Enhancing Capacity for Short-Term Climate Change Adaptations in Agriculture in Serbia: Development of Integrated Agrometeorological Prediction System
Abstract
:1. Introduction
2. Materials and Methods
2.1. Description and Capacity of the Study Region
2.2. IAPS Background Information
2.3. Setup of the Numerical Weather Prediction Model
2.4. Source of Verification Data
3. Results
3.1. Selection of Climate Change Risks for Long Range Forecast
3.2. Long Range Forecast Results and Evaluation
3.2.1. Forecast of Average Summer Temperature
- “Good”: when the observed value is within the interquartile range (25th–75th percentile) of the ensemble forecast and the forecasted (ensemble median) anomaly (warmer/colder) compared to the average climate value has the same sign as the observed anomaly;
- “Medium”: when the observed value is closer to the forecasted (ensemble median) value than to the climate value; the observed value is outside of the most probable range of the ensemble forecast results (25th–75th percentile) but within the ensemble total range of values (min-max); the forecasted (ensemble median) anomaly (warmer/colder) compared to the average climate value has the same sign as the observed anomaly;
- “Poor”: when the forecasted (ensemble median) anomaly has the opposite anomaly sign compared to the average climate value to the observed anomaly and/or the forecasted value is outside of the ensemble values.
3.2.2. Forecast of Phenological Development
- Budburst: 5 days in the March forecast and 3 days in the April forecast;
- Flowering: 2 days in the March forecast and −2 days in the April forecast;
- Veraison: 4 days in the March forecast and 1 day in the April forecast;
- Harvest: 14 days in the March forecast and 9 days in the April forecast.

3.2.3. Drought Forecast
4. Discussion
5. Conclusions
Author Contributions
Funding
Institutional Review Board Statement
Informed Consent Statement
Data Availability Statement
Conflicts of Interest
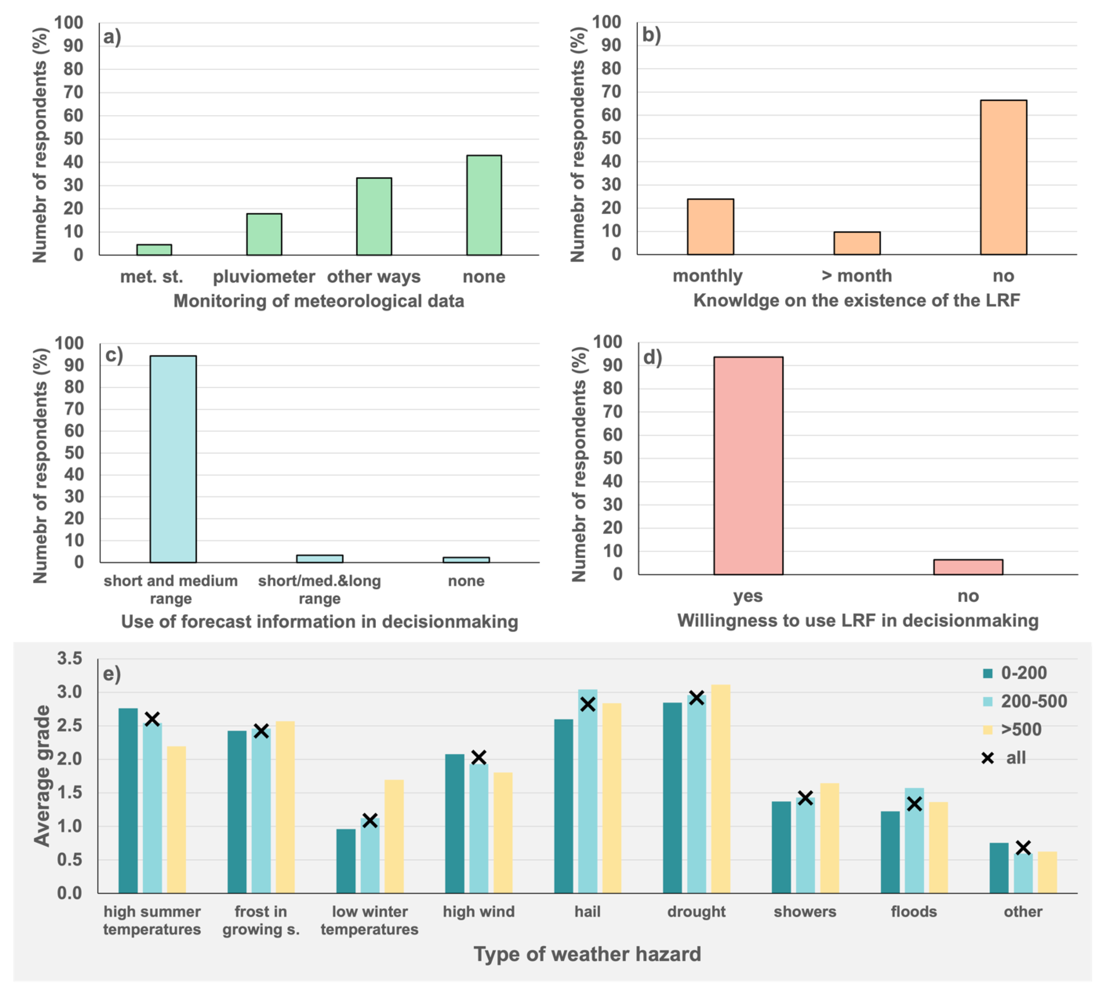
Appendix A. Supplement to the Analysis of the Questionnaire for Producers
- County of residence;
- Municipality of residence;
- Surface area of farm;
- Legal status of producer;
- Altitude range of farm;
- Type of production (annual crops, fruit, grapes, vegetables, etc.);
- Five most represented varieties;
- Grade for the level of damage (0–6) from: high summer temperatures, frost in the growing season, low winter temperatures, high wind/wind gusts, hail, drought, showers/extreme rain, floods and other extreme weather events (not listed);
- Use and monitoring of meteorological measurements in production;
- Knowledge about the existence of long range forecasts;
- Implementation of forecast knowledge in the planning of production;
- Media used for the retrieval of forecast information (TV, internet, etc.);
- Source of weather forecasts (websites, applications, institutions, etc.);
- Form of forecast that is most understandable (graphs, text, etc.);
- Level of trust (1–10) in forecasts 1–2 days in advance;
