Comparison of the Carbon and Water Fluxes of Some Aggressive Invasive Species in Baltic Grassland and Shrub Habitats
Abstract
:1. Introduction
2. Materials and Methods
2.1. Species and Location Setup
2.2. Assessment of Physiological Parameters
2.3. Estimation of Abiotic Environment Parameters
2.4. Statistical Evaluation
3. Results
3.1. Abiotic Conditions
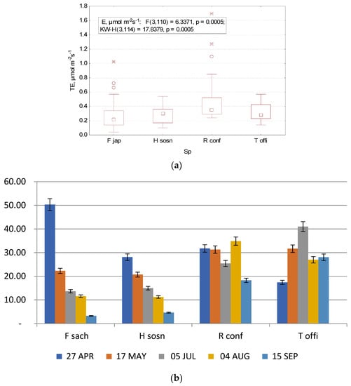
3.2. Intensity of Photosynthesis and Transpiration
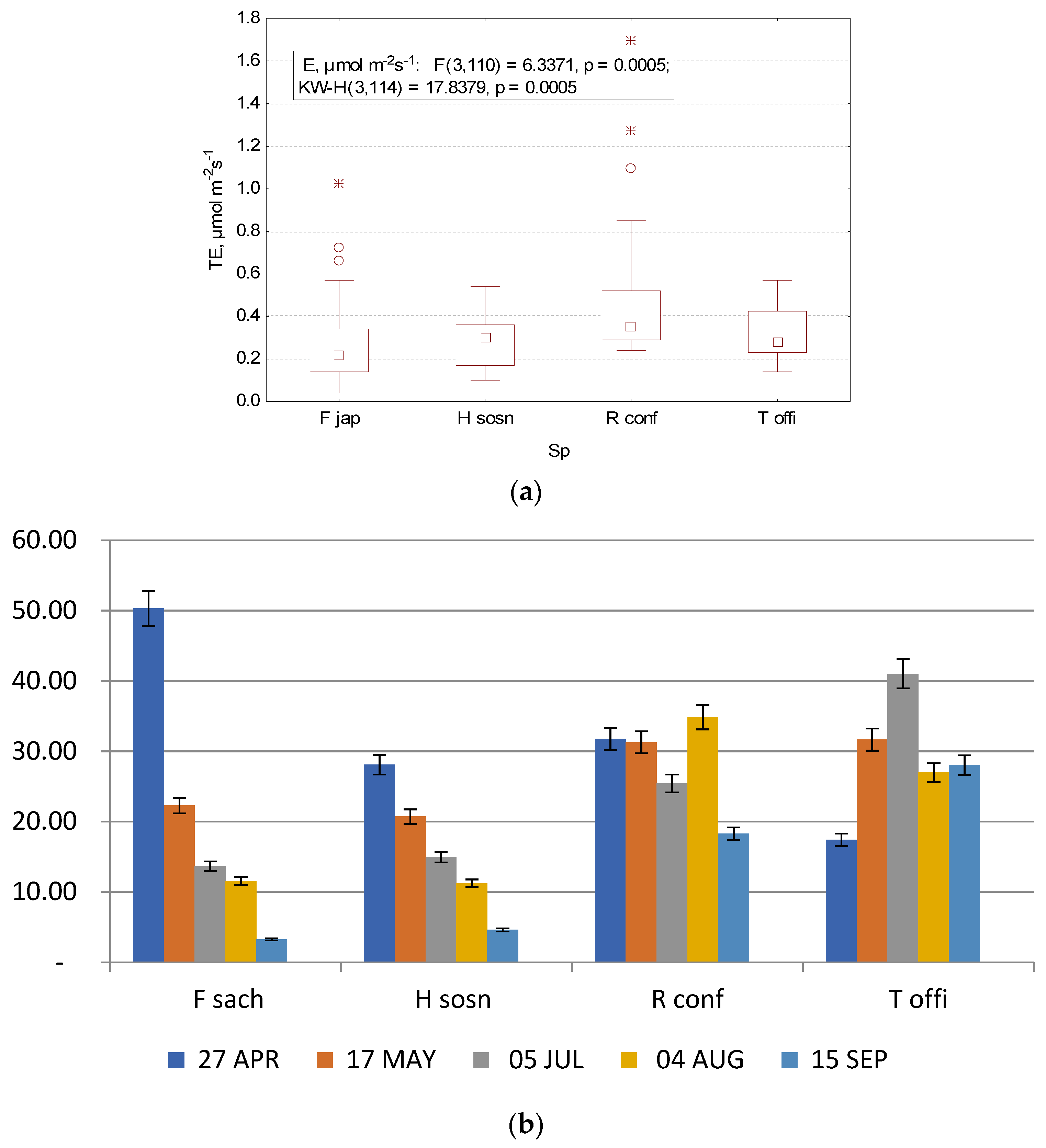
3.3. Water Use Effectivity
4. Discussion
4.1. Photosynthesis and Transpiration Adaptation to Abiotic Conditions
4.2. Water Use Efficiency
5. Conclusions
Author Contributions
Funding
Institutional Review Board Statement
Informed Consent Statement
Data Availability Statement
Acknowledgments
Conflicts of Interest
References
- EEC. Council Decision 93/626/EEC of 25 October 1993 concerning the conclusion of the Convention on Biological Diversity. OJ L 1993, 309, 1–20. [Google Scholar]
- Food and Agriculture Organization. FAO Strategy on Mainstreaming Biodiversity across Agricultural Sectors; FAO: Rome, Italy, 2020. [Google Scholar] [CrossRef]
- Council of the European Union, European Parliament. EU Regulation 1143/2014 on Invasive Alien Species. Off. J. Eur. Union 2014, 317–335. Available online: http://ec.europa.eu/environment/nature/invasivealien/index_en.htm (accessed on 4 December 2020).
- Woolfenden, H.; Baillie, A.; Gray, J.E.; Hobbs, J.K.; Morris, R.J.; Fleming, A.J. Models and Mechanisms of Stomatal Mechanics. Trends Plant Sci. 2018, 23, 822–832. [Google Scholar] [CrossRef]
- Kleidon, A. What limits photosynthesis? Identifying the thermodynamic constraints of the terrestrial biosphere within the Earth system. Biochim. Biophys. Acta (BBA) Bioenerg. 2021, 1862, 148303. [Google Scholar] [CrossRef]
- Rosen, R. Optimality Principles in Biology; Springer Science and Business Media LLC: New York, NY, USA, 1967. [Google Scholar]
- Jasechko, S.; Sharp, Z.D.; Gibson, J.J.; Birks, S.J.; Yi, Y.; Fawcett, P.J. Terrestrial water fluxes dominated by transpiration. Nat. Cell Biol. 2013, 496, 347–350. [Google Scholar] [CrossRef] [PubMed]
- Wei, Z.; Yoshimura, K.; Wang, L.; Miralles, D.G.; Jasechko, S.; Lee, X. Revisiting the contribution of transpiration to global terrestrial evapotranspiration. Geophys. Res. Lett. 2017, 44, 2792–2801. [Google Scholar] [CrossRef] [Green Version]
- Beer, C.; Reichstein, M.; Tomelleri, E.; Ciais, P.; Jung, M.; Carvalhais, N.; Rödenbeck, C.; Arain, M.A.; Baldocchi, D.; Bonan, G.B.; et al. Terrestrial gross carbon dioxide uptake: Global distribution and covariation with climate. Science 2010, 329, 834–838. [Google Scholar] [CrossRef] [Green Version]
