Quantification of Outdoor Thermal Comfort Levels under Sea Breeze in the Historical City Fabric: The Case of Algiers Casbah
Abstract
1. Introduction
- What are the thermal comfort levels in the historical urban fabric?
- How much do the subspaces of historical urban fabrics affect the subjective and objective effects of microclimatic thermal comfort?
- To what extent does the sky view factor affect the outdoor thermal comfort within the Casbah of Algiers?
- What is the effect of the sea breeze on the outdoor thermal comfort inside a historical urban fabric?
2. Materials and Methods
2.1. Literature Review
2.2. Characteristics of the Old Neighborhood of the Casbah of Algiers
2.2.1. Site Criteria
2.2.2. Morphological Characteristics of the Conducted Stations
2.2.3. Morphological Characteristics of the Conducted Stations
2.2.4. Survey Questionnaire
2.3. Calculation of Comfort
2.3.1. Measured Data
2.3.2. Calculation Process (Rayman Model)
2.3.3. Calculation of Tmrt
2.3.4. Calculation of PET Index
- M: metabolic heat production
- ESK: latent heat (skin)
- W: mechanical work
- ERE: latent heat (respiratory system)
- R: fluxes of radiation
- ESW: latent heat sweating
- C: sensible heat
- S: heat storage
3. Results
3.1. Thermal Comfort and Heat Stress Level Assessment
3.2. Assessment of Comfort in Historical Cities
3.2.1. Assessment of Tmrt Values
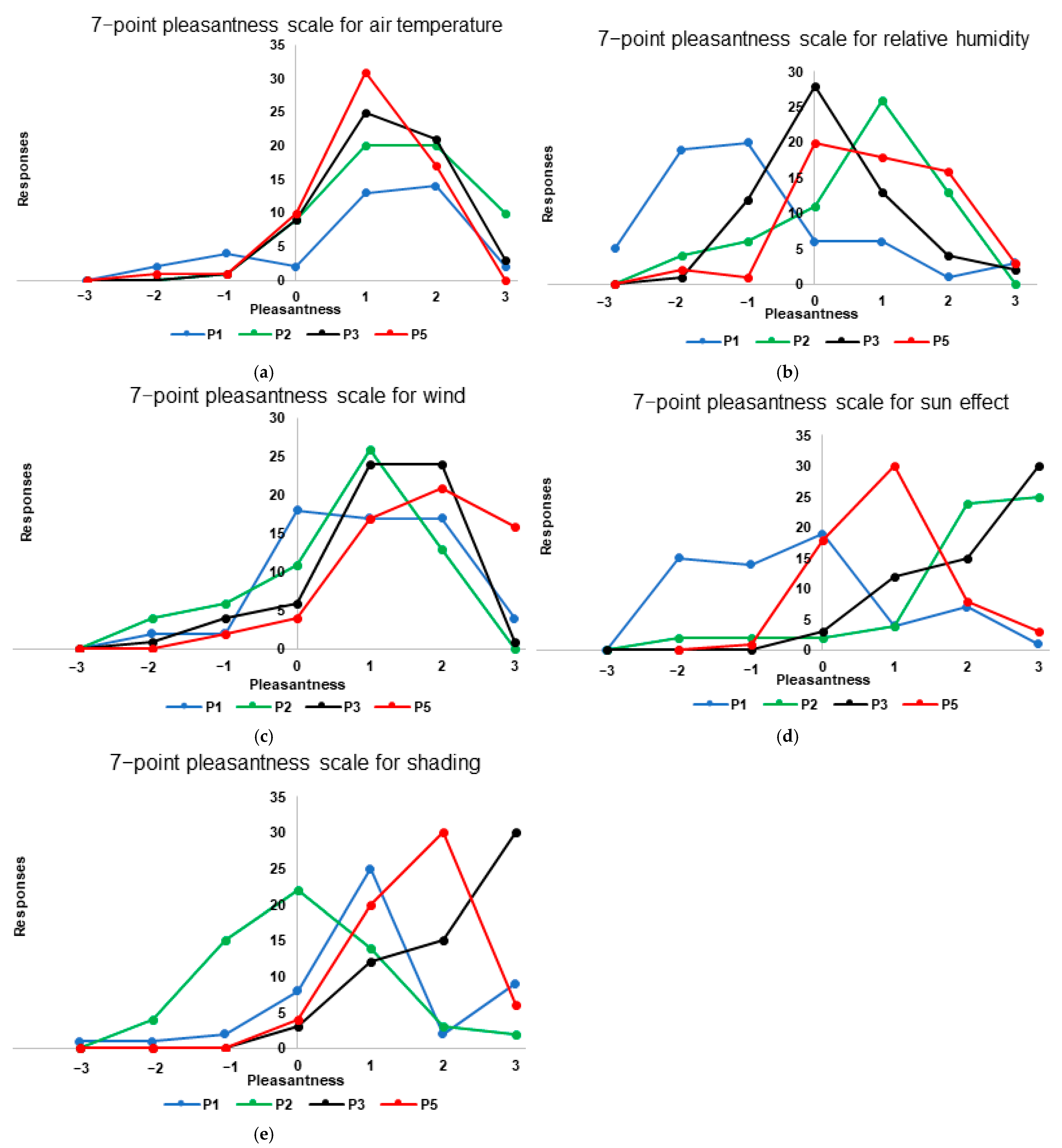
3.2.2. Subjective Comfort
3.3. Sky View Factor Effect on PET and Tmrt
3.4. Effect of the Sea Breeze on Outdoor Thermal Levels
4. Discussion
4.1. Major Findings and Recommendations
4.2. Strength and Limitations of the Study
4.3. Implication on Practice and Future Work
5. Conclusions
Author Contributions
Funding
Acknowledgments
Conflicts of Interest
Appendix A
| City (Country) | Köppen Classification | Investigation | Index | Reference |
|---|---|---|---|---|
| Colombo (Sri Lanka) | Af | Urban design; outdoor thermal comfort | PET | Johansson et al., 2006 |
| Gothenburg (Sweden) | Cfb | Urban geometry; climate change; outdoor thermal comfort | PET | Thorsson et al., 2010 |
| Curitiba (Brazil) | Cfb | Urban geometry; outdoor thermal comfort; air quality | Ta- NOx | Kruger et al., 2011 |
| Rotterdam, Arnhem (Netherlands) | Cfb | Urban heat Island urban morphology | PET | Steeneveld et al., 2011 |
| Tinos (Greece) | Csa | Thermal comfort; urban canyon | PET | Andreou et al., 2013 |
| De Bilt (Netherlands) | Cfb | Urban forms; outdoor thermal comfort | PET | Taleghani et al., 2015 |
| Several cities | Several climates | Urban geometry; level greening; outdoor thermal comfort | - | Jameiet al., 2016 |
| Tolga (Algeria) | BWh | Outdoor thermal comfort in oases settlements | PET | Matallah et al., 2018 |
| Sydney (Australia) | Cfa | Urban morphology; urban ventilation; urban heat island; sea breeze | PET | He et al., 2020 |
| Ardebi, Bandar Abbas, Gorgan, Shiraz (Iran) | Csb, BWh, Csa, BSh | Wind cooling potential | PET | Roshan et al., 2020 |
| City (Country) | Köppen Classification | Investigation | Index | Reference |
|---|---|---|---|---|
| Beni-Isguen (Algeria) | Bwh | Outdoor thermal comfort | PET | Ali-Toudert et al., 2006 |
| Gherdaia (Algeria) | Bwh | Aspect ratio and orientation | PET | Ali-Toudert et al., 2006 |
| Fez (Morocco) | BSk | Outdoor urban environments | PET, OUT_SET | Johansson et al., 2006 |
| Tunis (Tunisia) | Csa | Outdoor Thermal Comfort- Geometry | UTCI | Younsi et al., 2013 |
| Dhaka (Bengladesh) | Aw | Mediterranean climate- vernacular architecture | - | Sharmin et al., 2017 |
