Warming Climate and Elevated CO2 Will Enhance Future Winter Wheat Yields in North China Region
Abstract
:1. Introduction
2. Materials and Methods
2.1. Study Area
2.2. Experimental Design, Nitrogen Treatments, and Center Pivot Irrigation-Fertigation System
2.3. DSSAT CERES-Wheat Model Description, Calibration, and Evaluation
2.3.1. Seasonal Analysis
2.3.2. Sixth Phase of Coupled Model Intercomparison Project
2.3.3. Statistical Downscaling and Global Circulation Models
2.3.4. Projections of Climate Change Impact and Adaptive Management Scenarios for Winter Wheat Production in a Warming Climate
3. Results
3.1. DSSAT CERES-Wheat Model Calibration and Evaluation
3.1.1. Model Performance for Nitrogen Application Effects on Winter Wheat Phenology
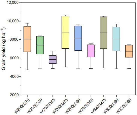
3.1.2. Model Performance for Nitrogen Application Effects on Grain Yield
3.1.3. Model Performance for Nitrogen Application Effects on Total Dry Matter
3.1.4. Model Performance for Nitrogen Application Effects on Harvest Index
3.2. Climate Change Impact on Grain Yield in the Near-Term, Mid-Term, and Long-Term under Global Climate Models
3.3. Effect of CO2 Concentrations Scenarios on Future Winter Wheat Grain Yield
3.4. Optimal Management Scenario for Winter Wheat under a Warming Climate and Taylor Diagram
4. Discussion
5. Conclusions
Supplementary Materials
Author Contributions
Funding
Institutional Review Board Statement
Informed Consent Statement
Data Availability Statement
Conflicts of Interest
References
- Dubey, M.; Mishra, A.; Singh, R. Climate change impact analysis using bias-corrected multiple global climate models on rice and wheat yield. J. Water Clim. Chang. 2021, 12, 1282–1296. [Google Scholar] [CrossRef]
- Cui, J.; Glatzel, S.; Bruckman, V.J.; Wang, B.; Lai, D.Y.F. Long-term effects of biochar application on greenhouse gas production and microbial community in temperate forest soils under increasing temperature. Sci. Total Environ. 2021, 767, 145021. [Google Scholar] [CrossRef] [PubMed]
- IPCC. IPCC Special Report on the Ocean and Cryosphere in a Changing Climate; Pörtner, H.-O., Roberts, D.C., Masson-Delmotte, V., Zhai, P., Tignor, M., Poloczanska, E., Mintenbeck, K., Alegría, A., Nicolai, M., Okem, A., et al., Eds.; 2019; in press. [Google Scholar]
- Ahmad, I.; Ahmad, B.; Boote, K.; Hoogenboom, G. Adaptation strategies for maize production under climate change for semi-arid environments. Eur. J. Agron. 2020, 115, 126040. [Google Scholar] [CrossRef]
- Xu, C.; Lu, C.; Sun, Q. Impact of climate change on irrigation water requirement of wheat growth–A case study of the Beijing-Tianjin-Hebei region in China. Urban Clim. 2021, 39, 100971. [Google Scholar] [CrossRef]
- IPCC. Climate Change 2014: Mitigation of Climate Change: Working Group III Contribution to the IPCC Fifth Assessment Report; 9781107058217; Cambridge University Press: Cambridge, UK, 2015. [Google Scholar]
- Gul, F.; Ahmed, I.; Ashfaq, M.; Jan, D.; Fahad, S.; Li, X.; Wang, D.; Fahad, M.; Fayyaz, M.; Shah, S.A. Use of crop growth model to simulate the impact of climate change on yield of various wheat cultivars under different agro-environmental conditions in Khyber Pakhtunkhwa, Pakistan. Arab. J. Geosci. 2020, 13, 1–14. [Google Scholar] [CrossRef]
- Lal, R. Climate Change and Agriculture; Elsevier: Amsterdam, The Netherlands, 2021; pp. 661–686. [Google Scholar]
- Rahman, M.H.u.; Ahmad, A.; Wang, X.; Wajid, A.; Nasim, W.; Hussain, M.; Ahmad, B.; Ahmad, I.; Ali, Z.; Ishaque, W. Multi-model projections of future climate and climate change impacts uncertainty assessment for cotton production in Pakistan. Agric. For. Meteorol. 2018, 253, 94–113. [Google Scholar] [CrossRef]
- Ma, L.; Fang, Q.X.; Sima, M.W.; Burkey, K.O.; Harmel, R.D. Simulated climate change effects on soybean production using two crop modules in RZWQM2. Agron. J. 2021, 113, 1349–1365. [Google Scholar] [CrossRef]
- Ahmed, I.; ur Rahman, M.H.; Ahmed, S.; Hussain, J.; Ullah, A.; Judge, J. Assessing the impact of climate variability on maize using simulation modeling under semi-arid environment of Punjab, Pakistan. Environ. Sci. Pollut. Res. 2018, 25, 28413–28430. [Google Scholar] [CrossRef]
