Soil Water Content at Planting Affects Determining Agricultural Drought for Rainfed Spring Wheat
Abstract
1. Introduction
2. Materials and Methods
2.1. Study Site
2.2. Field Experiment
2.3. Agricultural Drought and Meteorological Drought Occurrence Definition
2.4. Statistical Analysis
3. Results
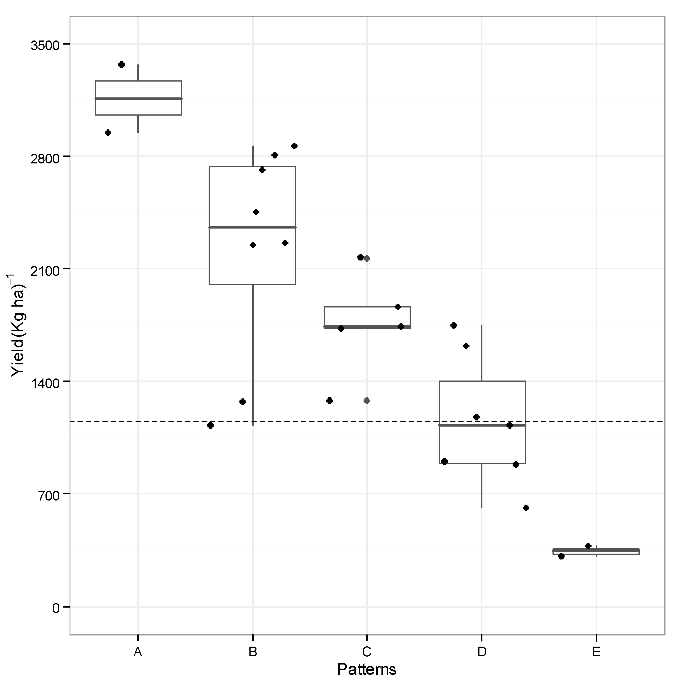
3.1. Determining Agricultural Drought Based on Growing Season Precipitation
3.2. Comparison of Soil Water Content at Planting and Precipitation during Spring Wheat Growing Season to Determine Agricultural Drought
3.3. Calculating Probability of Agricultural Drought Occurrence Based on Soil Water Content and Precipitation
4. Discussion
4.1. Soil Water Content at Planting Affects the Occurrence of Agricultural Drought
4.2. The Relative Importance of Soil Water Content at Planting and Growing Season Precipitation in Determining Spring Wheat Yield and Agricultural Drought Occurrence
4.3. The Probability of Agricultural Drought Occurrence for Rainfed Spring Wheat
5. Conclusions
Supplementary Materials
Author Contributions
Funding
Institutional Review Board Statement
Informed Consent Statement
Data Availability Statement
Conflicts of Interest
References
- Otkin, J.A.; Zhong, Y.F.; Hunt, E.D.; Christian, J.I.; Basara, J.B.; Nguyen, H.; Wheeler, M.C.; Ford, T.W.; Hoell, A.; Svoboda, M.; et al. Development of a Flash Drought Intensity Index. Atmosphere 2021, 12, 741. [Google Scholar] [CrossRef]
- Mo, K.C.; Lettenmaier, D.P. Prediction of Flash Droughts over the United States. J. Hydrometeorol. 2020, 21, 1793–1810. [Google Scholar] [CrossRef]
- Narasimhan, B.; Srinivasan, R. Development and Evaluation of Soil Moisture Deficit Index (SMDI) and Evapotranspiration Deficit Index (ETDI) for Agricultural Drought Monitoring. Agric. Forest. Meteorol. 2005, 133, 69–88. [Google Scholar] [CrossRef]
- Hu, C.; Xia, J.; She, D.X.; Li, L.C.; Song, Z.H.; Hong, S. A new framework for the identification of flash drought: Multivariable and probabilistic statistic perspectives Identification of flash drought. Int. J. Climatol. 2021, 41, 5862–5878. [Google Scholar] [CrossRef]
- Passioura, J. The drought environment: Physical, biological and agricultural perspectives. J. Exp. Bot. 2007, 58, 113–117. [Google Scholar] [CrossRef] [PubMed]
- Satoh, Y.; Shiogama, H.; Hanasaki, N.; Pokhrel, Y.; Boulange, J.; Burek, P.; Gosling, S.; Grillakis, M.; Koutroulis, A.; Müller Schmied, H.; et al. A quantitative evaluation of the issue of drought definition: A source of disagreement in future drought assessments. Environ. Res. Lett. 2021, 16, 104001. [Google Scholar] [CrossRef]
- Otkin, J.A.; Anderson, M.C.; Hain, C.; Svoboda, M.; Johnson, D.; Mueller, R.; Tadesse, T.; Wardlow, B.; Brown, J. Assessing the evolution of soil moisture and vegetation conditions during the 2012 United States flash drought. Agric. For. Meteorol. 2016, 218, 230–242. [Google Scholar] [CrossRef]