| Alexandria (Egypt) | Csa | Microclimate- human comfort | Tmrt | Ragheb et al., 2016 |
| Rome (Italy) | Csa | Innovative materials- outdoor thermal | MOCI- PMV | Rosso et al., 2018 |
| Cairo (Egypt) | Bwh | microclimate of an outdoor urban form | Tmrt | Elnabawi et al., 2019 |
| Biskra (Algeria) | BWh | Outdoor Thermal Comfort | PET | Matallah et al., 2021 |





References
- Georgescu, M.; Morefield, P.E.; Bierwagen, B.G.; Weaver, C.P. Urban adaptation can roll back warming of emerging megapolitan regions. Proc. Natl. Acad. Sci. USA 2014, 111, 2909–2914. [Google Scholar] [CrossRef] [PubMed]
- Wang, Y.; Chan, A.; Lau, G.N.; Li, Q.; Yang, Y.; Yim, S.H.L. Effects of urbanization and global climate change on regional climate in the Pearl River Delta and thermal comfort implications. Int. J. Climatol. 2019, 39, 2984–2997. [Google Scholar] [CrossRef]
- World Health Organization. Urbanization and health. Bull. World Health Organ. 2010, 88, 245–246. [Google Scholar] [CrossRef]
- McMichael, A.J.; Lindgren, E. Climate change: Present and future risks to health, and necessary responses: Review: Climate change and health. J. Intern. Med. 2011, 270, 401–413. [Google Scholar] [CrossRef]
- Hein, L.; Metzger, M.J.; Moreno, A. Potential impacts of climate change on tourism; a case study for Spain. Curr. Opin. Environ. Sustain. 2009, 1, 170–178. [Google Scholar] [CrossRef]
- Morris, K.I.; Chan, A.; Morris, K.J.K.; Ooi, M.C.G.; Oozeer, M.Y.; Abakr, Y.A.; Nadzir, M.S.M.; Mohammed, I.Y.; Al-Qrimli, H.F. Impact of urbanization level on the interactions of urban area, the urban climate, and human thermal comfort. Appl. Geogr. 2017, 79, 50–72. [Google Scholar] [CrossRef]
- Emmanuel, R. Thermal comfort implications of urbanization in a warm-humid city: The Colombo Metropolitan Region (CMR), Sri Lanka. Build. Environ. 2005, 40, 1591–1601. [Google Scholar] [CrossRef]
- Mahmoud, S.H.; Gan, T.Y. Long-term impact of rapid urbanization on urban climate and human thermal comfort in hot-arid environment. Build. Environ. 2018, 142, 83–100. [Google Scholar] [CrossRef]
- United Nations Development Program. Sustainable Development Goals. United Nations, 2015. Available online: https://www.undp.org/content/undp/en/home/sustainable-development-goals.html (accessed on 4 March 2022).
- Jin, H.; Liu, S.; Kang, J. Gender differences in thermal comfort on pedestrian streets in cold and transitional seasons in severe cold regions in China. Build. Environ. 2020, 168, 106488. [Google Scholar] [CrossRef]
- Nikolopoulou, M. Outdoor Comfort. In Environmental Diversity in Architecture; Spon Press: London, UK, 2004; pp. 101–120. [Google Scholar]
- Jamei, E.; Rajagopalan, P.; Seyedmahmoudian, M.; Jamei, Y. Review on the impact of urban geometry and pedestrian level greening on outdoor thermal comfort. Renew. Sustain. Energy Rev. 2016, 54, 1002–1017. [Google Scholar] [CrossRef]
- Krüger, E.L.; Minella, F.O.; Rasia, F. Impact of urban geometry on outdoor thermal comfort and air quality from field measurements in Curitiba, Brazil. Build. Environ. 2011, 46, 621–634. [Google Scholar] [CrossRef]
- Sharmin, T.; Steemers, K.; Matzarakis, A. Microclimatic modelling in assessing the impact of urban geometry on urban thermal environment. Sustain. Cities Soc. 2017, 34, 293–308. [Google Scholar] [CrossRef]
- Santamouris, M. Energy and Climate in the Urban Built Environment, 1st ed.; Routledge: London, UK, 2013; ISBN 978-1-134-25790-4. Available online: https://www.taylorfrancis.com/books/9781134257904 (accessed on 24 February 2022).
