Differential Effects of Organic Amendments on Maize Biomass and Nutrient Availability in Upland Calcareous Soil
Abstract
:1. Introduction
2. Materials and Methods
2.1. Experimental Design
2.2. Composting and Vermicomposting Preparation
2.3. Determination of Nutrient Contents
2.4. Statistical Analysis
3. Results and Discussion
3.1. The Carbon, Nitrogen and C: N Ratios in the Aboveground and Belowground Biomass
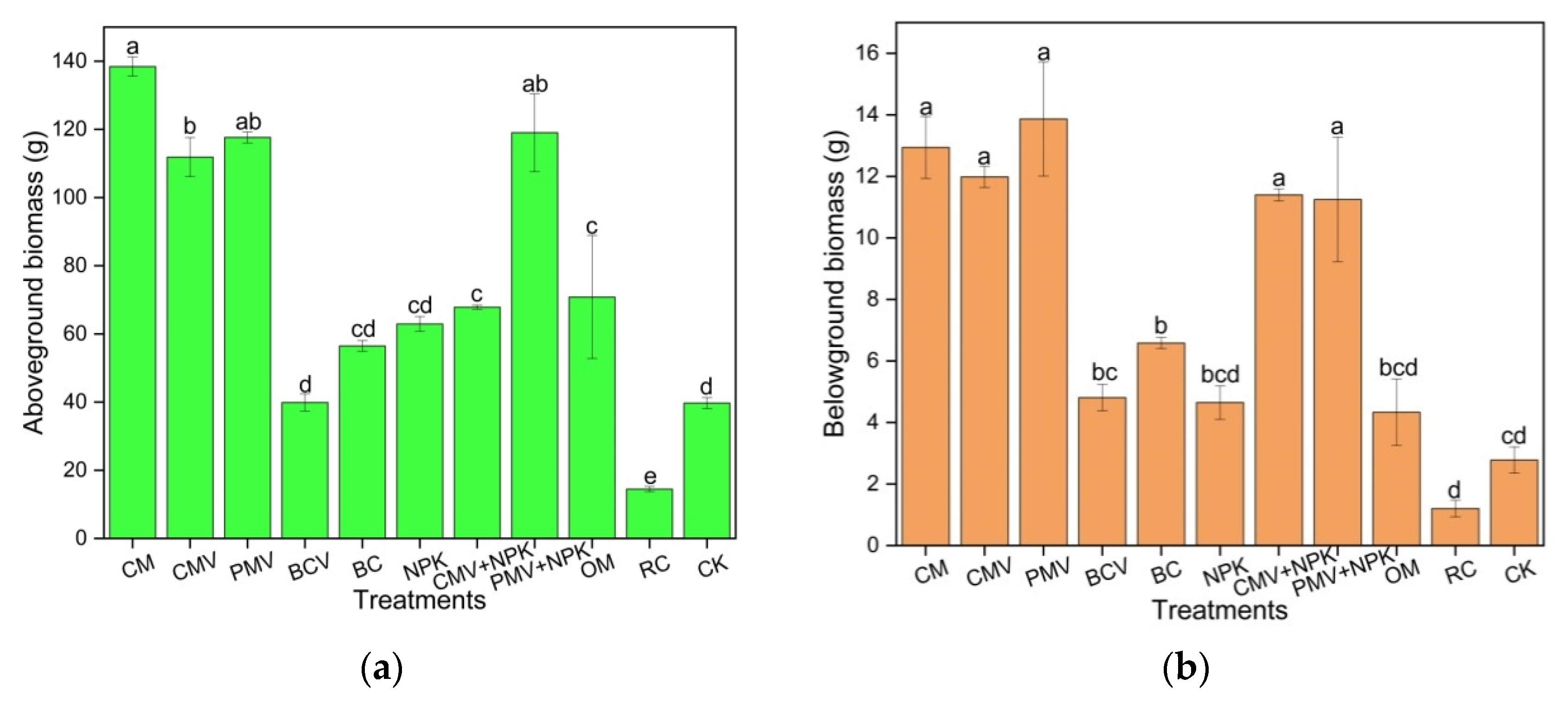
3.2. Aboveground Biomass with Organic Amendments
3.3. Belowground Biomass with Organic Amendments
4. Conclusions
- (1)
- Different forms of organic amendments such as compost and vermicompost applications can be recommended for sustainable agricultural development.