- Liu, Q.; Yang, Y.; Liang, L.; Jun, H.; Yan, D.; Wang, X.; Chunhui, L.; Sun, T. Thresholds for triggering the propagation of meteorological drought to hydrological drought in water-limited regions of China. Sci. Total Environ. 2023, 876, 162771. [Google Scholar] [CrossRef]
- Heim, R.R. A review of twentieth-century drought indices used in the United States. Bull. Am. Meteorol. Soc. 2002, 83, 1149–1165. [Google Scholar] [CrossRef]
- He, S.; Zhang, E.; Huo, J.; Yang, M. Characteristics of Propagation of Meteorological to Hydrological Drought for Lake Baiyangdian in a Changing Environment. Atmosphere 2022, 13, 1531. [Google Scholar] [CrossRef]
- Ramadas, M.; Govindaraju, R.S. Probabilistic assessment of agricultural droughts using graphical models. J. Hydrol. 2015, 526, 151–163. [Google Scholar] [CrossRef]
- Van Loon, A.; Stahl, K.; Di Baldassarre, G.; Clark, J.; Rangecroft, S.; Wanders, N.; Gleeson, T.; van Dijk, A.; Tallaksen, L.M.; Hannaford, J.; et al. Drought in a human-modified world: Reframing drought definitions, understanding, and analysis approaches. Hydrol. Earth Syst. Sci. 2016, 20, 3631–3650. [Google Scholar] [CrossRef]
- Kumar, V.; Panu, U.s. Predictive Assessment of Severity of Agricultural Droughts Based on Agro-Climatic Factors. J. Am. Water Resour. Assoc. 2007, 33, 1255–1264. [Google Scholar] [CrossRef]
- Hoell, A.; Parker, B.A.; Downey, M.; Umphlett, N.; Jencso, K.; Akyuz, F.A.; Peck, D.; Hadwen, T.; Fuchs, B.; Kluck, D.; et al. Lessons Learned from the 2017 Flash Drought across the US Northern Great Plains and Canadian Prairies. Bull. Am. Meteorol. Soc. 2020, 101, E2171–E2185. [Google Scholar] [CrossRef]
- Fawen, L.; Manjing, Z.; Yong, Z.; Jiang, R. Influence of irrigation and groundwater on the propagation of meteorological drought to agricultural drought. Agric. Water Manag. 2023, 277, 108099. [Google Scholar] [CrossRef]
- Edreira, J.I.R.; Guilpart, N.; Sadras, V.; Cassman, K.G.; van Ittersum, M.K.; Schils, R.L.M.; Grassini, P. Water productivity of rainfed maize and wheat: A local to global perspective. Agric. Forest. Meteorol. 2018, 259, 364–373. [Google Scholar] [CrossRef]
- Zhao, F.N.; Wang, R.Y.; Zhang, K.; Lei, J.; Yu, Q. Predicting spring wheat yields based on water use-yield production function in a semi-arid climate. Span. J. Agric. Res. 2019, 17, 1201. [Google Scholar] [CrossRef]
- Boken, V.; Haque, C. Predicting Drought Using Pattern Recognition. Ann. Arid. Zone 2007, 46, 133–144. [Google Scholar]
- Houmma, I.; Mansouri, L.; Gadal, S.; Garba, M.; Hadria, R. Modelling agricultural drought: A review of latest advances in big data technologies. Geomat. Nat. Hazards Risk 2022, 13, 2737–2776. [Google Scholar] [CrossRef]
