Abstract
LiTiO2 was prepared from tetraethoxy titanium and lithium ethoxide by a sol–gel process and then treated at 773 K and 973 K under oxygen atmosphere, respectively. Compared with LiTiO2 prepared at 973 K, LiTiO2 prepared at 773 K has better CO2 capture properties. XRD patterns of synthetic LiTiO2 before and after CO2 capture confirm that the intermediate product, LixTizO2, is produced during CO2 capture. CO2 absorption degree of LiTiO2 was determined to be 37% (293 K), 40.8% (333 K), 45.5% (373 K), and 50.1% (393 K) for 11.75 h, respectively. Repetitive CO2 capture experiment indicates that LiTiO2 has excellent cyclic regeneration behavior. The CO2 absorption degree of LiTiO2 increased with increasing CO2 concentration. At a concentration of 0.05%, the absorption degree of LiTiO2 had a stable value of 1% even after an absorption time of 1.4 h. LiBO2 was fabricated by the similar sol–gel method and treated at 713 K. Mass percentage and specific surface area of synthesized LiBO2 increased with the increasing absorption temperature. Evidently, the diffusion of the CO2 molecule through the reaction product, which had a low activation energy of 15 kJ·mol−1 and apparent specific surface value of 55.63 m2/g, determined the efficiency of the absorption reaction. Compared with the other sol–gel synthesized lithium-based oxides, LiTiO2 possessed higher absorption capabilities and lower desorption temperature.
1. Introduction
Solid ceramic absorbents, as one of the most utilized materials for carbon dioxide capture [1,2], have gained more and more attention for their highly cost-effective and energy efficient characteristics for CO2 capturing and sequestration by chemical absorption [3,4]. High-performance absorbents required high selectivity and CO2 absorption capacity, good absorption/desorption kinetics, and stable absorption capacity after repeated cycles. Solid ceramic absorbents include lithium-based ceramic sorbents and sodium-based ceramic sorbents. Sodium-based adsorbents have a high theoretical adsorption capacity and low cost, but have a lower reaction rate and adsorption capacity under actual operating conditions [5,6,7].
Lithium ceramic absorbents, such as Li4SiO4 [4,8,9,10,11], Li2ZrO3 [12,13,14], and Li2MnO3 [15], had displayed high CO2 absorption capacity [16] and ultrafast carbon dioxide sorption kinetics [17]. The development of novel materials for CO2 capture is one of the important themes in adsorption science [18]. It is meaningful to study CO2 capture properties of LiTiO2 and LiBO2 for the prominent CO2 absorbent materials because they can react with CO2 reversibly. Compared with other CO2 absorbers, another advantage for lithium ceramic absorbents is that different absorption thermodynamic equilibrium temperatures expand the CO2 capture temperature range so these corresponding oxides can be applied for different temperatures [16].
CO2 absorption properties of those compounds were not only influenced by the constituents but also the synthesis methods [19]. Li4SiO4 has been prepared by one-step synthesis [20,21,22] or the sample rolling ball method [11,23]. LiTiO2 has been synthesized by mechanochemical reactions between Li2O, Ti, and TiO2 by ball milling [24], the electrochemical insertion of Li+ into TiO2 in a fused LiCl salt medium [25], the hydrothermal method [26], microwave heating of the mixture of Li2CO3 and TiO2 [27] method, and so on. When compared to conventional techniques, sol–gel polymerization synthesis offers superior control over the production of fine powders of better purity at low temperatures and requires just basic tools and procedures [28].
In our former research, Li2ZrO3 and Li2SiO3 have been fabricated by sol–gel process [29,30]. CO2 absorption degree of synthesized Li2ZrO3 was higher than that of solid-state synthesized Li2ZrO3 [29]. Therefore, sol–gel synthesized LiTiO2 and LiBO2 are speculated to exhibit similar CO2 absorption characteristics of Li2ZrO3 [31]. However, synthesis of LiTiO2 and LiBO2 by a similar sol–gel process has little been reported.
In this study, LiTiO2 and LiBO2 powders were synthesized by the sol–gel process. The reversible reactions between LiTiO2 and LiBO2 and CO2 are listed below. CO2 absorption properties and cyclic behavior of LiTiO2 were evaluated by dynamic and isothermal thermogravimetry analysis. CO2 capture properties and the specific surface area of LiBO2 were evaluated with chromatography and the BET method, respectively. Kinetic of CO2 absorption/desorption processes of LiTiO2 was analyzed with different kinetic equations. CO2 capture properties of sol–gel synthesized lithium ceramic absorbents were compared and summarized.
2 LiTiO2 + CO2 = Li2CO3 + Ti2O3
2 LiBO2 + CO2 = Li2CO3 + B2O3
2. Materials and Methods
2.1. Sol–Gel Synthesis Processes of LiTiO2 and LiBO2
The sol–gel synthesis processes of LiTiO2 and LiBO2 are described as follows. The preparation of sol was conducted under dry N2 atmosphere because sol is extremely sensitive to moisture. Table 1 lists the starting material information and molar ratio for the synthesis of LiTiO2 and LiBO2. Firstly, Ti(OC2H5)4 or B(i-OC3H7)3 was dissolved by stirring in the mixture of (C2H4OH)2O and a quarter of C2H5OH. Then, drop by drop, distilled water containing another quarter of C2H5OH was stirred into the aforementioned solution until it was clear. In another container, LiOC2H5 was incorporated in 50 percent of the C2H5OH solution by swirling. The molar ratio of Li:B was designed to be 3:2 in order to compensate for the loss of Li atoms during the preparation of the LiBO2 solvate precursors. Finally, clear lithium precursor solution was slowly added to the titanium precursor solution. These solutions were mixed by stirring and then aged for 24 h at room temperature.