- Smith, W.K.; Berry, Z.C. Sunflecks? Tree Physiol. 2013, 33, 233–237. [Google Scholar] [CrossRef] [Green Version]
- McMurtrie, R.E.; Norby, R.; Medlyn, B.; Dewar, R.C.; Pepper, D.; Reich, P.; Barton, C.V.M. Why is plant-growth response to elevated CO2 amplified when water is limiting, but reduced when nitrogen is limiting? A growth-optimisation hypothesis. Funct. Plant Biol. 2008, 35, 521–534. [Google Scholar] [CrossRef]
- Cowan, I. Fit, fitter, fittest; where does optimisation fit in? Silva Fenn. 2002, 36, 745–754. [Google Scholar] [CrossRef]
- Franklin, O.; Johansson, J.; Dewar, R.C.; Dieckmann, U.; McMurtrie, R.E.; Brännström, Å.; Dybzinski, R. Modeling carbon allocation in trees: A search for principles. Tree Physiol. 2012, 32, 648–666. [Google Scholar] [CrossRef] [Green Version]
- Chen, H.; Dickinson, R.E.; Dai, Y.; Zhou, L. Sensitivity of simulated terrestrial carbon assimilation and canopy transpiration to different stomatal conductance and carbon assimilation schemes. Clim. Dyn. 2010, 36, 1037–1054. [Google Scholar] [CrossRef]
- Bergmann, D.; Lukowitz, W.; Somerville, C.R. Stomatal Development and Pattern Controlled by a MAPKK Kinase. Science 2004, 304, 1494–1497. [Google Scholar] [CrossRef] [PubMed] [Green Version]
- Buckley, T.N.; Mott, K.A. Modelling stomatal conductance in response to environmental factors. Plant Cell Environ. 2013, 36, 1691–1699. [Google Scholar] [CrossRef]
- Vialet-Chabrand, S.; Dreyer, E.; Brendel, O. Performance of a new dynamic model for predicting diurnal time courses of stomatal conductance at the leaf level. Plant Cell Environ. 2013, 36, 1529–1546. [Google Scholar] [CrossRef] [PubMed]
- Cincera, I.; Frioni, T.; Ughini, V.; Poni, S.; Farinelli, D.; Tombesi, S. Intra-specific variability of stomatal sensitivity to vapour pressure deficit in Corylus avellana L.: A candidate factor influencing different adaptability to different climates? J. Plant Physiol. 2019, 232, 241–247. [Google Scholar] [CrossRef] [PubMed]
- Jiao, L.; Wang, L.; Zhou, Q.; Huang, X. Stomatal and non-stomatal factors regulated the photosynthesis of soybean seedlings in the present of exogenous bisphenol A. Ecotoxicol. Environ. Saf. 2017, 145, 150–160. [Google Scholar] [CrossRef]
- Soba, D.; Shu, T.; Runion, G.B.; Prior, S.A.; Fritschi, F.B.; Aranjuelo, I.; Sanz-Saez, A. Effects of elevated [CO2] on photosynthesis and seed yield parameters in two soybean genotypes with contrasting water use efficiency. Environ. Exp. Bot. 2020, 178, 104154. [Google Scholar] [CrossRef]
