The Extraordinary Trend of the Spatial Distribution of PM2.5 Concentration and Its Meteorological Causes in Sichuan Basin
Abstract
1. Introduction
2. Materials and Methods
2.1. Study Area
2.2. PM2.5 Concentration Data and Spatial Characterization Method
2.3. ERA5 Reanalysis Data and Objective Synoptic Classification
3. Results and Discussion
3.1. Variations in PM2.5 Spatial Disparity
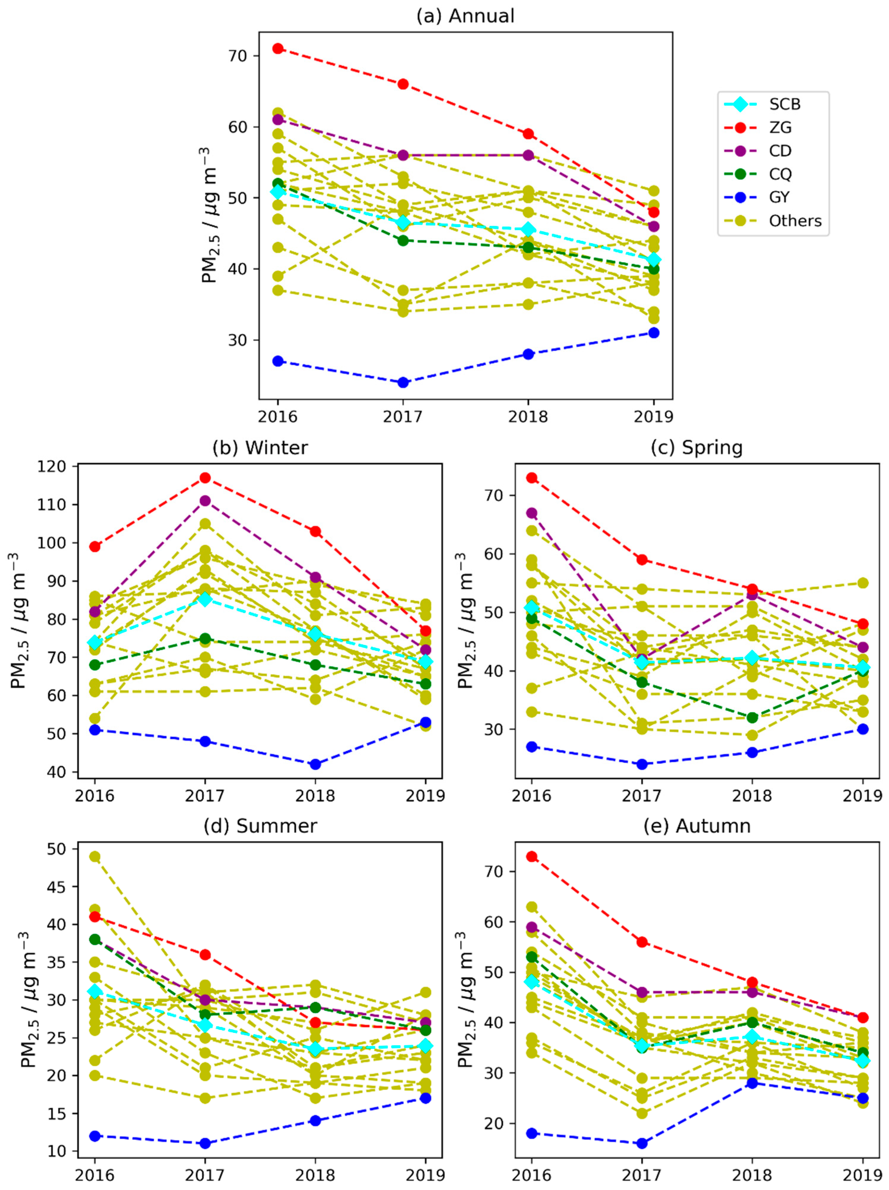
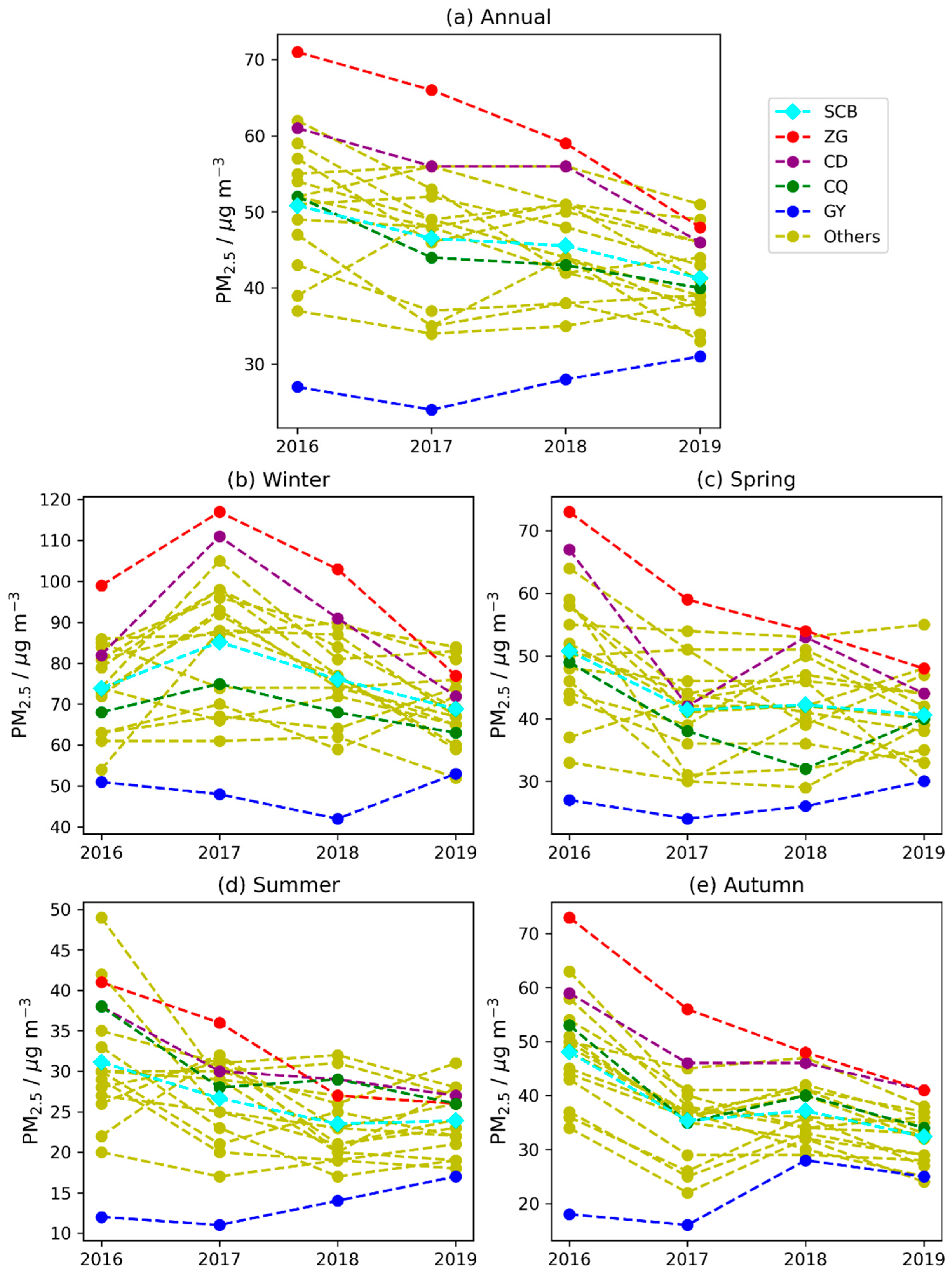
3.2. Variations in PM2.5 Spatial Distribution
3.3. Synoptic Patterns and Their Impacts on PM2.5 Spatial Distribution
3.3.1. Identified Synoptic Patterns
3.3.2. The Impacts of Synoptic Patterns on PM2.5 Spatial Distribution
3.3.3. The Mechanisms of the Impacts of Synoptic Patterns on PM2.5 Spatial Distribution
3.3.4. The Synoptic Causes of PM2.5 Distribution Variations
4. Conclusions
Author Contributions
Funding
Institutional Review Board Statement
Informed Consent Statement
Conflicts of Interest
References
- Green, M.C.; Chen, L.W.A.; DuBois, D.W.; Molenar, J.V. Fine particulate matter and visibility in the Lake Tahoe Basin: Chemical characterization, trends, and source apportionment. J. Air Waste Manag. Assoc. 2012, 62, 953–965. [Google Scholar] [CrossRef][Green Version]
- Silva, R.A.; Adelman, Z.; Fry, M.M.; West, J.J. The Impact of Individual Anthropogenic Emissions Sectors on the Global Burden of Human Mortality due to Ambient Air Pollution. Environ. Health Perspect. 2016, 124, 1776–1784. [Google Scholar] [CrossRef]
- Wang, Y.G.; Ying, Q.; Hu, J.L.; Zhang, H.L. Spatial and temporal variations of six criteria air pollutants in 31 provincial capital cities in China during 2013–2014. Environ. Int. 2014, 73, 413–422. [Google Scholar] [CrossRef] [PubMed]
- Guo, Y.M.; Zeng, H.M.; Zheng, R.S.; Li, S.S.; Barnett, A.G.; Zhang, S.W.; Zou, X.N.; Huxley, R.; Chen, W.Q.; Williams, G. The association between lung cancer incidence and ambient air pollution in China: A spatiotemporal analysis. Environ. Res. 2016, 144, 60–65. [Google Scholar] [CrossRef] [PubMed]