- (2)
- Biochar-vermicompost (BCV) was found to be another form of organic fertilization for promoting organic amendments in agricultural systems to protect the environment.
- (3)
- RC showed higher N content but lower growth as an organic amendment, and the combination of RC with inorganic fertilizers might increase biomass. As some researchers put emphasis on a combined organic and inorganic fertilizer approach of in the future study this will be done for higher plant growth. Treatments with vermicompost alone have lower effects as compared to the combined application of vermicompost and NPK for better growth of maize biomass.
- (4)
- The results of this study will be helpful to promote the use of different types of organic amendments including compost, vermicompost, biochar, biochar-amendment vermicompost, organic manure and rapeseed cake, thus, the trade-offs should not be neglected.
Author Contributions
Funding
Institutional Review Board Statement
Informed Consent Statement
Data Availability Statement
Acknowledgments
Conflicts of Interest
References
- Ju, X.T.; Xing, G.X.; Chen, X.P.; Zhang, S.L.; Zhang, L.J.; Liu, X.J.; Cui, Z.L.; Yin, B.; Christie, P.; Zhi, Z.L.; et al. Reducing environmental risk by improving N management in intensive Chinese agricultural systems. Proc. Natl. Acad. Sci. USA 2009, 106, 3041–3046. [Google Scholar] [CrossRef] [Green Version]
- Fao, G. Global Food Losses and Food Waste-Extent, Causes and Prevention; United Nations: Rome, Italy, 2011. [Google Scholar]
- Fair Observer. Food Waste Is the World’s Dumbest Problem. Fair Obs. 2017. Available online: https://www.fairobserver.com/region/north_america/food-waste-global-warming-climatechange-news-64001/ (accessed on 13 May 2017).
- Hoornweg, D.; Bhada-Tata, P.A. Global Review of Solid Waste Management 2012. What a Waste: A Global Review of Solid Waste Management. Urban Development Series; Knowledge Papers no. 15. World Bank, Washington, DC. © World Bank. License: CC BY 3.0 IGO. Available online: https://openknowledge.worldbank.org/handle/10986/17388 (accessed on 1 March 2021).
- FAO (Food and Agriculture Organization). Statistics Available at Food and Agriculture Organization of the United Nations. 2020. Available online: http://faostat3.fao.org/fastestgateway/go/to/home/E (accessed on 20 October 2020).
