Evaluation of Western North Pacific Typhoon Track Forecasts in Global and Regional Models during the 2021 Typhoon Season
Abstract
1. Introduction
2. Data and Methods
2.1. Study Area
2.2. Forecast Data
2.3. Best Track Data
2.4. Verification Metric and Methods
3. General Performance of TC Track Forecasts
3.1. Mean DPE
3.2. Trend of Mean DPEs
3.3. Systematic Track Forecast Bias
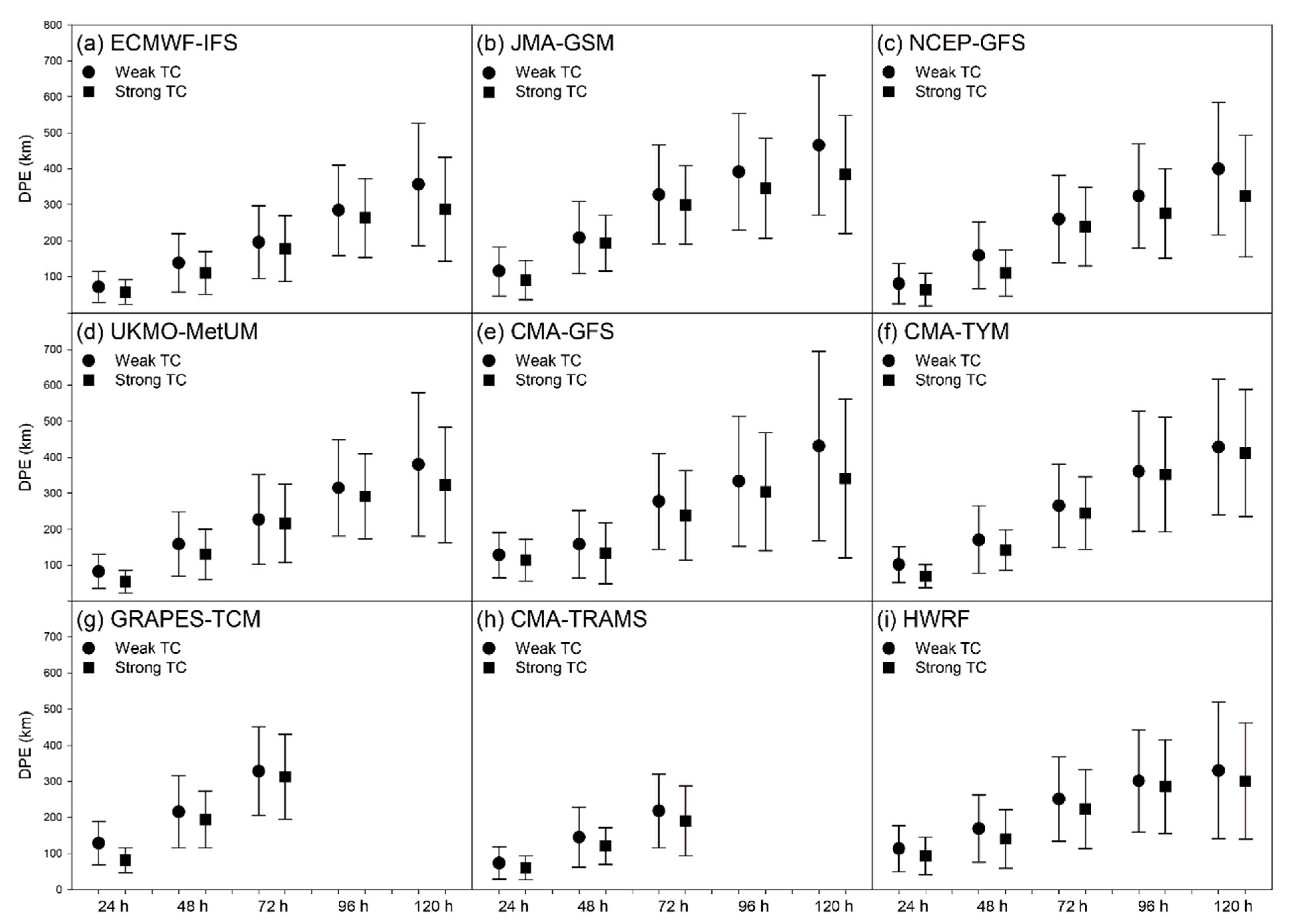
