and Mid-Holocene Climates. Clim. Dyn. 2014, 43, 671–688. [Google Scholar] [CrossRef]
- Krishnamurthy, V.; Kinter, J.L., III. The Indian Monsoon and Its Relation to Global Climate Variability. In Global Climate: Current Research and Uncertainties in the Climate System; Springer: Berlin/Heidelberg, Germany, 2003; pp. 186–236. ISBN 978-3-662-05285-3. [Google Scholar]
- Gautam, P.K.; Narayana, A.C.; Band, S.T.; Yadava, M.G.; Ramesh, R.; Wu, C.-C.; Shen, C.-C. High-Resolution Reconstruction of Indian Summer Monsoon during the Bølling-Allerød from a Central Indian Stalagmite. Palaeogeogr. Palaeoclimatol. Palaeoecol. 2019, 514, 567–576. [Google Scholar] [CrossRef]
- Yao, T.; Shi, Y.; Thompson, L.G. High Resolution Record of Paleoclimate since the Little Ice Age from the Tibetan Ice Cores. Quat. Int. 1997, 37, 19–23. [Google Scholar] [CrossRef]
- Zhang, Q.; Cheng, G.; Yao, T.; Kang, X.; Huang, J. A 2326-year Tree-ring Record of Climate Variability on the Northeastern Qinghai-Tibetan Plateau. Geophys. Res. Lett. 2003, 30, HLS 2–1. [Google Scholar] [CrossRef]
- Midhun, M.; Ramesh, R. Validation of Δ18O as a Proxy for Past Monsoon Rain by Multi-GCM Simulations. Clim. Dyn. 2016, 46, 1371–1385. [Google Scholar] [CrossRef]
- Nimya, S.; Sengupta, S.; Parekh, A.; Bhattacharya, S.K.; Pradhan, R. Region-Specific Performances of Isotope Enabled General Circulation Models for Indian Summer Monsoon and the Factors Controlling Isotope Biases. Clim. Dyn. 2022, 59, 3599–3619. [Google Scholar] [CrossRef]
- Shi, X.; Risi, C.; Li, L.; Wang, X.; Pu, T.; Zhang, G.; Zhang, Y.; Wang, Z.; Kong, Y. What Controls the Skill of General Circulation Models to Simulate the Seasonal Cycle in Water Isotopic Composition in the Tibetan Plateau Region? J. Geophys. Res. Atmos. 2022, 127, e2022JD037048. [Google Scholar] [CrossRef]
- Graf, P.; Wernli, H.; Pfahl, S.; Sodemann, H. A New Interpretative Framework for Below-Cloud Effects on Stable Water Isotopes in Vapour and Rain. Atmos. Chem. Phys. 2019, 19, 747–765. [Google Scholar] [CrossRef]
- Salamalikis, V.; Argiriou, A.; Dotsika, E. Isotopic Modeling of the Sub-Cloud Evaporation Effect in Precipitation. Sci. Total Environ. 2016, 544, 1059–1072. [Google Scholar] [CrossRef] [PubMed]
- Worden, J.; Noone, D.; Bowman, K. Importance of Rain Evaporation and Continental Convection in the Tropical Water Cycle. Nature 2007, 445, 528–532. [Google Scholar] [CrossRef]
- Stewart, M.K. Stable Isotope Fractionation Due to Evaporation and Isotopic Exchange of Falling Waterdrops: Applications to Atmospheric Processes and Evaporation of Lakes. J. Geophys. Res. 1975, 80, 1133–1146. [Google Scholar] [CrossRef]
- Lekshmy, P.; Midhun, M.; Ramesh, R. Influence of Stratiform Clouds on ΔD and Δ18O of Monsoon Water Vapour and Rain at Two Tropical Coastal Stations. J. Hydrol. 2018, 563, 354–362. [Google Scholar] [CrossRef]
- Risi, C.; Noone, D.; Worden, J.; Frankenberg, C.; Stiller, G.; Kiefer, M.; Funke, B.; Walker, K.; Bernath, P.; Schneider, M. Process-evaluation of Tropospheric Humidity Simulated by General Circulation Models Using Water Vapor Isotopologues: 1. Comparison between Models and Observations. J. Geophys. Res. Atmos. 2012, 117, D5. [Google Scholar] [CrossRef]
- IAEA/WMO Global Network of Isotopes in Precipitation. The GNIP Database. Available online: http://www.iaea.org/water (accessed on 12 June 2018).