- Rodríguez Algeciras, J.A.; Gómez Consuegra, L.; Matzarakis, A. Spatial-temporal study on the effects of urban street configurations on human thermal comfort in the world heritage city of Camagüey-Cuba. Build. Environ. 2016, 101, 85–101. [Google Scholar] [CrossRef]
- Russo, A.; Cirella, G. Modern Compact Cities: How Much Greenery Do We Need? Int. J. Environ. Res. Public. Health 2018, 15, 2180. [Google Scholar] [CrossRef] [PubMed]
- de Roo, G.; Miller, D. Compact Cities and Sustainable Urban Development: A Critical Assessment of Policies and Plans from an International Perspective; Routledge: London, UK, 2020; ISBN 978-1-138-73052-6. [Google Scholar]
- Givoni, B. Climate Considerations in Building and Urban Design; Wiley: Hoboken, NJ, USA, 1998. [Google Scholar]
- Johansson, E. Influence of urban geometry on outdoor thermal comfort in a hot dry climate: A study in Fez, Morocco. Build. Environ. 2006, 41, 1326–1338. [Google Scholar] [CrossRef]
- Johansson, E.; Emmanuel, R. The influence of urban design on outdoor thermal comfort in the hot, humid city of Colombo, Sri Lanka. Int. J. Biometeorol. 2006, 51, 119–133. [Google Scholar] [CrossRef] [PubMed]
- Ratti, C.; Baker, N.; Steemers, K. Energy consumption and urban texture. Energy Build. 2005, 37, 762–776. [Google Scholar] [CrossRef]
- Bourbia, F.; Boucheriba, F. Impact of street design on urban microclimate for semi arid climate (Constantine). Renew. Energy 2010, 35, 343–347. [Google Scholar] [CrossRef]
- Thorsson, S.; Lindberg, F.; Björklund, J.; Holmer, B.; Rayner, D. Potential changes in outdoor thermal comfort conditions in Gothenburg, Sweden due to climate change: The influence of urban geometry. Int. J. Climatol. 2011, 31, 324–335. [Google Scholar] [CrossRef]
- Salat, S. Les Villes et les Formes: Sur l’Urbanisme Durable; Hermann: Paris, France, 2011. [Google Scholar]
- Taleghani, M.; Kleerekoper, L.; Tenpierik, M.; van den Dobbelsteen, A. Outdoor thermal comfort within five different urban forms in The Netherlands. Build. Environ. 2015, 83, 65–78. [Google Scholar] [CrossRef]
- Ahmadi Venhari, A.; Tenpierik, M.; Taleghani, M. The role of sky view factor and urban street greenery in human thermal comfort and heat stress in a desert climate. J. Arid Environ. 2019, 166, 68–76. [Google Scholar] [CrossRef]
- He, X.; Miao, S.; Shen, S.; Li, J.; Zhang, B.; Zhang, Z.; Chen, X. Influence of sky view factor on outdoor thermal environment and physiological equivalent temperature. Int. J. Biometeorol. 2015, 59, 285–297. [Google Scholar] [CrossRef] [PubMed]
- Lai, D.; Liu, W.; Gan, T.; Liu, K.; Chen, Q. A review of mitigating strategies to improve the thermal environment and thermal comfort in urban outdoor spaces. Sci. Total Environ. 2019, 661, 337–353. [Google Scholar] [CrossRef]
- Matallah, M.E.; Alkama, D.; Ahriz, A.; Attia, S. Assessment of the Outdoor Thermal Comfort in Oases Settlements. Atmosphere 2020, 11, 185. [Google Scholar] [CrossRef]
- Roshan, G.; Moghbel, M.; Attia, S. Evaluating the wind cooling potential on outdoor thermal comfort in selected Iranian climate types. J. Therm. Biol. 2020, 92, 102660. [Google Scholar] [CrossRef] [PubMed]
- Belpoliti, V.; Altan, H.; Alsebai, H.; Melahfci, O. Shaping the microclimate: CFD-assisted design optimization to enhance the outdoor comfort of a recreational complex in the UAE. Procedia Manuf. 2020, 44, 84–91. [Google Scholar] [CrossRef]
- Dhingra, M.; Chattopadhyay, S. Advancing smartness of traditional settlements-case analysis of Indian and Arab old cities. Int. J. Sustain. Built Environ. 2016, 5, 549–563. [Google Scholar] [CrossRef]
- Ben Salem, S.; Lahmar, C.; Simon, M.; Szilágyi, K. Green System Development in the Medinas of Tunis and Marrakesh—Green Heritage and Urban Livability. Earth 2021, 2, 809–825. [Google Scholar] [CrossRef]
- Kiet, A. Arab Culture and Urban Form. Focus 2011, 8. [Google Scholar] [CrossRef][Green Version]
- Berkani, Y. Urban Morphology and Pedestrian Movement of Traditional Marketplace in Casbah Algiers; Teknologi Malaysia: Johor Bahru, Malaysia, 2013. [Google Scholar]
- Alsayyad, N. From vernacularism to globalism: The temporal reality of traditional settlements. Tradit. Dwell. Settl. Rev. 1995, 7, 13–24. [Google Scholar]
- Ali-Toudert, F.; Mayer, H. Numerical study on the effects of aspect ratio and orientation of an urban street canyon on outdoor thermal comfort in hot and dry climate. Build. Environ. 2006, 41, 94–108. [Google Scholar] [CrossRef]
- Ali-Toudert, F.; Djenane, M.; Bensalem, R.; Mayer, H. Outdoor thermal comfort in the old desert city of Beni-Isguen, Algeria. Clim. Res. 2005, 28, 243–256. [Google Scholar] [CrossRef]
- Johansson, E.; Grundström, K.; Rosenlund, H. Street canyon microclimate in traditional and modern neighbourhoods in a hot dry climate—a case study in Fez, Morocco. In Proceedings of the 18th International Conference on Passive and Low Energy Architecture (PLEA), Hong Kong, China, 10–12 December 2018. [Google Scholar]
- Achour-Younsi, S.; Kharrat, F. Outdoor Thermal Comfort: Impact of the Geometry of an Urban Street Canyon in a Mediterranean Subtropical Climate—Case Study Tunis, Tunisia. Procedia Soc. Behav. Sci. 2016, 216, 689–700. [Google Scholar] [CrossRef]
- Elnabawi, M.H.; Hamza, N.; Dudek, S. Numerical modelling evaluation for the microclimate of an outdoor urban form in Cairo, Egypt. HBRC J. 2015, 11, 246–251. [Google Scholar] [CrossRef]