Table 1.
Raw material information and molar ratio for synthesis of LiTiO2 and LiBO2.
The gel was produced by vacuum curing the sol in a Petri plate at room temperature for 48 h. To hasten the breakdown of organic residues, the wet gel was heated to 773 K (or 973 K) for the preparation of LiTiO2 and 713 K for the preparation of LiBO2 with duration of 0.5 h under a flow of oxygen gas, respectively. The resultant powder was ground gently by an agate mortar to break the agglomerates. Lastly, the ground powder was heated to 623 K for an absorption time of 0.3 h under Ar atmosphere to remove the absorbent CO2 during the synthesis process.
2.2. Characterization
The synthesized powders were characterized through the utilization of X-ray diffraction (XRD: Rint-Ultima+, Rigaku Corp., Tokyo, Japan) with monochromatic CuKα radiation. On a surface area analyzer (Autosorb-1, Quantachrome, Boynton Beach, FL, USA), the Brunauer–Emmett–Teller (BET) technique was used to measure the specific surface areas (SSA) of synthesized powders.
CO2 capture properties of LiTiO2 and LiBO2 were evaluated simultaneously by thermogravimetry and differential thermal analysis (TG-DTA2000S, MAC Science Co., Ltd., Kanagawa, Japan). To determine the CO2 capture temperatures, the produced LiTiO2 powder was heated from ambient temperature to 623 K continuously at 10 °C·min−1 under 300 mL/min of dry CO2 flowing. To understand the repetitive CO2 absorption properties, the samples were heated to 388 K at a rate of 5 °C/min for 0.9 h under CO2 atmosphere after heating at 623 K under Ar atmosphere and cooling to ambient. These steps were repeated five times.
Absorption degree is calculated by multiplying the proportion weight of LiTiO2 or LiBO2 added following absorbing by the percentage amount added to equate to 100% reaction completion of the reaction, as shown in Equations (1) and (2). The degree of absorption was calculated with the mathematical formula Equation (3):
where R represents absorption degree (%); M1 and M2 are sample mass (mg) before and after CO2 absorption, respectively. The factor α is a value of LiTiO2/LiBO2 mass required to absorb one mole of CO2 divided by the molecular mass of CO2. The estimated value of α is 0.253 for LiTiO2 and 0.44 for LiBO2.
R = (M2 − M1)/M1α
To investigate the influence of CO2 concentration on the absorption degree of LiTiO2, the synthesized LiTiO2 powder was heated to 388 K at a rate of 5 °C∙min−1 in a gas mixture of CO2 and N2 gas with a flowing rate of 300 mL/min. The mixture ratio of CO2 was 0.05% (500 ppm, which is close to CO2 concentration of the ambient atmosphere), 10%, 40%, and 100%, respectively. LiBO2 was evaluated with the mixture gas of N2 and CO2 (volume ratio = 6:4) by the gas chromatography method to check the variation of CO2 concentration with time. The sample was placed in the sample holder in the furnace and the mixture gas flowed into the furnace from the right (primary gas) and left side (secondary gas). The primary gas pressure was 0.1 MPa and gas flowing rate was 500 mL/min. The secondary gas flowing rate was 30 mL/min.
3. Results
3.1. Synthesis of LiTiO2 and LiBO2 Powders
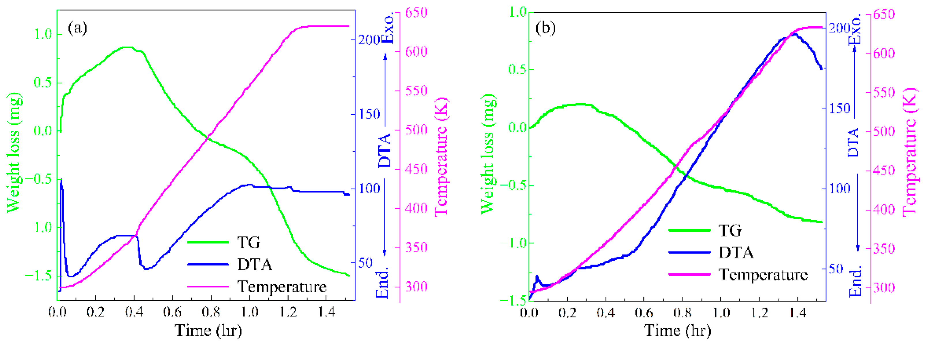
Figure 1 depicts TG-DTA trends for the chemically synthesized products heated to 623 K in a CO2 environment as the second heat treatment. The samples were prepared by heating the gel at 773 K (marked as LiTiO2-A) and 973 K (marked as LiTiO2-B), respectively. LiTiO2-A and LiTiO2-B showed similar TG behavior as the temperature increased. TG of LiTiO2-A increased gradually with a temperature up to approximately 360 K and subsequently decreased immediately at 360–573 K. The remarkable rise and decline of mass of LiTiO2-A corresponded to CO2 absorption and desorption. Above 573 K, the value of mass loss transfer changed from positive to negative. The difference in the amount of CO2 before absorption and after desorption can be attributed to the characteristics of the sol–gel synthesized powders. A carbonated phase is said to have formed when heat treatment breaks down any remaining organic materials in wet gels.
Figure 1.
TG-DTA curves of sample prepared by heating the gel at 773 K (a) and 973 K (b) under CO2 atmosphere.