- Level of trust (1–10) in forecasts up to 7 days in advance;
- Level of trust (1–10) in forecasts for one or more months in advance;
- Level of usability (1–10) of forecasts 1–2 days in advance for planning production activities;
- Level of usability (1–10) of forecasts up to 7 days in advance for planning production activities;
- Level of usability (1–10) of forecasts for one or more months in advance for planning production activities;
- Willingness to implement risk reduction measures according to information from seasonal forecasts; for example: if the forecast predicts that there is a 70% probability that an extreme weather event will occur during the growing season that could damage production, would the producer implement measures to reduce the risks (for annual crops change of variety or hybrid, change of crop rotation, reduction of surface with vulnerable crop; for perennial implementation of some protection measures, or nothing);
- Additional comments on seasonal forecasts and their implementation in agricultural production planning.

Appendix B. Supplement to the Long Range Forecast Analysis for Summer 2017



Appendix C. Supplement to the Long Range Forecast Analysis of the Prediction of Phenophases at the Plavinci Winery for 2017
| OBS | |||||
|---|---|---|---|---|---|
| Budburst | 102 (4/12) | ||||
| Flowering | 143 (5/23) | ||||
| Veraison | 195 (7/14) | ||||
| Harvest | 234 (8/22) | ||||
| LM03 | Min | p25 | p50 | p75 | Max |
| Budburst | 102 | 105 | 107 | 108 | 112 |
| Flowering | 133 | 142 | 145 | 150 | 158 |
| Veraison | 182 | 195 | 199 | 205 | 214 |
| Harvest | 225 | 241 | 248 | 253 | 277 |
| LM04 | Min | p25 | p50 | p75 | Max |
| Budburst | 102 | 104 | 105 | 107 | 113 |
| Flowering | 128 | 138 | 141 | 144 | 155 |
| Veraison | 180 | 192 | 196 | 200 | 215 |
| Harvest | 216 | 236 | 243 | 249 | 285 |
| LM05 | Min | p25 | p50 | p75 | Max |
| Budburst | |||||
| Flowering | 137 | 143 | 146 | 149 | 153 |
| Veraison | 190 | 197 | 201 | 204 | 210 |
| Harvest | 233 | 241 | 247 | 252 | 272 |
| LM06 | Min | p25 | p50 | p75 | Max |
| Budburst | |||||
| Flowering | |||||
| Veraison | 187 | 196 | 198 | 201 | 207 |
| Harvest | 225 | 237 | 242 | 245 | 256 |
| LM07 | Min | p25 | p50 | p75 | Max |
| Budburst | |||||
| Flowering | |||||
| Veraison | 190 | 194 | 197 | 199 | 202 |
| Harvest | 225 | 236 | 239 | 242 | 249 |
| Climate Period 1961–1990 (GDD Managed to Reach Harvest Date in Only 6 of 30 Years) | |||||
|---|---|---|---|---|---|
| Min | p25 | p50 | p75 | Max | |
| Budburst | 81 | 98 | 109 (4/19) | 116 | 127 |
| Flowering | 145 | 152 | 158 (6/7) | 164 | 171 |
| Veraison | 212 | 219 | 224 (8/12) | 230 | 248 |
| Harvest | 272 | 279 | 292 (10/19) | 308 | 331 |
| Climate Period 1991–2017 (GDD Managed to Reach Harvest Date in 24 of 27 Years) | |||||
| Min | p25 | p50 | p75 | Max | |
| Budburst | 80 | 91 | 99 (4/9) | 107 | 121 |
| Flowering | 139 | 146 | 150 (5/30) | 156 | 168 |
| Veraison | 198 | 204 | 209 (7/28) | 214 | 224 |