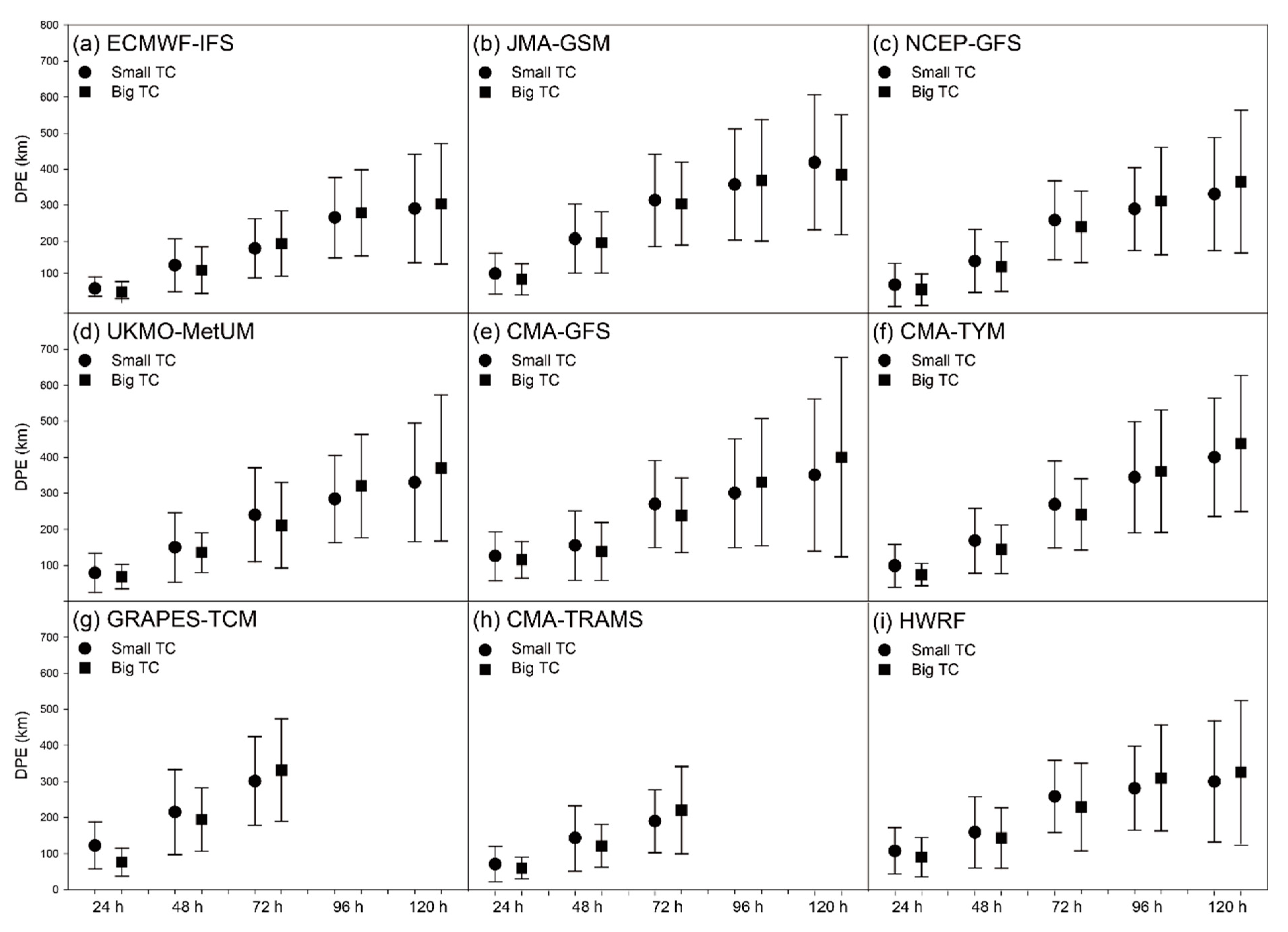
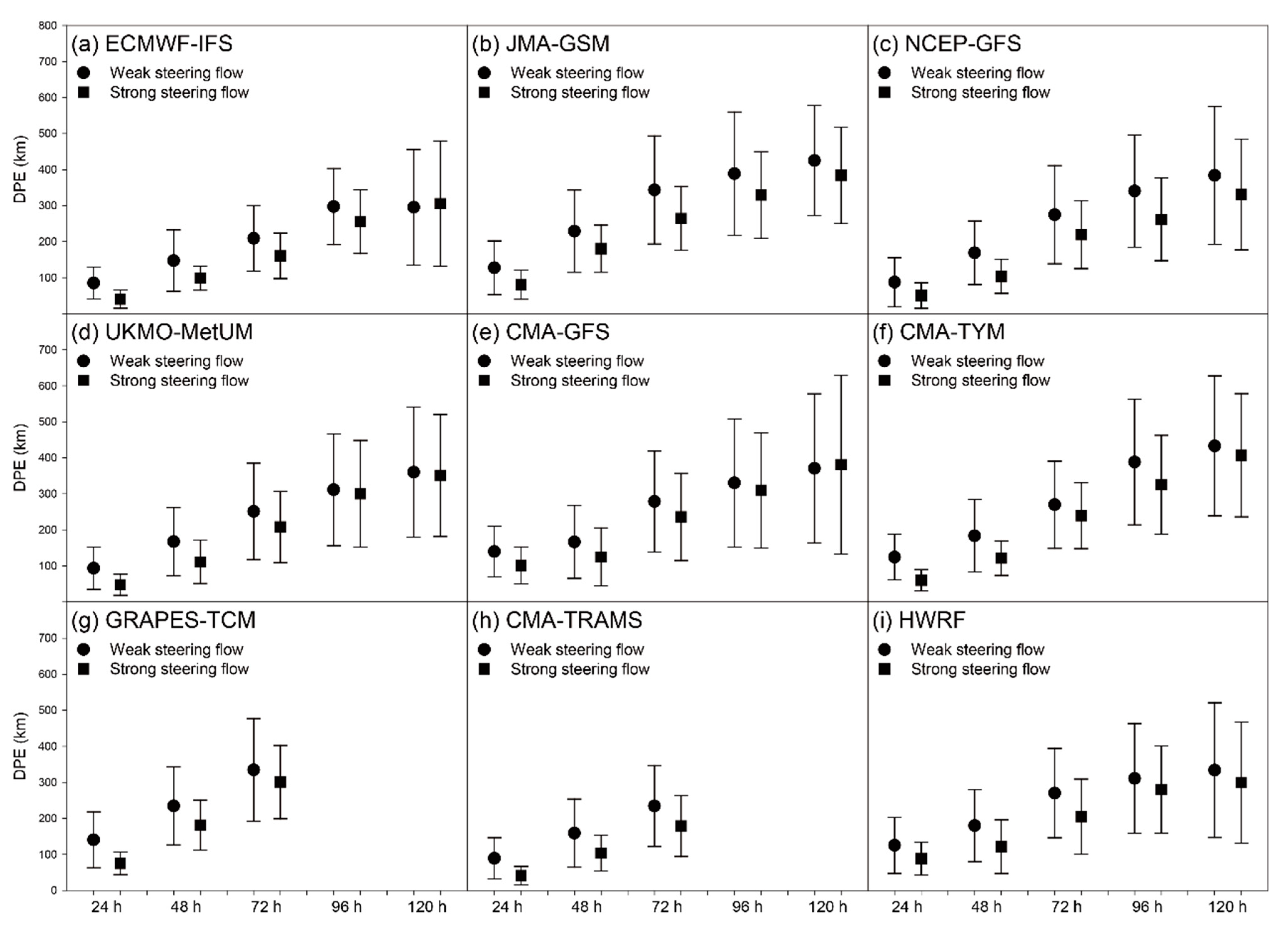
4. Cluster Analysis of DPEs
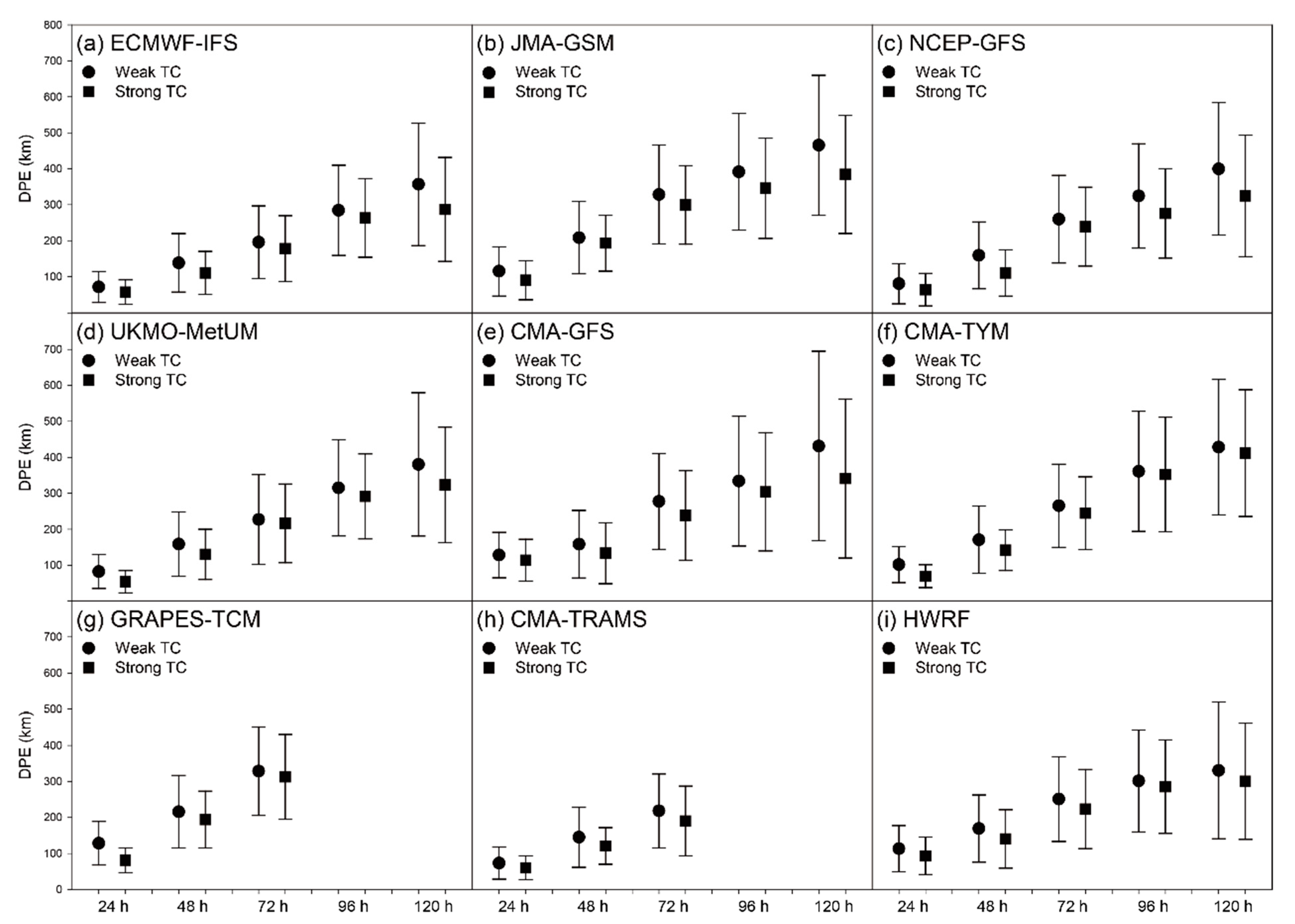
4.1. Initial TC Intensity
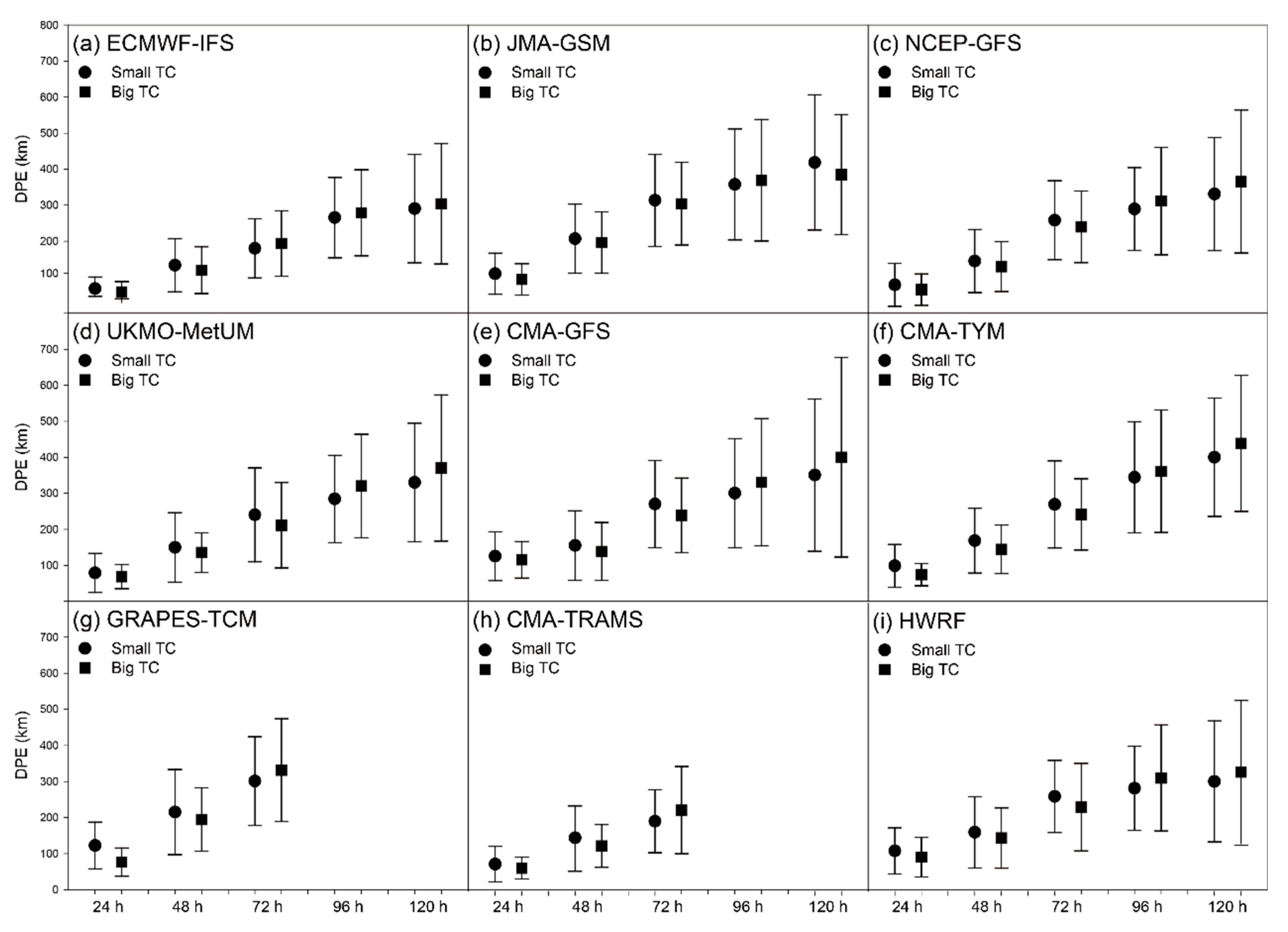
4.2. Initial TC Size
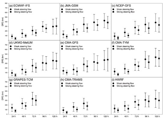
4.3. Environmental Steering Flow
5. Summary and Discussion
Author Contributions
Funding
Institutional Review Board Statement
Informed Consent Statement