- Cohen, A.J.; Brauer, M.; Burnett, R.; Anderson, H.R.; Frostad, J.; Estep, K.; Balakrishnan, K.; Brunekreef, B.; Dandona, L.; Dandona, R.; et al. Estimates and 25-year trends of the global burden of disease attributable to ambient air pollution: An analysis of data from the Global Burden of Diseases Study 2015. Lancet 2017, 389, 1907–1918. [Google Scholar] [CrossRef]
- Albrecht, B.A. Aerosols, Cloud Microphysics, and Fractional Cloudiness. Science 1989, 245, 1227–1230. [Google Scholar] [CrossRef]
- Guo, J.P.; Liu, H.; Li, Z.Q.; Rosenfeld, D.; Jiang, M.J.; Xu, W.X.; Jiang, J.H.; He, J.; Chen, D.D.; Min, M.; et al. Aerosol-induced changes in the vertical structure of precipitation: A perspective of TRMM precipitation radar. Atmos. Chem. Phys. 2018, 18, 13329–13343. [Google Scholar] [CrossRef]
- Yang, X.; Zhao, C.F.; Guo, J.P.; Wang, Y. Intensification of aerosol pollution associated with its feedback with surface solar radiation and winds in Beijing. J. Geophys. Res.-Atmos. 2016, 121, 4093–4099. [Google Scholar] [CrossRef]
- Mu, M.; Zhang, R.H. Addressing the issue of fog and haze: A promising perspective from meteorological science and technology. Sci. China-Earth Sci. 2014, 57, 1–2. [Google Scholar] [CrossRef]
- Wang, H.J.; Chen, H.P. Understanding the recent trend of haze pollution in eastern China: Roles of climate change. Atmos. Chem. Phys. 2016, 16, 4205–4211. [Google Scholar] [CrossRef]
- Ning, G.C.; Wang, S.G.; Ma, M.J.; Ni, C.J.; Shang, Z.W.; Wang, J.X.; Li, J.X. Characteristics of air pollution in different zones of Sichuan Basin, China. Sci. Total Environ. 2018, 612, 975–984. [Google Scholar] [CrossRef] [PubMed]
- He, J.J.; Gong, S.L.; Yu, Y.; Yu, L.J.; Wu, L.; Mao, H.J.; Song, C.B.; Zhao, S.P.; Liu, H.L.; Li, X.Y.; et al. Air pollution characteristics and their relation to meteorological conditions during 2014–2015 in major Chinese cities. Environ. Pollut. 2017, 223, 484–496. [Google Scholar] [CrossRef] [PubMed]
- Su, F.C.; Xu, Q.X.; Wang, K.; Yin, S.S.; Wang, S.B.; Zhang, R.Q.; Tang, X.Y.; Ying, Q. On the effectiveness of short-term intensive emission controls on ozone and particulate matter in a heavily polluted megacity in central China. Atmos. Environ. 2021, 246, 118111. [Google Scholar] [CrossRef]
