Short-Term Effects of Apparent Temperature on Cause-Specific Mortality in the Urban Area of Thessaloniki, Greece
Abstract
:1. Introduction
2. Data and Methods
2.1. Study Area
2.2. Meteorological and Mortality Data
2.3. Data Analysis
- (a)
- The Quasi Akaike Information Criterion (QAIC), a modified version of AIC to deal with the over-dispersed Poisson model, which can be used to assess the model fit of the quasi-Poisson regression model. It considers both the statistical fitness of the model and the number of parameters fitted [47].
- (b)
- The partial autocorrelation function (PACF) criterion calculated as the absolute value of the sum of the partial autocorrelations of the residuals from lags 1 to 20 [48]. PACF investigates the remaining autocorrelation.
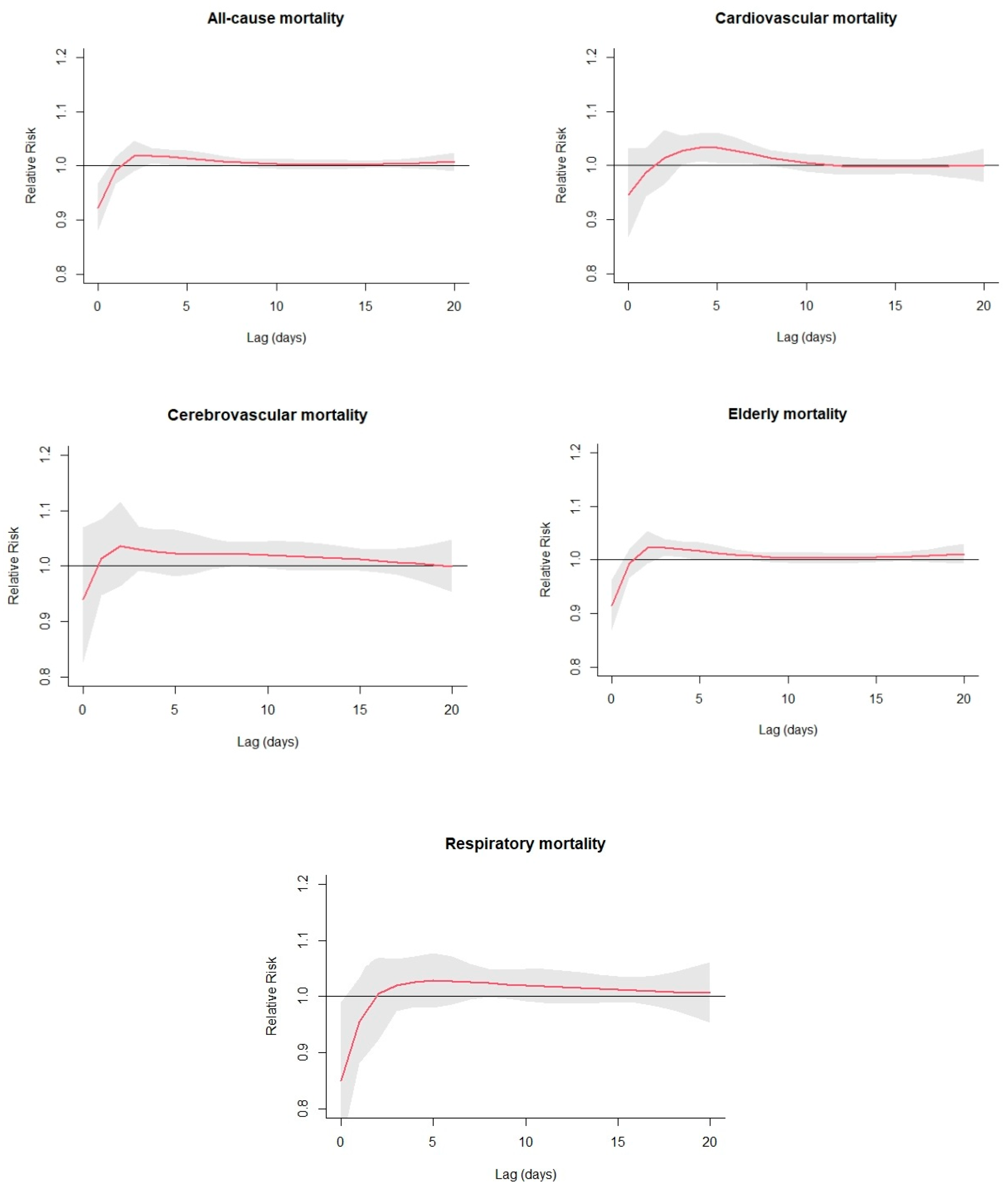
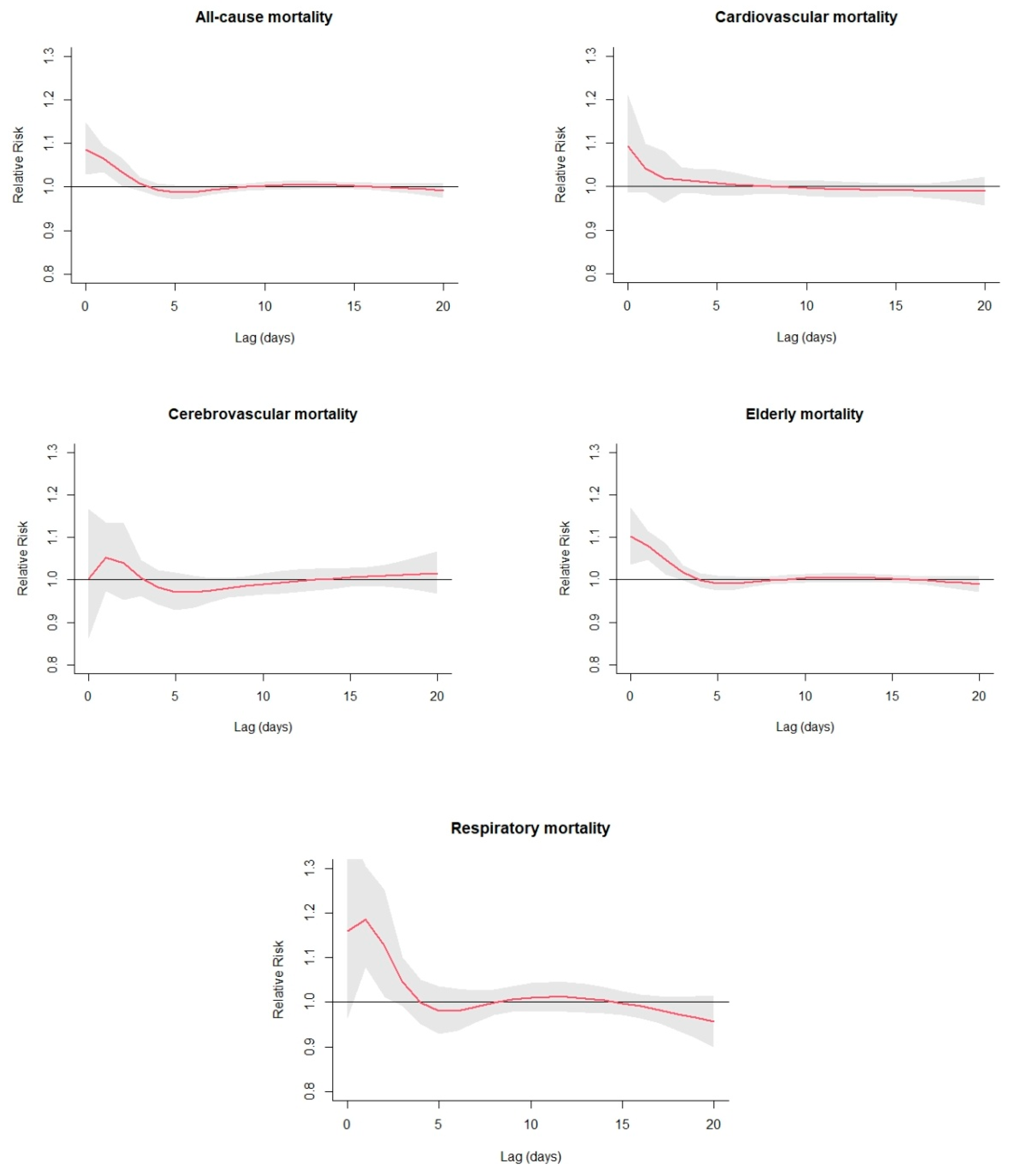
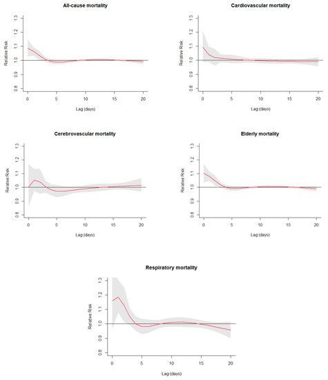
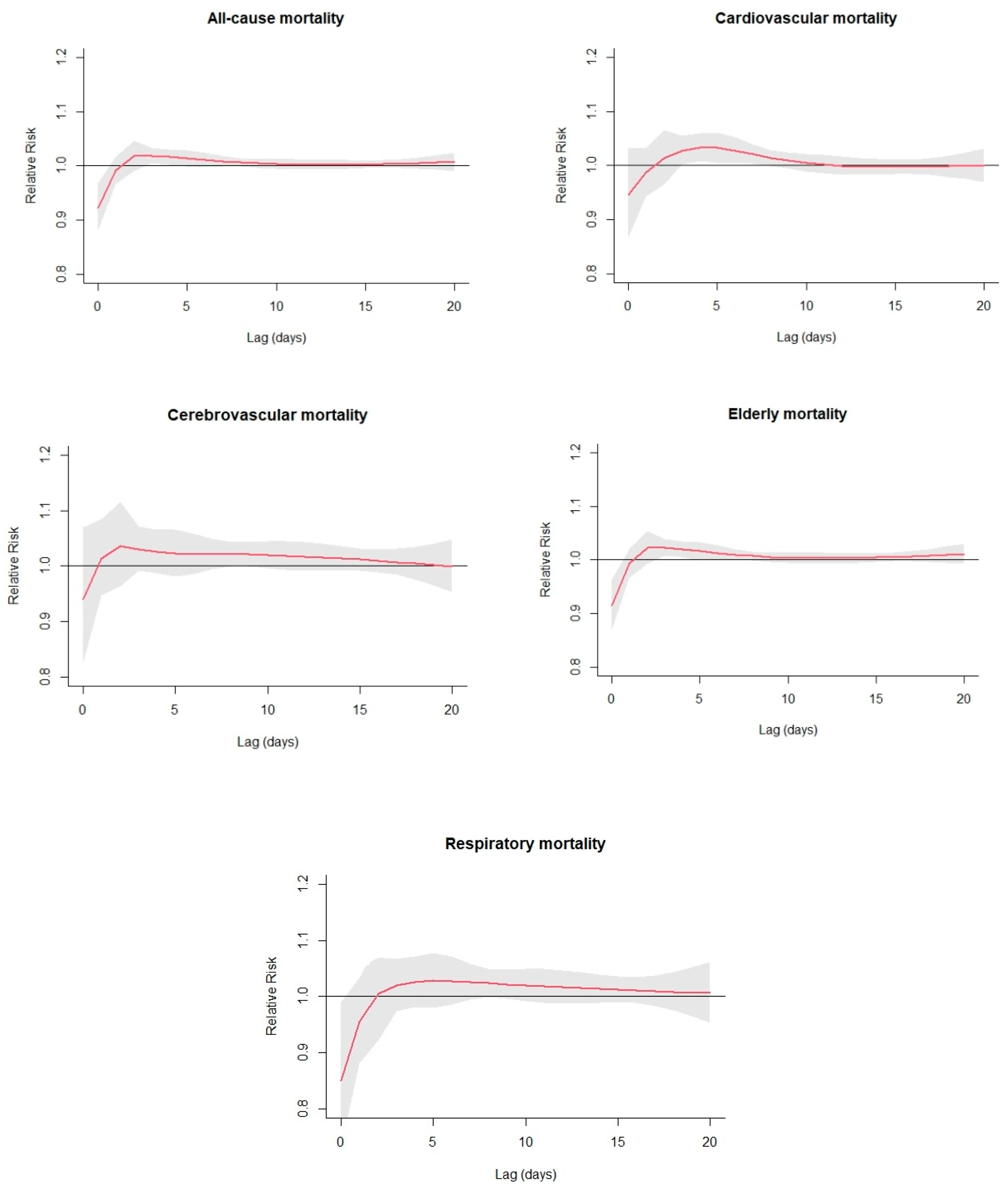
3. Results and Discussion
- (a)
- Extreme cold: minimum to 5th percentile
- (b)
- Mild cold: 5th percentile to MMT
- (c)
- Mild hot: MMT to 95th percentile
- (d)
- Extreme hot: 95th percentile to maximum
4. Conclusions
Author Contributions
Funding
Institutional Review Board Statement
Data Availability Statement
Conflicts of Interest
References
- Basu, R.; Samet, J.M. Relation between elevated ambient temperature and mortality: A review of the epidemiologic evidence. Epidemiol. Rev. 2002, 24, 190–202. [Google Scholar] [CrossRef] [PubMed]
- McGregor, G.R.; Bessemoulin, P.; Ebi, K.; Menne, B. Heatwaves and Health: Guidance on Warning-System Development; World Meteorological Organization and World Health Organization: Geneva, Switzerland, 2015; ISBN 9789263111425. [Google Scholar]