- Thangarajan, R.; Bolan, N.; Tian, G.; Naidu, R.; Kunhikrishnan, A. Role of organic amendments application on greenhouse gas emission from soil. Sci. Total Environ. 2013, 465, 72–96. [Google Scholar] [CrossRef]
- Liu, C.; Lu, M.; Cui, J.; Li, B.; Fang, C. Effects of straw carbon input on carbon dynamics in agricultural soils: A meta-analysis. Glob. Chang. Biol. 2014, 20, 1366–1381. [Google Scholar] [CrossRef]
- Zhou, M.; Zhu, B.; Butterbach-Bahl, K.; Zheng, X.; Wang, T.; Wang, Y. Nitrous oxide emissions and nitrate leaching from a rain-fed wheat maize rotation in the Sichuan Basin, China. Plant Soil 2013, 362, 149–159. [Google Scholar] [CrossRef]
- Cardelli, R.; Becagli, M.; Marchini, F.; Saviozzi, A. Effect of biochar, green compost and vermicompost on the quality of calcareous soil: A 1-year laboratory experiment. Soil Sci. 2017, 182, 248–255. [Google Scholar] [CrossRef]
- Mahdy, A.M. Soil properties and wheat growth and nutrients as affected by compost amendment under saline water irrigation. Pedosphere 2011, 21, 773–781. [Google Scholar] [CrossRef]
- Liu, M.; Wang, C.; Wang, F.; Xie, Y. Maize (Zea mays) growth and nutrient uptake following integrated improvement of vermicompost and humic acid fertilizer on coastal saline soil. Appl. Soil Ecol. 2019, 142, 147–154. [Google Scholar] [CrossRef]
- Chan, K.Y.; Van, Z.L.; Meszaros, I.; Downie, A.; Joseph, S. Using poultry litter biochar as soil amendments. Soil Res. 2008, 46, 437–444. [Google Scholar] [CrossRef]
- Mukherjee, A.; Lal, R.; Zimmerman, A.R. Impacts of biochar and other amendments on soil carbon and nitrogen stability: A laboratory column study. Soil Sci. Soc. Am. J. 2014, 78, 1258–1266. [Google Scholar] [CrossRef] [Green Version]
- Raza, S.T.; Bo, Z.; Ali, Z.; Liang, T.J. Vermicomposting by Eisenia fetida is a sustainable and eco-friendly technology for better nutrient recovery and organic waste management in upland areas of China. Pak. J. Zool. 2019, 51, 1027. [Google Scholar] [CrossRef]
- Yang, F.; Li, G.X.; Zang, B.; Zhang, Z.Y. The maturity and CH4, N2O, NH3 emissions from vermicomposting with agricultural waste. Compost Sci. Util. 2017, 25, 262–271. [Google Scholar] [CrossRef]
- Datta, S.; Singh, J.; Singh, S.; Singh, J. Earthworm, pesticides, and suitable agriculture: A review. Environ. Sci. Pollut. Res. 2016, 23, 8227–8243. [Google Scholar] [CrossRef]
- Abbasi, S.A.; Nayeem, S.M.; Abbasi, T. Vermicomposting of Phytomass: Limitations of the past approaches and the emerging directions. J. Clean. Prod. 2015, 93, 103–114. [Google Scholar] [CrossRef]
- Hussain, N.; Abbasi, S.A. Efficacy of the vermicompost of different organic wastes as “clean” fertilizers: State-of-the-art. Sustainability 2018, 10, 1205. [Google Scholar] [CrossRef] [Green Version]
- Lim, S.L.; Lee, L.H.; Wu, T.Y. Sustainability of using composting and vermicomposting technologies for organic solid waste biotransformation: Recent overview, greenhouse gas emissions and economic analysis. J. Clean. Prod. 2016, 111, 262–278. [Google Scholar] [CrossRef]