- Wang, J.D.; Zhao, B.; Wang, S.X.; Yang, F.M.; Xing, J.; Morawska, L.; Ding, A.J.; Kulmala, M.; Kerminen, V.M.; Kujansuu, J.; et al. Particulate matter pollution over China and the effects of control policies. Sci. Total Environ. 2017, 584, 426–447. [Google Scholar] [CrossRef]
- Li, X.; Feng, Y.J.; Liang, H.Y.; Iop. The Impact of Meteorological Factors on PM2.5 Variations in Hong Kong. In Proceedings of the 8th International Conference on Environmental Science and Technology (ICEST), Technical University of Madrid, Computer Science School, Madrid, Spain, 12–14 June 2017. [Google Scholar]
- Xu, J.M.; Chang, L.Y.; Qu, Y.H.; Yan, F.X.; Wang, F.Y.; Fu, Q.Y. The meteorological modulation on PM2.5 interannual oscillation during 2013 to 2015 in Shanghai, China. Sci. Total Environ. 2016, 572, 1138–1149. [Google Scholar] [CrossRef] [PubMed]
- Ning, G.C.; Wang, S.G.; Yim, S.H.L.; Li, J.X.; Hu, Y.L.; Shang, Z.W.; Wang, J.Y.; Wang, J.X. Impact of low-pressure systems on winter heavy air pollution in the northwest Sichuan Basin, China. Atmos. Chem. Phys. 2018, 18, 13601–13615. [Google Scholar] [CrossRef]
- Li, Z.Q.; Guo, J.P.; Ding, A.J.; Liao, H.; Liu, J.J.; Sun, Y.L.; Wang, T.J.; Xue, H.W.; Zhang, H.S.; Zhu, B. Aerosol and boundary-layer interactions and impact on air quality. Natl. Sci. Rev. 2017, 4, 810–833. [Google Scholar] [CrossRef]
- Miao, Y.C.; Liu, S.H. Linkages between aerosol pollution and planetary boundary layer structure in China. Sci. Total Environ. 2019, 650, 288–296. [Google Scholar] [CrossRef]
- Miao, Y.C.; Che, H.Z.; Zhang, X.Y.; Liu, S.H. Integrated impacts of synoptic forcing and aerosol radiative effect on boundary layer and pollution in the Beijing-Tianjin-Hebei region, China. Atmos. Chem. Phys. 2020, 20, 5899–5909. [Google Scholar] [CrossRef]
- Ding, Y.H.; Liu, Y.J. Analysis of long-term variations of fog and haze in China in recent 50 years and their relations with atmospheric humidity. Sci. China-Earth Sci. 2014, 57, 36–46. [Google Scholar] [CrossRef]