DTA curve of LiTiO2-A showed a strong endothermic peak at the beginning of the reaction, indicating CO2 absorption, while LiTiO2-B exhibited a relatively low endothermic DTA peak. At approximately 360 K, the mass loss of LiTiO2-A reached its maximum of 0.9 mg, which is 4.5 times higher than that of LiTiO2-B (0.2 mg at 330 K), revealing that LiTiO2-A has better CO2 capture property than that of LiTiO2-B. For this reason, the gel was heated at 773 K in the subsequent experiment.
Figure 2 displays the TG-DTA profiles for the synthetic products heated to 650 K in an environment of Ar. The mass of LiTiO2-A decreased at above 320 K, which was lower than that treated under CO2 atmosphere (360 K), as shown in Figure 1a. Table 2 lists the weight losses of sample prepared by heating the gel at 773–973 K. This mass loss may potentially be related to CO2 desorption, which results from the initial remaining organic component’s dissociation. The decomposition temperature of carbonates decreases with the fall of CO2 partial pressure under the Ar atmosphere. Both the TG and DTA curve also saturate to a constant at 630 K, and there is no further drop in mass beyond 623 K under the Ar atmosphere. Therefore, all the adsorbent CO2 can be assumed to be released at 623 K. Hence, CO2 capture properties were studied after heating the samples to 623 K under an Ar atmosphere.
Figure 2.
TG-DTA curves of sample prepared by heating the gel at 773 K under Ar atmosphere.
Table 2.
Weight losses of sample prepared by heating the gel at 773–973 K.
XRD patterns of synthetic LiTiO2 before and after CO2 absorption are shown in Figure 3. This sample reacted with CO2 at 373 K for 11.75 h for the absorption degree of 43%, which will be discussed later in detail. Before CO2 absorption, diffraction peaks corresponding to single LiTiO2 have been confirmed in Figure 3a. During CO2 adsorption, the intermediate product LixTizO2 is generated (Figure 3b) and after five cycles of adsorption LiTiO2 is re-formed (Figure 3c).
Figure 3.
XRD patterns of synthetic LiTiO2 before and after CO2 absorption.
The SSA of LiTiO2 before and after CO2 absorption was found to be 55.63 and 61.56 m2∙g−1, respectively. If we assume that the mass of LiTiO2 is 188 g, the system theory volume can be calculated according to the density of LiTiO2 (3.15 g∙cm−3). Similarly, the system volume after CO2 absorption is calculated with the densities of LiCO3 and Ti2O3 (2.11 and 4.49 g∙cm−3, respectively). The system theory volume increased by 11% following with CO2 absorption progress, indicating that SSA of LiTiO2 should be enlarged during the CO2 absorption process.
3.2. CO2 Absorption Properties of LiTiO2 and LiBO2
Figure 4 shows the absorption curves of LiTiO2 for an absorption time of 11.75 h obtained from TG. The temperature increased with a rate of 5 °C·min−1 and then maintained at 293 K, 333 K, 373 K, and 393 K, respectively. As shown in Table 3, the absorption degree attained 37%, 40.8%, 45.5%, and 50.1% at the maintained temperature of 293 K, 333 K, 373 K, and 393 K, respectively. CO2 absorption degrees of sol–gel synthesized Li2ZrO3 were also considered for comparison [29]. The CO2 absorption degree of Li2ZrO3 only attained 17%, 20%, and 22% at the same conditions [29].
Figure 4.
Comparison absorption degree of CO2 between LiTiO2.
Table 3.
Absorption degree of LiTiO2 at 293K–393 K for the absorption time of 2–11.75 h.
Repetitive CO2 absorption degree of LiTiO2 was obtained from TG analysis as shown in Figure 5. The repetitive CO2 absorption degree decreased slightly every time with a mean drop of 0.5%. As shown in Table 4, the absorption degree of LiTiO2 decreases with the increasing number of cycles. This result is similar with that of sol–gel synthesized Li2ZrO3 [29].
Figure 5.
Repetitive cycles absorption on absorption degree of LiTiO2.
Table 4.
Absorption degree of LiTiO2 for the repetitive cycles.
Figure 6 shows the influence of variation of CO2 concentration on the absorption degree of LiTiO2 at different temperatures. As shown in Table 5, the absorption degree enlarges with the augmentation of CO2 concentration. The absorption degree of LiTiO2 is approximately 30% under pure CO2 atmosphere. Moreover, the absorption degree of LiTiO2 decreases from 25% to 23% as CO2 concentration reduces from 40% to 10%. Finally, the absorption degree is a minuscule 1% even after an absorption time of 1.4 h at a CO2 concentration of 0.05%.
Figure 6.
Dependence of CO2 concentrations on the absorption degree of LiTiO2.
Table 5.
Dependence of the concentrations of CO2 in the atmosphere on the degree of absorption.
The mass percentage of synthetic LiBO2 at 333–423 K is shown in Figure 7. As shown in Table 6, the mass percentage of synthetic LiBO2 enlarged with the augment of CO2 absorption temperature. LiBO2 reacted with CO2 with the extension of the absorption time. Higher explored temperatures improved the reaction activation energy and then increased the mass percentage of LiBO2. The mass percentage of synthetic LiBO2 at 393 and 423 K presents a second mass increment in the last part of these curves. Usually, similar behaviors have been associated with physical adsorption. Therefore, absorption of LiBO2 is the mixture of both the physical adsorption and chemical absorption of CO2. Table 7 lists the specific surface area and mass percentage of synthetic LiBO2. Following the increasing absorption temperature, SSA of synthetic LiBO2 obviously increased. SSA of synthetic LiBO2 is larger than that of Li2ZrO3 (SSA value of 6.9 m2/g). Similar to LiBO2, Li3BO3 exhibits exceptionally quick kinetics and a high ability to collect CO2 [32].
Figure 7.