- Shoukat, M.R.; Shafeeque, M.; Sarwar, A. Investigating effects of deficit irrigation levels and fertilizer rates on water use efficiency and productivity based on field observations and modeling approaches. Int. J. Hydrogen 2021, 5, 252–263. [Google Scholar] [CrossRef]
- IPCC. Climate Change 2013: The Physical Science Basis: Working Group I Contribution to the Fifth Assessment Report of the Intergovernmental Panel on Climate Change; Cambridge University Press: Cambridge, UK, 2014. [Google Scholar]
- Liu, Q.; Niu, J.; Sivakumar, B.; Ding, R.; Li, S. Accessing future crop yield and crop water productivity over the Heihe River basin in northwest China under a changing climate. Geosci. Lett. 2021, 8, 1–16. [Google Scholar] [CrossRef]
- Bhattacharyya, P.; Pathak, H.; Pal, S. Impact of Climate Change on Agriculture: Evidence and Predictions; Springer: Berlin/Heidelberg, Germany, 2020; pp. 17–32. [Google Scholar]
- Olesen, J.E.; Trnka, M.; Kersebaum, K.C.; Skjelvåg, A.O.; Seguin, B.; Peltonen-Sainio, P.; Rossi, F.; Kozyra, J.; Micale, F. Impacts and adaptation of European crop production systems to climate change. Eur. J. Agron. 2011, 34, 96–112. [Google Scholar] [CrossRef]
- Zhang, Y.; Niu, H.; Yu, Q. Impacts of climate change and increasing carbon dioxide levels on yield changes of major crops in suitable planting areas in China by the 2050s. Ecol. Indic. 2021, 125, 107588. [Google Scholar] [CrossRef]
- Li, J.-p.; Zhang, Z.; Yao, C.-S.; Yang, L.I.U.; Wang, Z.-M.; Fang, B.-T.; Zhang, Y.-H. Improving winter wheat grain yield and water-/nitrogen-use efficiency by optimizing the micro-sprinkling irrigation amount and nitrogen application rate. J. Integr. Agric. 2021, 20, 606–621. [Google Scholar] [CrossRef]
- Zhang, T.; Huang, Y. Impacts of climate change and inter-annual variability on cereal crops in China from 1980 to 2008. J. Sci. Food Agric. 2012, 92, 1643–1652. [Google Scholar] [CrossRef] [PubMed]
- You, L.; Rosegrant, M.W.; Wood, S.; Sun, D. Impact of growing season temperature on wheat productivity in China. Agric. For. Meteorol. 2009, 149, 1009–1014. [Google Scholar] [CrossRef]
- Lopes, M.S. Will temperature and rainfall changes prevent yield progress in Europe? Food Energy Secur. 2022, 31, e372. [Google Scholar] [CrossRef]
- Rashid, M.A.; Jabloun, M.; Andersen, M.N.; Zhang, X.; Olesen, J.E. Climate change is expected to increase yield and water use efficiency of wheat in the North China Plain. Agric. Water Manag. 2019, 222, 193–203. [Google Scholar] [CrossRef]
- Helman, D.; Bonfil, D.J. Six decades of warming and drought in the world’s top wheat-producing countries offset the benefits of rising CO2 to yield. Sci. Rep. 2022, 12, 7921. [Google Scholar] [CrossRef]
- Liu, Y.; Li, N.; Zhang, Z.; Huang, C.; Chen, X.; Wang, F. The central trend in crop yields under climate change in China: A systematic review. Sci. Total Environ. 2020, 704, 135355. [Google Scholar] [CrossRef]
- Zhai, R.; Tao, F.; Lall, U.; Elliott, J. Africa would need to import more maize in the future even under 1.5 °C warming scenario. Earth’s Future 2021, 9, e2020EF001574. [Google Scholar] [CrossRef]
- Wang, Z.-B.; Meng, C.-S.; Chen, J.; Chen, F. Risk Assessment of Crop Production Amid Climate Change Based on the Principle of Maximum Entropy: A Case Study of Winter Wheat Production on the North China Plain. Int. J. Plant Prod. 2019, 13, 275–284. [Google Scholar] [CrossRef]
- Lal, R.; Delgado, J.A.; Groffman, P.M.; Millar, N.; Dell, C.; Rotz, A. Management to mitigate and adapt to climate change. J. Soil Water Conserv. 2011, 66, 276–285. [Google Scholar] [CrossRef]
- Tui, S.H.-K.; Descheemaeker, K.; Valdivia, R.O.; Masikati, P.; Sisito, G.; Moyo, E.N.; Crespo, O.; Ruane, A.C.; Rosenzweig, C. Climate change impacts and adaptation for dryland farming systems in Zimbabwe: A stakeholder-driven integrated multi-model assessment. Clim. Chang. 2021, 168, 1–21. [Google Scholar] [CrossRef]
- Ding, Z.; Ali, E.F.; Elmahdy, A.M.; Ragab, K.E.; Seleiman, M.F.; Kheir, A.M.S. Modeling the combined impacts of deficit irrigation, rising temperature and compost application on wheat yield and water productivity. Agric. Water Manag. 2021, 244, 106626. [Google Scholar] [CrossRef]