- Anderson, B.G.; Bell, M.L. Weather-Related Mortality. Epidemiology 2009, 20, 205–213. [Google Scholar] [CrossRef] [PubMed] [Green Version]
- Analitis, A.; Katsouyanni, K.; Biggeri, A.; Baccini, M.; Forsberg, B.; Bisanti, L.; Kirchmayer, U.; Ballester, F.; Cadum, E.; Goodman, P.G.; et al. Effects of cold weather on mortality: Results from 15 European cities within the PHEWE project. Am. J. Epidemiol. 2008, 168, 1397–1408. [Google Scholar] [CrossRef] [PubMed] [Green Version]
- Keppas, S.C.; Papadogiannaki, S.; Parliari, D.; Kontos, S.; Poupkou, A.; Tzoumaka, P.; Kelessis, A.; Zanis, P.; Casasanta, G.; De’donato, F.; et al. Future climate change impact on urban heat island in two mediterranean cities based on high-resolution regional climate simulations. Atmosphere 2021, 12, 884. [Google Scholar] [CrossRef]
- Iyakaremye, V.; Zeng, G.; Ullah, I.; Gahigi, A.; Mumo, R.; Ayugi, B. Recent Observed Changes in Extreme High-Temperature Events and Associated Meteorological Conditions over Africa. Int. J. Climatol. 2021, 1–16. [Google Scholar] [CrossRef]
- Ullah, I.; Saleem, F.; Iyakaremye, V.; Yin, J.; Ma, X.; Syed, S.; Hina, S.; Asfaw, T.G.; Omer, A. Projected Changes in Socioeconomic Exposure to Heatwaves in South Asia Under Changing Climate. Earth’s Future 2022, 10, e2021EF002240. [Google Scholar] [CrossRef]
- Giannaros, C.; Melas, D.; Giannaros, T.M. On the short-term simulation of heat waves in the Southeast Mediterranean: Sensitivity of the WRF model to various physics schemes. Atmos. Res. 2019, 218, 99–116. [Google Scholar] [CrossRef]
- Georgoulias, A.K.; Akritidis, D.; Kalisoras, A.; Kapsomenakis, J.; Melas, D.; Zerefos, C.S.; Zanis, P. Climate change projections for Greece in the 21st century from high-resolution EURO-CORDEX RCM simulations. Atmos. Res. 2022, 271, 106049. [Google Scholar] [CrossRef]