- Agegnehu, G.; Bass, M.A.; Nelson, N.P.; Bird, I.M. Benefits of biochar, compost and biochar-compost for soil quality, maize yield and greenhouse gas emissions in tropical agricultural soil. Sci. Total Environ. 2016, 543, 295–306. [Google Scholar] [CrossRef]
- Jiagwe, J.; Chelimo, K.; Karungi, J.; Komakech, J.A.; Lederer, J. Comparative performance of organic fertilizers in Maize (Zea mays L.) growth yield, and economic results. Agronomy 2020, 10, 69. [Google Scholar]
- Chinnusamy, V.; Jagendorf, A.; Zhu, J.K. Understanding and improving salt tolerance in plants. Crop Sci. 2005, 45, 437–448. [Google Scholar] [CrossRef] [Green Version]
- Eskandari, H.; Kazemi, K. Changes in germination properties of rape (Brassica napus L.) as affected by hydropriming of seeds. J. Basic Appl. Sci. Res. 2012, 2, 3285–3288. [Google Scholar]
- Raza, S.T.; Zhu, B.; Tang, J.L.; Ali, Z.; Anjum, R.; Bah, H.; Iqbal, H.; Ren, X.; Ahmad, R. Nutrients recovery during vermicomposting of cow dung, pig Manure, and biochar for agricultural sustainability with gases emissions. Appl. Sci. 2020, 10, 8956. [Google Scholar] [CrossRef]
- Hu, Q.; Hua, W.; Yin, Y.; Zhang, X.; Liu, L.; Shi, J.; Zhao, Y.; Qin, L.; Chen, C.; Wang, H. Rapeseed research and production in China. Crop. J. 2017, 5, 127–135. [Google Scholar] [CrossRef] [Green Version]
- Nair, V.D.; Nair, P.K.R.; Dari, B.; Freitas, A.M.; Chatterjee, N.; Pinheiro, F.M. Biochar in the Agroecosystem-Climate-Change-Sustainability Nexus. Front. Plant Sci. 2017, 8, 1–9. [Google Scholar] [CrossRef]
- Glaser, B.; Lehmann, J.; Zech, W. Ameliorating physical and chemical properties of highly weathered soils in the tropics with charcoal—a review. Biol. Fertil. Soils 2002, 35, 219–230. [Google Scholar] [CrossRef]
- Sigua, G.C.; Novak, J.M.; Watts, D.W.; Johnson, M.G.; Spokas, K. Efficacies of designer biochars in improving biomass and nutrient uptake of winter wheat grown in a hard setting subsoil layer. Chemosphere 2016, 142, 176–183. [Google Scholar] [CrossRef] [PubMed]
- Choudhary, T.K.; Khan, K.S.; Hussain, Q.; Ahmad, M. Nutrient availability to maize crop (Zea mays L.) in biochar amended alkaline subtropical soil. J. Soil Sci. Plant Nut. 2021, 21, 1293–1306. [Google Scholar] [CrossRef]
- Obia, A.; Mulder, J.; Hale, S.E.; Nurida, N.L.; Cornelissen, G. The potential of biochar in improving drainage, aeration and maize yields in heavy clay soil. PLoS ONE 2018, 13, 0196794. [Google Scholar] [CrossRef] [PubMed]
- Zabaniotou, A.; Stamou, K. Balancing Waste and Nutrient Flows between Urban Agglomerations and Rural Ecosystems: Bi char for Improving Crop Growth and Urban Air Quality in The Mediterranean Region. Atmosphere 2020, 11, 539. [Google Scholar] [CrossRef]
- Zheng, H.; Wang, X.; Chen, L.; Wang, Z.; Xia, Y.; Zhang, Y.; Wang, H.; Luo, X.; Xing, B. Enhanced growth of halophyte plants in biochar-amended coastal soil: Roles of nutrient availability and rhizosphere microbial modulation. Plant Cell Environ. 2018, 41, 517–532. [Google Scholar] [CrossRef]