Data Availability Statement
Acknowledgments
Conflicts of Interest
References
- Yamaguchi, M.; Ishida, J.; Sato, H.; Nakagawa, M. WGNE Intercomparison of Tropical Cyclone Forecasts by Operational NWP Models: A Quarter Century and Beyond. Bull. Am. Meteorol. Soc. 2017, 98, 2337–2349. [Google Scholar] [CrossRef]
- Gall, R.; Franklin, J.L.; Marks, F.; Rappaport, E.N.; Toepfer, F. The Hurricane Forecast Improvement Project. Bull. Am. Meteorol. Soc. 2013, 94, 329–343. [Google Scholar] [CrossRef]
- Yu, H.; Chen, G.; Zhou, C.; Wong, W.K.; Yang, M.; Xu, Y.; Chen, P.; Wan, R.; Hu, X. Are We Reaching the Limit of Tropical Cyclone Track Predictability in the Western North Pacific? Bull. Am. Meteorol. Soc. 2022, 103, E410–E428. [Google Scholar] [CrossRef]
- Landsea, C.W.; Cangialosi, J.P. Have we reached the limits of predictability for tropical cyclone track forecasting? Bull. Am. Meteorol. Soc. 2018, 99, 2237–2243. [Google Scholar] [CrossRef]
- WMO. Sixth WMO International Workshop on Tropical Cyclones (IWTC-VI); Tropical Meteorology Research Programme Report Series; Secretariat of the World Meteorological Organization: Geneva, Switzerland, 2007; p. 92. Available online: http://www.aoml.noaa.gov/hrd/Landsea/WWRP2007_1_IWTC_VI.pdf (accessed on 17 December 2022).