- Sun, Y.L.; Wang, Z.F.; Fu, P.Q.; Jiang, Q.; Yang, T.; Li, J.; Ge, X.L. The impact of relative humidity on aerosol composition and evolution processes during wintertime in Beijing, China. Atmos. Environ. 2013, 77, 927–934. [Google Scholar] [CrossRef]
- Li, J.D.; Hao, X.; Liao, H.; Hu, J.L.; Chen, H.S. Meteorological Impact on Winter PM2.5 Pollution in Delhi: Present and Future Projection under a Warming Climate. Geophys. Res. Lett. 2021, 48, 10. [Google Scholar] [CrossRef]
- Zhang, J.P.; Zhu, T.; Zhang, Q.H.; Li, C.C.; Shu, H.L.; Ying, Y.; Dai, Z.P.; Wang, X.; Liu, X.Y.; Liang, A.M.; et al. The impact of circulation patterns on regional transport pathways and air quality over Beijing and its surroundings. Atmos. Chem. Phys. 2012, 12, 5031–5053. [Google Scholar] [CrossRef]
- Miao, Y.C.; Guo, J.P.; Liu, S.H.; Liu, H.; Li, Z.Q.; Zhang, W.C.; Zhai, P.M. Classification of summertime synoptic patterns in Beijing and their associations with boundary layer structure affecting aerosol pollution. Atmos. Chem. Phys. 2017, 17, 3097–3110. [Google Scholar] [CrossRef]
- Miao, Y.C.; Liu, S.H.; Guo, J.P.; Huang, S.X.; Yan, Y.; Lou, M.Y. Unraveling the relationships between boundary layer height and PM2.5 pollution in China based on four-year radiosonde measurements. Environ. Pollut. 2018, 243, 1186–1195. [Google Scholar] [CrossRef] [PubMed]
- Zhan, C.C.; Xie, M.; Fang, D.X.; Wang, T.J.; Wu, Z.; Lu, H.; Li, M.M.; Chen, P.L.; Zhuang, B.L.; Li, S.; et al. Synoptic weather patterns and their impacts on regional particle pollution in the city cluster of the Sichuan Basin, China. Atmos. Environ. 2019, 208, 34–47. [Google Scholar] [CrossRef]
- Liao, T.T.; Gui, K.; Jiang, W.T.; Wang, S.G.; Wang, B.H.; Zeng, Z.L.; Che, H.Z.; Wang, Y.Q.; Sun, Y. Air stagnation and its impact on air quality during winter in Sichuan and Chongqing, southwestern China. Sci. Total Environ. 2018, 635, 576–585. [Google Scholar] [CrossRef]
- Wang, H.B.; Shi, G.M.; Tian, M.; Zhang, L.M.; Chen, Y.; Yang, F.M.; Cao, X.Y. Aerosol optical properties and chemical composition apportionment in Sichuan Basin, China. Sci. Total Environ. 2017, 577, 245–257. [Google Scholar] [CrossRef]