- Elnabawi, M.H.; Neveen, H.; Dudek, S. Use and evaluation of the envi-met model for two different urban forms in Cairo, Egypt: Measurements and model simulations 2013. In Proceedings of the 13th Conference of International Building Performance Simulation Association, Chambery, France, 25–28 August 2013. [Google Scholar]
- Matallah, M.E.; Alkama, D.; Teller, J.; Ahriz, A.; Attia, S. Quantification of the Outdoor Thermal Comfort within Different Oases Urban Fabrics. Sustainability 2021, 13, 3051. [Google Scholar] [CrossRef]
- Lucchi, E.; D’Alonzo, V.; Exner, D.; Zambelli, P.; Garegnani, G. A Density-Based Spatial Cluster Analysis Supporting The Building Stock Analysis In Historical Towns. In Proceedings of the Building Simulation, Rome, Italy, 2–4 September 2019; pp. 3831–3838. Available online: http://www.ibpsa.org/proceedings/BS2019/BS2019_210346.pdf (accessed on 4 March 2022).
- Benchekroun, M.; Chergui, S.; Ruggiero, F.; Di Turi, S. Indoor Microclimate Conditions and the Impact of Transformations on Hygrothermal Comfort in the Old Ottoman Houses in Algiers. Int. J. Archit. Herit. 2020, 14, 1296–1319. [Google Scholar] [CrossRef]
- Cortesão, J.; Alves, B. Alternative (bioclimatic) urban design for compact urban fabrics. In Proceedings of the CITTA 3rd Annual Conference on Planning Research Bringing City Form Back Into Planning, Porto, Portugal, 14 May 2010. [Google Scholar]
- Rosso, F.; Golasi, I.; Castaldo, V.L.; Piselli, C.; Pisello, A.L.; Salata, F.; Ferrero, M.; Cotana, F.; de Lieto Vollaro, A. On the impact of innovative materials on outdoor thermal comfort of pedestrians in historical urban canyons. Renew. Energy 2018, 118, 825–839. [Google Scholar] [CrossRef]
- Makropoulou, M. Microclimate Improvement of Inner-City Urban Areas in a Mediterranean Coastal City. Sustainability 2017, 9, 882. [Google Scholar] [CrossRef]
- Castaldo, V.L.; Pisello, A.L.; Pigliautile, I.; Piselli, C.; Cotana, F. Microclimate and air quality investigation in historic hilly urban areas: Experimental and numerical investigation in central Italy. Sustain. Cities Soc. 2017, 33, 27–44. [Google Scholar] [CrossRef]
- Andreou, E.; Axarli, K. Investigation of urban canyon microclimate in traditional and contemporary environment. Experimental investigation and parametric analysis. Renew. Energy 2012, 43, 354–363. [Google Scholar] [CrossRef]
- Labdaoui, K.; Mazouz, S.; Reiter, S.; Teller, J. Thermal perception in outdoor urban spaces under the Mediterranean climate of Annaba, Algeria. Urban Clim. 2021, 39, 100970. [Google Scholar] [CrossRef]
- Sharifi, E.; Sivam, A.; Boland, J. Spatial and Activity Preferences During Heat Stress Conditions in Adelaide: Towards Increased Adaptation Capacity of the Built Environment. Procedia Eng. 2017, 180, 955–965. [Google Scholar] [CrossRef]
- Tseliou, A.; Tsiros, I.X.; Lykoudis, S.; Nikolopoulou, M. An evaluation of three biometeorological indices for human thermal comfort in urban outdoor areas under real climatic conditions. Build. Environ. 2010, 45, 1346–1352. [Google Scholar] [CrossRef]
- Tsitoura, M.; Tsoutsos, T.; Daras, T. Evaluation of comfort conditions in urban open spaces. Application in the island of Crete. Energy Convers. Manag. 2014, 86, 250–258. [Google Scholar] [CrossRef]
- Salata, F.; Golasi, I.; de Lieto Vollaro, R.; de Lieto Vollaro, A. Outdoor thermal comfort in the Mediterranean area. A transversal study in Rome, Italy. Build. Environ. 2016, 96, 46–61. [Google Scholar] [CrossRef]
- Nikolopoulou, M.; Lykoudis, S. Use of outdoor spaces and microclimate in a Mediterranean urban area. Build. Environ. 2007, 42, 3691–3707. [Google Scholar] [CrossRef]
- Andrade, H.; Alcoforado, M.-J.; Oliveira, S. Perception of temperature and wind by users of public outdoor spaces: Relationships with weather parameters and personal characteristics. Int. J. Biometeorol. 2011, 55, 665–680. [Google Scholar] [CrossRef]
- Shooshtarian, S.; Rajagopalan, P. Study of thermal satisfaction in an Australian educational precinct. Build. Environ. 2017, 123, 119–132. [Google Scholar] [CrossRef]
- Kenawy, I.; ElKadi, H. Diversity and Thermal Comfort in Outdoor Places. Int. J. Divers. Organ. Communities Nations Annu. Rev. 2011, 11, 237–248. [Google Scholar] [CrossRef]
- Canan, F.; Golasi, I.; Falasca, S.; Salata, F. Outdoor thermal perception and comfort conditions in the Köppen-Geiger climate category BSk. One-year field survey and measurement campaign in Konya, Turkey. Sci. Total Environ. 2020, 738, 140295. [Google Scholar] [CrossRef]
- Abdessemed-Foufa, A. Le Manuel de Réhabilitation Comme Outil de Conservation dans le cadre du Plan Permanent de Sauvegarde de la Casbah d’Alger; RehabiMed: Barcelona, Spain, 2011. [Google Scholar]
- Arrar, H.F.; Abdessemed Foufa, A.; Kaoula, D. Comparative study of the influence of traditional walls with different typologies and constructive techniques on the energy performance of the traditional dwellings of the Casbah of Algiers. In Solutions for Sustainable Development; Szita Tóthné, K., Jármai, K., Voith, K., Eds.; CRC Press: Boca Raton, FL, USA, 2019; pp. 187–195. ISBN 978-0-367-82403-7. Available online: https://www.taylorfrancis.com/books/9781000759440/chapters/10.1201/9780367824037-24 (accessed on 4 March 2022).