- Zhang, K.; Zhang, B.; Zhao, F. Quantifying Agricultural Drought Severity for Spring Wheat Based on Response of Leaf Photosynthetic Features to Progressive Soil Drying. Atmosphere 2022, 13, 531. [Google Scholar] [CrossRef]
- Daly, E.; Porporato, A. A review of soil moisture dynamics: From rainfall infiltration to ecosystem response. Environ. Eng. Sci. 2005, 22, 9–24. [Google Scholar] [CrossRef]
- Porporato, A.; D’Odorico, P.; Laio, F.; Ridolfi, L.; Rodriguez-Iturbe, I. Ecohydrology of water-controlled ecosystems. Adv. Water Resour. 2002, 25, 1335–1348. [Google Scholar] [CrossRef]
- Nielsen, D.C.; Vigil, M.F.; Anderson, R.L.; Bowman, R.A.; Benjamin, J.G.; Halvorson, A.D. Cropping system influence on planting water content and yield of winter wheat. Agron. J. 2002, 94, 962–967. [Google Scholar] [CrossRef]
- Nielsen, D.C.; Vigil, M.F.; Benjamin, J.G. The variable response of dryland corn yield to soil water content at planting. Agric. Water Manag. 2009, 96, 330–336. [Google Scholar] [CrossRef]
- Lyon, D.J.; Boa, F.; Arkebauer, T.J. Water-Yield Relations of Several Spring-Planted Dryland Crops following Winter Wheat. J. Prod. Agric. 1995, 8, 281–286. [Google Scholar] [CrossRef]
- Schlegel, A.J.; Lamm, F.R.; Assefa, Y.; Stone, L.R. Dryland Corn and Grain Sorghum Yield Response to Available Soil Water at Planting. Agron. J. 2018, 110, 236–245. [Google Scholar] [CrossRef]
- Vicente-Serrano, S.M.; Begueria, S.; Lorenzo-Lacruz, J.; Camarero, J.J.; Lopez-Moreno, J.I.; Azorin-Molina, C.; Revuelto, J.; Moran-Tejeda, E.; Sanchez-Lorenzo, A. Performance of Drought Indices for Ecological, Agricultural, and Hydrological Applications. Earth Interact. 2012, 16, 1–27. [Google Scholar] [CrossRef]
- Quiring, S.M.; Papakryiakou, T.N. An evaluation of agricultural drought indices for the Canadian prairies. Agric. For. Meteorol. 2003, 118, 49–62. [Google Scholar] [CrossRef]
- Mkhabela, M.; Bullock, P.; Gervais, M.; Finlay, G.; Sapirstein, H. Assessing indicators of agricultural drought impacts on spring wheat yield and quality on the Canadian prairies. Agric. For. Meteorol. 2010, 150, 399–410. [Google Scholar] [CrossRef]
- Hasan, I.; Abdullah, R. Agricultural Drought Characteristics Analysis Using Copula. Water Resour. Manag. 2022, 36, 5915–5930. [Google Scholar] [CrossRef]
- Hogg, E.H.; Barr, A.G.; Black, T.A. A simple soil moisture index for representing multi-year drought impacts on aspen productivity in the western Canadian interior. Agric. For. Meteorol. 2013, 178, 173–182. [Google Scholar] [CrossRef]
- Wang, F.; Lai, H.; Li, Y.; Feng, K.; Zhang, Z.; Tian, Q.; Zhu, X.; Yang, H. Dynamic variation of meteorological drought and its relationships with agricultural drought across China. Agric. Water Manag. 2021, 261, 107301. [Google Scholar] [CrossRef]