- Raza, S.T.; Tang, J.L.; Ali, Z.; Yao, Z.; Bah, H.; Iqbal, H.; Ren, X. Ammonia volatilization and greenhouse gases emissions during vermicomposting with animal manures and biochar to enhance sustainability. Int. J. Environ. Res. Public Health 2021, 18, 178. [Google Scholar] [CrossRef]
- Liu, Y.X.; Lu, H.H.; Yang, S.M.; Wang, Y.F. Impacts of biochar addition on rice yield and soil properties in a cold waterlogged paddy for two crop seasons. Field Crop Res. 2016, 191, 161–167. [Google Scholar] [CrossRef]
- Mahaly, M.; Senthilkumar, A.K.; Arumugam, S.; Kaliyaperumal, C.; Karupannan, N. Vermicomposting of distillery sludge waste with tea leaf residues. Sustain. Environ. Res. 2018, 28, 223–227. [Google Scholar] [CrossRef]
- Huang, W.K.; Ji, H.L.; Gheysen, G.; Debode, J.; Kyndt, T. Biochar amended potting medium reduces the susceptibility of rice to root-knot nematode infections. BMC Plant Biol. 2015, 15, 267. [Google Scholar] [CrossRef] [PubMed] [Green Version]
- Mondal, S.; Ghosh, S.; Mukherjee, A. Application of biochar and vermicompost against the rice root-knot nematode (Meloidogyne graminicola): An eco-friendly approach in nematode management. J. Plant Dis. Protect. 2021, 128, 819–882. [Google Scholar] [CrossRef]
- Doan, T.T.; Henry-des-Tureaux, T.; Rumpel, C.; Juneau, J.; Jouquet, P. Impact of compost, vermicompost and biochar on soil fertility, maize yield and soil erosion in Northern Vietnam: A three-year mesocosm experiment. Sci. Total Environ. 2015, 514, 147–154. [Google Scholar] [CrossRef]
- Knicker, H.; Skjemstad, J.O. Nature of organic carbon and nitrogen in physically protected organic matter of some Australian soils as revealed by solid-state 13C and 15N NMR spectroscopy. Soil Res. 2000, 38, 1. [Google Scholar] [CrossRef]
- Helgason, B.; Larney, F.L.; Janzen, H.H.; Olson, B.M. Nitrogen dynamics in soil amended with composted cattle manure. Can. J. Soil Sci. 2007, 87, 43–50. [Google Scholar] [CrossRef] [Green Version]
- Sarma, B.; Farooq, M.; Gogoi, N.; Borkotoki, B.; Katali, R.; Garg, A. Soil organic carbon dynamics in wheat-green gram crop rotation amended with vermicompost and biochar in combination with inorganic fertilizers: A comparative study. J. Clean. Prod. 2018, 201, 471–480. [Google Scholar] [CrossRef]
- Chan, K.Y.; Van, Z.L.; Meszaros, I.; Downie, A.; Joseph, S. Agronomic values of green waste biochar as a soil amendment. Soil Res. 2007, 45, 629–634. [Google Scholar] [CrossRef]
- Garcia-Ruiz, R.; Ochoa, V.; Gómez-Muñoz, B.; Alvarez de la Puente, J.M. Does the composted olive mill pomace increase the sustainable N use of olive oil cropping? In Proceedings of the 16th Nitrogen Workshop on Connecting Different Scales of Nitrogen Use in Agriculture, Torino, Italy, 28 June–1 July 2009. [Google Scholar]
- Ngo, P.T.; Rumpel, C.; Ngo, Q.A.; Alexis, M.; Vargas, G.V.; Dang, D.K.; Jouquet, P. Biological and chemical reactivity and phosphorus forms of buffalo manure compost, vermicompost and their mixture with biochar. Bioresour. Technol. 2013, 148, 401–407. [Google Scholar] [CrossRef] [PubMed]