- Haedo, D. Topographie et histoire générale d’Alger, la vie à Alger au seizième siècle. Alger. In Alger Livre Editions; Collection Histoire: Paris, France, 2004. [Google Scholar]
- Semahi, S.; Benbouras, M.A.; Mahar, W.A.; Zemmouri, N.; Attia, S. Development of Spatial Distribution Maps for Energy Demand and Thermal Comfort Estimation in Algeria. Sustainability 2020, 12, 6066. [Google Scholar] [CrossRef]
- Beck, H.E.; Zimmermann, N.E.; McVicar, T.R.; Vergopolan, N.; Berg, A.; Wood, E.F. Present and future Köppen-Geiger climate classification maps at 1-km resolution. Sci. Data 2018, 5, 180214. [Google Scholar] [CrossRef] [PubMed]
- Ghedamsi, R.; Settou, N.; Gouareh, A.; Khamouli, A.; Saifi, N.; Recioui, B.; Dokkar, B. Modeling and forecasting energy consumption for residential buildings in Algeria using bottom-up approach. Energy Build. 2016, 121, 309–317. [Google Scholar] [CrossRef]
- Ali-Toudert, F.; Mayer, H. Effects of asymmetry, galleries, overhanging façades and vegetation on thermal comfort in urban street canyons. Sol. Energy 2007, 81, 742–754. [Google Scholar] [CrossRef]
- Arrar, F.H.; Kaoula, D.; Attia, S. Thermal Comfort Sentation Survey—In the Casbah of Algiers. Harvard Dataverse, 2022. Available online: https://dataverse.harvard.edu/citation?persistentId=doi:10.7910/DVN/JGBSLY (accessed on 2 March 2022).
- Lam, C.K.C.; Gallant, A.J.E.; Tapper, N.J. Short-term changes in thermal perception associated with heatwave conditions in Melbourne, Australia. Theor. Appl. Climatol. 2019, 136, 651–660. [Google Scholar] [CrossRef]
- Pantavou, K.; Santamouris, M.; Asimakopoulos, D.; Theoharatos, G. Empirical calibration of thermal indices in an urban outdoor Mediterranean environment. Build. Environ. 2014, 80, 283–292. [Google Scholar] [CrossRef]
- de Freitas, C.R.; Grigorieva, E.A. A comprehensive catalogue and classification of human thermal climate indices. Int. J. Biometeorol. 2015, 59, 109–120. [Google Scholar] [CrossRef] [PubMed]
- Ramos, G.; Lamberts, R.; Abrahão, K.C.F.J.; Bandeira, F.B.; Barbosa Teixeira, C.F.; Brito de Lima, M.; Broday, E.E.; Castro, A.P.A.S.; de Queiroz Leal, L.; De Vecchi, R.; et al. Adaptive behaviour and air conditioning use in Brazilian residential buildings. Build. Res. Inf. 2021, 49, 496–511. [Google Scholar] [CrossRef]
- Arrar, F.H.; Attia, S.; Kaoula, D. Measured Comfort Data—Casbah 2022. Harvard Dataverse, 2022. Available online: https://dataverse.harvard.edu/citation?persistentId=doi:10.7910/DVN/R0AYI7 (accessed on 7 February 2022).
- Matzarakis, A.; Rutz, F.; Mayer, H. Modelling radiation fluxes in simple and complex environments—application of the RayMan model. Int. J. Biometeorol. 2007, 51, 323–334. [Google Scholar] [CrossRef] [PubMed]
- Matzarakis, A.; Rutz, F.; Mayer, H. Modelling radiation fluxes in simple and complex environments: Basics of the RayMan model. Int. J. Biometeorol. 2010, 54, 131–139. [Google Scholar] [CrossRef] [PubMed]
- Matzarakis, A.; Mayer, H. Atmospheric Conditions and Human Thermal Comfort in Urban Areas. Available online: https://www.academia.edu/22149633/Atmospheric_conditions_and_human_thermal_comfort_in_urban_areas (accessed on 4 March 2022).
- Matzarakis, A. RayMan Pro—A tool for Applied Climatology: Modelling of Mean Radiant Temperature and Thermal Indices. Available online: https://www.urbanclimate.net/rayman/RayManManual.pdf (accessed on 4 March 2022).