- Aspinwall, M.J.; Loik, M.E.; de Dios, V.R.; Tjoelker, M.; Payton, P.R.; Tissue, D. Utilizing intraspecific variation in phenotypic plasticity to bolster agricultural and forest productivity under climate change. Plant Cell Environ. 2014, 38, 1752–1764. [Google Scholar] [CrossRef]
- Hatfield, J.L.; Dold, C. Water-Use Efficiency: Advances and Challenges in a Changing Climate. Front. Plant Sci. 2019, 10, 103. [Google Scholar] [CrossRef] [Green Version]
- Xiao, J.; Sun, G.; Chen, J.; Chen, H.; Chen, S.; Dong, G.; Gao, S.; Guo, H.; Guo, J.; Han, S.; et al. Carbon fluxes, evapotranspiration, and water use efficiency of terrestrial ecosystems in China. Agric. For. Meteorol. 2013, 182–183, 76–90. [Google Scholar] [CrossRef]
- Guoju, X.; Qiang, Z.; Fengju, Z.; Fei, M.; Jing, W.; Juying, H.; Chengke, L.; Xianping, H.; Zhengji, Q. Warming influences the yield and water use efficiency of winter wheat in the semiarid regions of Northwest China. Field Crop. Res. 2016, 199, 129–135. [Google Scholar] [CrossRef]
- Galvonaitė, A.; Misiūnienė, M.; Valiukas, D.; Buitkuvienė, M.S. (Eds.) Lithuanian Climate; Lithuanian Service of Hydrometeorology: Vilnius, Lithuania, 2007. (In Lithuanian) [Google Scholar]
- List of Invasive Species in Lithuania; D1-810, LR; Ministry of Environment: Vilnius, Lithuania, 2016; Available online: https://www.e-tar.lt/portal/lt/legalAct/TAR.7B6390A69C91/asr (accessed on 4 December 2020). (In Lithuanian)
- Sellers, P.J.; Schimel, D.S.; Moore, B.; Liu, J.A. Eldering Observing carbon cycle–climate feedbacks from space. Proc. Natl. Acad. Sci. USA 2018, 115, 7860–7868. [Google Scholar] [CrossRef] [PubMed] [Green Version]
- Stotz, G.C.; Gianoli, E.; Patchell, M.J.; Cahill, J.F. Differential responses of native and exotic plant species to an invasive grass are driven by variation in biotic and abiotic factors. J. Veg. Sci. 2016, 28, 325–336. [Google Scholar] [CrossRef]
- Canessa, R.; Saldaña, A.; Ríos, R.S.; Gianoli, E. Functional trait variation predicts distribution of alien plant species across the light gradient in a temperate rainforest. Perspect. Plant Ecol. Evol. Syst. 2018, 32, 49–55. [Google Scholar] [CrossRef]
- Van Kleunen, M.; Weber, E.; Fischer, M. A meta-analysis of trait differences between invasive and non-invasive plant species. Ecol. Lett. 2010, 13, 235–245. [Google Scholar] [CrossRef] [Green Version]
- Sun, X.; Wang, G.; Huang, M.; Chang, R.; Hu, Z.; Song, C.; Sun, J. The asynchronous response of carbon gain and water loss generate spatio-temporal pattern of WUE along elevation gradient in southwest China. J. Hydrol. 2020, 581. [Google Scholar] [CrossRef]
- Shackel, K.A. Water relations of woody perennial plant species. OENO One 2007, 41, 121. [Google Scholar] [CrossRef] [Green Version]