- Hersbach, H.; Bell, B.; Berrisford, P.; Hirahara, S.; Horányi, A.; Muñoz-Sabater, J.; Nicolas, J.; Peubey, C.; Radu, R.; Schepers, D. The ERA5 Global Reanalysis. Q. J. R. Meteorol. Soc. 2020, 146, 1999–2049. [Google Scholar] [CrossRef]
- Konwar, M.; Parekh, A.; Goswami, B. Dynamics of East-west Asymmetry of Indian Summer Monsoon Rainfall Trends in Recent Decades. Geophys. Res. Lett. 2012, 39, 10. [Google Scholar] [CrossRef]
- Bavadekar, S.; Mooley, D. Computation of the Average Precipitation over the Western Part of Peninsular India during the Summer Monsoon from the Continuity Equation for Atmospheric Water Vapour. Tellus 1978, 30, 537–541. [Google Scholar] [CrossRef]
- Herman, R.; Cherry, J.; Young, J.; Welker, J.; Noone, D.; Kulawik, S.; Worden, J. Aircraft Validation of Aura Tropospheric Emission Spectrometer Retrievals of HDO/H 2 O. Atmos. Meas. Tech. 2014, 7, 3127–3138. [Google Scholar] [CrossRef]
- Worden, J.; Noone, D.; Galewsky, J.; Bailey, A.; Bowman, K.; Brown, D.; Hurley, J.; Kulawik, S.; Lee, J.; Strong, M. Estimate of Bias in Aura TES HDO/H2O Profiles from Comparison of TES and in Situ HDO/H 2 O Measurements at the Mauna Loa Observatory. Atmos. Chem. Phys. 2011, 11, 4491–4503. [Google Scholar] [CrossRef]
- Lee, J.; Worden, J.; Noone, D.; Bowman, K.; Eldering, A.; LeGrande, A.; Li, J.-L.; Schmidt, G.; Sodemann, H. Relating Tropical Ocean Clouds to Moist Processes Using Water Vapor Isotope Measurements. Atmos. Chem. Phys. 2011, 11, 741–752. [Google Scholar] [CrossRef]
- Konwar, M.; Das, S.; Deshpande, S.; Chakravarty, K.; Goswami, B. Microphysics of Clouds and Rain over the Western Ghat. J. Geophys. Res. Atmos. 2014, 119, 6140–6159. [Google Scholar] [CrossRef]
- Kumar, S.; Bhat, G. Vertical Structure of Orographic Precipitating Clouds Observed over South Asia during Summer Monsoon Season. J. Earth Syst. Sci. 2017, 126, 114. [Google Scholar] [CrossRef]
- Varikoden, H.; Harikumar, R.; Kumar, V.S.; Das, S.M.; Sampath, S.; Kumar, G.M. Properties of Cloud Base Height during Southwest Monsoon Period over a Tropical Station, Thiruvananthapuram. Curr. Sci. 2009, 96, 562–568. [Google Scholar] [CrossRef]
- Pan, L.; Munchak, L. Relationship of Cloud Top to the Tropopause and Jet Structure from CALIPSO Data. J. Geophys. Res. Atmos. 2011, 116, D12. [Google Scholar] [CrossRef]