- Singh, A.P.; Dhadse, K. Economic evaluation of crop production in the Ganges region under climate change: A sustainable policy framework. J. Clean. Prod. 2021, 278, 123413. [Google Scholar] [CrossRef]
- Srivastava, R.K.; Panda, R.K.; Chakraborty, A. Assessment of climate change impact on maize yield and yield attributes under different climate change scenarios in eastern India. Ecol. Indic. 2021, 120, 106881. [Google Scholar] [CrossRef]
- Liu, W.; Ye, T.; Shi, P. Decreasing wheat yield stability on the North China Plain: Relative contributions from climate change in mean and variability. Int. J. Climatol. 2021, 41, E2820–E2833. [Google Scholar] [CrossRef]
- Zheng, Z.; Cai, H.; Wang, Z.; Wang, X. Simulation of climate change impacts on phenology and production of winter wheat in Northwestern China using CERES-wheat model. Atmosphere 2020, 11, 681. [Google Scholar] [CrossRef]
- Hoogenboom, G.; Porter, C.H.; Boote, K.J.; Shelia, V.; Wilkens, P.W.; Singh, U.; White, J.W.; Asseng, S.; Lizaso, J.I.; Moreno, L.P.; et al. The DSSAT crop modeling ecosystem. In Advances in Crop Modelling for a Sustainable Agriculture; Burleigh Dodds Science Publishing: Cambridge, UK, 2019; pp. 173–216. [Google Scholar] [CrossRef]
- Jones, J.W.; Hoogenboom, G.; Porter, C.H.; Boote, K.J.; Batchelor, W.D.; Hunt, L.A.; Wilkens, P.W.; Singh, U.; Gijsman, A.J.; Ritchie, J.T. The DSSAT cropping system model. Eur. J. Agron. 2003, 18, 235–265. [Google Scholar] [CrossRef]
- Saddique, Q.; Cai, H.; Ishaque, W.; Chen, H.; Chau, H.W.; Chattha, M.U.; Hassan, M.U.; Khan, M.I.; He, J. Optimizing the sowing date and irrigation strategy to improve maize yield by using CERES (Crop Estimation through Resource and Environment Synthesis)-maize model. Agronomy 2019, 9, 109. [Google Scholar] [CrossRef]
- Asseng, S.; Martre, P.; Maiorano, A.; Rötter, R.P.; O’Leary, G.J.; Fitzgerald, G.J.; Girousse, C.; Motzo, R.; Giunta, F.; Babar, M.A. Climate change impact and adaptation for wheat protein. Glob. Chang. Biol. 2019, 25, 155–173. [Google Scholar] [CrossRef] [PubMed]
- Asseng, S.; Kheir, A.M.; Kassie, B.T.; Hoogenboom, G.; Abdelaal, A.I.; Haman, D.Z.; Ruane, A.C. Can Egypt become self-sufficient in wheat? Environ. Res. Lett. 2018, 13, 094012. [Google Scholar] [CrossRef]
- Saddique, Q.; Khan, M.I.; Habib ur Rahman, M.; Jiatun, X.; Waseem, M.; Gaiser, T.; Mohsin Waqas, M.; Ahmad, I.; Chong, L.; Cai, H. Effects of Elevated Air Temperature and CO2 on Maize Production and Water Use Efficiency under Future Climate Change Scenarios in Shaanxi Province, China. Atmosphere 2020, 11, 843. [Google Scholar] [CrossRef]
- Guo, Y.; Yu, X.; Xu, Y.-P.; Wang, G.; Xie, J.; Gu, H. A comparative assessment of CMIP5 and CMIP6 in hydrological responses of the Yellow River Basin, China. Hydrol. Res. 2022, 53, 867–891. [Google Scholar] [CrossRef]
- Gusain, A.; Ghosh, S.; Karmakar, S. Added value of CMIP6 over CMIP5 models in simulating Indian summer monsoon rainfall. Atmos. Res. 2020, 232, 104680. [Google Scholar] [CrossRef]
- Eyring, V.; Bony, S.; Meehl, G.A.; Senior, C.A.; Stevens, B.; Stouffer, R.J.; Taylor, K.E. Overview of the Coupled Model Intercomparison Project Phase 6 (CMIP6) experimental design and organization. Geosci. Model Dev. 2016, 9, 1937–1958. [Google Scholar] [CrossRef]
- Zhu, H.; Jiang, Z.; Li, J.; Li, W.; Sun, C.; Li, L. Does CMIP6 inspire more confidence in simulating climate extremes over China? Adv. Atmos. Sci. 2020, 37, 1119–1132. [Google Scholar] [CrossRef]
- O’Neill, B.C.; Tebaldi, C.; Vuuren, D.P.v.; Eyring, V.; Friedlingstein, P.; Hurtt, G.; Knutti, R.; Kriegler, E.; Lamarque, J.-F.; Lowe, J. The scenario model intercomparison project (ScenarioMIP) for CMIP6. Geosci. Model Dev. 2016, 9, 3461–3482. [Google Scholar] [CrossRef]
- Rosenzweig, C.; Jones, J.W.; Hatfield, J.L.; Ruane, A.C.; Boote, K.J.; Thorburn, P.; Antle, J.M.; Nelson, G.C.; Porter, C.; Janssen, S. The agricultural model intercomparison and improvement project (AgMIP): Protocols and pilot studies. Agric. For. Meteorol. 2013, 170, 166–182. [Google Scholar] [CrossRef]
