Simultaneous Monitoring of Particle-Bound PAHs Inside a Low-Energy School Building and Outdoors over Two Weeks in France
Abstract
1. Introduction
2. Materials and Methods
2.1. Building Location and Description
2.2. Sampling Methodology
2.3. Chemical Analysis
3. Results and Discussion
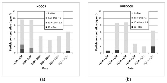
3.1. Indoor and Outdoor Particle Concentrations
3.1.1. Results
3.1.2. Comparison with Literature
3.2. Average Particle-bound PAH Concentrations Over the Field Campaign Duration
3.2.1. Results
3.2.2. Comparison with Literature
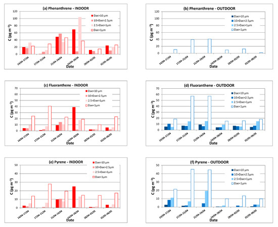
3.3. Temporal Variation of PAHs on Particles
3.3.1. Temporal Variation of Total PAH Concentrations According to the Particle Size
3.3.2. Temporal Variation of Individual PAH Concentrations According to the Particle Size
3.4. Indoor-to-Outdoor Concentration Ratios (I/O) of Individual PAHs
3.4.1. Results
3.4.2. Comparison with Literature
3.5. Risk Assessment
4. Conclusions
Supplementary Materials
Author Contributions
Funding
Data Availability Statement
Acknowledgments
Conflicts of Interest
References
- Weschler, C.J.; Shields, H.C. Potential reactions among indoor pollutants. Atmos. Environ. 1997, 31, 3487–3495. [Google Scholar] [CrossRef]
- Carslaw, N. Chemical Reactions in the Indoor Atmosphere. In Indoor Air Pollution; The Royal Society of Chemistry: London, UK, 2019; pp. 105–126. ISBN 978-1-78801-514-1. [Google Scholar]
- Poggi, P. Réglementation thermique 2012, une rupture de méthode, mais de fortes modulations des exigences de performance. 1er volet: Nouveaux mécanismes et différences par rapport à la RT 2005. Qual. Constr. 2011, 1269, 124. [Google Scholar]
- Jovanović, M.; Vučićević, B.; Turanjanin, V.; Živković, M.; Spasojević, V. Investigation of indoor and outdoor air quality of the classrooms at a school in Serbia. Energy 2014, 77, 42–48. [Google Scholar] [CrossRef]
- Wargocki, P.; Wyon, D.P. Providing better thermal and air quality conditions in school classrooms would be cost-effective. Build. Environ. 2013, 59, 581–589. [Google Scholar] [CrossRef]
- Becker, R.; Goldberger, I.; Paciuk, M. Improving energy performance of school buildings while ensuring indoor air quality ventilation. Build. Environ. 2007, 42, 3261–3276. [Google Scholar] [CrossRef]
- Mumovic, D.; Palmer, J.; Davies, M.; Orme, M.; Ridley, I.; Oreszczyn, T.; Judd, C.; Critchlow, R.; Medina, H.A.; Pilmoor, G.; et al. Winter indoor air quality, thermal comfort and acoustic performance of newly built secondary schools in England. Build. Environ. 2009, 44, 1466–1477. [Google Scholar] [CrossRef]
- Rizk, M.; Guo, F.; Verriele, M.; Ward, M.; Dusanter, S.; Blond, N.; Locoge, N.; Schoemaecker, C. Impact of material emissions and sorption of volatile organic compounds on indoor air quality in a low energy building: Field measurements and modeling. Indoor Air 2018, 28, 924–935. [Google Scholar] [CrossRef]
- Nasreddine, R.; Person, V.; Serra, C.A.; Schoemaecker, C.; Le Calvé, S. Portable novel micro-device for BTEX real-time monitoring: Assessment during a field campaign in a low consumption energy junior high school classroom. Atmos. Environ. 2016, 126, 211–217. [Google Scholar] [CrossRef]
- Trocquet, C.; Bernhardt, P.; Guglielmino, M.; Malandain, I.; Liaud, C.; Englaro, S.; Calvé, S.L. Near Real-Time Monitoring of Formaldehyde in a Low-Energy School Building. Atmosphere 2019, 10, 763. [Google Scholar] [CrossRef]