- Giannakopoulos, C.; Le Sager, P.; Bindi, M.; Moriondo, M.; Kostopoulou, E.; Goodess, C.M. Climatic changes and associated impacts in the Mediterranean resulting from a 2 °C global warming. Glob. Planet. Change 2009, 68, 209–224. [Google Scholar] [CrossRef]
- Papanastasiou, D.K.; Melas, D.; Kambezidis, H.D. Air quality and thermal comfort levels under extreme hot weather. Atmos. Res. 2015, 152, 4–13. [Google Scholar] [CrossRef]
- Watts, N.; Adger, W.N.; Agnolucci, P. Health and climate change: Policy responses to protect public health. Lancet 2015, 386, 1861–1914. [Google Scholar] [CrossRef]
- Armstrong, B.G.; Chalabi, Z.; Fenn, B.; Hajat, S.; Kovats, S.; Milojevic, A.; Wilkinson, P. Association of mortality with high temperatures in a temperate climate: England and Wales. J. Epidemiol. Community Health 2011, 65, 340–345. [Google Scholar] [CrossRef] [PubMed] [Green Version]
- Matthies, F.; Bickler, G.; Marin, N.; Hales, S. Heat–Health Action Plans-Guidance; World Health Organization: Geneva, Switzerland, 2008; Available online: http://www.euro.who.int/__data/assets/pdf_file/0006/95919/E91347.pdf (accessed on 29 April 2022).
- Sein, Z.M.M.; Ullah, I.; Iyakaremye, V.; Azam, K.; Ma, X.; Syed, S.; Zhi, X. Observed spatiotemporal changes in air temperature, dew point temperature and relative humidity over Myanmar during 2001–2019. Meteorol. Atmos. Phys. 2022, 134, 7. [Google Scholar] [CrossRef]
- Sein, Z.M.M.; Zhi, X.; Ullah, I.; Azam, K.; Ngoma, H.; Saleem, F.; Xing, Y.; Iyakaremye, V.; Syed, S.; Hina, S.; et al. Recent variability of sub-seasonal monsoon precipitation and its potential drivers in Myanmar using in-situ observation during 1981–2020. Int. J. Clim. 2022, 42, 3341–3359. [Google Scholar] [CrossRef]