- Zhai, J.; Mondal, S.K.; Fischer, T.; Wang, Y.; Su, B.; Huang, J.; Tao, H.; Wang, G.; Ullah, W.; Uddin, M.J. Future drought characteristics through a multi-model ensemble from CMIP6 over South Asia. Atmos. Res. 2020, 246, 105111. [Google Scholar] [CrossRef]
- Zadoks, J.C.; Chang, T.T.; Konzak, C.F. A decimal code for the growth stages of cereals. Weed Res. 1974, 14, 415–421. [Google Scholar] [CrossRef]
- Malik, W.; Isla, R.; Dechmi, F. DSSAT-CERES-maize modelling to improve irrigation and nitrogen management practices under Mediterranean conditions. Agric. Water Manag. 2019, 213, 298–308. [Google Scholar] [CrossRef]
- Rahman, M.H.u.; Ahmad, A.; Wajid, A.; Hussain, M.; Rasul, F.; Ishaque, W.; Islam, M.A.; Shelia, V.; Awais, M.; Ullah, A. Application of CSM-CROPGRO-Cotton model for cultivars and optimum planting dates: Evaluation in changing semi-arid climate. Field Crops Res. 2019, 238, 139–152. [Google Scholar] [CrossRef]
- Rahman, M.H.-u.; Raza, A.; Ahrends, H.E.; Hüging, H.; Gaiser, T. Impact of in-field soil heterogeneity on biomass and yield of winter triticale in an intensively cropped hummocky landscape under temperate climate conditions. Precis. Agric. 2022, 23, 912–938. [Google Scholar] [CrossRef]
- Jones, J.W.; He, J.; Boote, K.J.; Wilkens, P.; Porter, C.H.; Hu, Z. Estimating DSSAT cropping system cultivar-specific parameters using Bayesian techniques. Methods Introd. Syst. Models Agric. Res. 2011, 2, 365–393. [Google Scholar]
- Yasin, M.; Ahmad, A.; Khaliq, T.; Habib-ur-Rahman, M.; Niaz, S.; Gaiser, T.; Ghafoor, I.; Qasim, M.; Hoogenboom, G. Climate change impact uncertainty assessment and adaptations for sustainable maize production using multi-crop and climate models. Environ. Sci. Pollut. Res. 2022, 29, 18967–18988. [Google Scholar] [CrossRef] [PubMed]
- Si, Z.; Zain, M.; Li, S.; Liu, J.; Liang, Y.; Gao, Y.; Duan, A. Optimizing nitrogen application for drip-irrigated winter wheat using the DSSAT-CERES-Wheat model. Agric. Water Manag. 2021, 244, 106592. [Google Scholar] [CrossRef]
- Hussain, J.; Khaliq, T.; Rahman, M.H.U.; Ullah, A.; Ahmed, I.; Srivastava, A.K.; Gaiser, T.; Ahmad, A. Effect of temperature on sowing dates of wheat under arid and semi-arid climatic regions and impact quantification of climate change through mechanistic modeling with evidence from field. Atmosphere 2021, 12, 927. [Google Scholar] [CrossRef]
- He, W.; Yang, J.Y.; Drury, C.F.; Smith, W.N.; Grant, B.B.; He, P.; Qian, B.; Zhou, W.; Hoogenboom, G. Estimating the impacts of climate change on crop yields and N2O emissions for conventional and no-tillage in Southwestern Ontario, Canada. Agric. Syst. 2018, 159, 187–198. [Google Scholar] [CrossRef]
- Leghari, S.J.; Hu, K.; Wei, Y.; Wang, T.; Bhutto, T.A.; Buriro, M. Modelling water consumption, N fates and maize yield under different water-saving management practices in China and Pakistan. Agric. Water Manag. 2021, 255, 107033. [Google Scholar] [CrossRef]
- Moriasi, D.N.; Arnold, J.G.; Van Liew, M.W.; Bingner, R.L.; Harmel, R.D.; Veith, T.L. Model evaluation guidelines for systematic quantification of accuracy in watershed simulations. Trans. ASABE 2007, 50, 885–900. [Google Scholar] [CrossRef]
- Yao, F.-M.; Li, Q.-Y.; Zeng, R.-Y.; Shi, S.-Q. Effects of different agricultural treatments on narrowing winter wheat yield gap and nitrogen use efficiency in China. J. Integr. Agric. 2021, 20, 383–394. [Google Scholar] [CrossRef]
- Mukaka, M.M. Statistics corner: A guide to appropriate use of correlation coefficient in medical research. Malawi Med. J. 2012, 24, 69–71. [Google Scholar]
- Ullah, A.; Ahmad, I.; Habib ur, R.; Saeed, U.; Ahmad, A.; Mahmood, A.; Hoogenboom, G. Climate Smart Interventions of Small-Holder Farming Systems; IntechOpen: London, UK, 2019; pp. 1–14. [Google Scholar]
- IPCC. Climate Change 2021: The Physical Science Basis. Contribution of Working Group I to the Sixth Assessment Report of the Intergovernmental Panel on Climate Change; 9789291691586; Cambridge University Press: Cambridge, UK, 2021; p. 3949, in press. [Google Scholar]