- Spinelli, G.M.; Snyder, R.L.; Sanden, B.L.; Shackel, K.A. Water stress causes stomatal closure but does not reduce canopy evapotranspiration in almond. Agric. Water Manag. 2016, 168, 11–22. [Google Scholar] [CrossRef]
- Naidoo, G.; Naidoo, K. Drought stress effects on gas exchange and water relations of the invasive weed Chromolaena odorata. Flora Morphol. Distrib. Funct. Ecol. Plants 2018, 248, 1–9. [Google Scholar] [CrossRef]
- Liu, M.-C.; Kong, D.-L.; Lu, X.-R.; Huang, K.; Wang, S.; Wang, W.-B.; Qu, B.; Feng, Y.-L. Higher photosynthesis, nutrient- and energy-use efficiencies contribute to invasiveness of exotic plants in a nutrient poor habitat in northeast China. Physiol. Plant. 2017, 160, 373–382. [Google Scholar] [CrossRef]
- Esperón-Rodríguez, M.; Barradas, V.L. Ecophysiological vulnerability to climate change: Water stress responses in four tree species from the central mountain region of Veracruz, Mexico. Reg. Environ. Chang. 2015, 15, 93–108. [Google Scholar] [CrossRef]
- Lusk, C.H.; Reich, P.B.; Montgomery, R.A.; Ackerly, D.D.; Cavender-Bares, J. Why are evergreen leaves so contrary about shade? Trends Ecol. Evol. 2008, 23, 299–303. [Google Scholar] [CrossRef]
- Machino, S.; Nagano, S.; Hikosaka, K. The latitudinal and altitudinal variations in the biochemical mechanisms of temperature dependence of photosynthesis within Fallopia japonica. Environ. Exp. Bot. 2021, 181, 104248. [Google Scholar] [CrossRef]
- Yahia, E.M.; Carrillo-López, A.; Barrera, G.M.; Suzán-Azpiri, H.; Bolaños, M.Q. Chapter 3: Photosynthesis. In Postharvest Physiology and Biochemistry of Fruits and Vegetables; Elsevier BV: Duxford, UK; Cambridge, MA, USA, 2019; pp. 47–72. [Google Scholar]
- Yamori, W.; Hikosaka, K.; Way, D. Temperature response of photosynthesis in C3, C4, and CAM plants: Temperature acclimation and temperature adaptation. Photosynth. Res. 2014, 119, 101–117. [Google Scholar] [CrossRef] [PubMed]
- Yamaguchi, D.P.; Mishima, D.; Nakamura, K.; Sano, J.; Nakaji, T.; Hiura, T.; Hikosaka, K. Limitation in the Photosynthetic Acclimation to High Temperature in Canopy Leaves of Quercus serrata. Front. For. Glob. Chang. 2019, 2. [Google Scholar] [CrossRef]
- Loeb, N.G.; Doelling, D.R.; Wang, H.; Su, W.; Nguyen, C.; Corbett, J.; Liang, L.; Mitrescu, C.; Rose, F.G.; Kato, S. Clouds and the Earth’s Radiant Energy System (CERES) Energy Balanced and Filled (EBAF) Top-of-Atmosphere (TOA) Edition-4.0 Data Product. J. Clim. 2018, 31, 895–918. [Google Scholar] [CrossRef]