| Harvest | 240 | 252 | 258 (9/15) | 273 | 310 |
Appendix D. Supplement to the Analysis of Soil Moisture Seasonal Forecasts for 2017
| MAXSMC | REFSMC | WLTSMC | |
|---|---|---|---|
| Sand | 0.395 | 0.236 | 0.023 |
| Loamy Sand | 0.421 | 0.283 | 0.028 |
| Sandy Loam | 0.434 | 0.312 | 0.047 |
| Silty Loam | 0.476 | 0.360 | 0.084 |
| Silt | 0.476 | 0.360 | 0.084 |
| Loam | 0.439 | 0.329 | 0.066 |
| Sandy Clay Loam | 0.404 | 0.315 | 0.069 |
| Silty Clay Loam | 0.464 | 0.387 | 0.120 |
| Clay Loam | 0.465 | 0.382 | 0.103 |
| Sandy Clay | 0.406 | 0.338 | 0.100 |
| Silty Clay | 0.468 | 0.404 | 0.126 |
| Clay | 0.457 | 0.403 | 0.135 |











- Dry soil was forecasted at eight of the ten locations;
- Soil moisture reached its minimum possible value (no available water) in deeper soil (30 cm and 60 cm) at most locations, but at some locations also in shallow parts;
- The major root mass of the cultivars is in deeper soil and, therefore, the deeper soil forecasts are more relevant, which means that the drought forecasts produced by using the long term prediction of soil moisture is a good approach;
- In the latter forecasts, the onset of dry conditions was predicted to occur later, possibly due to the spin-up of the soil conditions in the model because the initial soil moisture conditions were not appropriate and probably overestimated, which means that the model needed time to adjust the soil conditions to the weather conditions; for this reason, it is better for the prediction of soil moisture to use forecasts that are initiated earlier.
References
- Vuković, A.; Vujadinović Mandić, M. Study on Climate Change in the Western Balkans Region; Regional Cooperation Council Secretariat: Sarajevo, Bosnia and Herzegovina, 2018; p. 76. ISBN 978-9926-402-09-9. [Google Scholar]
- Vukovic, A.; Vujadinovic, M.; Rendulic, S.; Djurdjevic, V.; Ruml, M.; Babic, V.; Popovic, D. Global warming impact on climate change in Serbia for the period 1961–2100. Therm. Sci. 2018, 22, 2267–2280. [Google Scholar] [CrossRef]
- Đurdjević, V.; Vuković, A.; Vujadinović Mandić, M. Observed Climate Change in Serbia and Projections of Future Climate Based on Different Scenarios of Future Emissions; United Nation’s Development Program: Belgrade, Serbia, 2018; p. 24. (In Serbian) [Google Scholar]
- Stričević, R.; Prodanović, S.; Đurović, N.; Petrović Obradović, O.; Đurović, D. Climate Change Impacts on Serbian Agriculture; United Nation’s Development Program: Belgrade, Serbia, 2019; p. 52. [Google Scholar]
- Stričević, R.; Lipovac, A.; Prodanović, S.; Ristovski, M.; Petrović Obradović, O.; Djurović, N.; Djurović, D. Vulnerability of agriculture to climate change in Serbia–Farmer’s assessment of impacts and damages. J. Agric. Sci. 2020, 65, 263–281. [Google Scholar]
- Revision of the Nationally Determined Contributions of Republic of Serbia for Paris Agreement–Climate Change Adaptation. Available online: https://www.klimatskepromene.rs/wp-content/uploads/2020/10/CCA-revised-NDCs-DRAFT-OCT-2020.pdf (accessed on 31 July 2022).