- Tebaldi, C.; Debeire, K.; Eyring, V.; Fischer, E.; Fyfe, J.; Friedlingstein, P.; Knutti, R.; Lowe, J.; O’Neill, B.; Sanderson, B. Climate model projections from the scenario model intercomparison project (ScenarioMIP) of CMIP6. Earth Syst. Dyn. 2021, 12, 253–293. [Google Scholar] [CrossRef]
- Iqbal, Z.; Shahid, S.; Ahmed, K.; Ismail, T.; Ziarh, G.F.; Chung, E.-S.; Wang, X. Evaluation of CMIP6 GCM rainfall in mainland Southeast Asia. Atmos. Res. 2021, 254, 105525. [Google Scholar] [CrossRef]
- Grose, M.R.; Narsey, S.; Delage, F.P.; Dowdy, A.J.; Bador, M.; Boschat, G.; Chung, C.; Kajtar, J.B.; Rauniyar, S.; Freund, M.B. Insights from CMIP6 for Australia’s future climate. Earth’s Future 2020, 8, e2019EF001469. [Google Scholar] [CrossRef]
- Riahi, K.; Van Vuuren, D.P.; Kriegler, E.; Edmonds, J.; O’neill, B.C.; Fujimori, S.; Bauer, N.; Calvin, K.; Dellink, R.; Fricko, O. The shared socioeconomic pathways and their energy, land use, and greenhouse gas emissions implications: An overview. Glob. Environ. Chang. 2017, 42, 153–168. [Google Scholar] [CrossRef]
- Wetterhall, F.; Pappenberger, F.; He, Y.; Freer, J.; Cloke, H.L. Conditioning model output statistics of regional climate model precipitation on circulation patterns. Nonlinear Processes Geophys. 2012, 19, 623–633. [Google Scholar] [CrossRef]
- Salehnia, N.; Hosseini, F.; Farid, A.; Kolsoumi, S.; Zarrin, A.; Hasheminia, M. Comparing the performance of dynamical and statistical downscaling on historical run precipitation data over a semi-arid region. Asia-Pac. J. Atmos. Sci. 2019, 55, 737–749. [Google Scholar] [CrossRef]
- Fan, X.; Jiang, L.; Gou, J. Statistical downscaling and projection of future temperatures across the Loess Plateau, China. Weather Clim. Extrem. 2021, 32, 100328. [Google Scholar] [CrossRef]
- Liang, Z.; Zhang, L.; Li, W.; Zhang, J.; Frewer, L.J. Adoption of combinations of adaptive and mitigatory climate-smart agricultural practices and its impacts on rice yield and income: Empirical evidence from Hubei, China. Clim. Risk Manag. 2021, 32, 100314. [Google Scholar] [CrossRef]
- Onyutha, C.; Asiimwe, A.; Ayugi, B.; Ngoma, H.; Ongoma, V.; Tabari, H. Observed and future precipitation and evapotranspiration in water management zones of Uganda: CMIP6 projections. Atmosphere 2021, 12, 887. [Google Scholar] [CrossRef]
- Taylor, K.E. Summarizing multiple aspects of model performance in a single diagram. J. Geophys. Res. Atmos. 2001, 106, 7183–7192. [Google Scholar] [CrossRef]
- Salehnia, N.; Salehnia, N.; Saradari Torshizi, A.; Kolsoumi, S. Rainfed wheat (Triticum aestivum L.) yield prediction using economical, meteorological, and drought indicators through pooled panel data and statistical downscaling. Ecol. Indic. 2020, 111, 105991. [Google Scholar] [CrossRef]
- Hamed, M.M.; Nashwan, M.S.; Shahid, S.; bin Ismail, T.; Wang, X.-j.; Dewan, A.; Asaduzzaman, M. Inconsistency in historical simulations and future projections of temperature and rainfall: A comparison of CMIP5 and CMIP6 models over Southeast Asia. Atmos. Res. 2022, 265, 105927. [Google Scholar] [CrossRef]
- Wootten, A.M.; Dixon, K.W.; Adams-Smith, D.J.; McPherson, R.A. Statistically downscaled precipitation sensitivity to gridded observation data and downscaling technique. Int. J. Climatol. 2021, 41, 980–1001. [Google Scholar] [CrossRef]
- Jiang, R.; He, W.; Zhou, W.; Hou, Y.; Yang, J.Y.; He, P. Exploring management strategies to improve maize yield and nitrogen use efficiency in northeast China using the DNDC and DSSAT models. Comput. Electron. Agric. 2019, 166, 104988. [Google Scholar] [CrossRef]
- Zhang, D.; Li, R.; Batchelor, W.D.; Ju, H.; Li, Y. Evaluation of limited irrigation strategies to improve water use efficiency and wheat yield in the North China Plain. PLoS ONE 2018, 13, e0189989. [Google Scholar] [CrossRef]
- Zhang, X.; Xiao, G.; Li, H.; Wang, L.; Wu, S.; Wu, W.; Meng, F. Mitigation of greenhouse gas emissions through optimized irrigation and nitrogen fertilization in intensively managed wheat–maize production. Sci. Rep. 2020, 10, 1–10. [Google Scholar] [CrossRef]
- Fang, S.; Su, H.; Liu, W.; Tan, K.; Ren, S. Infrared warming reduced winter wheat yields and some physiological parameters, which were mitigated by irrigation and worsened by delayed sowing. PLoS ONE 2013, 8, e67518. [Google Scholar] [CrossRef]