- Gasparrini, A.; Guo, Y.; Hashizume, M. Mortality risk attributable to high and low ambient temperature: A multicounty observational study. Lancet 2015, 14, 464–465. [Google Scholar] [CrossRef]
- Gasparrini, A. Distributed Lag Linear and Non-Linear Models in R: The Package dlnm. J. Stat. Softw. 2011, 43, 1. Available online: http://www.lshtm.ac.uk/people/gasparrini.antonio/ (accessed on 29 April 2022). [CrossRef] [Green Version]
- Nordio, F.; Zanobetti, A.; Colicino, E.; Kloog, I.; Schwartz, J. Changing patterns of the temperature-mortality association by time and location in the US, and implications for climate change. Environ. Int. 2015, 81, 80–86. [Google Scholar] [CrossRef] [Green Version]
- Martínez-Solanas, È.; Quijal-Zamorano, M.; Achebak, H.; Petrova, D.; Robine, J.M.; Herrmann, F.R.; Rodó, X.; Ballester, J. Projections of temperature-attributable mortality in Europe: A time series analysis of 147 contiguous regions in 16 countries. Lancet Planet. Health 2021, 5, e446–e454. [Google Scholar] [CrossRef]
- de’ Donato, F.K.; Leone, M.; Scortichini, M.; De Sario, M.; Katsouyanni, K.; Lanki, T.; Basagaña, X.; Ballester, F.; Åström, C.; Paldy, A.; et al. Changes in the effect of heat on mortality in the last 20 years in nine European cities. Results from the PHASE project. Int. J. Environ. Res. Public Health 2015, 12, 15567–15583. [Google Scholar] [CrossRef]
- World Health Organization. Heat Threatens Health: Key Figures for Europe. 2022. Available online: https://www.euro.who.int/en/health-topics/environment-and-health/Climate-change/archive/heat-threatens-health-key-figures-for-europe (accessed on 29 April 2022).