- Chen, Y.-C.; Matzarakis, A. Modification of physiologically equivalent temperature. Theor. Appl. Climatol. 2018, 132, 1275–1289. [Google Scholar] [CrossRef]
- Fröhlich, D.; Matzarakis, A. A quantitative sensitivity analysis on the behaviour of common thermal indices under hot and windy conditions in Doha, Qatar. Theor. Appl. Climatol. 2016, 124, 179–187. [Google Scholar] [CrossRef]
- Höppe, P.R. The physiological equivalent temperature—a universal index for the biometeorological assessment of the thermal environment. Int. J. Biometeorol. 1999, 43, 71–75. [Google Scholar] [CrossRef] [PubMed]
- Potchter, O.; Cohen, P.; Lin, T.-P.; Matzarakis, A. Outdoor human thermal perception in various climates: A comprehensive review of approaches, methods and quantification. Sci. Total Environ. 2018, 631–632, 390–406. [Google Scholar] [CrossRef]
- Matzarakis, A.; Mayer, H.; Iziomon, M.G. Applications of a universal thermal index: Physiological equivalent temperature. Int. J. Biometeorol. 1999, 43, 76–84. [Google Scholar] [CrossRef] [PubMed]
- Hien, W.N.; Jusuf, S.K. Air Temperature Distribution and the Influence of Sky View Factor in a Green Singapore Estate. J. Urban Plan. Dev. 2010, 136, 261–272. [Google Scholar] [CrossRef]
- Wang, Y.; Berardi, U.; Akbari, H. Comparing the effects of urban heat island mitigation strategies for Toronto, Canada. Energy Build. 2016, 114, 2–19. [Google Scholar] [CrossRef]
- Oke, T.R.; East, C. The urban boundary layer in Montreal. Bound.-Layer Meteorol. 1971, 1, 411–437. [Google Scholar] [CrossRef]
- Hwang, R.-L.; Lin, T.-P.; Matzarakis, A. Seasonal effects of urban street shading on long-term outdoor thermal comfort. Build. Environ. 2011, 46, 863–870. [Google Scholar] [CrossRef]
- Ketterer, C.; Matzarakis, A. Comparison of different methods for the assessment of the urban heat island in Stuttgart, Germany. Int. J. Biometeorol. 2015, 59, 1299–1309. [Google Scholar] [CrossRef] [PubMed]
- Chatzidimitriou, A.; Yannas, S. Street canyon design and improvement potential for urban open spaces; the influence of canyon aspect ratio and orientation on microclimate and outdoor comfort. Sustain. Cities Soc. 2017, 33, 85–101. [Google Scholar] [CrossRef]
- Laureti, F.; Martinelli, L.; Battisti, A. Assessment and Mitigation Strategies to Counteract Overheating in Urban Historical Areas in Rome. Climate 2018, 6, 18. [Google Scholar] [CrossRef]
- Nasrollahi, N.; Hatami, Z.; Taleghani, M. Development of outdoor thermal comfort model for tourists in urban historical areas; A case study in Isfahan. Build. Environ. 2017, 125, 356–372. [Google Scholar] [CrossRef]
- Fahmy, M.; Mahdy, M.; Mahmoud, S.; Abdelalim, M.; Ezzeldin, S.; Attia, S. Influence of urban canopy green coverage and future climate change scenarios on energy consumption of new sub-urban residential developments using coupled simulation techniques: A case study in Alexandria, Egypt. Energy Rep. 2020, 6, 638–645. [Google Scholar] [CrossRef]
- Lin, T.-P.; Matzarakis, A.; Hwang, R.-L. Shading effect on long-term outdoor thermal comfort. Build. Environ. 2010, 45, 213–221. [Google Scholar] [CrossRef]
- Roshan, G.; Saleh Almomenin, H.; da Silveira Hirashima, S.Q.; Attia, S. Estimate of outdoor thermal comfort zones for different climatic regions of Iran. Urban Clim. 2019, 27, 8–23. [Google Scholar] [CrossRef]
- Früh, B.; Becker, P.; Deutschländer, T.; Hessel, J.-D.; Kossmann, M.; Mieskes, I.; Namyslo, J.; Roos, M.; Sievers, U.; Steigerwald, T.; et al. Estimation of Climate-Change Impacts on the Urban Heat Load Using an Urban Climate Model and Regional Climate Projections. J. Appl. Meteorol. Climatol. 2011, 50, 167–184. [Google Scholar] [CrossRef]










| Site | Measurement Point | SVF | Street Direction | Width | Height | Covered Area |
|---|---|---|---|---|---|---|
| Casbah of Algiers | 1 | 0.01 | N-S | 1.30 | 3.15 | Y |
| 2 | 0.24 | E-W | 5.50 | 13.20 | N | |
| 3 | 0.18 | E-W | 2.80 | 11.30 | N | |
| 4 | 0.00 | N-S | 2.17 | 3.30 | Y | |
| 5 | 0.01 | N-S | 2.10 | 2.90 | Y | |
| 6 | 0.56 | N-S | 18.6 | 8.10 | N | |
| 7 | 0.24 | E-W | 3.95 | 8.20 | N | |
| 8 | 0.10 | N-S | 0.90 | 12.50 | N | |
| 9 | 0.05 | N-S | 1.80 | 8.60 | N | |
| 10 | 0.07 | N-S | 1.97 | 9.00 | N | |