- Jia, D.; Wang, C.; Han, Y.; Huang, H.; Xiao, H. Impact of Climate Change on the Yield and Water Footprint of Winter Wheat in the Haihe River Basin, China. Atmosphere 2022, 13, 630. [Google Scholar] [CrossRef]
- Li, Y.; Hou, R.; Liu, X.; Chen, Y.; Tao, F. Changes in wheat traits under future climate change and their contributions to yield changes in conventional vs. conservational tillage systems. Sci. Total Environ. 2022, 815, 152947. [Google Scholar] [CrossRef] [PubMed]
- Timsina, J.; Humphreys, E. Performance of CERES-Rice and CERES-Wheat models in rice–wheat systems: A review. Agric. Syst. 2006, 90, 5–31. [Google Scholar] [CrossRef]
- Feng, H.; Li, Z.; He, P.; Jin, X.; Yang, G.; Yu, H.; Yang, F. Simulation of Winter Wheat Phenology in Beijing Area with DSSAT-CERES Model. In Proceedings of the International Conference on Computer and Computing Technologies in Agriculture, Beijing, China, 27–30 September 2015; pp. 259–268. [Google Scholar]
- Malik, W.; Dechmi, F. DSSAT modelling for best irrigation management practices assessment under Mediterranean conditions. Agric. Water Manag. 2019, 216, 27–43. [Google Scholar] [CrossRef]
- IPCC. Climate Change 2007: Impacts, Adaptation and Vulnerability. Contribution of Working Group II to the Fourth Assessment Report of the Intergovernmental Panel on Climate Change; Parry, M.L., Canziani, O.F., Palutikof, J.P., van der Linden, P.J., Hanson, C.E., Eds.; 9780080449104; Cambridge University Press: Cambridge, UK, 2007. [Google Scholar]
- Asseng, S.; Ewert, F.; Rosenzweig, C.; Jones, J.W.; Hatfield, J.L.; Ruane, A.C.; Boote, K.J.; Thorburn, P.J.; Rötter, R.P.; Cammarano, D. Uncertainty in simulating wheat yields under climate change. Nat. Clim. Chang. 2013, 3, 827–832. [Google Scholar] [CrossRef]
- Kukal, M.S.; Irmak, S. Climate-driven crop yield and yield variability and climate change impacts on the US Great Plains agricultural production. Sci. Rep. 2018, 8, 1–18. [Google Scholar] [CrossRef] [PubMed]
- Zhang, Y.; Shou, W.; Maucieri, C.; Lin, F. Rainfall increasing offsets the negative effects of nighttime warming on GHGs and wheat yield in North China Plain. Sci. Rep. 2021, 11, 6505. [Google Scholar] [CrossRef]
- Zhao, C.; Liu, B.; Piao, S.; Wang, X.; Lobell, D.B.; Huang, Y.; Huang, M.; Yao, Y.; Bassu, S.; Ciais, P. Temperature increase reduces global yields of major crops in four independent estimates. Proc. Natl. Acad. Sci. USA 2017, 114, 9326–9331. [Google Scholar] [CrossRef]
- Tao, F.; Zhang, Z.; Zhang, S.; Rötter, R.P.; Shi, W.; Xiao, D.; Liu, Y.; Wang, M.; Liu, F.; Zhang, H. Historical data provide new insights into response and adaptation of maize production systems to climate change/variability in China. Field Crops Res. 2016, 185, 1–11. [Google Scholar] [CrossRef]
- Wang, Z.; Zhang, T.Q.; Tan, C.S.; Xue, L.; Bukovsky, M.; Qi, Z.M. Modeling impacts of climate change on crop yield and phosphorus loss in a subsurface drained field of Lake Erie region, Canada. Agric. Syst. 2021, 190, 103110. [Google Scholar] [CrossRef]
- Kimball, B.; Kobayashi, K.; Bindi, M. Responses of agricultural crops to free-air CO2 enrichment. Adv. Agron. 2002, 77, 293–368. [Google Scholar]
- Amthor, J.S. Effects of atmospheric CO2 concentration on wheat yield: Review of results from experiments using various approaches to control CO2 concentration. Field Crops Res. 2001, 73, 1–34. [Google Scholar] [CrossRef]
- Ahmed, M.; Akram, M.N.; Asim, M.; Aslam, M.; Hassan, F.-U.; Higgins, S.; Stöckle, C.O.; Hoogenboom, G. Calibration and validation of APSIM-Wheat and CERES-Wheat for spring wheat under rainfed conditions: Models evaluation and application. Comput. Electron. Agric. 2016, 123, 384–401. [Google Scholar] [CrossRef]
- Ullah, A.; Ahmad, I.; Ahmad, A.; Khaliq, T.; Saeed, U.; Habib-ur-Rahman, M.; Hussain, J.; Ullah, S.; Hoogenboom, G. Assessing climate change impacts on pearl millet under arid and semi-arid environments using CSM-CERES-Millet model. Environ. Sci. Pollut. Res. 2019, 26, 6745–6757. [Google Scholar] [CrossRef] [PubMed]