Weight percentage of synthetic LiBO2 at 333–423 K.
Table 6.
Mass increasing rate of LiBO2 at 333–423 K for the absorption time of 6–18 h.
Table 7.
Specific surface area and weight percentage of synthetic LiBO2.
Figure 8 shows the evaluation of CO2 absorption properties of LiBO2 with the gas chromatography method. As the absorption time extended, CO2 concentrations lessened firstly and then reached a saturation value at 363 K and 393 K. As shown in Table 8, higher absorption temperatures can shorten the absorption time for saturation, which is the same as the result of mass percentage (Figure 7). However, the variation of CO2 concentration for the absorption at 363 K is larger than that for the absorption at 393 K because the equilibrium temperature of LiBO2 is 333 K.
Figure 8.
Evaluation of CO2 absorption properties of LiBO2 with gas chromatography method.
Table 8.
Evaluation of CO2 absorption properties of LiBO2 with gas chromatography method.
3.3. Kinetic Calculation Analysis
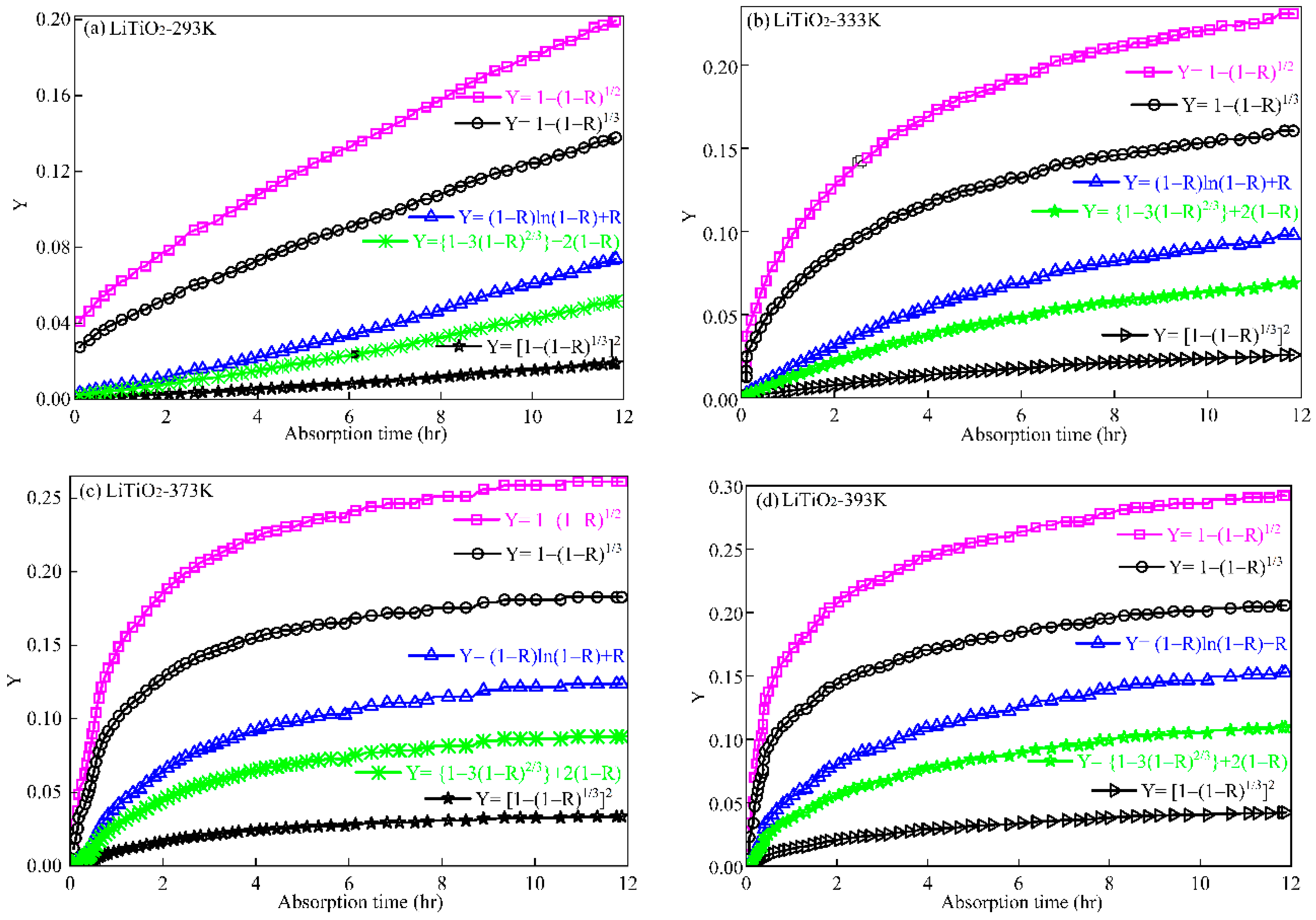
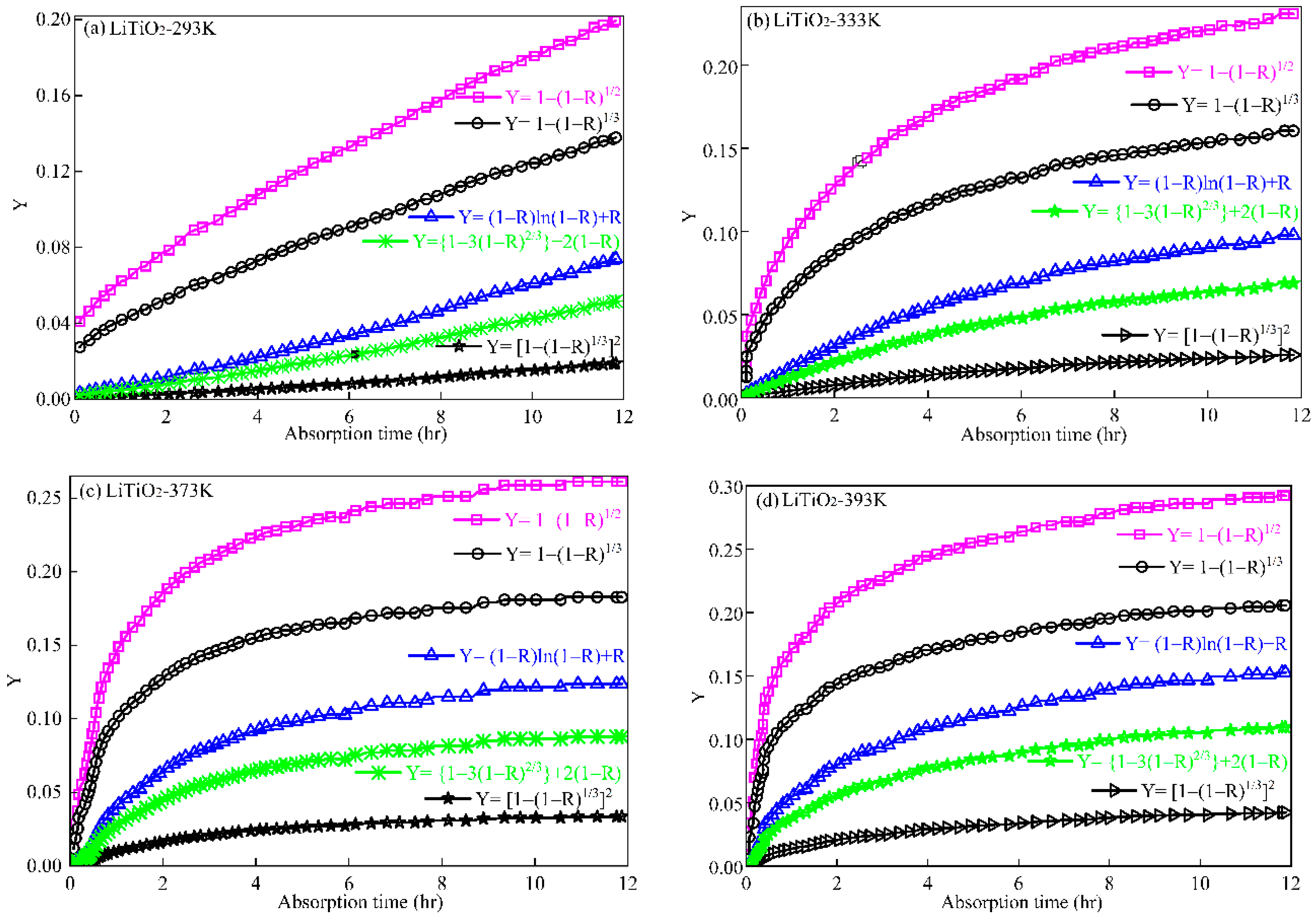
The kinetic consecutive reaction model for CO2 capture on lithium ceramic absorbents was connected with the CO2 flow rate [33]. The conversion kinetics for the interaction combining LiTiO2 and CO2 are shown in Figure 9. This reaction mechanism for LiTiO2 was similar to the reported model of high-temperature CO2 capture on Li2ZrO3 [34,35]. The following rate equations were employed for analyzing the experimental data, as shown in Figure 4:
Figure 9.
Plot of reaction kinetics and absorption time at 293 K (a), 333 K (b), 373 K (c), and 393 K (d) for data from Figure 4.
- (1)
- equations generated from mobility modeling procedures where gas diffusion through the Li2CO3 and Ti2O3 layer is the rate-limiting phase, especially, the Yander formula [36], Y1 = (1 − (1 − R)1/3)2 = kt; and Gistling model [37], Y2 = 1 − 2α/3 − (1 − α)2/3 = kt;
- (2)