- Zhao, S.Y.; Feng, T.; Tie, X.X.; Wang, Z.B. The warming Tibetan Plateau improves winter air quality in the Sichuan Basin, China. Atmos. Chem. Phys. 2020, 20, 14873–14887. [Google Scholar] [CrossRef]
- Shu, Z.Z.; Liu, Y.B.; Zhao, T.L.; Xia, J.R.; Wang, C.G.; Cao, L.; Wang, H.L.; Zhang, L.; Zheng, Y.; Shen, L.J.; et al. Elevated 3D structures of PM2.5 and impact of complex terrain-forcing circulations on heavy haze pollution over Sichuan Basin, China. Atmos. Chem. Phys. 2021, 21, 9253–9268. [Google Scholar] [CrossRef]
- Zhao, S.P.; Yu, Y.; Yin, D.Y.; Qin, D.H.; He, J.J.; Li, J.L.; Dong, L.X. Two winter PM2.5 pollution types and the causes in the city clusters of Sichuan Basin, Western China. Sci. Total Environ. 2018, 636, 1228–1240. [Google Scholar] [CrossRef] [PubMed]
- Hersbach, H.; Bell, B.; Berrisford, P.; Hirahara, S.; Horanyi, A.; Munoz-Sabater, J.; Nicolas, J.; Peubey, C.; Radu, R.; Schepers, D.; et al. The ERA5 global reanalysis. Q. J. R. Meteorol. Soc. 2020, 146, 1999–2049. [Google Scholar] [CrossRef]
- Kuma, P.; Bender, F.A.M.; Schuddeboom, A.; McDonald, A.J.; Seland, Ø. Machine learning of cloud types shows higher climate sensitivity is associated with lower cloud biases. Atmos. Chem. Phys. Discuss. 2022, 2022, 184. [Google Scholar] [CrossRef]
- Dekhtyareva, A.; Hermanson, M.; Nikulina, A.; Hermansen, O.; Svendby, T.; Holmén, K.; Graversen, R. Springtime nitrogen oxides and tropospheric ozone in Svalbard: Results from the measurement station network. Atmos. Chem. Phys. Discuss. 2021, 2021, 770. [Google Scholar] [CrossRef]
- Barten, J.G.M.; Ganzeveld, L.N.; Steeneveld, G.J.; Krol, M.C. Role of oceanic ozone deposition in explaining temporal variability in surface ozone at High Arctic sites. Atmos. Chem. Phys. 2021, 21, 10229–10248. [Google Scholar] [CrossRef]
- Huth, R.; Beck, C.; Philipp, A.; Demuzere, M.; Ustrnul, Z.; Cahynova, M.; Kysely, J.; Tveito, O.E. Classifications of Atmospheric Circulation Patterns Recent Advances and Applications. In Trends and Directions in Climate Research; Gimeno, L., GarciaHerrera, R., Trigo, R.M., Eds.; Annals of the New York Academy of Sciences, Wiley-Blackwell: Hoboken, NJ, USA, 2008; Volume 1146, pp. 105–152. [Google Scholar]