- Asseng, S.; Jamieson, P.D.; Kimball, B.; Pinter, P.; Sayre, K.; Bowden, J.W.; Howden, S.M. Simulated wheat growth affected by rising temperature, increased water deficit and elevated atmospheric CO2. Field Crops Res. 2004, 85, 85–102. [Google Scholar] [CrossRef]
- Drake, B.G.; Gonzalez-Meler, M.A.; Long, S.P. MORE EFFICIENT PLANTS: A Consequence of Rising Atmospheric CO2? Annu. Rev. Plant Physiol. Plant Mol. Biol. 1997, 48, 609–639. [Google Scholar] [CrossRef]
- Sommer, R.; Glazirina, M.; Yuldashev, T.; Otarov, A.; Ibraeva, M.; Martynova, L.; Bekenov, M.; Kholov, B.; Ibragimov, N.; Kobilov, R. Impact of climate change on wheat productivity in Central Asia. Agric. Ecosyst. Environ. 2013, 178, 78–99. [Google Scholar] [CrossRef]
- Singh, P.; Nedumaran, S.; Ntare, B.R.; Boote, K.J.; Singh, N.P.; Srinivas, K.; Bantilan, M.C.S. Potential benefits of drought and heat tolerance in groundnut for adaptation to climate change in India and West Africa. Mitig. Adapt. Strateg. Glob. Chang. 2014, 19, 509–529. [Google Scholar] [CrossRef]
- Zheng, Z.; Hoogenboom, G.; Cai, H.; Wang, Z. Winter wheat production on the Guanzhong Plain of Northwest China under projected future climate with SimCLIM. Agric. Water Manag. 2020, 239, 106233. [Google Scholar] [CrossRef]
- Warsame, A.A.; Sheik-Ali, I.A.; Ali, A.O.; Sarkodie, S.A. Climate change and crop production nexus in Somalia: An empirical evidence from ARDL technique. Environ. Sci. Pollut. Res. 2021, 28, 19838–19850. [Google Scholar] [CrossRef]
- Svoboda, N.; Strer, M.; Hufnagel, J. Rainfed winter wheat cultivation in the North German Plain will be water limited under climate change until 2070. Environ. Sci. Eur. 2015, 27, 1–7. [Google Scholar] [CrossRef] [PubMed]
- Abd–Elrahman, S.H.; Saudy, H.S.; El–Fattah, D.A.A.; Hashem, F.A.E. Effect of irrigation water and organic fertilizer on reducing nitrate accumulation and boosting lettuce productivity. J. Soil Sci. Plant Nutr. 2022, 22, 2144–2155. [Google Scholar] [CrossRef]
- Raza, A.; Razzaq, A.; Mehmood, S.S.; Zou, X.; Zhang, X.; Lv, Y.; Xu, J. Impact of climate change on crops adaptation and strategies to tackle its outcome: A review. Plants 2019, 8, 34. [Google Scholar] [CrossRef] [PubMed]
- Ullah, A.; Salehnia, N.; Kolsoumi, S.; Ahmad, A.; Khaliq, T. Prediction of effective climate change indicators using statistical downscaling approach and impact assessment on pearl millet (Pennisetum glaucum L.) yield through Genetic Algorithm in Punjab, Pakistan. Ecol. Indic. 2018, 90, 569–576. [Google Scholar] [CrossRef]
- Wang, W.; Yuan, S.; Wu, C.; Yang, S.; Zhang, W.; Xu, Y.; Gu, J.; Zhang, H.; Wang, Z.; Yang, J. Field experiments and model simulation based evaluation of rice yield response to projected climate change in Southeastern China. Sci. Total Environ. 2021, 761, 143206. [Google Scholar] [CrossRef]
- Leng, G.; Tang, Q.; Rayburg, S. Climate change impacts on meteorological, agricultural and hydrological droughts in China. Glob. Planet. Chang. 2015, 126, 23–34. [Google Scholar] [CrossRef]
- Whitfield, S. Uncertainty, ignorance and ambiguity in crop modelling for African agricultural adaptation. Clim. Chang. 2013, 120, 325–340. [Google Scholar] [CrossRef]












| Depth (cm) | Silt (%) | Clay (%) | Bulk Density (g cm−3) | Field Capacity (cm3 cm−3) | Wilting Point (cm3 cm−3) | NH4+-N Content (mg kg−1) | NO3−-N Content (mg kg−1) | Soil Organic Carbon (%) | pH |
|---|---|---|---|---|---|---|---|---|---|
| 0–20 | 52.4 | 9.2 | 1.45 | 0.265 | 0.099 | 5.05 | 17.08 | 0.99 | 8.15 |
| 20–40 | 54.8 | 8.4 | 1.64 | 0.267 | 0.096 | 3.25 | 7.94 | 1.02 | 8.25 |
| 40–60 | 57.2 | 7.9 | 1.64 | 0.270 | 0.094 | 2.80 | 5.63 | 0.95 | 8.29 |
| 60–80 | 63.9 | 5.5 | 1.57 | 0.273 | 0.084 | 2.26 | 6.46 | 0.88 | 8.35 |
| 80–100 | 65.7 | 4.7 | 1.46 | 0.273 | 0.080 | 2.16 | 6.35 | 0.60 | 8.32 |
| Years | Treatments | N Frequency | N Rate at Different Growth Stages (kg ha−1) | |||
|---|---|---|---|---|---|---|
| Regreening | Jointing | Anthesis | Filling | |||
| 2015–2016 | FP | 1 | - | 207 | - | - |
| S1 | 1 | - | 207 | - | - | |
| S2 | 2 | - | 138 | - | 69 | |
| S3 | 3 | 69 | 103 | - | 35 | |
| S4 | 4 | 69 | 69 | 35 | 34 | |