- Đurđević, V. Drought Initiative–Republic of Serbia, UNCCD. Available online: https://www.unccd.int/sites/default/files/country_profile_documents/NDP_SERBIA_2020.pdf (accessed on 31 July 2022).
- Vujadinović Mandić, M.; Ranković-Vasić, Z.; Ćosić, M.; Simić, A.; Đurivić, D.; Dolijanović, Ž.; Vuković Vimić, A.; Životić, L.; Stanojević, D.; Lipovac, A. Report on the Impact of Climate Change on the Agriculture Sector, with Proposed Adaptation Measures. Activity 3: Proposed Adaptation Measures. Available online: https://adaptacije.klimatskepromene.rs/wp-content/uploads/2022/03/Agriculture-3.-Proposed-adaptation-measures.pdf (accessed on 31 July 2022).
- Calanca, P.; Bolius, D.; Weigel, A.; Liniger, M. Application of Long-Range Weather Forecasts to Agricultural Decision Problems in Europe. J. Agric. Sci. 2011, 149, 15–22. [Google Scholar] [CrossRef] [Green Version]
- Gunda, T.; Bazuin, J.T.; Nay, J.; Yeung, K.L. Impact of seasonal forecast use on agricultural income in a system with varying crop costs and returns: An empirically-grounded simulation. Environ. Res. Lett. 2017, 12, 034001. [Google Scholar] [CrossRef] [Green Version]
- Manzanas, R.; Gutiérrez, J.M.; Fernández, J.; van Meijgaard, E.; Calmanti, S.; Magariño, M.E.; Cofiño, A.S.; Herrera, S. Dynamical and statistical downscaling of seasonal temperature forecasts in Europe: Added value for user applications. Clim. Serv. 2018, 9, 44–56. [Google Scholar] [CrossRef]
- Nikulin, G.; Asharaf, S.; Magariño, M.E.; Calmanti, S.; Cardoso, R.M.; Bhend, J.; Fernández, J.; Frías, M.D.; Fröhlich, K.; Früh, B.; et al. Dynamical and statistical downscaling of a global seasonal hindcast in eastern Africa. Clim. Serv. 2018, 9, 72–85. [Google Scholar] [CrossRef]
- Gregow, H.; Lehtonen, I.; Pirinen, P.; Venäläinen, A.; Vajda, A.; Koskiniemi, J. Preparing for peat production seasons in Finland and experimenting with long range impact forecasting. Clim. Serv. 2019, 14, 37–50. [Google Scholar] [CrossRef]
- Iizumi, T.; Shin, Y.; Kim, W.; Kim, M.; Choi, J. Global crop yield forecasting using seasonal climate information from a multi-model ensemble. Clim. Serv. 2018, 11, 13–23. [Google Scholar] [CrossRef]
- Streefkerk, I.N.; van den Homberg, M.J.C.; Whitfield, S.; Mittal, N.; Pope, E.; Werner, M.; Winsemius, H.C.; Comes, T.; Ertsen, M.W. Contextualising seasonal climate forecasts by integrating local knowledge on drought in Malawi. Clim. Serv. 2022, 25, 100268. [Google Scholar] [CrossRef]
- Kumar, P.; Shah, S.F.; Uqaili, M.A.; Kumar, L.; Zafar, R.F. Forecasting of Drought: A Case Study of Water-Stressed Region of Pakistan. Atmosphere 2021, 12, 1248. [Google Scholar] [CrossRef]
- Miller, S.; Mishra, V.; Ellenburg, W.L.; Adams, E.; Roberts, J.; Limaye, A.; Griffin, R. Analysis of a Short-Term and a Seasonal Precipitation Forecast over Kenya. Atmosphere 2021, 12, 1371. [Google Scholar] [CrossRef]
- Cowan, T.; Stone, R.; Wheeler, M.C.; Griffiths, M. Improving the seasonal prediction of Northern Australian rainfall onset to help with grazing management decisions. Clim. Serv. 2020, 19, 100182. [Google Scholar] [CrossRef]
- Gbangou, T.; Ludwig, F.; van Slobbe, E.; Hoang, L.; Kranjac-Berisavljevic, G. Seasonal variability and predictability of agro-meteorological indices: Tailoring onset of rainy season estimation to meet farmers’ needs in Ghana. Clim. Serv. 2019, 14, 19–30. [Google Scholar] [CrossRef]