- Sarma, B.; Buragohain, S.; Nath, D.J.; Gogoi, N. Temporal responses of soil biological characteristics to organic inputs and mineral fertilizers under wheat cultivation in inceptisol. Arch. Agron. Soil Sci. 2016, 63, 35–47. [Google Scholar]
- Oo, A.N.; Iwai, C.B.; Saenjan, P. Soil Properties and Maize Growth in Saline and Nonsaline Soils Using Cassava-Industrial Waste Compost and Vermicompost With or Without Earthworms. Land Degrad. Dev. 2015, 26, 300–310. [Google Scholar] [CrossRef]
- Shoaf, N.L. Biochar and Vermicompost Amendments in Vegetable Cropping Systems: Impacts on Soil Quality, Soil-Borne Pathogens and Crop Productivity. Master’s Thesis, Purdue University, West Lafayette, IN, USA, 2014. [Google Scholar]
- Mekuria, W.; Noble, A.; Sengtaheuanghoung, O.; Hoanh, C.T.; Bossio, D.; Sipaseuth, N.; McCartney, M.; Langan, S. Organic and clay-based soil amendments increase maize yield, total nutrient uptake, and soil properties in Lao PDR. Agroecol. Ecol. Sustain. Food Syst. 2014, 38, 936–961. [Google Scholar] [CrossRef]
- Zhang, D.; Pan, G.; Wu, G.; Kibue, G.W.; Li, L.; Zhang, X.; Zheng, J.; Zheng, J.; Cheng, K.; Joseph, S. Biochar helps enhance maize productivity and reduce greenhouse gas emissions under balanced fertilization in a rainfed low fertility inceptisol. Chemosphere 2016, 142, 106–113. [Google Scholar] [CrossRef]
- Libutti, A.; Trotta, V.; Rivelli, A.N. Biochar, vermicompost, and compost as spoil organic amendments: Influence on growth parameters, nitrate and chlorophyll content of Swiss Chard (Beta vugaris L. var. cycla). Agronomy 2020, 10, 346. [Google Scholar] [CrossRef] [Green Version]
- Rajkovich, S.; Enders, A.; Hanley, K.; Hyland, C.; Zimmerman, A.R.; Lehmann, J. Corn growth and nitrogen nutrition after additions of biochars with varying properties to a temperate soil. Biol. Fertil. Soils 2012, 48, 271–284. [Google Scholar] [CrossRef]
- Butnan, S.; Deenik, J.L.; Toomsan, B.; Antal, M.J.; Vityakon, P. Biochar characteristics and application rates affecting corn growth and properties of soils contrasting in texture and mineralogy. Geoderma 2015, 237, 105–116. [Google Scholar] [CrossRef]
- Luo, X.; Liu, G.; Xia, Y.; Chen, L.; Jiang, Z.; Zheng, H.; Wang, Z. Use of biochar compost to improve properties and productivity of the degraded coastal soil in the Yellow River Delta, China. J. Soils Sediments 2017, 17, 780–789. [Google Scholar] [CrossRef]
- Wu, D.; Feng, Y.F.; Xue, L.H.; Liu, M.Q.; Yang, B.; Hu, F.; Yang, L.Z. Biochar combined with vermicompost increases crop production while reducing ammonia and nitrous oxide emissions from paddy soil. Pedosphere 2019, 29, 82–94. [Google Scholar] [CrossRef]


| Properties | Values |
|---|---|
| N (gkg−1) | 0.75 ± 1.0 |
| SOM (gkg−1) | 8.7 ± 0.6 |
| C:N ratio | 7.4 ± 2.3 |
| pH | 8.1 ± 0.0 |
| EC (µs cm−1) | 65 ± 0.4 |
| Silt (%) | 42 ± 0.5 |
| Clay (%) | 19 ± 0.4 |