- Zhang, W.; Xu, G.; Xi, B.; Ren, J.; Wan, X.; Zhou, L.; Cui, C.; Wu, D. Comparative Study of Cloud Liquid Water and Rain Liquid Water Obtained from Microwave Radiometer and Micro Rain Radar Observations over Central China during the Monsoon. J. Geophys. Res. Atmos. 2020, 125, e2020JD032456. [Google Scholar] [CrossRef]
- Srivastava, R.; Ramesh, R.; Rao, T.N. Stable Isotopic Differences between Summer and Winter Monsoon Rains over Southern India. J. Atmos. Chem. 2014, 71, 321–331. [Google Scholar] [CrossRef]
- Horita, J.; Wesolowski, D.J. Liquid-Vapor Fractionation of Oxygen and Hydrogen Isotopes of Water from the Freezing to the Critical Temperature. Geochim. Et Cosmochim. Acta 1994, 58, 3425–3437. [Google Scholar] [CrossRef]
- Craig, H. Isotopic Variations in Meteoric Waters. Science 1961, 133, 1702–1703. [Google Scholar] [CrossRef] [PubMed]
- Rahul, P.; Ghosh, P.; Bhattacharya, S. Rainouts over the Arabian Sea and Western Ghats during Moisture Advection and Recycling Explain the Isotopic Composition of Bangalore Summer Rains. J. Geophys. Res. Atmos. 2016, 121, 6148–6163. [Google Scholar] [CrossRef]








| Months 1 (YYYY-MM) | GNIP | ISOGSM | LMDZ4 | ||||
|---|---|---|---|---|---|---|---|
| 2 Observed Rain δD (‰) | 3 Model Rain δD (‰) | 4 Estimated Rain δD at CBH (‰) | 5 Estimated Rain Evaporation Fraction | 3 Model Rain δD (‰) | 4 Estimated Rain δD at CBH (‰) | 5 Estimated Rain Evaporation Fraction | |
| 1997-06 | −7 | −23 | −47 | 0.27 | −11 | −108 | 0.33 |
| 1997-07 | −14 | −16 | −61 | 0.18 | −33 | −114 | 0.29 |
| 1997-08 | −3 | −13 | −45 | 0.32 | −27 | −106 | 0.36 |
| 1997-09 | −40 | −19 | −92 | 0.12 | 3 | −90 | 0.10 |
| 1998-06 | −6 | −21 | −62 | 0.47 | −51 | −155 | 0.31 |
| 1998-07 | −1 | −11 | −86 | 0.40 | −25 | −103 | 0.47 |
| 1998-08 | −17 | −19 | −98 | 0.21 | −9 | −98 | 0.20 |
| 1998-09 | −8 | −19 | −97 | 0.29 | −13 | −113 | 0.30 |
| 1999-06 | −5 | −14 | −34 | 0.28 | −20 | −104 | 0.40 |
| 1999-07 | −5 | −19 | −70 | 0.35 | −28 | −113 | 0.34 |
| 1999-08 | 4 | −12 | −54 | 0.49 | −16 | −89 | 0.52 |
| 1999-09 | −8 | NA | −77 | 0.32 | NA | −93 | 0.30 |
| 2000-06 | 0 | −16 | −47 | 0.48 | −22 | −109 | 0.54 |
| 2000-07 | 1 | −25 | −57 | 0.44 | −23 | −119 | 0.50 |
| 2000-08 | −9 | −15 | −91 | 0.31 | −16 | −97 | 0.24 |
| 2000-09 | −26 | −29 | −86 | 0.17 | −1 | −83 | 0.14 |
| 2001-06 | 4 | −16 | −57 | 0.52 | −26 | −129 | 0.57 |
| 2001-07 | −2 | −8 | −64 | 0.41 | −50 | −133 | 0.20 |