- Krugly, E.; Martuzevicius, D.; Sidaraviciute, R.; Ciuzas, D.; Prasauskas, T.; Kauneliene, V.; Stasiulaitiene, I.; Kliucininkas, L. Characterization of particulate and vapor phase polycyclic aromatic hydrocarbons in indoor and outdoor air of primary schools. Atmos. Environ. 2014, 82, 298–306. [Google Scholar] [CrossRef]
- Romagnoli, P.; Balducci, C.; Perilli, M.; Gherardi, M.; Gordiani, A.; Gariazzo, C.; Gatto, M.P.; Cecinato, A. Indoor PAHs at schools, homes and offices in Rome, Italy. Atmos. Environ. 2014, 92, 51–59. [Google Scholar] [CrossRef]
- Oliveira, M.; Slezakova, K.; Madureira, J.; de Oliveira Fernandes, E.; Delerue-Matos, C.; Morais, S.; do Carmo Pereira, M. Polycyclic aromatic hydrocarbons in primary school environments: Levels and potential risks. Sci. Total Environ. 2017, 575, 1156–1167. [Google Scholar] [CrossRef]
- Wei, W.; Dassonville, C.; Sivanantham, S.; Gregoire, A.; Mercier, F.; Le Bot, B.; Malingre, L.; Ramalho, O.; Derbez, M.; Mandin, C. Semivolatile organic compounds in French schools: Partitioning between the gas phase, airborne particles and settled dust. Indoor Air 2020. [Google Scholar] [CrossRef]
- Oliveira, M.; Slezakova, K.; Delerue-Matos, C.; Pereira, M.; do Carmo Pereira, M.; Morais, S. Assessment of polycyclic aromatic hydrocarbons in indoor and outdoor air of preschool environments (3–5 years old children). Environ. Pollut. 2016, 208, 382–394. [Google Scholar] [CrossRef] [PubMed]
- Lim, H.; Sadiktsis, I.; de Oliveira Galvão, M.F.; Westerholm, R.; Dreij, K. Polycyclic aromatic compounds in particulate matter and indoor dust at preschools in Stockholm, Sweden: Occurrence, sources and genotoxic potential in vitro. Sci. Total Environ. 2020, 142709. [Google Scholar] [CrossRef] [PubMed]
- Zhang, L.; Morisaki, H.; Wei, Y.; Li, Z.; Yang, L.; Zhou, Q.; Zhang, X.; Xing, W.; Hu, M.; Shima, M.; et al. PM2.5-bound polycyclic aromatic hydrocarbons and nitro-polycyclic aromatic hydrocarbons inside and outside a primary school classroom in Beijing: Concentration, composition, and inhalation cancer risk. Sci. Total Environ. 2020, 705, 135840. [Google Scholar] [CrossRef] [PubMed]
- Al-Hemoud, A.; Al-Awadi, L.; Al-Rashidi, M.; Rahman, K.A.; Al-Khayat, A.; Behbehani, W. Comparison of indoor air quality in schools: Urban vs. Industrial “oil & gas” zones in Kuwait. Build. Environ. 2017, 122, 50–60. [Google Scholar] [CrossRef]
- Oliveira, M.; Slezakova, K.; Delerue-Matos, C.; Pereira, M.C.; Morais, S. Children environmental exposure to particulate matter and polycyclic aromatic hydrocarbons and biomonitoring in school environments: A review on indoor and outdoor exposure levels, major sources and health impacts. Environ. Int. 2019, 124, 180–204. [Google Scholar] [CrossRef]
- CITEPA Centre Interprofessionnel Technique d’Etudes de la Pollution Atmosphérique 2014. Available online: http://www.citepa.org/fr (accessed on 13 January 2021).
- Leoz-Garziandia, E. Hydrocarbures Aromatiques Polycycliques dans l’air Ambiant (HAP) 2000. Available online: www.lcsqa.org/system/files/rapfin00hapvfinale.pdf (accessed on 13 January 2021).
- ATSDR Toxicological Profile: Polycyclic Aromatic Hydrocarbons (PAHs) 1995. Available online: http://www.atsdr.cdc.gov/toxprofiles/tp.asp?id=122&tid=25 (accessed on 13 January 2021).