- Haworth, M.; Marino, G.; Cosentino, S.; Brunetti, C.; DE Carlo, A.; Avola, G.; Riggi, E.; Loreto, F.; Centritto, M. Increased free abscisic acid during drought enhances stomatal sensitivity and modifies stomatal behaviour in fast growing giant reed (Arundo donax L.). Environ. Exp. Bot. 2018, 147, 116–124. [Google Scholar] [CrossRef]
- Taylor, S.; Hulme, S.P.; Rees, M.; Ripley, B.; Woodward, F.I.; Osborne, C.P. Ecophysiological traits in C 3 and C 4 grasses: A phylogenetically controlled screening experiment. New Phytol. 2010, 185, 780–791. [Google Scholar] [CrossRef]
- Males, J.; Griffiths, H. Stomatal Biology of CAM Plants. Plant Physiol. 2017, 174, 550–560. [Google Scholar] [CrossRef] [Green Version]
- Hatfield, J.L.; Wright-Morton, L.; Hall, B. Vulnerability of grain crops and croplands in the Midwest to climatic variability and adaptation strategies. Clim. Chang. 2018, 146, 263–275. [Google Scholar] [CrossRef] [Green Version]





| Plant Species | Acronym | Biogeographical Region | Habitat Type | Coordinates |
|---|---|---|---|---|
| Fallopia japonica (Hout.) Ronse Decr. | F jap | Eastern Palearctic | Shrubland | 54°54′01.3″ N 23°50′07.2″ E |
| Heracleum sosnowskyi Manden. | H sosn | Caucasus | Shrubland | 54°54′08.1″ N 23°50′10.5″ E |
| Rumex confertus Willd. | R conf | Western Palearctic | Grassland | 54°54′13.1″ N 23°49′11.1″ E |
| Taraxacum officinale F.H.Wigg. | T offi | Holarctic | Grassland | 54°54′12.2″ N 23°51′29.5″ E |
Publisher’s Note: MDPI stays neutral with regard to jurisdictional claims in published maps and institutional affiliations. |
© 2021 by the authors. Licensee MDPI, Basel, Switzerland. This article is an open access article distributed under the terms and conditions of the Creative Commons Attribution (CC BY) license (https://creativecommons.org/licenses/by/4.0/).
Share and Cite
Baležentienė, L.; Marozas, V.; Mikša, O. Comparison of the Carbon and Water Fluxes of Some Aggressive Invasive Species in Baltic Grassland and Shrub Habitats. Atmosphere 2021, 12, 969. https://doi.org/10.3390/atmos12080969
Baležentienė L, Marozas V, Mikša O. Comparison of the Carbon and Water Fluxes of Some Aggressive Invasive Species in Baltic Grassland and Shrub Habitats. Atmosphere. 2021; 12(8):969. https://doi.org/10.3390/atmos12080969
Chicago/Turabian StyleBaležentienė, Ligita, Vitas Marozas, and Ovidijus Mikša. 2021. "Comparison of the Carbon and Water Fluxes of Some Aggressive Invasive Species in Baltic Grassland and Shrub Habitats" Atmosphere 12, no. 8: 969. https://doi.org/10.3390/atmos12080969
APA StyleBaležentienė, L., Marozas, V., & Mikša, O. (2021). Comparison of the Carbon and Water Fluxes of Some Aggressive Invasive Species in Baltic Grassland and Shrub Habitats. Atmosphere, 12(8), 969. https://doi.org/10.3390/atmos12080969