| 2001-08 | −1 | −17 | −65 | 0.46 | −24 | −83 | 0.27 |
| 2001-09 | −12 | −15 | −67 | 0.19 | 9 | −90 | 0.23 |
| 2002-06 | −39 | −19 | −44 | 0.02 | −16 | −101 | 0.14 |
| 2002-07 | 1 | −11 | −20 | 0.43 | −19 | −96 | 0.43 |
| 2002-08 | 1 | −13 | −44 | 0.56 | −3 | −93 | 0.32 |
| 2002-09 | 2 | −16 | −62 | 0.41 | 6 | −59 | 0.30 |
| 2003-06 | 5 | −19 | −74 | 0.47 | −34 | −112 | 0.51 |
| 2003-07 | −11 | −16 | −90 | −37 | −127 | 0.46 | |
| 2003-08 | 3 | −17 | −64 | 0.44 | −8 | −91 | 0.47 |
| 2003-09 | −8 | −12 | −71 | 0.26 | 3 | −84 | 0.25 |
| 2004-06 | −10 | −14 | −42 | 0.21 | −15 | −112 | 0.40 |
| 2004-07 | −2 | −15 | −69 | 0.50 | −34 | −104 | 0.53 |
| 2004-08 | 3 | −15 | −46 | 0.49 | −25 | −112 | 0.55 |
| 2004-09 | −26 | −24 | −88 | 0.17 | −19 | −119 | 0.19 |
| 2005-06 | −9 | −18 | −54 | 0.22 | −30 | −98 | 0.32 |
| 2005-07 | −11 | −14 | −72 | 0.28 | −52 | −72 | 0.28 |
| 2005-08 | −4 | −15 | −61 | 0.33 | −7 | −84 | 0.27 |
| 2005-09 | −7 | −23 | −78 | 0.25 | 5 | −95 | 0.25 |
| 2006-06 | −7 | −15 | −75 | 0.35 | −20 | −114 | 0.40 |
| 2006-07 | −3 | −11 | −34 | 0.26 | −33 | −93 | 0.38 |
| 2006-08 | −7 | −17 | −72 | 0.34 | −33 | −95 | 0.30 |
| 2006-09 | −30 | −15 | −91 | 0.16 | |||
| 2007-06 | −33 | −16 | −106 | 0.18 | |||
| 2007-07 | −4 | −19 | −77 | 0.32 | |||
| 2007-08 | −10 | −13 | −86 | 0.27 | |||
| 2007−09 | −8 | −90 | 0.34 | ||||
| Average | −8 | −16 | −67 | 0.32 | −20 | −102 | 0.34 |
| Months (YYYY-MM) 1 | GNIP | ISOGSM | LMDZ4 | ||||
|---|---|---|---|---|---|---|---|
| Observed Rain δ18O (‰) 2 | Model Rain δ18O (‰) 3 | Estimated Rain δ18O at CBH (‰) 4 | Estimated Rain Evaporation Fraction 5 | Model Rain δ18O (‰) 3 | Estimated Rain δ18O at CBH (‰) 4 | Estimated Rain Evaporation Fraction 5 | |
| 1997-06 | −1.6 | −4.2 | −8.2 | 0.21 | −2.4 | −13.2 | 0.24 |
| 1997-07 | −3.3 | −3.4 | −9.6 | 0.12 | −5.2 | −14.6 | 0.19 |
| 1997-08 | −1.5 | −3.1 | −7.6 | 0.17 | −4.7 | −14.0 | 0.11 |
| 1997-09 | −6.7 | −3.6 | −13.3 | 0.09 | −0.9 | −12.6 | 0.08 |
| 1998-06 | −2.1 | −3.8 | −9.5 | 0.20 | −6.9 | −9.6 | 0.20 |
| 1998-07 | −1.1 | −2.5 | −12.7 | 0.24 | −4.3 | −13.4 | 0.30 |
| 1998-08 | −3.1 | −3.3 | −14.1 | 0.17 | −2.1 | −13.2 | 0.16 |
| 1998-09 | −2.2 | −3.6 | −14.3 | 0.20 | −2.6 | −15.2 | 0.22 |
| 1999-06 | −1.8 | −3.0 | −6.4 | 0.15 | −4.3 | −12.6 | 0.25 |
| 1999-07 | −2.0 | −3.4 | −10.8 | 0.23 | −4.8 | −14.0 | 0.22 |