- Philipp, A.; Beck, C.; Huth, R.; Jacobeit, J. Development and comparison of circulation type classifications using the COST 733 dataset and software. Int. J. Climatol. 2016, 36, 2673–2691. [Google Scholar] [CrossRef]
- Philipp, A.; Beck, C.; Esteban, P.; Kreienkamp, F.; Krennert, T.; Lochbihler, K.; Lykoudis, S.P.; Pianko-Kluczynska, K.; Post, P.; Alvarez, D.R.; et al. Cost733Class-1.2 User Guide; University of Augsburg: Augsburg, Germany, 2014. [Google Scholar]
- Philipp, A.; Bartholy, J.; Beck, C.; Erpicum, M.; Esteban, P.; Fettweis, X.; Huth, R.; James, P.; Jourdain, S.; Kreienkamp, F.; et al. Cost733cat—A database of weather and circulation type classifications. Phys. Chem. Earth 2010, 35, 360–373. [Google Scholar] [CrossRef]
- Wang, Y.; Li, H.; Feng, J.; Wang, W.; Liu, Z.; Huang, L.; Yaluk, E.; Lu, G.; Manomaiphiboon, K.; Gong, Y.; et al. Spatial Characteristics of PM2.5 Pollution among Cities and Policy Implication in the Northern Part of the North China Plain. Atmosphere 2021, 12, 77. [Google Scholar] [CrossRef]
- Wang, Y.; Sun, Y.; Zhang, Z.; Cheng, Y. Spatiotemporal variation and source analysis of air pollutants in the Harbin-Changchun (HC) region of China during 2014–2020. Environ. Sci. Ecotech. 2021, 8, 100126. [Google Scholar] [CrossRef]
- Wang, G.; Leng, W.; Jiang, S.; Cao, B. Long-Term Variation in Wintertime Atmospheric Diffusion Conditions over the Sichuan Basin. Front. Environ. Sci. 2021, 9, 763504. [Google Scholar] [CrossRef]











| Year | Annual | Winter | Spring | Summer | Autumn | 
|---|---|---|---|---|---|
| 2016 | 51 ± 10 | 74 ± 12 | 51 ± 11 | 31 ± 8 | 48 ± 11 | 
| 2017 | 46 ± 10 | 85 ± 18 | 41 ± 9 | 27 ± 6 | 35 ± 9 | 
| 2018 | 46 ± 8 | 76 ± 14 | 42 ± 8 | 24 ± 5 | 37 ± 6 | 
| 2019 | 41 ± 6 | 69 ± 9 | 41 ± 7 | 24 ± 4 | 32 ± 5 | 
| Type | Season | 2016 | 2017 | 2018 | 2019 | Type | Season | 2016 | 2017 | 2018 | 2019 | 
|---|---|---|---|---|---|---|---|---|---|---|---|
| Type 1 | Winter | 22 | 33 | 21 | 28 | Type 2 | Winter | 17 | 16 | 22 | 9 | 