- Fromme, H.; Lahrz, T.; Piloty, M.; Gebhardt, H.; Oddoy, A.; Rüden, H. Polycyclic aromatic hydrocarbons inside and outside of apartments in an urban area. Sci. Total Environ. 2004, 326, 143–149. [Google Scholar] [CrossRef]
- Zhu, L.; Wang, J. Sources and patterns of polycyclic aromatic hydrocarbons pollution in kitchen air, China. Chemosphere 2003, 50, 611–618. [Google Scholar] [CrossRef]
- Pey, J.; Drooge, B.L.; van Ripoll, A.; Moreno, T.; Grimalt, J.O.; Querol, X.; Alastuey, A. An evaluation of mass, number concentration, chemical composition and types of particles in a cafeteria before and after the passage of an antismoking law. Particuology 2013, 11, 527–532. [Google Scholar] [CrossRef]
- Castro, D.; Slezakova, K.; Delerue-Matos, C.; Alvim-Ferraz, M.; da Conceição Alvim-Ferraz, M.; Morais, S.; Pereira, M.; do Carmo Pereira, M. Polycyclic aromatic hydrocarbons in gas and particulate phases of indoor environments influenced by tobacco smoke: Levels, phase distributions, and health risks. Atmos. Environ. 2011, 45, 1799–1808. [Google Scholar] [CrossRef]
- Slezakova, K.; Castro, D.; Pereira, M.C.; Morais, S.; Delerue-Matos, C.; Alvim-Ferraz, M.C. Influence of tobacco smoke on carcinogenic PAH composition in indoor PM10 and PM2.5. Atmos. Environ. 2009, 43, 6376–6382. [Google Scholar] [CrossRef]
- Orecchio, S. Polycyclic aromatic hydrocarbons (PAHs) in indoor emission from decorative candles. Atmos. Environ. 2011, 45, 1888–1895. [Google Scholar] [CrossRef]
- Derudi, M.; Gelosa, S.; Sliepcevich, A.; Cattaneo, A.; Rota, R.; Cavallo, D.; Nano, G. Emissions of air pollutants from scented candles burning in a test chamber. Atmos. Environ. 2012, 55, 257–262. [Google Scholar] [CrossRef]
- Liaud, C.; Millet, M.; Calvé, S.L. An analytical method coupling accelerated solvent extraction and HPLC-fluorescence for the quantification of particle-bound PAHs in indoor air sampled with a 3-stages cascade impactor. Talanta 2015, 131, 386–394. [Google Scholar] [CrossRef]
- Liaud, C.; Dintzer, T.; Tschamber, V.; Trouve, G.; Le Calvé, S. Particle-bound PAHs quantification using a 3-stages cascade impactor in French indoor environments. Environ. Pollut. 2014, 195, 64–72. [Google Scholar] [CrossRef]
- Verriele, M.; Schoemaecker, C.; Hanoune, B.; Leclerc, N.; Germain, S.; Gaudion, V.; Locoge, N. The MERMAID study: Indoor and outdoor average pollutant concentrations in 10 low-energy school buildings in France. Indoor Air 2016, 26, 702–713. [Google Scholar] [CrossRef]
- Schoemaecker, C.; Fèvre-Nollet, V.; Verriele, M.; Dusanter, S.; Le Calvé, S.; Trocquet, C.; Hanoune, B.; Locoge, N. Effect of occupancy controlled ventilation in schools on the exposure quantification. In Proceedings of the 14th International Conference of Indoor Air Quality and Climate-Indoor Air, Ghent, Belgium, 3–8 July 2016. [Google Scholar]