| 1999-08 | −0.7 | −2.7 | −8.7 | 0.24 | −3.1 | −11.8 | 0.24 |
| 1999-09 | −2.3 | −11.6 | 0.20 | −12.7 | 0.21 | ||
| 2000-06 | −1.3 | −3.4 | −7.9 | 0.22 | −4.1 | −13.2 | 0.25 |
| 2000-07 | −1.2 | −4.3 | −9.1 | 0.22 | −3.9 | −9.7 | 0.27 |
| 2000-08 | −2.3 | −3.3 | −13.2 | 0.20 | −3.8 | −13.1 | 0.18 |
| 2000-09 | −4.4 | −5.0 | −12.8 | 0.14 | −0.8 | −11.5 | 0.11 |
| 2001-06 | −1.0 | −3.8 | −9.1 | 0.24 | −4.9 | −9.1 | 0.25 |
| 2001-07 | −1.5 | −2.6 | −9.9 | 0.20 | −7.2 | −17.3 | 0.27 |
| 2001-08 | −1.6 | −3.2 | −10.2 | 0.19 | −4.5 | −16.1 | 0.18 |
| 2001-09 | −2.8 | −2.7 | −10.1 | 0.14 | 0.0 | −11.8 | 0.16 |
| 2002-06 | −6.3 | −3.7 | −7.9 | 0.03 | −3.5 | −12.0 | 0.08 |
| 2002-07 | −0.9 | −2.6 | −4.6 | 0.16 | −3.8 | −11.5 | 0.24 |
| 2002-08 | −1.0 | −2.5 | −7.5 | 0.20 | −1.2 | −13.3 | 0.30 |
| 2002-09 | −1.0 | −3.1 | −9.9 | 0.23 | −0.3 | −10.1 | 0.22 |
| 2003-06 | −0.6 | −3.6 | −12.0 | 0.28 | −5.6 | −14.5 | 0.30 |
| 2003-07 | −2.7 | −2.5 | −13.8 | 0.28 | −6.0 | −12.6 | 0.15 |
| 2003-08 | −0.8 | −3.2 | −9.9 | 0.25 | −2.1 | −12.4 | 0.41 |
| 2003-09 | −2.6 | −2.6 | −11.2 | 0.17 | −0.7 | −12.1 | 0.17 |
| 2004-06 | −2.6 | −3.3 | −7.6 | 0.13 | −3.5 | −13.1 | 0.20 |
| 2004-07 | −1.6 | −3.2 | −10.3 | 0.24 | −5.6 | −12.0 | 0.19 |
| 2004-08 | −1.2 | −2.8 | −7.8 | 0.19 | −4.3 | −14.2 | 0.33 |
| 2004-09 | −4.4 | −4.2 | −13.4 | 0.14 | −3.1 | −16.0 | 0.17 |
| 2005-06 | −2.6 | −3.6 | −9.1 | 0.15 | −5.1 | −10.3 | 0.16 |
| 2005-07 | −2.7 | −3.3 | −11.0 | 0.17 | −7.6 | −15.2 | 0.18 |
| 2005-08 | −1.3 | −2.6 | −9.3 | 0.21 | −2.0 | −13.2 | 0.47 |
| 2005-09 | −2.1 | −3.9 | −11.8 | 0.18 | −0.7 | −12.8 | 0.18 |
| 2006-06 | −2.6 | −3.1 | −11.9 | 0.20 | −3.5 | −13.4 | 0.20 |
| 2006-07 | −1.6 | −2.6 | −6.5 | 0.14 | −5.5 | −12.8 | 0.21 |
| 2006-08 | −2.1 | −3.4 | −10.8 | 0.20 | −5.0 | −11.3 | 0.20 |
| 2006-09 | −4.8 | −3.2 | −13.2 | 0.13 | |||
| 2007-06 | −5.6 | −3.3 | −15.4 | 0.14 | |||
| 2007-07 | −1.8 | −3.5 | −11.8 | 0.19 | |||
| 2007-08 | −2.9 | −3.0 | −12.6 | 0.17 | |||
| 2007-09 | −2.3 | −13.3 | 0.20 | ||||
| Average | −2.3 | −3.3 | −10.4 | 0.18 | −3.7 | −12.9 | 0.22 |
| Variable | Range | Values | diff | Ratio = Diff/Range | Sigma Terms | Total | 1σ Error |
|---|---|---|---|---|---|---|---|
| Temp (C) | 296 | 0.2477 | 0.0786 | 0.0197 | 0.0015445 | 0.00369 | 0.060709 |
| 298 | 0.2802 | ||||||
| 300 | 0.3263 | 0.27 ± 0.06 | |||||
| RH (%) | 85 | 0.2738 | −0.0067 | −0.0017 | 1.122 × 10−5 | (Table 1) | |