- equation for reactions in cylinder-shaped particles that are constrained by interfacial processes, Y1 = 1 − (1 − α)1/2 = kt; and Y2 =1 − (1 − α)1/3.
In Figure 9, data analysis shows that the highest correlation coefficient is achieved between 293 K and 393 K when the Yander equation [38] and Gistling equation [39] are fit. The formula of interactions restricted by contact processes just fits for the absorption at low temperature (293 K) and fails at high temperature due to the change of shape of the LiTiO2 particle and the thickness of the product layer. These equations apply only for a sphere when the radius is very large as compared with the thickness of the product layer. An approximately linear dependence is found to a relatively high absorption degree. Therefore, the rate-determining step might be the gas diffusion in the Li2CO3 and Ti2O3 layer.
The Gistling equation is provided below [39]:
where R denotes the percentage of absorption, (%); M is the reactant’s molecular mass, (g∙mol−1); D is the intra-particle efficient diffusivity, (cm2∙s−1); C stands for the reagent concentration; α means the stoichiometric ratio; ρ indicates the reactant density; r0 is the reactant’s initial particle diameter, (cm); t is the reaction time, (s); and k’ is the rate parameter.
1 − 3(1 − R)2/3 + 2(1 − R) = (2MDC/αρr02) = k’t
Accorded to Equation (4), the values of rate constant k’ are calculated. Rate constant k’ showed linear temperature dependence. The effective kinetic energy (ΔE) is determined from the values of the slope and is calculated as 15 kJ∙mol−1. This value is slightly smaller than that of sol–gel synthesized Li2ZrO3 (24 kJ∙mol−1 [40]). As a further comparison, the apparent activation energy of zeolite pores with the approximate diameter of 0.4 nm is approximately 20 kJ∙mol−1 during CO2 diffusion through [41]. The rate-determining step of CO2 capture in the instance of LiTiO2 is likewise assumed to be its dispersion in the chemical process of diffusion.