- Peng, X.; Fei, J.; Huang, X.; Cheng, X. Evaluation and Error Analysis of Official Forecasts of Tropical Cyclones during 2005–14 over the Western North Pacific. Part I: Storm Tracks. Weather Forecast. 2017, 32, 689–712. [Google Scholar] [CrossRef]
- Chen, G.; Yu, H.; Cao, Q.; Zeng, Z. The performance of global models in TC track forecasting over the western North Pacific from 2010 to 2012. Trop. Cyclone Res. Rev. 2013, 2, 149–158. [Google Scholar] [CrossRef]
- Chen, J.-H.; Lin, S.-J.; Zhou, L.; Chen, X.; Rees, S.; Bender, M.; Morin, M. Evaluation of Tropical Cyclone Forecasts in the Next Generation Global Prediction System. Mon. Weather Rev. 2019, 147, 3409–3428. [Google Scholar] [CrossRef]
- Haiden, T.; Richardson, D. Evaluation of ECMWF Forecasts, Including the 2021 Upgrade; ECMWF Technical Memorandum No. 884; ECMWF: Reading, UK, 2021; p. 56. Available online: https://www.ecmwf.int/sites/default/files/elibrary/2021/20142-evaluation-ecmwf-forecasts-including-2021-upgrade.pdf (accessed on 18 December 2022).
- Hodges, K.I.; Klingaman, N.P. Prediction Errors of Tropical Cyclones in the Western North Pacific in the Met Office Global Forecast Model. Weather Forecast. 2019, 34, 1189–1209. [Google Scholar] [CrossRef]
- Goldenberg, S.B.; Gopalakrishnan, S.G.; Tallapragada, V.; Quirino, T.; Marks, F.; Trahan, S.; Zhang, X.; Atlas, R. The 2012 triply nested, high-resolution operational version of the Hurricane Weather Research and Forecasting Model (HWRF): Track and intensity forecast verifications. Weather Forecast. 2015, 30, 710–729. [Google Scholar] [CrossRef]
- Tallapragada, V.; Kieu, C.; Kwon, Y.; Trahan, S.; Liu, Q.; Zhang, Z.; Kwon, I.-H. Evaluation of storm structure from the operational HWRF during 2012 Implementation. Mon. Weather Rev. 2014, 142, 4308–4325. [Google Scholar] [CrossRef]
- Zhang, X.; Gopalakrishnan, S.G.; Trahan, S.; Quirino, T.S.; Liu, Q.; Zhang, Z.; Alaka, G.; Tallapragada, V. Representing multiple scales in the Hurricane Weather Research and Forecasting modeling system: Design of multiple sets of movable multilevel nesting and the basin-scale HWRF forecast application. Weather Forecast. 2016, 31, 2019–2034. [Google Scholar] [CrossRef]
- Muroi, C.; Sato, N. Intercomparison of Tropical Cyclone Track Forecast by ECMWF, UKMO and JMA Operational Global Models; Japan Meteorological agency JMA/NPD technical report No. 31; Japan Meteorological Agency: Tokyo, Japan, 1994; p. 26. [Google Scholar]
- Tsuyuki, T.; Sakai, R.; Mino, H. The WGNE intercomparison of typhoon track forecasts from operational global models for 1991-2000. WMO-Bull. 2002, 5, 253–257. [Google Scholar]
- Chen, G.; Yang, M.; Zhang, X.; Wan, R. Verification of Tropical Cyclone Operational Forecast in 2021; WMO Typhoon Landfall Forecast Demonstration Project Technical Report; WMO: Geneva, Switzerland, 2022; p. 34. Available online: http://www.tlfdp.net/#/main/verification-reports (accessed on 10 December 2022).
- RSMC-Tokyo. Review of the 2021 Typhoon Season; ESCAP/WMO Typhoon Committee Technical Report; RSMC-Tokyo: Tokyo, Japan, 2022; p. 15. Available online: https://typhooncommittee.org/54th/docs/item%205/5.1.Summary_Of_2021_Typhoon_Season_20220311.pdf (accessed on 10 December 2022).