- Paravantis, J.; Santamouris, M.; Cartalis, C.; Efthymiou, C.; Kontoulis, N. Mortality associated with high ambient temperatures, heatwaves, and the urban heat island in Athens, Greece. Sustainability 2017, 9, 606. [Google Scholar] [CrossRef] [Green Version]
- Baccini, M.; Biggeri, A.; Accetta, G.; Kosatsky, T.; Katsouyanni, K.; Analitis, A.; Anderson, H.R.; Bisanti, L.; D’Iippoliti, D.; Danova, J.; et al. Heat effects on mortality in 15 European cities. Epidemiology 2008, 19, 711–719. [Google Scholar] [CrossRef] [PubMed]
- Zafeiratou, S.; Analitis, A.; Founda, D.; Giannakopoulos, C.; Varotsos, K.V.; Sismanidis, P.; Keramitsoglou, I.; Katsouyanni, K. Spatial variability in the effect of high ambient temperature on mortality: An analysis at municipality level within the greater athens area. Int. J. Environ. Res. Public Health 2019, 16, 3689. [Google Scholar] [CrossRef] [PubMed] [Green Version]
- Kouis, P.; Kakkoura, M.; Ziogas, K.; Paschalidou, A.; Papatheodorou, S.I. The effect of ambient air temperature on cardiovascular and respiratory mortality in Thessaloniki, Greece. Sci. Total Environ. 2019, 647, 1351–1358. [Google Scholar] [CrossRef] [PubMed]
- Ciscar Martinez, J.C. The Impacts of Climate Change in Europe (the PESETA Research Project); Eurostat: Luxembourg, 2009.
- IPCC. Technical Summary. In Contribution of Working Group I to the Sixth Assessment Report of the Intergovernmental Panel on Climate Change; IPCC: Paris, France, 2021; ISBN 9789291691586. [Google Scholar]
- Perkins, S.E.; Alexander, L.V.; Nairn, J.R. Increasing frequency, intensity and duration of observed global heatwaves and warm spells. Geophys. Res. Lett. 2012, 39, 20714. [Google Scholar] [CrossRef]
- Fouillet, A.; Rey, G.; Laurent, F.; Pavillon, G.; Bellec, S.; Guihenneuc-Jouyaux, C.; Clavel, J.; Jougla, E.; Hémon, D. Excess mortality related to the August 2003 heat wave in France. Int. Arch. Occup. Environ. Health 2006, 80, 16–24. [Google Scholar] [CrossRef] [Green Version]
- Semenza, J.C.; McCullough, J.E.; Flanders, W.D.; McGeehin, M.A.; Lumpkin, J.R. Excess Hospital Admissions During the July 1995 Heat Wave in Chicago. Am. J. Prev. Med. 1999, 16, 269–277. [Google Scholar] [CrossRef]
- Koppe, C.; Kovats, S.; Jendritzky, G.; Menne, B. Heat-Waves: Risks and Responses; Health and Global Environmental Change Series, No. 2; World Health Organization: Geneva, Switzerland, 2004; Volume 2, pp. 3505–3545. [Google Scholar] [CrossRef]
- Poupkou, A.; Nastos, P.; Melas, D.; Zerefos, C. Climatology of discomfort index and air quality index in a large urban mediterranean agglomeration. Water Air Soil Pollut. 2011, 222, 163–183. [Google Scholar] [CrossRef]
- Giannaros, T.M.; Melas, D. Study of the urban heat island in a coastal Mediterranean City: The case study of Thessaloniki, Greece. Atmos. Res. 2012, 118, 103–120. [Google Scholar] [CrossRef]
- Ullah, I.; Ma, X.; Yin, J.; Asfaw, T.G.; Azam, K.; Syed, S.; Liu, M.; Arshad, M.; Shahzaman, M. Evaluating the meteorological drought characteristics over Pakistan using in situ observations and reanalysis products. Int. J. Climatol. 2021, 41, 4437–4459. [Google Scholar] [CrossRef]
- D’Ippoliti, D.; Michelozzi, P.; Marino, C.; De’Donato, F.; Menne, B.; Katsouyanni, K.; Kirchmayer, U.; Analitis, A.; Medina-Ramón, M.; Paldy, A.; et al. The impact of heat waves on mortality in 9 European cities: Results from the EuroHEAT project. Environ. Health A Glob. Access Sci. Source 2010, 9, 37. [Google Scholar] [CrossRef] [Green Version]