- Ceglar, A.; Toreti, A. Seasonal climate forecast can inform the European agricultural sector well in advance of harvesting. NPJ Clim. Atmos. Sci. 2021, 4, 42. [Google Scholar] [CrossRef]
- Bedia, J.; Golding, N.; Casanueva, A.; Iturbide, M.; Buontempo, C.; Gutiérrez, J.M. Seasonal predictions of Fire Weather Index: Paving the way for their operational applicability in Mediterranean Europe. Clim. Serv. 2018, 9, 101–110. [Google Scholar] [CrossRef]
- Pope, E.C.D.; Buontempo, C.; Economou, T. Exploring constraints on the realised value of a forecast-based climate service. Clim. Serv. 2019, 15, 100102. [Google Scholar] [CrossRef]
- Vaughan, C.; Muth, M.F.; Brown, D.P. Evaluation of regional climate services: Learning from seasonal-scale examples across the Americas. Clim. Serv. 2019, 15, 100104. [Google Scholar] [CrossRef]
- An-Vo, D.-A.; Radanielson, A.M.; Mushtaq, S.; Reardon-Smith, K.; Hewitt, C. A framework for assessing the value of seasonal climate forecasting in key agricultural decisions. Clim. Serv. 2021, 22, 100234. [Google Scholar] [CrossRef]
- Born, L.; Prager, S.; Ramirez-Villegas, J.; Imbach, P. A global meta-analysis of climate services and decision-making in agriculture. Clim. Serv. 2021, 22, 100231. [Google Scholar] [CrossRef]
- Djurdjevic, V.; Janjic, Z.; Pejanovic, G.; Vasic, R.; Rajkovic, B.; Djordjevic, M.; Vujadinovic, M.; Vukovic, A.; Lompar, M. NCEP’s multi-scale NMMB model in the Hydrometeorological Service of Serbia: Experiences and recent model developments. In EGU General Assembly, Geophysical Research Abstracts; EGU2013-8217; EGU General Assembly: Vienna, Austria, 2013; Volume 15. [Google Scholar]
- Janjic, Z.; Gall, R.L. Scientific documentation of the NCEP nonhydrostatic multiscale model on the B grid (NMMB). Part 1 Dynamics (No. NCAR/TN-489+STR). Univ. Corp. Atmos. Res. 2012. [Google Scholar] [CrossRef]
- Haylock, M.R.; Hofstra, N.; Klein Tank, A.M.G.; Klok, E.J.; Jones, P.D.; New, M. A European Daily High-Resolution Gridded Data Set of Surface Temperature and Precipitation for 1950–2006. J. Geophys. Res. 2008, 113, D20119. [Google Scholar] [CrossRef] [Green Version]
- Vujadinović Mandić, M.; Vuković Vimić, A.; Ranković-Vasić, Z.; Đurović, D.; Ćosić, M.; Sotonica, D.; Nikolić, D.; Đurđević, V. Observed Changes in Climate Conditions and Weather-Related Risks in Fruit and Grape Production in Serbia. Atmosphere 2022, 13, 948. [Google Scholar] [CrossRef]
- Vujadinović Mandić, M.; Ranković-Vasić, Z.; Ćosić, M.; Simić, A.; Đurivić, D.; Dolijanović, Ž.; Vuković Vimić, A.; Životić, L.; Stanojević, D.; Lipovac, A. Report on the Impact of Climate Change on the Agriculture Sector, with Proposed Adaptation Measures. Activity 1: Risk and Vulnerability Assessment–Observed: Occurrences, Impacts, and Levels of Affectedness within. Available online: https://adaptacije.klimatskepromene.rs/wp-content/uploads/2022/03/Agriculture-1.-Risk-and-Vulnerability-assessment.pdf (accessed on 31 July 2022).
- Vujadinović Mandić, M.; Ranković-Vasić, Z.; Ćosić, M.; Simić, A.; Đurivić, D.; Dolijanović, Ž.; Vuković Vimić, A.; Životić, L.; Stanojević, D.; Lipovac, A. Report on the Impact of Climate Change on the Agriculture Sector, with Proposed Adaptation Measures. Activity 2: Assessing the Impact of Climate Change on the Agricultural Sector in the Future. Available online: https://adaptacije.klimatskepromene.rs/wp-content/uploads/2022/03/Agriculture-2.-Assessing-climate-change-in-teh-future.pdf (accessed on 31 July 2022).