| 11 | 0.00 | E-W | 1.80 | 2.20 | Y | |
| 12 | 0.29 | N-S | 4.90 | 8.95 | N | |
| 13 | 0.25 | E-W | 4.55 | 8.60 | N | |
| 14 | 0.01 | N-S | 1.95 | 2.50 | Y |
| Fish-Eye Image Parameters | ![]() | |||||
| Camera | Focal Length | Resolution | Dimensions | Color Representation | ||
| (a) | Canon EOS 1100 D | 32 mm | 230,000 pixels | 4272 × 2848 | sRGB | |
| Meteorological Data Parameters | ||||||
| Variable | Device | Unit | Accuracy | Range | ||
| (b) | Air temperature (Ta) | Testo 175H1 | °C | ±0.4 °C | −20 to +55 °C | |
| (b) | Relative humidity (RH) | Testo 175H1 | °C | ±2% | 0 to 100%RH | |
| (c) | Wind speed (Ws) | PEAKMETER PM6252A | m/s | ±0.1 m/s | 0.2 to 30.0 m/s | |
| (d) | Surface temperature (Ts) | Testo 830-T2 | °C | ±1.5 °C | −30 to +400 °C | |
| Key Reference | City (Country) | Sensation Scale | Survey Field | Climate Zone |
|---|---|---|---|---|
| Lam et al., 2019 [70] | Melbourne (Australia) | ASHRAE 7-point scale (Thermal sensation) | 2198 | Cfb |
| Kenawi et al., 2011 [60] | Geelong (Australia) | 9–point scale, McIntyre 3-point scale (Thermal sensation, thermal preference, perception of individual weather parameters) | 100 | Cfb |
| Shooshtarian et al., 2017 [59] | Melbourne (Australia) | ASHRAE 7-point scale (Thermal acceptance, thermal sensation, overall comfort) McIntyre 3-point scale (Thermal preference) | 1059 | Cfb |
| Sharifi et al., 2017 [53] | Sydney (Australia) | ASHRAE 7-point scale (Thermal sensation) | - | Cfa |
| Tsitoura et al., 2014 [55] | Crete (Greece) | ASHRAE 5/3-point scale (Microclimatic parameter, thermal comfort, and wind tolerance) | 200 | Csa |
| Tseliou et al., 2010 [54] | Athens (Greece) | 5-point scale (Thermal sensation) | 9189 | Csa |
| Nikolopoulou et al., 2007 [57] | Athens (Greece) | Microclimatic conditions and use of open space | 1503 | Csa |
| Andrade et al., 2011 [58] | Lisbon (Portugal) | 5/3-point scale (Atmospheric conditions, thermal and wind preferences) | 943 | Csa |
| Pantavou et al., 2014 [71] | Athens (Greece) | 7-point scale (Thermal sensation) | 1706 | Csa |
| Salata et al., 2016 [56] | Rome (Italy) | ASHRAE 7-point scale and the McIntyre scale (Thermal perception, thermal preference) | 941 | Csa |
| De Freitas et al., 2015 [72] | Caloundra (Australia) | ASHRAE 9-point scale Pleasantness scale | 179 | Csb |
| Canan et al., 2020 [61] | Konya (Turkey) | ASHRAE 7-point scale McIntyre scale (Thermal perception, thermal preference) | 2000 | Csa |
| G.Ramos et al., 2021 [73] | Sao Paulo (Brazil) | Thermal adaptive behavior | 3259 | Cfa |
| Labdaoui et al., 2021 [52] | Annaba (Algeria) | ASHRAE 7-point scale | 1230 | Csa |
| Summer | Day: 7 | 12 p.m. | ||||
|---|---|---|---|---|---|---|
| Unit | °C | % | m/s | °C | °C | °C |
| Points | Ta | HR | Ws | TGround | TWall 1 | TWall 2 |
| 1 | 18.5 | 71.6 | 1.4 | 18.1 | 18.0 | 17.9 |
| 2 | 20.0 | 66.7 | 0.3 | 18.0 | 18.2 | 18.1 |
| 3 | 19.1 | 69.2 | 1.1 | 18.6 | 18.5 | 18.2 |
| 4 | 19.0 | 69.1 | 0.1 | 18.3 | 18.3 | 18.2 |
| 5 | 18.1 | 72.0 | 1.1 | 18.1 | 18.0 | 17.7 |
| 6 | 19.1 | 69.5 | 0.2 | 21.5 | 20.4 | 19.9 |
| 7 | 19.1 | 70.0 | 0.1 | 18.1 | 17.9 | 17.6 |
| 8 | 19.8 | 67.2 | 1.4 | 19.0 | 18.6 | 18.5 |
| 9 | 18.6 | 70.9 | 1.5 | 18.1 | 18.0 | 18.0 |
| 10 | 19.4 | 68.8 | 0.0 | 18.1 | 18.2 | 18.0 |
| 11 | 18.7 | 70.0 | 0.7 | 18.0 | 18.0 | 17.9 |
| 12 | 19.0 | 68.8 | 0.7 | 17.9 | 18.7 | 18.5 |
| 13 | 18.9 | 68.8 | 1.2 | 19.2 | 18.9 | 18.7 |
| 14 | 19 | 69.1 | 2.0 | 18.6 | 18.5 | 18.6 |
| District | Measurement Point | PET 6:00 a.m. | PET 8:00 a.m. | PET 10:00 a.m. | PET 12:00 p.m. | PET 2:00 p.m. | PET 4:00 p.m. | PET 6:00 p.m. | PET 8:00 p.m. |
|---|---|---|---|---|---|---|---|---|---|
| Casbah of Algiers | 1 | 18 | 17.4 | 21.3 | 25.5 | 24.5 | 22 | 17.6 | 15.9 |
| 2 | 17.1 | 17.7 | 22 | 29.5 | 26.7 | 22.1 | 17 | 16.2 | |
| 3 | 17.3 | 16.5 | 22.7 | 28.7 | 25.1 | 21.8 | 16.9 | 17 | |
| 4 | 17.4 | 18.6 | 22.8 | 27.7 | 26 | 23.1 | 19 | 17.4 | |
| 5 | 17.6 | 16.1 | 19.4 | 25 | 23.8 | 21.5 | 17 | 16.4 | |
| 6 | 14.8 | 14.8 | 22.8 | 29 | 23.6 | 18.7 | 14.8 | 14.7 | |
| 7 | 16.5 | 16.6 | 21.9 | 26.9 | 28.2 | 22.3 | 16.5 | 16.6 | |
| 8 | 16.8 | 16.9 | 21.5 | 25.5 | 23.3 | 20.9 | 17.7 | 14.9 | |