- Schoemaecker, C.; Blocquet, M.; Ward, M.; Hanoune, B.; Petitprez, D.; Lebègue, P.; Dusanter, S.; Locoge, N.; Rizk, M.; Verriele, M.; et al. Experimental and Modeling Characterizations of Indoor Air Quality in Low Energy Public Buildings in France—The MERMAID program. Proc. Indoor Air 2014, 6, 573–580. [Google Scholar]
- Buonanno, G.; Fuoco, F.C.; Morawska, L.; Stabile, L. Airborne particle concentrations at schools measured at different spatial scales. Atmos. Environ. 2013, 67, 38–45. [Google Scholar] [CrossRef]
- Chithra, V.S.; Nagendra, S.M.S. Indoor air quality investigations in a naturally ventilated school building located close to an urban roadway in Chennai, India. Build. Environ. 2012, 54, 159–167. [Google Scholar] [CrossRef]
- Canha, N.; Almeida, S.M.; Freitas, M.; do Carmo Freitas, M.; Wolterbeek, H.T.; Cardoso, J.; Pio, C.; Caseiro, A. Impact of wood burning on indoor PM2.5 in a primary school in rural Portugal. Atmos. Environ. 2014, 94, 663–670. [Google Scholar] [CrossRef]
- Rivas, I.; Viana, M.; Moreno, T.; Pandolfi, M.; Amato, F.; Reche, C.; Bouso, L.; Àlvarez-Pedrerol, M.; Alastuey, A.; Sunyer, J.; et al. Child exposure to indoor and outdoor air pollutants in schools in Barcelona, Spain. Environ. Int. 2014, 69, 200–212. [Google Scholar] [CrossRef] [PubMed]
- Laiman, R.; He, C.; Mazaheri, M.; Clifford, S.; Salimi, F.; Crilley, L.R.; Mokhtar, M.A.M.; Morawska, L. Characteristics of ultrafine particle sources and deposition rates in primary school classrooms. Atmos. Environ. 2014, 94, 28–35. [Google Scholar] [CrossRef]
- Almeida, S.M.; Canha, N.; Silva, A.; do Carmo Freitas, M.; Pegas, P.; Alves, C.; Evtyugina, M.; Pio, C.A. Children exposure to atmospheric particles in indoor of Lisbon primary schools. Atmos. Environ. 2011, 45, 7594–7599. [Google Scholar] [CrossRef]
- Stranger, M.; Potgieter-Vermaak, S.S.; Van Grieken, R. Characterization of indoor air quality in primary schools in Antwerp, Belgium. Indoor Air 2008, 18, 454–463. [Google Scholar] [CrossRef]
- Fromme, H.; Twardella, D.; Dietrich, S.; Heitmann, D.; Schierl, R.; Liebl, B.; Rüden, H. Particulate matter in the indoor air of classrooms—exploratory results from Munich and surrounding area. Atmos. Environ. 2007, 41, 854–866. [Google Scholar] [CrossRef]
- Sangiorgi, G.; Ferrero, L.; Ferrini, B.S.; Porto, C.L.; Perrone, M.G.; Zangrando, R.; Gambaro, A.; Lazzati, Z.; Bolzacchini, E. Indoor airborne particle sources and semi-volatile partitioning effect of outdoor fine PM in offices. Atmos. Environ. 2013, 65, 205–214. [Google Scholar] [CrossRef]
- Delgado-Saborit, J.M.; Stark, C.; Harrison, R.M. Carcinogenic potential, levels and sources of polycyclic aromatic hydrocarbon mixtures in indoor and outdoor environments and their implications for air quality standards. Environ. Int 2011, 37, 383–392. [Google Scholar] [CrossRef]
- Fischer, P.H.; Hoek, G.; Reeuwijk, H.; van Briggs, D.J.; Lebret, E.; Wijnen, J.H.; van Kingham, S.; Elliott, P.E. Traffic-related differences in outdoor and indoor concentrations of particles and volatile organic compounds in Amsterdam. Atmos. Environ. 2000, 34, 3713–3722. [Google Scholar] [CrossRef]