3.4. Evaluation of CO2 Capture Properties of Sol–Gel Prepared Lithium Ceramic Absorbents
Figure 10 shows a comparison of mass percentage of sol–gel synthesized lithium ceramic absorbents at 333K. Compared with other lithium ceramic absorbents, LiTiO2 has the maximal mass percentage as shown in Table 9. It might be attributed to the larger specific surface area SSA (Table 3) and lower activation energy of sol–gel synthesized LiTiO2. On comparison of the ambient temperature CO2 absorption properties of LiTiO2 and Li2ZrO3 powders [29] synthesized by the same sol–gel process, the absorption degree of LiTiO2 was two times higher than that of Li2ZrO3. This difference should be attributed to the major difference in specific surface areas of 55.63 m2∙g−1 of LiTiO2 as compared with 12.25 m2∙g−1 of Li2ZrO3, determined before CO2 absorption.
Figure 10.
Comparison of weight percentage of sol–gel synthesized lithium-based oxides at 333 K.
Table 9.
Mass increasing rate of lithium-based oxides for the absorption time of 2–11.75 h.
Table 10 summarizes the CO2 capture properties of lithium ceramic absorbents synthesized by the sol–gel method. These lithium ceramic absorbents, which have different CO2 emission temperatures, can be employed at an altered temperature range. LiTiO2 has the highest CO2 absorptivity and largest mass percentage among these lithium ceramic absorbents due to its smallest activation energy. The equilibrium temperature of LiTiO2 (393 K) is considerably lower than that of Li2ZrO3 (992 K), indicating that LiTiO2 is easier to renew compared with Li2ZrO3; that is, LiTiO2 is a more efficient CO2 absorption material than Li2ZrO3. The sol–gel synthesized LiTiO2 powders can be employed as a solid CO2 sorbent at near-ambient temperatures.
Table 10.
CO2 capture properties of lithium-based oxides synthesized by sol–gel method.
4. Conclusions
The preparation process of LiTiO2 and LiBO2 by a sol–gel process was investigated. LiTiO2 and LiBO2 with a larger SSA were fabricated by this method. The variety of TG-DTA revealed that LiTiO2 prepared at 773 K has better CO2 capture property, especially at approximately room temperature. The reaction between LiTiO2 and CO2 is reversible with an equilibrium temperature of 500 K. LiTiO2 showed excellent repeated cyclic absorption behavior for CO2 absorption and desorption. The absorption degree of LiTiO2 reached 50.1% at 393 K for 11.75 h. The repetitive CO2 absorption degree experiment indicates that CO2 absorption degree decreased slightly every time with a mean decrease of 0.5%. The absorption degree of LiTiO2 lessened with the diminution of CO2 concentration. At a CO2 concentration of 0.05%, the LiTiO2 showed a low CO2 absorption degree but kept a stable absorption degree of 1% as time went on. Higher absorption temperature increased the mass percentage and specific surface area of synthetic LiBO2. The absorption behavior could be well explained by an intra-particle diffusion mechanism. The rate-determining step is CO2 diffusion through the Li2CO3 and Ti2O3 layer with activation energy of 15 kJ∙mol−1, which is slightly smaller than that of Li2ZrO3 prepared by the same sol–gel process.
Author Contributions
Formal analysis, L.L.; investigation, L.L. and Y.C.; data curation, L.L., H.Y. and Y.C.; writing—original draft preparation, L.L. and Y.C.; writing—review and editing, L.L. and Y.C.; supervision, L.L.; funding acquisition, L.L.; All authors have read and agreed to the published version of the manuscript.
Funding
This research was funded by the Natural Science Foundation of Henan, grant number 202300410296, and Scientific Research Foundation of Henan for Returned Scholars, grant number 208007.
Institutional Review Board Statement
Not applicable.
Informed Consent Statement
Not applicable.
Data Availability Statement
The data presented in this study are available on request from the corresponding author.
Acknowledgments
The authors express their thanks and gratitude to the deceased Shinji Hirai of the Muroran institute of technology, Japan, for providing experimental instruments and materials for this work.
Conflicts of Interest
The authors declare no conflict of interest. The authors declare that they have no known competing financial interest or personal relationships that could have appeared to influence the work reported in this paper.