| Spring | 40 | 35 | 36 | 26 | Spring | 17 | 23 | 28 | 28 | ||
| Summer | 30 | 38 | 29 | 22 | Summer | 18 | 15 | 9 | 16 | ||
| Autumn | 17 | 18 | 18 | 19 | Autumn | 14 | 19 | 24 | 11 | ||
| Type 3 | Winter | 42 | 31 | 38 | 20 | Type 4 | Winter | 0 | 0 | 0 | 1 | 
| Spring | 9 | 17 | 5 | 16 | Spring | 5 | 1 | 5 | 4 | ||
| Summer | 1 | 2 | 0 | 0 | Summer | 27 | 16 | 41 | 26 | ||
| Autumn | 15 | 18 | 21 | 17 | Autumn | 37 | 25 | 18 | 36 | ||
| Type 5 | Winter | 5 | 1 | 4 | 6 | Type 6 | Winter | 5 | 9 | 5 | 26 | 
| Spring | 18 | 16 | 15 | 15 | Spring | 3 | 0 | 3 | 2 | ||
| Summer | 14 | 18 | 12 | 23 | Summer | 0 | 0 | 0 | 0 | ||
| Autumn | 7 | 7 | 7 | 4 | Autumn | 1 | 1 | 2 | 2 | 
| Publisher’s Note: MDPI stays neutral with regard to jurisdictional claims in published maps and institutional affiliations. | 
© 2022 by the authors. Licensee MDPI, Basel, Switzerland. This article is an open access article distributed under the terms and conditions of the Creative Commons Attribution (CC BY) license (https://creativecommons.org/licenses/by/4.0/).
Share and Cite
Xiang, X.; Shi, G.; Wu, X.; Yang, F. The Extraordinary Trend of the Spatial Distribution of PM2.5 Concentration and Its Meteorological Causes in Sichuan Basin. Atmosphere 2022, 13, 853. https://doi.org/10.3390/atmos13060853
Xiang X, Shi G, Wu X, Yang F. The Extraordinary Trend of the Spatial Distribution of PM2.5 Concentration and Its Meteorological Causes in Sichuan Basin. Atmosphere. 2022; 13(6):853. https://doi.org/10.3390/atmos13060853
Chicago/Turabian StyleXiang, Xing, Guangming Shi, Xiaodong Wu, and Fumo Yang. 2022. "The Extraordinary Trend of the Spatial Distribution of PM2.5 Concentration and Its Meteorological Causes in Sichuan Basin" Atmosphere 13, no. 6: 853. https://doi.org/10.3390/atmos13060853
APA StyleXiang, X., Shi, G., Wu, X., & Yang, F. (2022). The Extraordinary Trend of the Spatial Distribution of PM2.5 Concentration and Its Meteorological Causes in Sichuan Basin. Atmosphere, 13(6), 853. https://doi.org/10.3390/atmos13060853
 
         
                                                


 
       