- Naumova, Y.Y.; Offenberg, J.H.; Eisenreich, S.J.; Meng, Q.; Polidori, A.; Turpin, B.J.; Weisel, C.P.; Morandi, M.T.; Colome, S.D.; Stock, T.H.; et al. Gas/particle distribution of polycyclic aromatic hydrocarbons in coupled outdoor/indoor atmospheres. Atmos. Environ. 2003, 37, 703–719. [Google Scholar] [CrossRef]
- Naumova, Y.Y.; Eisenreich, S.J.; Turpin, B.J.; Weisel, C.P.; Morandi, M.T.; Colome, S.D.; Totten, L.A.; Stock, T.H.; Winer, A.M.; Alimokhtari, S.; et al. Polycyclic Aromatic Hydrocarbons in the Indoor and Outdoor Air of Three Cities in the U.S. Environ. Sci. Technol. 2002, 36, 2552–2559. [Google Scholar] [CrossRef] [PubMed]
- Ravindra, K.; Sokhi, R.; Van Grieken, R. Atmospheric polycyclic aromatic hydrocarbons: Source attribution, emission factors and regulation. Atmos. Environ. 2008, 42, 2895–2921. [Google Scholar] [CrossRef]
- Jung, K.H.; Patel, M.M.; Moors, K.; Kinney, P.L.; Chillrud, S.N.; Whyatt, R.; Hoepner, L.; Garfinkel, R.; Yan, B.; Ross, J.; et al. Effects of Heating Season on Residential Indoor and Outdoor Polycyclic Aromatic Hydrocarbons, Black Carbon, and Particulate Matter in an Urban Birth Cohort. Atmos Environ. 2010, 44, 4545–4552. [Google Scholar] [CrossRef] [PubMed]
- Kliucininkas, L.; Krugly, E.; Stasiulaitiene, I.; Radziuniene, I.; Prasauskas, T.; Jonusas, A.; Kauneliene, V.; Martuzevicius, D. Indoor–outdoor levels of size segregated particulate matter and mono/polycyclic aromatic hydrocarbons among urban areas using solid fuels for heating. Atmos. Environ. 2014, 97, 83–93. [Google Scholar] [CrossRef]
- Nisbet, I.C.T.; LaGoy, P.K. Toxic equivalency factors (TEFs) for polycyclic aromatic hydrocarbons (PAHs). Regul. Toxicol. Pharmacol. 1992, 16, 290–300. [Google Scholar] [CrossRef]
- Malcolm, H.M.; Dobson, S. The Calculation of an Environmental Assessment Level (EAL) for Atmospheric PAHs Using Relative Potencies; DOE Report; Department of the Environment: London, UK, 1994. [Google Scholar]
- Directive, C. 107/EC of the European Parliament and of the Council of 15 December 2004 relating to arsenic, cadmium, mercury, nickel and polycyclic aromatic hydrocarbons in ambient air. Off. J. Eur. Communities 2004, 26, 2005. [Google Scholar]
- Ohura, T.; Amagai, T.; Fusaya, M.; Matsushita, H. Polycyclic Aromatic Hydrocarbons in Indoor and Outdoor Environments and Factors Affecting Their Concentrations. Environ. Sci. Technol. 2004, 38, 77–83. [Google Scholar] [CrossRef]







| Pollutants | Date N: Number of Buildings (Type of Buildings) | Indoor and Outdoor Monitoring | Nature of Samples (N: Number of Samples) | Sampling Duration (Sampling Volume) | Technique | Location | Ref. |
|---|---|---|---|---|---|---|---|
| 8 PAHs | Winter 2011 and Summer 2012 N = 6 (schools) | Yes | PM2.5 (N = 204) | 24 h (I a: 8.6–14.4 m3) (O b: 54.7 m3) | Single-stage impactor + GC-MS | Roma, Italy | [12] |