| 87 | 0.2691 | ||||||
| 89 | 0.2671 | ||||||
| Ro (δo) | −44 | 0.2623 | 0.0105 | 0.0026 | 2.756 × 10−5 | ||
| ‰ | −46 | 0.2677 | |||||
| −48 | 0.2728 | ||||||
| Ramb | −84 | 0.2316 | 0.0584 | 0.0146 | 0.0008526 | ||
| (δamb) | −86 | 0.2566 | |||||
| ‰ | −88 | 0.2900 | |||||
| Rf (δf) | −5 | 0.3087 | −0.0707 | −0.0177 | 0.0012496 | ||
| ‰ | −7 | 0.2691 | |||||
| −9 | 0.2380 |
| Model | Rain δD at CBH (‰) | Observed Value (‰) | Rain Evaporation Fraction |
|---|---|---|---|
| TES (as Reference) | −74 | −39 | 0.08 |
| IsoGSM | −78 | −39 | 0.11 |
| LMDZ4 | −112 | −39 | 0.15 |
Disclaimer/Publisher’s Note: The statements, opinions and data contained in all publications are solely those of the individual author(s) and contributor(s) and not of MDPI and/or the editor(s). MDPI and/or the editor(s) disclaim responsibility for any injury to people or property resulting from any ideas, methods, instructions or products referred to in the content. |
© 2023 by the authors. Licensee MDPI, Basel, Switzerland. This article is an open access article distributed under the terms and conditions of the Creative Commons Attribution (CC BY) license (https://creativecommons.org/licenses/by/4.0/).
Share and Cite
Sengupta, S.; Bhattacharya, S.K.; Sunil, N.S.; Sonar, S. Quantifying Raindrop Evaporation Deficit in General Circulation Models from Observed and Model Rain Isotope Ratios on the West Coast of India. Atmosphere 2023, 14, 1147. https://doi.org/10.3390/atmos14071147
Sengupta S, Bhattacharya SK, Sunil NS, Sonar S. Quantifying Raindrop Evaporation Deficit in General Circulation Models from Observed and Model Rain Isotope Ratios on the West Coast of India. Atmosphere. 2023; 14(7):1147. https://doi.org/10.3390/atmos14071147
Chicago/Turabian StyleSengupta, Saikat, Sourendra Kumar Bhattacharya, Nimya Sheena Sunil, and Sumit Sonar. 2023. "Quantifying Raindrop Evaporation Deficit in General Circulation Models from Observed and Model Rain Isotope Ratios on the West Coast of India" Atmosphere 14, no. 7: 1147. https://doi.org/10.3390/atmos14071147
APA StyleSengupta, S., Bhattacharya, S. K., Sunil, N. S., & Sonar, S. (2023). Quantifying Raindrop Evaporation Deficit in General Circulation Models from Observed and Model Rain Isotope Ratios on the West Coast of India. Atmosphere, 14(7), 1147. https://doi.org/10.3390/atmos14071147