- Champagne, C.; McNairn, H.; Berg, A.A. Monitoring agricultural soil moisture extremes in Canada using passive microwave remote sensing. Remote Sens. Environ. 2011, 115, 2434–2444. [Google Scholar] [CrossRef]
- Mpelasoka, F.; Hennessy, K.; Jones, R.; Bates, B. Comparison of suitable drought indices for climate change impacts assessment over Australia towards resource management. Int. J. Climatol. 2008, 28, 1283–1292. [Google Scholar] [CrossRef]
- Shorachi, M.; Kumar, V.; Steele-Dunne, S. Sentinel-1 SAR Backscatter Response to Agricultural Drought in The Netherlands. Remote Sens. 2022, 14, 2435. [Google Scholar] [CrossRef]
- Schillinger, W.F.; Schofstoll, S.E.; Alldredge, J.R. Available water and wheat grain yield relations in a Mediterranean climate. Field Crops Res. 2008, 109, 45–49. [Google Scholar] [CrossRef]
- Yang, M.; Wang, G.; Lazin, R.; Shen, X.; Anagnostou, E. Impact of planting time soil moisture on cereal crop yield in the Upper Blue Nile Basin: A novel insight towards agricultural water management. Agric. Water Manag. 2021, 243, 106430. [Google Scholar] [CrossRef]
- Nielsen, D.C.; Halvorson, A.D.; Vigil, M.F. Critical precipitation period for dryland maize production. Field Crops Res. 2010, 118, 259–263. [Google Scholar] [CrossRef]
- Li, B.; Zhang, X.; Morita, S.; Sekiya, N.; Araki, H.; Gu, H.; Han, J.; Lu, Y.; Liu, X. Are crop deep roots always beneficial for combating drought: A review of root structure and function, regulation and phenotyping. Agric. Water Manag. 2022, 271, 107781. [Google Scholar] [CrossRef]
- Stone, L.R.; Schlegel, A.J. Yield-water supply relationships of grain sorghum and winter wheat. Agron. J. 2006, 98, 1359–1366. [Google Scholar] [CrossRef]








| Category | Maximum | Minimum | Average | Median | 1st Quartile | 3rd Quartile | Standard Deviation | Coefficient of Variation/% |
|---|---|---|---|---|---|---|---|---|
| Soil water content at planting | 135.0 | 51.2 | 94.3 | 93.2 | 84.5 | 106.8 | 19.6 | 20.8 |
| Precipitation during growth period/mm | 204.2 | 48.9 | 133.5 | 135.0 | 104.8 | 172.9 | 43.4 | 32.5 |
| Precipitation in March/mm | 26.3 | 0 | 10.7 | 9.9 | 5.9 | 16.2 | 6.4 | 59.4 |
| Precipitation in April/mm | 57.1 | 3.1 | 22.8 | 19.8 | 12.6 | 31.0 | 14.1 | 62.1 |
| Precipitation in May/mm | 126.8 | 8.1 | 47.6 | 49.5 | 19.4 | 49.5 | 32.0 | 67.3 |
| Precipitation in June/mm | 96.2 | 12.8 | 52.5 | 46.8 | 38 | 74.2 | 23.7 | 45.1 |
| Yield/(kg ha−1) | 3373.6 | 310 | 1674.0 | 1673.7 | 899.6 | 2455.6 | 902.0 | 53.6 |
| Year | Variety | Maturity | Seeding Rate (Seeds ha−1) | Fertilizer | |
|---|---|---|---|---|---|
| Farmyard Manure (kg ha−1) | (kg N ha−1) | ||||
| 1987–1991 | Weichun 1 | Middle-Late | 187.5–225.0 | 15,000–35,000 | 42.0–104.0 |
| 1992–1998, 2000 | 81139-2 | Middle-Late | |||
| 1999 | 92 Jian 46 | Middle | |||