- Michelozzi, P.; de’ Donato, F.K.; Bargagli, A.M.; D’Ippoliti, D.; de Sario, M.; Marino, C.; Schifano, P.; Cappai, G.; Leone, M.; Kirchmayer, U.; et al. Surveillance of summer mortality and preparedness to reduce the health impact of heat waves in Italy. Int. J. Environ. Res. Public Health 2010, 7, 2256–2273. [Google Scholar] [CrossRef] [PubMed]
- Zhang, K.; Li, Y.; Schwartz, J.D.; O’Neill, M.S. What weather variables are important in predicting heat-related mortality? A new application of statistical learning methods. Environ. Res. 2014, 132, 350–359. [Google Scholar] [CrossRef] [PubMed] [Green Version]
- Lin, Y.K.; Chang, C.K.; Li, M.H.; Wu, Y.C.; Wang, Y.C. High-temperature indices associated with mortality and outpatient visits: Characterizing the association with elevated temperature. Sci. Total Environ. 2012, 427, 41–49. [Google Scholar] [CrossRef]
- Barnett, A.G.; Tong, S.; Clements, A.C.A. What measure of temperature is the best predictor of mortality? Environ. Res. 2010, 110, 604–611. [Google Scholar] [CrossRef] [Green Version]
- Kim, Y.-M.; Kim, S.; Cheong, H.-K.; Kim, E.-H. Comparison of Temperature Indexes for the Impact Assessment of Heat Stress on Heat-Related Mortality. Environ. Health Toxicol. 2011, 26, e2011009. [Google Scholar] [CrossRef] [PubMed]
- Gasparrini, A. Distributed Lag Linear and Non-Linear Models for Time Series Data. 2014, pp. 1–12. Available online: http://143.107.212.50/web/packages/dlnm/vignettes/dlnmTS.pdf (accessed on 29 April 2022).
- Gasparrini, A.; Armstrong, B.; Kenward, M.G. Distributed lag non-linear models. Stat. Med. 2010, 29, 2224–2234. [Google Scholar] [CrossRef] [Green Version]
- Gasparrini, A. Modeling exposure-lag-response associations with distributed lag non-linear models. Stat. Med. 2014, 33, 881–899. [Google Scholar] [CrossRef] [Green Version]
- Guo, C.-Y.; Huang, X.-Y.; Kuo, P.-C.; Chen, Y.-H. Extensions of the distributed lag non-linear model (DLNM) to account for cumulative mortality. Environ. Sci. Pollut. Res. 2021, 28, 38679–38688. [Google Scholar] [CrossRef]
- Gasparrini, A.; Scheipl, F.; Armstrong, B.; Kenward, M.G. A penalized framework for distributed lag non-linear models. Biometrics 2017, 73, 938–948. [Google Scholar] [CrossRef]
- Peng, R.D.; Dominici, F.; Louis, T.A. Model choice in time series studies of air pollution and mortality. J. R. Stat. Soc. Ser. A Stat. Soc. 2006, 169, 179–203. [Google Scholar] [CrossRef] [Green Version]
- Touloumi, G.; Samoli, E.; Pipikou, M.; Tertre, A.L.; Atkinson, R.; Katsouyanni, K. Seasonal confounding in air pollution and health time-series studies: Effect on air pollution effect estimates. Stat. Med. 2006, 25, 4164–4178. [Google Scholar] [CrossRef] [PubMed]
- Peng, R.; Dominici, F. Statistical Methods for Environmental Epidemiology with R: A Case Study in Air Pollution and Health; Springer: New York, NY, USA, 2008; ISBN 9780387781662. [Google Scholar]
- Yan, S.; Wei, L.; Duan, Y.; Li, H.; Liao, Y.; Lv, Q.; Zhu, F.; Wang, Z.; Lu, W.; Yin, P.; et al. Short-term effects of meteorological factors and air pollutants on hand, foot and mouth disease among children in Shenzhen, China, 2009–2017. Int. J. Environ. Res. Public Health 2019, 16, 3639. [Google Scholar] [CrossRef] [PubMed] [Green Version]
- Rodopoulou, S.; Samoli, E.; Analitis, A.; Atkinson, R.W.; de’Donato, F.K.; Katsouyanni, K. Searching for the best modeling specification for assessing the effects of temperature and humidity on health: A time series analysis in three European cities. Int. J. Biometeorol. 2015, 59, 1585–1596. [Google Scholar] [CrossRef] [PubMed]
- EUROSTAT. Ageing Europe-Looking at the Lives of Older People in the EU; Strandell, H., Wolf, P., Eds.; EUROSTAT: Luxembourg, 2019.