References
- Yaumi, A.; Bakar, M.A.; Hameed, B. Recent advances in functionalized composite solid materials for carbon dioxide capture. Energy 2017, 124, 461–480. [Google Scholar] [CrossRef]
- Supriya, N.; Rajeev, R. Synthesis and characterization of lithium silicates from organosilicone precursors for carbon dioxide adsorption. J. Therm. Anal. Calorim. 2020, 147, 135–143. [Google Scholar] [CrossRef]
- Deng, B.; Tang, J.; Mao, X.; Song, Y.; Zhu, H.; Xiao, W.; Wang, D. Kinetic and thermodynamic characterization of enhanced carbon dioxide absorption process with lithium oxide-containing ternary molten carbonate. Environ. Sci. Technol. 2016, 50, 10588–10595. [Google Scholar] [CrossRef]
- Yin, Z.; Wang, K.; Zhao, P.; Tang, X. Enhanced CO2 chemisorption properties of Li4SO4, using a water hydration–calcination technique. Ind. Eng. Chem. Res. 2016, 55, 1142–1146. [Google Scholar] [CrossRef]
- Wu, Y.; Liu, W. Element doped sodium-based sorbents with high attrition resistance and CO2 capture capacity during CO2 sorption/desorption processes. Fuel 2021, 285, 119165. [Google Scholar] [CrossRef]
- Kar, S.; Goeppert, A.; Galvan, V.; Chowdhury, R.; Olah, J.; Prakash, G.S. A carbon-neutral CO2 capture, conversion, and utilization cycle with low-temperature regeneration of sodium hydroxide. J. Am. Chem. Soc. 2018, 140, 16873–16876. [Google Scholar] [CrossRef] [PubMed]
- Ji, G.; Yang, H.; Memon, M.Z.; Gao, Y.; Qu, B.; Fu, W.; Olguin, G.; Zhao, M.; Li, A. Recent advances on kinetics of carbon dioxide capture using solid sorbents at elevated temperatures. Appl. Energy 2020, 267, 114874. [Google Scholar] [CrossRef]
- Wang, K.; Li, W.; Yin, Z.; Zhou, Z.; Zhao, P. High-capacity Li4SO4-based CO2 Sorbents via a facile hydration-NaCl doping technique. Energy Fuels 2017, 31, 6257–6265. [Google Scholar] [CrossRef]
- Takasu, H.; Ryu, J.; Kato, Y. Application of lithium orthosilicate for high-temperature thermochemical energy storage. Appl. Energy 2017, 193, 74–83. [Google Scholar] [CrossRef]
- Subha, P.; Nair, B.N.; Visakh, V.; Achu, R.; Shikhila, S.; Mohamed, A.P.; Yamaguchi, T.; Hareesh, U. Wet chemically derived Li4SO4 nanowires as efficient CO2 sorbents at intermediate temperatures. Chem. Eng. J. 2021, 406, 126731. [Google Scholar] [CrossRef]
- Sanna, A.; Thompson, S.; Zajac, J.; Whitty, K. Evaluation of palm-oil fly ash derived lithium silicate for CO2 sorption under simulated gasification conditions. J. CO2 Util. 2022, 56, 101826. [Google Scholar] [CrossRef]
- Alcántar-Vázquez, B.; Duan, Y.; Pfeiffer, H. CO oxidation and subsequent CO2 chemisorption on alkaline zirconates: Li2ZrO3 and Na2ZrO3. Ind. Eng. Chem. Res. 2016, 55, 9880–9886. [Google Scholar] [CrossRef]
- Jo, H.G.; Yoon, H.J.; Lee, C.H.; Lee, K.B. Citrate sol–gel method for the preparation of sodium zirconate for high-temperature CO2 sorption. Ind. Eng. Chem. Res. 2016, 55, 3833–3839. [Google Scholar] [CrossRef]
- Orsetti, N.G.; Gamba, M.; Gómez, S.; Gaviria, J.P.Y.; Suarez, G. The transcendental role of lithium zirconates in the development of modern energy technologies. Ceram. Int. 2022, 48, 8930–8959. [Google Scholar] [CrossRef]
- Hernández-Fontes, C.; Pfeiffer, H. Unraveling the CO and CO2 reactivity on Li2MnO3: Sorption and catalytic analyses. Chem. Eng. J. 2022, 428, 131998. [Google Scholar] [CrossRef]
- Kumar, S.; Saxena, S.K. A comparative study of CO2 sorption properties for different oxides. Mater. Renew. Sustain. Energy 2014, 3, 30. [Google Scholar] [CrossRef]
- Nambo, A.; He, J.; Nguyen, T.Q.; Atla, V.; Druffel, T.L.; Sunkara, M.K. Ultrafast carbon dioxide sorption kinetics using lithium silicate nanowires. Nano Lett. 2017, 17, 3327–3333. [Google Scholar] [CrossRef]
- D’Alessandro, D.M.; Smit, B.; Long, J.R. Carbon dioxide capture: Prospects for new materials. Angew. Chem. Int. Ed. 2010, 49, 6058–6082. [Google Scholar] [CrossRef]
- Hu, Y.; Fu, R.; Liu, W.; Yao, D.; Yan, S. Lithium-based ceramics in nonsilicates for CO2 capture: Current status and new trends. J. Mater. Chem. A 2022, 10, 1706–1725. [Google Scholar] [CrossRef]
- Stefanelli, E.; Vitolo, S.; Puccini, M. Single-step fabrication of templated Li4SiO4-based pellets for CO2 capture at high temperature. J. Environ. Chem. Eng. 2022, 10, 108389. [Google Scholar] [CrossRef]
- Hu, Y.; Fu, R.; Yu, G.; Cao, J.; Huang, J. Scalable synthesis of Li4SiO4 sorbent from novel low-cost orthoclase mineral for CO2 capture. Fuel 2022, 324, 124492. [Google Scholar] [CrossRef]
- Fu, R.; Yu, G.; Cheng, J.; Hu, Y.; Yan, S. One-step synthesis of porous Li4SiO4 pellets by polyvinyl alcohol (PVA) method for CO2 capture. Fuel 2023, 331, 125873. [Google Scholar] [CrossRef]