| 2001 | Dingxi 35 | Middle | |||
| 2002, 2005–2006, 2008–2011 | Dingxi New 24 | Middle | |||
| 2003–2004 | Longchun 20 | Middle | |||
| 2007 | MY94-9 | Middle-Early | |||
| Growth Period | Sowing Time | Period of Emergence | Trefoil Stage | Jointing Stage | Booting Stage | Heading Period | Flowering Period | Milk-Ripe Stage | Mature Period |
|---|---|---|---|---|---|---|---|---|---|
| Earliest date | 3/12 | 4/6 | 4/22 | 5/16 | 5/26 | 6/3 | 6/8 | 6/24 | 7/6 |
| Latest date | 3/28 | 4/24 | 5/18 | 6/4 | 6/12 | 6/18 | 6/23 | 7/19 | 7/26 |
| Patterns | Soil Water Content (mm) | Precipitation (mm) | Yield (Kg ha−1) | Class | Cumulative Probability (%) Less | Cumulative Probability (%) More |
|---|---|---|---|---|---|---|
| Cluster mean | ||||||
| A (HHH) | 127.42 H | 175.85 H | 3161.433 H | Normal | 83.405 | 0.391 |
| B (MH-MH) | 90.275 M | 178.925 H | 2169.146 MH | Normal | 39.091 | 6.975 |
| C (HLM) | 113.396 H | 86.26 L | 1756.75 M | Normal | 11.561 | 10.941 |
| D (LM-ML) | 80.084 L | 123.671 M | 1152.824 ML | Drought | 10.212 | 43.919 |
| E (LLL) | 81.305 L | 57.8 L | 342.5 L | Drought | 0.932 | 70.912 |
| Linear mean | ||||||
| AA | ≥100 | ≥43.93 | ≥1171.52 | Normal | 33.73 | |
| BB | <100 | ≥124.4 | ≥1171.52 | Normal | 37.71 | |
| CC | ≥100 | <43.93 | <1171.52 | Drought | 0.54 | |
| DD | <100 | <124.4 | <1171.52 | Drought | 28.02 | |
Disclaimer/Publisher’s Note: The statements, opinions and data contained in all publications are solely those of the individual author(s) and contributor(s) and not of MDPI and/or the editor(s). MDPI and/or the editor(s) disclaim responsibility for any injury to people or property resulting from any ideas, methods, instructions or products referred to in the content. |
© 2023 by the authors. Licensee MDPI, Basel, Switzerland. This article is an open access article distributed under the terms and conditions of the Creative Commons Attribution (CC BY) license (https://creativecommons.org/licenses/by/4.0/).
Share and Cite
Zhang, K.; Zhao, F.; Zhang, B. Soil Water Content at Planting Affects Determining Agricultural Drought for Rainfed Spring Wheat. Atmosphere 2023, 14, 665. https://doi.org/10.3390/atmos14040665
Zhang K, Zhao F, Zhang B. Soil Water Content at Planting Affects Determining Agricultural Drought for Rainfed Spring Wheat. Atmosphere. 2023; 14(4):665. https://doi.org/10.3390/atmos14040665
Chicago/Turabian StyleZhang, Kai, Funian Zhao, and Bo Zhang. 2023. "Soil Water Content at Planting Affects Determining Agricultural Drought for Rainfed Spring Wheat" Atmosphere 14, no. 4: 665. https://doi.org/10.3390/atmos14040665
APA StyleZhang, K., Zhao, F., & Zhang, B. (2023). Soil Water Content at Planting Affects Determining Agricultural Drought for Rainfed Spring Wheat. Atmosphere, 14(4), 665. https://doi.org/10.3390/atmos14040665