| 15 PAHs | Winter 2011–2012 N = 5 (primary schools, 15 classrooms) | Yes | Gas phase (N = 20) PM2.5 (N = 100) TSP c (N = 20) | 8 h for PM2.5 (4.8 m3) | PEM d samplers + GC-MS | Kaunas, Lithuania | [11] |
| 16 PAHs | October–November 2013 N = 1 (primary school) | No | PM1, PM2.5, PM10 (N = 1) | 4.0 days (48 m3) | Three-stages cascade impactor + HPLC/PDA e/fluorescence | East of France | [31] |
| 18 PAHs | April–June 2013 N = 2 (preschools) | Yes | Gas phase (N = 204, I a) PM1 (N = 204, I a) PM2.5 (N = 204, I a) | 24 h (55.2 m3) | Constant flow samplers g + HPLC/PDA e/fluorescence | Porto, Portugal | [15] |
| 18 PAHs | January–April 2014 N = 10 (schools, 20 classrooms) | Yes f | PM2.5 (N = 85, I a) | 24 h (2.88 m3) | Constant flow samplers g + HPLC/PDA e/fluorescence | Porto, Portugal | [13] |
| 52 SVOCs Including 7 PAHs | June 2013–June 2017 N = 308 (nurseries and elementary schools, 602 classrooms) | No | Gas phase (N = 602) PM2.5 (modelling) Dust (N = 602) | 4.3 days (average: 12.5 m3) | Active air pumping GC-MS/MS | France | [14] |
| 46 PAHs and alkylated PAHs 4 OPAHs h | September–October 2016 September–October 2017 N = 5 (preschools) | Yes | PM10 (N = 29) Dust (N = 19) | 8 h (4.8 m3) | Single-stage impactor (PM10) Multi-purpose vacuum cleaner (dust) + LC-MS and GC-MS | Stockholm, Sweden | [16] |
| 16 PAHs | April–May 2014 N = 1 (school) | Yes | PM1 (N = 12) PM2.5 (N = 12) PM10 (N = 12) | 3–4 days (I: 119.0–181.3 m3) (O: 31.7–48.8 m3) | Three-stages cascade impactors + HPLC/PAD/fluorescence | North of France | This work |
| PAH | Average Indoor Concentration (pg m−3) | Average Outdoor Concentration (pg m−3) | ||||
|---|---|---|---|---|---|---|
| PM1 | PM2.5 | PM10 | PM1 | PM2.5 | PM10 | |
| Naphtalene | n.d. a | n.d. a | n.d. a | n.d. a | n.d. a | n.d. a |
| Acenaphtylene | n.d. a | n.d. a | n.d. a | n.d. a | n.d. a | n.d. a |
| Acenaphtene | 0.3 ± 0.7 | 1.5 ± 2.4 | 2.0 ± 3.0 | n.d. a | n.d. a | n.d. a |
| Fluorene | 4.6 ± 2.7 | 12.4 ± 9.8 | 17.5 ± 13.2 | 3.6 ± 2.1 | 3.6 ± 2.1 | 3.6 ± 2.1 |
| Phenanthrene | 29.4 ± 11.1 | 63.8 ± 43.1 | 81.7 ± 50.2 | 19.3 ± 16.8 | 19.3 ± 16.8 | 19.3 ± 16.8 |
| Anthracene | 2.4 ± 0.5 | 3.4 ± 1.0 | 4.0 ± 1.2 | 2.9 ± 2.1 | 3.4 ± 2.3 | 3.7 ± 2.1 |
| Fluoranthene | 23.4 ± 9.9 | 32.4 ± 11.5 | 37.1 ± 12.7 | 30.3 ± 20.8 | 41.0 ± 24.3 | 47.9 ± 24.1 |
| Pyrene | 18.0 ± 5.3 | 24.3 ± 6.5 | 26.9 ± 8.1 | 24.1 ± 16.7 | 31.2 ± 22.4 | 34.4 ± 23.5 |
| Benzo[a]anthracene | 7.5 ± 5.5 | 8.3 ± 5.6 | 8.8 ± 5.5 | 10.0 ± 6.2 | 11.5 ± 6.8 | 12.6 ± 7.0 |
| Chrysene | 9.7 ± 4.7 | 11.4 ± 5.4 | 12.6 ± 5.3 | 18.1 ± 8.3 | 20.8 ± 9.5 | 22.3 ± 9.8 |
| Benzo[b]fluoranthene | 33.9 ± 14.2 | 37.8 ± 16.7 | 38.5 ± 17.1 | 45.3 ± 19.3 | 50.6 ± 20.9 | 53.0 ± 21.4 |
| Benzo[k]fluoranthene | 12.1 ± 4.9 | 13.7 ± 5.9 | 13.9 ± 6.0 | 17.2 ± 8.1 | 19.2 ± 8.7 | 20.1 ± 8.8 |