- Tan, G.; Hu, X.; Wang, C.; Cai, L.; Song, S.; Nong, Y.; Wang, Q.; Ren, Y.; Yang, X.; Zhang, Y. High efficiency CO2 sorption property of Li4SiO4 sorbent pebbles via a simple rolling ball method. Sep. Purif. Technol. 2022, 298, 121662. [Google Scholar] [CrossRef]
- Obrovac, M.N.; Mao, O.; Dahn, J.R. Structure and electrochemistry of LiMO2 (M= Ti, Mn, Fe, Co, Ni) prepared by mechanochemical synthesis. Solid State Ion. 1998, 112, 9–19. [Google Scholar] [CrossRef]
- Jiang, K.; Hu, X.; Sun, H.; Wang, D.; Jin, X.; Ren, Y.; Chen, G.Z. Electrochemical synthesis of LiTiO2 and LiTi2O4 in molten LiCl. Chem. Mater. 2004, 16, 4324–4329. [Google Scholar] [CrossRef]
- Zhang, D.R.; Liu, H.L.; Jin, R.H.; Zhang, N.Z.; Liu, Y.X.; Kang, Y.S. Synthesis and characterization of nanocrystalline LiTiO2 using a one-step hydrothermal method. J. Ind. Eng. Chem. 2007, 13, 92–96. [Google Scholar]
- Yang, L.H.; Dong, C.; Guo, J. Hybrid microwave synthesis and characterization of the compounds in the Li–Ti–O system. J. Power Sources 2008, 175, 575–580. [Google Scholar] [CrossRef]
- Yoldas, B.E. Technological significance of sol-gel process and process-induced variations in sol-gel materials and coatings. J. Sol-Gel Sci. Technol. 1993, 1, 65–77. [Google Scholar] [CrossRef]
- Wang, F.; Yoshimura, Y.; Hirai, S.; Kuzuya, T. CO2 absorption/release properties of lithium zirconate powder prepared by the sol-gel process. Resour. Processes 2011, 58, 108–113. [Google Scholar] [CrossRef][Green Version]
- Wang, F.; Wakou, S.; Hirai, S.; Kuzuya, T.; Li, T. CO2 absorption/release properties of lithium silicate (Li2SiO3) powders prepared by the sol-gel process. Appl. Mech. Mater. 2014, 675, 7–14. [Google Scholar]
- Deptuła, A.; Olczak, T.; Łada, W.; Sartowska, B.; Chmielewski, A.G.; Alvani, C.; Carconi, P.L.; Di Bartolomeo, A.; Pierdominici, F.; Casadio, S. Inorganic sol-gel preparation of medium sized microparticles of Li2TiO3 from TiCl4 as tritium breeding material for fusion reactors. J. Sol-Gel Sci. Technol. 2003, 26, 207–212. [Google Scholar] [CrossRef]
- Villa-Pérez, C.; Larochette, P.A.; Soria, D.B.; Gennari, F.C. Thermodynamic and kinetic properties of Li3BO3 modified by the alkali fluorides addition in the CO2 capture process. Chem. Eng. J. 2022, 450, 138118. [Google Scholar] [CrossRef]
- Mendoza-Nieto, J.A.; Martínez-Hernández, H.; Pfeiffer, H.; Gómez-García, J.F. A new kinetic model for CO2 capture on sodium zirconate (Na2ZrO3): An analysis under different flow rates. J. CO2 Util. 2022, 56, 101862. [Google Scholar] [CrossRef]
- Ida, J.-i.; Lin, Y. Mechanism of high-temperature CO2 sorption on lithium zirconate. Environ. Sci. Technol. 2003, 37, 1999–2004. [Google Scholar] [CrossRef]
- Guo, X.; Ding, L.; Ren, J.; Yang, H. Preparation and CO2 capture properties of nanocrystalline Li2ZrO3 via an epoxide-mediated sol–gel process. J. Sol-Gel Sci. Technol. 2016, 3, 844–849. [Google Scholar] [CrossRef]
- Zagorowsky, G.; Prikhod’ko, G.; Ogenko, V.; Koval’chuk, G. Investigation of kinetics of solid-phase synthesis of lithium orthosilicate. J. Therm. Anal. Calorim. 1999, 55, 699–705. [Google Scholar] [CrossRef]
- Mohammed, H.I.; Garba, K.; Ahmed, S.I.; Abubakar, L.G. Thermodynamics and kinetics of Doum (Hyphaene thebaica) shell using thermogravimetric analysis: A study on pyrolysis pathway to produce bioenergy. Renew. Energy 2022, 200, 1275–1285. [Google Scholar] [CrossRef]
- Kuznetsova, S.A.e.; Khalipova, O.g.S.; Lisitsa, K.V.; Ditts, A.A.; Malchik, A.G.e.; Kozik, V.V.e. Synthesis of nanostructured composite materials of MoO3/TiO2-SiO2 with spherical shape prepared with resins. Nanosyst. Phys. Chem. Math. 2021, 12, 232–245. [Google Scholar] [CrossRef]
- Karelin, V.A.; Voroshilov, F.A.; Strashko, A.N.; Sazonov, A.V.; Karelina, N.V. Fluorination of rutile, electrochemical reduction of titanium fluoride to titanium, and its separation from the electrolyte salts melt. J. Chem. Technol. Metall. 2020, 55, 1111–1119. [Google Scholar]
- Wang, K.; Guo, X.; Zhao, P.; Wang, F.; Zheng, C. High temperature capture of CO2 on lithium-based sorbents from rice husk ash. J. Hazard. Mater. 2011, 189, 301–307. [Google Scholar] [CrossRef] [PubMed]
- Ida, J.i.; Xiong, R.; Lin, Y.S. Synthesis and CO2 sorption properties of pure and modified lithium zirconate. Sep. Purif. Technol. 2004, 36, 41–51. [Google Scholar] [CrossRef]
Publisher’s Note: MDPI stays neutral with regard to jurisdictional claims in published maps and institutional affiliations. |
© 2022 by the authors. Licensee MDPI, Basel, Switzerland. This article is an open access article distributed under the terms and conditions of the Creative Commons Attribution (CC BY) license (https://creativecommons.org/licenses/by/4.0/).