- Greece: Country Health Profile 2019, State of Health in the EU. Brussels. 2019. Available online: https://read.oecd-ilibrary.org/social-issues-migration-health/greece-country-health-profile-2019_d87da56a-en#page1%0Ahttps://www.oecd-ilibrary.org/social-issues-migration-health/greece-country-health-profile-2019_d87da56a-en%0Ahttps://read.oecd-ilibrary.o (accessed on 29 April 2022).
- Yin, Q.; Wang, J.; Ren, Z.; Li, J.; Guo, Y. Mapping the increased minimum mortality temperatures in the context of global climate change. Nat. Commun. 2019, 10, 4640. [Google Scholar] [CrossRef] [PubMed] [Green Version]
- Tobías, A.; Armstrong, B.; Gasparrini, A. Brief report: Investigating uncertainty in the minimum mortality temperature. Epidemiology 2017, 28, 72–76. [Google Scholar] [CrossRef] [PubMed]
- Breitner, S.; Wolf, K.; Devlin, R.B.; Diaz-Sanchez, D.; Peters, A.; Schneider, A. Short-term effects of air temperature on mortality and effect modification by air pollution in three cities of Bavaria, Germany: A time-series analysis. Sci. Total Environ. 2014, 485, 49–61. [Google Scholar] [CrossRef]
- Ma, W.; Chen, R.; Kan, H. Temperature-related mortality in 17 large Chinese cities: How heat and cold affect mortality in China. Environ. Res. 2014, 134, 127–133. [Google Scholar] [CrossRef]
- Michelozzi, P.; De Sario, M.; Accetta, G.; De’Donato, F.; Kirchmayer, U.; D’Ovidio, M.; Perucci, C.A. Temperature and summer mortality: Geographical and temporal variations in four Italian cities. J. Epidemiol. Community Health 2006, 60, 417–423. [Google Scholar] [CrossRef] [Green Version]
- Zhang, Y.; Li, C.; Feng, R.; Zhu, Y.; Wu, K.; Tan, X.; Ma, L. The short-term effect of ambient temperature on mortality in Wuhan, China: A time-series study using a distributed lag non-linear model. Int. J. Environ. Res. Public Health 2016, 13, 722. [Google Scholar] [CrossRef] [Green Version]
- Liu, L.; Breitner, S.; Pan, X.; Franck, U.; Leitte, A.M.; Wiedensohler, A.; Von Klot, S.; Wichmann, H.E.; Peters, A.; Schneider, A. Associations between air temperature and cardio-respiratory mortality in the urban area of Beijing, China: A time-series analysis. Environ. Health A Glob. Access Sci. Source 2011, 10, 51. [Google Scholar] [CrossRef] [Green Version]
- Hajat, S.; Armstrong, B.G.; Gouveia, N.; Wilkinson, P. Mortality displacement of heat-related deaths: A comparison of Delhi, São Paulo, and London. Epidemiology 2005, 16, 613–620. [Google Scholar] [CrossRef] [PubMed]
- Bunker, A.; Wildenhain, J.; Vandenbergh, A.; Henschke, N.; Rocklöv, J.; Hajat, S.; Sauerborn, R. Effects of Air Temperature on Climate-Sensitive Mortality and Morbidity Outcomes in the Elderly; a Systematic Review and Meta-analysis of Epidemiological Evidence. EBioMedicine 2016, 6, 258–268. [Google Scholar] [CrossRef] [PubMed] [Green Version]
- Gasparrini, A.; Armstrong, B.; Kovats, S.; Wilkinson, P. The effect of high temperatures on cause-specific mortality in England and Wales. Occup. Environ. Med. 2011, 69, 56–61. [Google Scholar] [CrossRef] [PubMed]
- Chen, R.; Yin, P.; Wang, L.; Liu, C.; Niu, Y.; Wang, W.; Jiang, Y.; Liu, Y.; Liu, J.; Qi, J.; et al. Association between ambient temperature and mortality risk and burden: Time series study in 272 main Chinese cities. BMJ 2018, 363, k4306. [Google Scholar] [CrossRef] [Green Version]