- Bai, L.; Yu, H.; Black, P.G.; Xu, Y.; Ying, M.; Tang, J.; Guo, R. Reexamination of the Tropical Cyclone Wind–Pressure Relationship Based on Pre-1987 Aircraft Data in the Western North Pacific. Weather Forecast. 2019, 34, 1939–1954. [Google Scholar] [CrossRef]
- Lee, T.C.; Knutson, T.R.; Kamahori, H.; Ying, M. Impacts of climate change on tropical cyclones in the western North Pacific basin. Part I: Past observations. Trop. Cyclone Res. Rev. 2012, 1, 213–230. [Google Scholar] [CrossRef]
- Yu, H.; Chan, S.T.; Brown, B.; Kunitsugu, M.; Fukada, E.; Park, S.; Lee, W.; Xu, Y.; Phalla, P.; Sysouphanthavong, B.; et al. Operational tropical cyclone forecast verification practice in the western North Pacific region. Trop. Cyclone Res. Rev. 2012, 1, 361–372. [Google Scholar] [CrossRef]
- Neumann, C.S.; Pelissier, J.M. An Analysis of Atlantic Tropical Cyclone Forecast Errors, 1970–1979. Mon. Weather Rev. 1981, 109, 1248–1266. [Google Scholar] [CrossRef]
- GB/T 19201-2006; Grade of Tropical Cyclones. China Standards Press: Beijing, China, 2006.
- Knaff, J.A.; Zehr, R.M. Reexamination of Tropical Cyclone Wind–Pressure Relationships. Weather Forecast. 2007, 22, 71–88. [Google Scholar] [CrossRef]
- National Centers for Environmental Prediction/National Weather Service/NOAA/U.S. Department of Commerce (2000) NCEP FNL Operational Model Global Tropospheric Analyses, continuing from July 1999; Research Data Archive at the National Center for Atmospheric Research, Computational and Information Systems Laboratory: Boulder, CO, USA, 2000. [CrossRef]
- Chan, J.C.L.; Gray, W.M. Tropical Cyclone Movement and Surrounding Flow Relationships. Mon. Weather Rev. 1982, 110, 1354–1374. [Google Scholar] [CrossRef]
- Hansen, J.A.; Goerss, J.S.; Sampson, C. GPCE-AX: An Anisotropic Extension to the Goerss Predicted Consensus Error in Tropical Cyclone Track Forecasts. Weather Forecast. 2011, 26, 416–422. [Google Scholar] [CrossRef]
- Holland, G.J. Tropical Cyclone Motion. A Comparison of Theory and Observation. J. Atmos. Sci. 1984, 41, 68–75. [Google Scholar] [CrossRef]
- Carr, L.E., III; Elsberry, R.L. Observational Evidence for Predictions of Tropical Cyclone Propagation Relative to Environmental Steering. J. Atmos. Sci. 1990, 47, 542–546. [Google Scholar] [CrossRef]
- Neumann, C.J. The Joint Typhoon Warning Center (JTWC92) Model. SAIC Final Rep., Contrach N00014-90-c-6042, p. 85. 1992. Available online: http://www.dtic.mil/dtic/tr/fulltext/u2/a258646.pdf (accessed on 29 August 2021).