| Benzo[a]pyrene | 22.5 ± 8.4 | 24.8 ± 9.6 | 25.2 ± 9.8 | 21.1 ± 14.1 | 24.4 ± 15.3 | 26.0 ± 15.5 |
| Dibenzo[a,h]anthracene | 14.2 ± 6.5 | 15.6 ± 7.2 | 16.0 ± 7.3 | 18.2 ± 18.4 | 19.9 ± 19.3 | 21.6 ± 20.2 |
| Benzo[g,h,i]perylene | 61.2 ± 40.2 | 67.1 ± 44.9 | 75.1 ± 61.4 | 46.1 ± 24.9 | 53.3 ± 25.5 | 57.1 ± 26.6 |
| Indeno[1,2,3-c,d]pyrene | 51.1 ± 24.8 | 55.2 ± 27.5 | 55.4 ± 27.6 | 35.2 ± 25.3 | 39.2 ± 26.9 | 39.7 ± 27.3 |
| Total | 290.3 | 371.7 | 414.6 | 291.1 | 337.3 | 361.5 |
| Parameters | This Work | Romagnoli et al. [12] |
|---|---|---|
| Maubeuge School (France) Mean a | Six Schools in Roma (Italy) Mean (Min–Max) b | |
| Traffic Intensity | Low | Low to high |
| Indoor Concentrations | ||
| B[a]A | 0.008 | 0.05 (0.02–0.10) |
| B[b]F | 0.038 | 0.27c (0.12–0.36) |
| B[k]F | 0.014 | |
| B[j]F | - | |
| B[a]P | 0.025 | 0.10 (0.07–0.16) |
| INP | 0.055 | 0.11 (0.08–0.20) |
| DB[a,h]A | 0.016 | 0.03 (0.02–0.06) |
| B[g,h,i]P | 0.067 | 0.17 (0.10–0.31) |
| ∑8PAHs | 0.223 | 0.63 (0.30–1.02) |
| Outdoor Concentrations | ||
| B[a]A | 0.012 | 0.09 (0.04–0.17) |
| B[b]F | 0.051 | 0.35c (0.21–0.47) |
| B[k]F | 0.019 | |
| B[j]F | - | |
| B[a]P | 0.024 | 0.12 (0.07–0.21) |
| INP | 0.039 | 0.15 (0.10–0.23) |
| DB[a,h]A | 0.020 | 0.03 (0.02–0.04) |
| B[g,h,i]P | 0.053 | 0.23 (0.13–0.34) |
| ∑8PAHs | 0.218 | 0.81 (0.42–1.21) |
| BaPeq (ng m−3) | 14–17 April2014 | 17–21 April 2014 | 21–24 April 2014 | 24–28 April 2014 | 28 April–2 May 2014 | 2–6 May2014 |
|---|---|---|---|---|---|---|
| Indoors | 0.08 | 0.06 | 0.06 | 0.05 | 0.03 | 0.05 |
| Outdoors | 0.11 | 0.07 | 0.12 | 0.02 | 0.03 | 0.04 |
Publisher’s Note: MDPI stays neutral with regard to jurisdictional claims in published maps and institutional affiliations. |
© 2021 by the authors. Licensee MDPI, Basel, Switzerland. This article is an open access article distributed under the terms and conditions of the Creative Commons Attribution (CC BY) license (http://creativecommons.org/licenses/by/4.0/).
Share and Cite
Liaud, C.; Chouvenc, S.; Le Calvé, S. Simultaneous Monitoring of Particle-Bound PAHs Inside a Low-Energy School Building and Outdoors over Two Weeks in France. Atmosphere 2021, 12, 108. https://doi.org/10.3390/atmos12010108
Liaud C, Chouvenc S, Le Calvé S. Simultaneous Monitoring of Particle-Bound PAHs Inside a Low-Energy School Building and Outdoors over Two Weeks in France. Atmosphere. 2021; 12(1):108. https://doi.org/10.3390/atmos12010108
Chicago/Turabian StyleLiaud, Céline, Sarah Chouvenc, and Stéphane Le Calvé. 2021. "Simultaneous Monitoring of Particle-Bound PAHs Inside a Low-Energy School Building and Outdoors over Two Weeks in France" Atmosphere 12, no. 1: 108. https://doi.org/10.3390/atmos12010108
APA StyleLiaud, C., Chouvenc, S., & Le Calvé, S. (2021). Simultaneous Monitoring of Particle-Bound PAHs Inside a Low-Energy School Building and Outdoors over Two Weeks in France. Atmosphere, 12(1), 108. https://doi.org/10.3390/atmos12010108