| Sand (%) | 38 ± 0.3 |
| Aboveground Maize Nutrients | |||
|---|---|---|---|
| Treatments | AGB-C (gkg−1) | AGB-N (gkg−1) | C: N ratio |
| CM | 376.9 ± 3.5 b | 17.8 ± 0.3 cd | 20.9 ± 1.1 abc |
| CMV | 396.4 ± 15.5 ab | 18.7 ± 0.6 bcd | 20.8 ± 0.6 abc |
| PMV | 401.1 ± 1.4 a | 20.0 ± 1.0 abcd | 20.0 ± 1.1 bc |
| BCV | 397.2 ± 2.2 ab | 21.1 ± 1.4 abc | 18.8 ± 1.4 bc |
| BC | 405.5 ± 3.4 a | 15.7 ± 1.6 d | 25.9 ± 2.8 a |
| NPK | 407.5 ± 2.8 a | 21.2 ± 0.7 abc | 19.2 ± 0.6 bc |
| CMV + NPK | 401.5 ± 3.9 a | 20.8 ± 1.3 abc | 19.3 ± 1.2 bc |
| PMV + NPK | 410.2 ± 18 a | 21.4 ± 1.8 abc | 19.2 ± 0.8 bc |
| OM | 396.6 ± 7.6 ab | 22.6 ± 1.4 ab | 17.8 ± 1.4 bc |
| RC | 386.9 ± 3.0 ab | 23.4 ± 2.3 a | 16.6 ± 1.7 c |
| CK | 393.3 ± 6.4 ab | 18.4 ± 1.7 bcd | 22.4 ± 5.6 ab |
| Belowground Maize Nutrients | |||
|---|---|---|---|
| Treatments | BGB-C (gkg−1) | BGB-N (gkg−1) | C: N ratio |
| CM | 185.4 ± 15.4 e | 7.8 ± 0.9 d | 20.2 ± 3.0 a |
| CMV | 367.0 ± 12.0 a | 17.0 ± 0.4 a | 21.5 ± 0.2 a |
| PMV | 320.1 ± 18.0 abc | 17.1 ± 1.9 a | 18.8 ± 1.6 a |
| BCV | 323.7 ± 12.2 abc | 15.0 ± 2.0 abc | 22.0 ± 3.0 a |
| BC | 272.0 ± 4.8 bcd | 10.0 ± 2.7 cd | 24.3 ± 3.7 a |
| NPK | 242.1 ± 37.1 de | 14.0 ± 1.6 abc | 17.2 ± 0.7 a |
| CMV + NPK | 300.0 ± 22.0 abcd | 15.7 ± 1.5 ab | 19.1 ± 0.6 a |
| PMV + NPK | 247.4 ± 3.6 de | 16.8 ± 1.0 a | 18.4 ± 0.8 a |
| OM | 335.5 ± 25.8 ab | 14.2 ± 1.0 abc | 23.7 ± 3.5 a |
| RC | 260.0 ± 9.7 cd | 15.3 ± 2.4 ab | 19.7 ± 5.8 a |
| CK | 247.8 ± 13.1 de | 10.7 ± 0.0 bcd | 21.8 ± 1.6 a |
Publisher’s Note: MDPI stays neutral with regard to jurisdictional claims in published maps and institutional affiliations. |
© 2021 by the authors. Licensee MDPI, Basel, Switzerland. This article is an open access article distributed under the terms and conditions of the Creative Commons Attribution (CC BY) license (https://creativecommons.org/licenses/by/4.0/).
Share and Cite
Raza, S.T.; Wu, J.; Ali, Z.; Anjum, R.; Bazai, N.A.; Feyissa, A.; Chen, Z. Differential Effects of Organic Amendments on Maize Biomass and Nutrient Availability in Upland Calcareous Soil. Atmosphere 2021, 12, 1034. https://doi.org/10.3390/atmos12081034
Raza ST, Wu J, Ali Z, Anjum R, Bazai NA, Feyissa A, Chen Z. Differential Effects of Organic Amendments on Maize Biomass and Nutrient Availability in Upland Calcareous Soil. Atmosphere. 2021; 12(8):1034. https://doi.org/10.3390/atmos12081034
Chicago/Turabian StyleRaza, Syed Turab, Jianping Wu, Zulfiqar Ali, Raheel Anjum, Nazir Ahmed Bazai, Adugna Feyissa, and Zhe Chen. 2021. "Differential Effects of Organic Amendments on Maize Biomass and Nutrient Availability in Upland Calcareous Soil" Atmosphere 12, no. 8: 1034. https://doi.org/10.3390/atmos12081034
APA StyleRaza, S. T., Wu, J., Ali, Z., Anjum, R., Bazai, N. A., Feyissa, A., & Chen, Z. (2021). Differential Effects of Organic Amendments on Maize Biomass and Nutrient Availability in Upland Calcareous Soil. Atmosphere, 12(8), 1034. https://doi.org/10.3390/atmos12081034