- Gasparrini, A.; Leone, M. Attributable risk from distributed lag models. BMC Med. Res. Methodol. 2014, 14, 55. [Google Scholar] [CrossRef] [Green Version]







| Temperature Index | QAIC | PACF |
|---|---|---|
| Tmean | 23,125 | 3.918 |
| Tappmax | 23,088 | 3.879 |
| Daily Mortality | |||||
| Mean | St. dev. | ||||
| All-cause | 18.4 | 4.7 | |||
| Cardiovascular | 5.4 | 2.4 | |||
| Cerebrovascular | 2.5 | 1.6 | |||
| Respiratory | 1.8 | 1.4 | |||
| Elderly | 15.5 | 4.4 | |||
| Tappmax | |||||
| Median | Range | Min | 5th perc. | 95th perc. | Max |
| 18.7 | 49.1 | −5.6 | 2.5 | 35 | 43.5 |
| Cause of Death | MMT (°C) | Relative Risk (95% CI) Extreme Low, 2.5 °C | Relative Risk (95% CI) Extreme High, 35 °C |
|---|---|---|---|
| All-cause | 22 | 1.05 (0.95–1.16) | 1.17 (1.04–1.32) |
| Cardiovascular | 30 | 1.18 (0.93–1.52) | 1.20 (1.08–1.31) |
| Cerebrovascular | 30 | 1.41 (0.97–2.04) | 1.08 (0.93–1.24) |
| Elderly (65+) | 19 | 1.09 (0.98–1.20) | 1.25 (1.07–1.45) |
| Respiratory | 14 | 1.13 (0.9–1.42) | 1.47 (0.9–2.4) |
| Cause of Death | Mortality Heat (% Change) | Mortality Cold (% Change) |
|---|---|---|
| All-cause | 1.95 (1.07–2.84) | 0.54 (0–1.09) |
| Cardiovascular | 2.15 (0.52–3.81) | 0.97 (−0.1–1.98) |
| Cerebrovascular | 0.98 (−1.4–3.41) | 1.7 (0.2–3.3) |
| Elderly (65+) | 2.36 (1.34–3.34) | 0.77 (0.18–1.37) |
| Respiratory | 5.07 (2.1–8.1) | 1.48 (−0.3–3.24) |
| Cause of Death | MMT (°C) | Overall (%) | Hot (%) | Cold (%) |
|---|---|---|---|---|
| All-cause | 22 | 3.51 | 2.34 | 1.34 |
| Cardiovascular | 30 | 10.1 | 2.36 | 8.1 |
| Cerebrovascular | 30 | 14 | 1.07 | 13.12 |
| Elderly (65+) | 19 | 5.4 | 3.75 | 1.88 |
| Respiratory | 14 | 6.76 | 5.6 | 2.04 |
Publisher’s Note: MDPI stays neutral with regard to jurisdictional claims in published maps and institutional affiliations. |
© 2022 by the authors. Licensee MDPI, Basel, Switzerland. This article is an open access article distributed under the terms and conditions of the Creative Commons Attribution (CC BY) license (https://creativecommons.org/licenses/by/4.0/).
Share and Cite
Parliari, D.; Cheristanidis, S.; Giannaros, C.; Keppas, S.C.; Papadogiannaki, S.; de’Donato, F.; Sarras, C.; Melas, D. Short-Term Effects of Apparent Temperature on Cause-Specific Mortality in the Urban Area of Thessaloniki, Greece. Atmosphere 2022, 13, 852. https://doi.org/10.3390/atmos13060852
Parliari D, Cheristanidis S, Giannaros C, Keppas SC, Papadogiannaki S, de’Donato F, Sarras C, Melas D. Short-Term Effects of Apparent Temperature on Cause-Specific Mortality in the Urban Area of Thessaloniki, Greece. Atmosphere. 2022; 13(6):852. https://doi.org/10.3390/atmos13060852
Chicago/Turabian StyleParliari, Daphne, Stavros Cheristanidis, Christos Giannaros, Stavros Ch. Keppas, Sofia Papadogiannaki, Francesca de’Donato, Christos Sarras, and Dimitrios Melas. 2022. "Short-Term Effects of Apparent Temperature on Cause-Specific Mortality in the Urban Area of Thessaloniki, Greece" Atmosphere 13, no. 6: 852. https://doi.org/10.3390/atmos13060852
APA StyleParliari, D., Cheristanidis, S., Giannaros, C., Keppas, S. C., Papadogiannaki, S., de’Donato, F., Sarras, C., & Melas, D. (2022). Short-Term Effects of Apparent Temperature on Cause-Specific Mortality in the Urban Area of Thessaloniki, Greece. Atmosphere, 13(6), 852. https://doi.org/10.3390/atmos13060852