| 2016–2017 | FP | 1 | - | 207 | - | - |
| S1 | 1 | - | 207 | - | - | |
| S2 | 2 | - | 138 | - | 69 | |
| S3 | 3 | 69 | 103 | - | 35 | |
| S4 | 4 | 69 | 69 | 35 | 34 | |
| Parameter | Definition | Range | Calibrated Value |
|---|---|---|---|
| PIV | The number of days, the optimal vernalizing temperature (d) | 5–65 | 45.45 |
| PID | Responses to the photoperiod | 0–95 | 65.44 |
| P5 | Grain-filling stage period (°C d) | 300–800 | 723.80 |
| G1 | At anthesis, the number of kernels per unit canopy weight (no. g−1) | 15–30 | 20.50 |
| G2 | Size of a standard kernel at optimum conditions (mg) | 20–65 | 29.62 |
| G3 | The weight of mature, non-stressed tillers | 1–2 | 1.715 |
| PHINT | Leaf tip appearance interval (°C d) | 60–100 | 71 |
| Code | GCM Name | Abbreviation | Institute ID | Country | Climate Zone | Run Used | Atmospheric Model Spatial Resolution |
|---|---|---|---|---|---|---|---|
| 1 | ACCESS-CM2 | ACC | CSIRO–ARCCSS | Australia | Arid and Tropical | r1i1p1f1 | 1.9° × 1.3° |
| 2 | CanESM5 | CAN | CCCMA | Canada | Continental and Temperate | r1i1p1f1 | 2.8° × 2.8° |
| 3 | EC-Earth3 | ECE | EC–EARTH | Europe | Temperate | r1i1p1f1 | 0.7° × 0.7° |
| 4 | GFDL-ESM4 | GFD | GDFL | USA | Continental | r1i1p1f1 | 1.0° × 1.2° |
| 5 | MIROC6 | MIR | MIROC | Japan | Sub-tropical | r1i1p1f1 | 1.4° × 1.4° |
| Year | Parameter | Anthesis Date (DAP) | Maturity Date (DAP) | Grain Yield (kg ha−1) | Total Dry Matter (kg ha−1) | Harvest Index |
|---|---|---|---|---|---|---|
| 2015–2016 | RMSE | 4.00 | 2.00 | 239.83 | 733.49 | 0.02 |
| (n = 5) | nRMSE (%) | 2.00 | 0.80 | 3.00 | 3.70 | 5.30 |
| r | - | - | 0.94 | 0.59 | 0.88 | |
| 2016–2017 | RMSE | 1.00 | 0.00 | 137.64 | 745.75 | 0.02 |
| (n = 4) | nRMSE (%) | 0.50 | 0.00 | 1.60 | 3.50 | 4.60 |
| r | - | - | 0.97 | 0.94 | 0.47 |
| Near-Term: 2021–2040 | ||||||
|---|---|---|---|---|---|---|
| GCMs | SSP4.5 | SSP8.5 | ||||
| Tmax (°C) | Tmin (°C) | Pr (mm) | Tmax (°C) | Tmin (°C) | Pr (mm) | |
| ACCESS-CM2 | 0.6 | 0.8 | 43.1 | 1 | 0.9 | 48 |
| CanESM5 | 0.6 | 0.8 | −4.5 | 0.4 | 0.8 | 29.5 |
| EC-Earth3 | 1.2 | 0.8 | −51.5 | 1.2 | 0.9 | −39.5 |
| INM-CM5-0 | 1.1 | 0.1 | 37.5 | 1.3 | 0.1 | 41.5 |
| MIROC6 | 0.4 | 0.3 | 52.5 | 0.8 | 0.5 | 55.5 |
| Mid-term: 2041–2060 | ||||||
| ACCESS-CM2 | 1.7 | 1.7 | 39.5 | 1.6 | 1.6 | 20.5 |
| CanESM5 | 1.1 | 1.5 | 64.5 | 1.6 | 2 | 22.5 |
| EC-Earth3 | 1.4 | 1.3 | −12.5 | 1.8 | 1.7 | 20.5 |
| INM-CM5-0 | 1.5 | 0.2 | 43.5 | 1.6 | 0.6 | 49.5 |
| MIROC6 | 0.6 | 0.7 | 38.5 | 1 | 1 | 36.5 |
| Long-term: 2081–2100 | ||||||
| ACCESS-CM2 | 2.1 | 2.1 | 8.5 | 3.2 | 3.7 | 46.5 |
| CanESM5 | 1.5 | 2 | 64.5 | 3.9 | 4.5 | 10.5 |
| EC-Earth3 | 2 | 1.9 | −16.5 | 3.2 | 3.7 | 3.5 |
| INM-CM5-0 | 1.4 | 0.4 | 42.5 | 2.5 | 1.5 | 10.5 |
| MIROC6 | 1.1 | 1.1 | 27.5 | 2 | 2.5 | 35.5 |
Publisher’s Note: MDPI stays neutral with regard to jurisdictional claims in published maps and institutional affiliations. |
© 2022 by the authors. Licensee MDPI, Basel, Switzerland. This article is an open access article distributed under the terms and conditions of the Creative Commons Attribution (CC BY) license (https://creativecommons.org/licenses/by/4.0/).
Share and Cite
Shoukat, M.R.; Cai, D.; Shafeeque, M.; Habib-ur-Rahman, M.; Yan, H. Warming Climate and Elevated CO2 Will Enhance Future Winter Wheat Yields in North China Region. Atmosphere 2022, 13, 1275. https://doi.org/10.3390/atmos13081275
Shoukat MR, Cai D, Shafeeque M, Habib-ur-Rahman M, Yan H. Warming Climate and Elevated CO2 Will Enhance Future Winter Wheat Yields in North China Region. Atmosphere. 2022; 13(8):1275. https://doi.org/10.3390/atmos13081275
Chicago/Turabian StyleShoukat, Muhammad Rizwan, Dongyu Cai, Muhammad Shafeeque, Muhammad Habib-ur-Rahman, and Haijun Yan. 2022. "Warming Climate and Elevated CO2 Will Enhance Future Winter Wheat Yields in North China Region" Atmosphere 13, no. 8: 1275. https://doi.org/10.3390/atmos13081275
APA StyleShoukat, M. R., Cai, D., Shafeeque, M., Habib-ur-Rahman, M., & Yan, H. (2022). Warming Climate and Elevated CO2 Will Enhance Future Winter Wheat Yields in North China Region. Atmosphere, 13(8), 1275. https://doi.org/10.3390/atmos13081275