| Model Type | Model Acronym | Description | Lead Times for Verification |
|---|---|---|---|
| Global model | ECMWF-IFS | ECMWF Integrated Forecasting System | 24, 48, 72, 96, and 120 h |
| JMA-GSM | JMA Global Spectral Model | 24, 48, 72, 96, and 120 h | |
| NCEP-GFS | NCEP Global Forecast System | 24, 48, 72, 96, and 120 h | |
| UKMO-MetUM | UKMO Unified Model System | 24, 48, 72, 96, and 120 h | |
| CMA-GFS | CMA Global Forecast System | 24, 48, 72, 96, and 120 h | |
| Regional model | GRAPES-TCM | Regional TC-forecasting model based on Global/Regional Assimilation and PrEdiction System | 24, 48, and 72 h |
| CMA-TYM | CMA Regional Typhoon forecasting Model | 24, 48, 72, 96, and 120 h | |
| CMA-TRAMS | CMA Tropical Regional Atmosphere Model for the South China Sea | 24, 48, and 72 h | |
| HWRF | The atmosphere-ocean coupled Hurricane Weather Research and Forecast modeling system | 24, 48, 72, 96, and 120 h |
| 24 h | 48 h | 72 h | 96 h | 120 h | ||
|---|---|---|---|---|---|---|
| Global model | ECMWF-IFS | 63.5 (164) | 125.2 (128) | 186.2 (98) | 270.6 (71) | 297.3 (50) |
| JMA-GSM | 99.0 (293) | 201.5 (228) | 307.1 (171) | 362.3 (126) | 399.5 (88) | |
| NCEP-GFS | 73.7 (340) | 138.4 (267) | 247.1 (199) | 298.2 (137) | 348.6 (97) | |
| UKMO-MetUM | 75.8 (171) | 141.8 (132) | 221.8 (96) | 305.5 (67) | 357.0 (47) | |
| CMA-GFS | 119.2 (252) | 140.7 (154) | 254.6 (162) | 317.7 (128) | 376.2 (102) | |
| Regional model | GRAPES-TCM | 107.3 (164) | 206.9 (135) | 317.7 (109) | / | / |
| CMA-TYM | 88.0 (360) | 158.7 (287) | 255.1 (217) | 356.6 (150) | 417.9 (105) | |
| CMA-TRAMS | 69.6 (174) | 130.7 (138) | 206.3 (105) | / | / | |
| HWRF | 106.4 (108) | 155.2 (89) | 239.0 (65) | 293.7 (46) | 311.6 (39) | |
| 24 h | 48 h | 72 h | |||||
|---|---|---|---|---|---|---|---|
| ER (km) | FCL (%) | ER (km) | FCL (%) | ER (km) | FCL (%) | ||
| Global model | ECMWF-IFS | −1.0 | <90 | −2.3 | 90 | −3.4 | 90 |
| JMA-GSM | −3.5 | 99 | −4.6 | 99 | −9.9 | 99 | |
| NCEP-GFS | −2.8 | 95 | −4.7 | 90 | −6.2 | <90 | |
| UKMO-MetUM | −4.7 | 99 | −6.7 | 95 | −9.6 | 95 | |
| CMA-GFS | / | / | / | / | / | / | |
| Regional model | GRAPES-TCM | −4.6 | 99 | −11.0 | 99 | −20.5 | 99 |
| CMA-TYM | 0.9 | <90 | 6.4 | 90 | 1.0 | <90 | |
| CMA-TRAMS | −3.9 | 99 | −6.8 | 99 | −12.5 | 95 | |
| HWRF | 3.7 | <90 | 0.8 | <90 | 0.9 | <90 | |
Disclaimer/Publisher’s Note: The statements, opinions and data contained in all publications are solely those of the individual author(s) and contributor(s) and not of MDPI and/or the editor(s). MDPI and/or the editor(s) disclaim responsibility for any injury to people or property resulting from any ideas, methods, instructions or products referred to in the content. |
© 2023 by the authors. Licensee MDPI, Basel, Switzerland. This article is an open access article distributed under the terms and conditions of the Creative Commons Attribution (CC BY) license (https://creativecommons.org/licenses/by/4.0/).
Share and Cite
Chen, G.; Li, T.; Yang, M.; Zhang, X. Evaluation of Western North Pacific Typhoon Track Forecasts in Global and Regional Models during the 2021 Typhoon Season. Atmosphere 2023, 14, 499. https://doi.org/10.3390/atmos14030499
Chen G, Li T, Yang M, Zhang X. Evaluation of Western North Pacific Typhoon Track Forecasts in Global and Regional Models during the 2021 Typhoon Season. Atmosphere. 2023; 14(3):499. https://doi.org/10.3390/atmos14030499
Chicago/Turabian StyleChen, Guomin, Tim Li, Mengqi Yang, and Xiping Zhang. 2023. "Evaluation of Western North Pacific Typhoon Track Forecasts in Global and Regional Models during the 2021 Typhoon Season" Atmosphere 14, no. 3: 499. https://doi.org/10.3390/atmos14030499
APA StyleChen, G., Li, T., Yang, M., & Zhang, X. (2023). Evaluation of Western North Pacific Typhoon Track Forecasts in Global and Regional Models during the 2021 Typhoon Season. Atmosphere, 14(3), 499. https://doi.org/10.3390/atmos14030499