| 9 | 18.5 | 18.5 | 22.7 | 26.5 | 24.9 | 22.7 | 18 | 18.4 | |
| 10 | 18.8 | 18.7 | 24.4 | 28.8 | 28.4 | 24.1 | 18.5 | 18.9 | |
| 11 | 18.9 | 18.4 | 23.4 | 27.3 | 27.1 | 23.5 | 18.4 | 18.3 | |
| 12 | 16.4 | 15.3 | 19.8 | 24.9 | 23.4 | 21.2 | 15.5 | 14.5 | |
| 13 | 17.7 | 15.9 | 21.7 | 26.1 | 22.8 | 20 | 16.8 | 15.1 | |
| 14 | 17 | 15.6 | 20.6 | 25.2 | 22.3 | 20.3 | 17.1 | 15.4 | |
| 12–15 | 15–19 | 19–26 | 26–28 | 28–34 | |||||
| Thermal comfort | Cool | Slightly Cool | Neutral | Slightly warm | Warm | ||||
| Stress level | Moderate cold stress | Slight cold stress | No thermal stress | Slight heat stress | Moderate heat stress | ||||
| District | Measurement Point | PET 6:00 a.m. | PET 8:00 a.m. | PET 10:00 a.m. | PET 12:00 p.m. | PET 2:00 p.m. | PET 4:00 p.m. | PET 6:00 p.m. | PET 8:00 p.m. |
|---|---|---|---|---|---|---|---|---|---|
| Casbah of Algiers | 1 | 27.2 | 32.8 | 38 | 41.1 | 41.2 | 37.9 | 32.7 | 29.1 |
| 2 | 26.5 | 33.2 | 39.2 | 42.1 | 41.7 | 39.1 | 33.3 | 28.3 | |
| 3 | 27.1 | 33.1 | 38.8 | 42.3 | 40.4 | 38.3 | 33.1 | 28.4 | |
| 4 | 26.8 | 31.9 | 37.1 | 40.7 | 39.9 | 37.1 | 32.5 | 28.5 | |
| 5 | 26 | 32 | 37.7 | 39 | 39.5 | 37.3 | 32.5 | 28.6 | |
| 6 | 24.8 | 35.8 | 42.1 | 42.7 | 38.2 | 41.2 | 33.7 | 26.3 | |
| 7 | 26.2 | 32.9 | 37.8 | 41.4 | 40.8 | 37.4 | 33.1 | 27.8 | |
| 8 | 26.9 | 33 | 37.5 | 42.3 | 40.9 | 37.3 | 32.4 | 28.3 | |
| 9 | 27.1 | 31.6 | 36.6 | 39.8 | 38.4 | 36.7 | 32.7 | 28.7 | |
| 10 | 27.8 | 32.8 | 38.7 | 42.2 | 41 | 38.3 | 32.9 | 28.8 | |
| 11 | 27.9 | 32.8 | 39.2 | 41.8 | 41.2 | 38 | 32.8 | 28.9 | |
| 12 | 26.6 | 34.9 | 40.6 | 41.5 | 40.6 | 41.3 | 34.9 | 28.2 | |
| 13 | 26.1 | 32.1 | 37.2 | 39.5 | 39.9 | 36.2 | 32 | 28.1 | |
| 14 | 27.4 | 32.1 | 37 | 40.2 | 40.4 | 38.1 | 32.7 | 28.4 | |
| 19- 26 | 26- 28 | 28- 34 | 34- 40 | > 40 | |||||
| Thermal comfort | Neutral | Slightly warm | Warm | Hot | Extremely hot | ||||
| Stress level | No thermal stress | Slight heat stress | Moderate heat stress | Strong heat stress | Extreme heat stress | ||||
| Thermal Sensitivity | Grade of Physiological Stress | Mid/West Europe | Csa Mediterranean |
|---|---|---|---|
| (Matzarakis, 1999) [83] | (Potchter et al., 2018) [82] | ||
| Cfb | Csa | ||
| Very Cold | Extreme cold stress | <4 | <8 |
| Cold | Strong cold stress | 4–8 | 8–12 |
| Cool | Moderate cold stress | 8–13 | 12–15 |
| Slightly Cool | Slight cold stress | 13–18 | 15–19 |
| Neutral | No thermal stress | 18–23 | 19–26 |
| Slightly warm | Slight heat stress | 23–29 | 26–28 |
| Warm | Moderate heat stress | 29–35 | 28–34 |
| Hot | Strong heat stress | 35–41 | 34–40 |
| Extremely hot | Extreme heat stress | >41 | >40 |
Publisher’s Note: MDPI stays neutral with regard to jurisdictional claims in published maps and institutional affiliations. |
© 2022 by the authors. Licensee MDPI, Basel, Switzerland. This article is an open access article distributed under the terms and conditions of the Creative Commons Attribution (CC BY) license (https://creativecommons.org/licenses/by/4.0/).
Share and Cite
Arrar, F.H.; Kaoula, D.; Matallah, M.E.; Abdessemed-Foufa, A.; Taleghani, M.; Attia, S. Quantification of Outdoor Thermal Comfort Levels under Sea Breeze in the Historical City Fabric: The Case of Algiers Casbah. Atmosphere 2022, 13, 575. https://doi.org/10.3390/atmos13040575
Arrar FH, Kaoula D, Matallah ME, Abdessemed-Foufa A, Taleghani M, Attia S. Quantification of Outdoor Thermal Comfort Levels under Sea Breeze in the Historical City Fabric: The Case of Algiers Casbah. Atmosphere. 2022; 13(4):575. https://doi.org/10.3390/atmos13040575
Chicago/Turabian StyleArrar, Fawzi Hicham, Dalel Kaoula, Mohamed Elhadi Matallah, Amina Abdessemed-Foufa, Mohammad Taleghani, and Shady Attia. 2022. "Quantification of Outdoor Thermal Comfort Levels under Sea Breeze in the Historical City Fabric: The Case of Algiers Casbah" Atmosphere 13, no. 4: 575. https://doi.org/10.3390/atmos13040575
APA StyleArrar, F. H., Kaoula, D., Matallah, M. E., Abdessemed-Foufa, A., Taleghani, M., & Attia, S. (2022). Quantification of Outdoor Thermal Comfort Levels under Sea Breeze in the Historical City Fabric: The Case of Algiers Casbah. Atmosphere, 13(4), 575. https://doi.org/10.3390/atmos13040575