- Životić, L.; Vuković Vimić, A. Soil Degradation and Climate Change in Serbia; United Nation’s Development Program: Belgrade, Serbia, 2022; p. 24. ISBN 978-86-7728-356-8. [Google Scholar]
- Beguería, S.; Vicente-Serrano, S.M.; Reig, F.; Latorre, B. Standardized precipitation evapotranspiration index (SPEI) revisited: Parameter fitting, evapotranspiration models, tools, datasets and drought monitoring. Int. J. Climatol. 2013, 34, 3001–3023. [Google Scholar] [CrossRef] [Green Version]
- Esit, M.; Kumar, S.; Pandey, A.; Lawrence, D.M.; Rangwala, I.; Yeager, S. Seasonal to multi-year soil moisture drought forecasting. NPJ Clim. Atmos. Sci. 2021, 4, 16. [Google Scholar] [CrossRef]
- Vuković Vimić, A.; Vujadinović Mandić, M.; Đurđević, V.; Ranković-Vasić, Z.; Ćosić, M.; Nikolić, D. Seasonal Forecast and Agricultural Production. In Proceedings of the Seasonal Forecast and Adaptation of Agriculture to Climate Change, Belgrade, Serbia, 19 May 2022; ISBN 978-86-7834-400-8. [Google Scholar]







| Acr. | Long. (°) | Lat. (°) | Alt. (m) | Name |
|---|---|---|---|---|
| pal | 46.10 | 19.77 | 102 | Palic |
| srm | 44.97 | 19.63 | 81 | Sremska Mitrovica |
| smp | 44.37 | 20.95 | 122 | Smederevska Palanka |
| vlj | 44.28 | 19.92 | 176 | Valjevo |
| kra | 43.72 | 20.70 | 215 | Kraljevo |
| nis | 43.33 | 21.87 | 197 | Nis |
| vra | 42.48 | 21.90 | 432 | Vranje |
| zaj | 43.88 | 22.28 | 144 | Zajecar |
| zla | 43.73 | 19.72 | 1028 | Zlatibor |
| sje | 43.27 | 20.02 | 1038 | Sjenica |
| PLA | 44.70 | 20.69 | 170 | Plavinci Winery |
Publisher’s Note: MDPI stays neutral with regard to jurisdictional claims in published maps and institutional affiliations. |
© 2022 by the authors. Licensee MDPI, Basel, Switzerland. This article is an open access article distributed under the terms and conditions of the Creative Commons Attribution (CC BY) license (https://creativecommons.org/licenses/by/4.0/).
Share and Cite
Vuković Vimić, A.; Djurdjević, V.; Ranković-Vasić, Z.; Nikolić, D.; Ćosić, M.; Lipovac, A.; Cvetković, B.; Sotonica, D.; Vojvodić, D.; Vujadinović Mandić, M. Enhancing Capacity for Short-Term Climate Change Adaptations in Agriculture in Serbia: Development of Integrated Agrometeorological Prediction System. Atmosphere 2022, 13, 1337. https://doi.org/10.3390/atmos13081337
Vuković Vimić A, Djurdjević V, Ranković-Vasić Z, Nikolić D, Ćosić M, Lipovac A, Cvetković B, Sotonica D, Vojvodić D, Vujadinović Mandić M. Enhancing Capacity for Short-Term Climate Change Adaptations in Agriculture in Serbia: Development of Integrated Agrometeorological Prediction System. Atmosphere. 2022; 13(8):1337. https://doi.org/10.3390/atmos13081337
Chicago/Turabian StyleVuković Vimić, Ana, Vladimir Djurdjević, Zorica Ranković-Vasić, Dragan Nikolić, Marija Ćosić, Aleksa Lipovac, Bojan Cvetković, Dunja Sotonica, Dijana Vojvodić, and Mirjam Vujadinović Mandić. 2022. "Enhancing Capacity for Short-Term Climate Change Adaptations in Agriculture in Serbia: Development of Integrated Agrometeorological Prediction System" Atmosphere 13, no. 8: 1337. https://doi.org/10.3390/atmos13081337
APA StyleVuković Vimić, A., Djurdjević, V., Ranković-Vasić, Z., Nikolić, D., Ćosić, M., Lipovac, A., Cvetković, B., Sotonica, D., Vojvodić, D., & Vujadinović Mandić, M. (2022). Enhancing Capacity for Short-Term Climate Change Adaptations in Agriculture in Serbia: Development of Integrated Agrometeorological Prediction System. Atmosphere, 13(8), 1337. https://doi.org/10.3390/atmos13081337

