Alpine Tundra Contraction under Future Warming Scenarios in Europe
Abstract
1. Introduction
2. Methods
2.1. Climate Data
2.2. Mapping Alpine Tundra Domain
2.3. Validation of the Alpine Tundra Delineation
2.4. Sensitivity Analysis
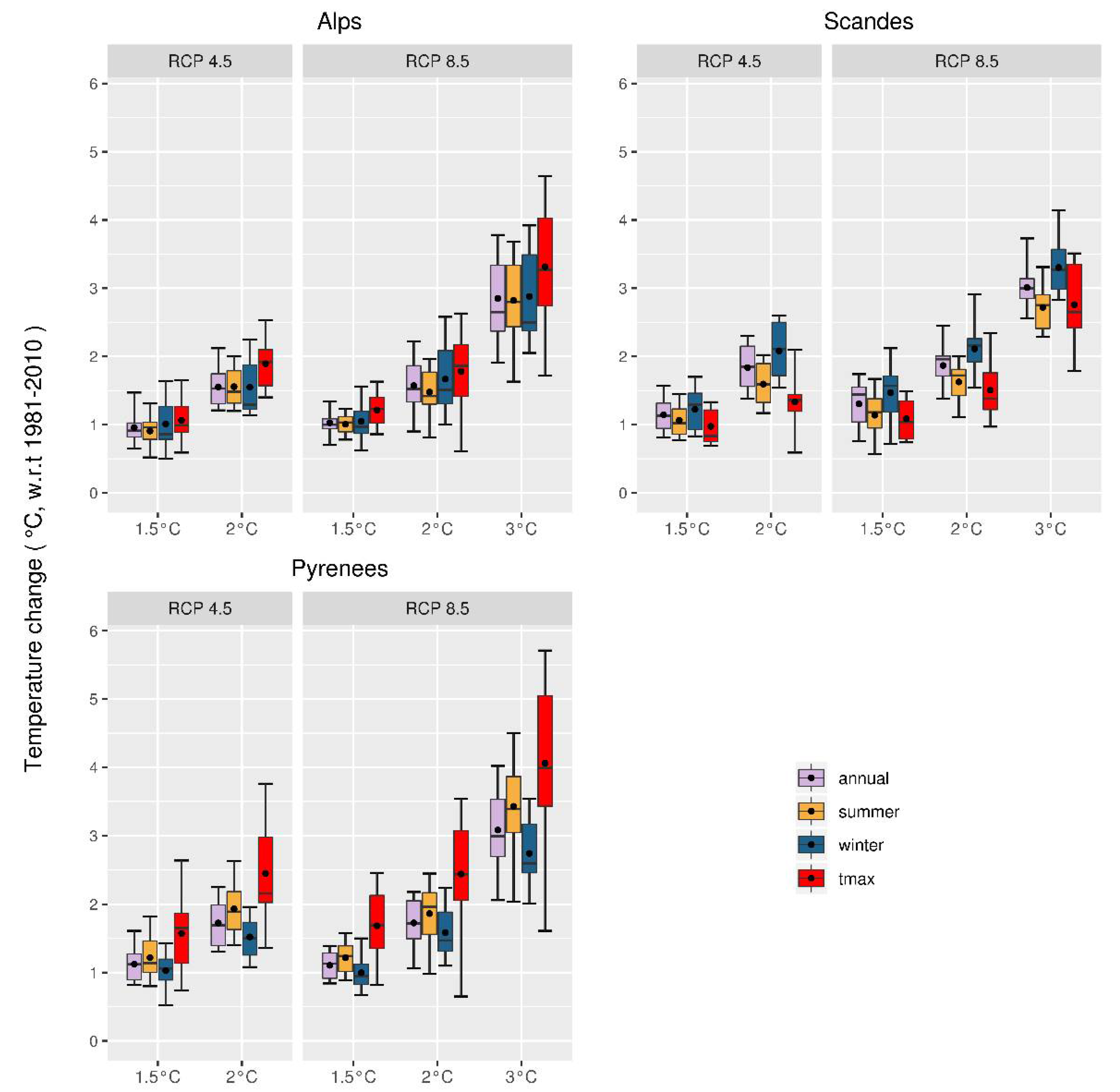
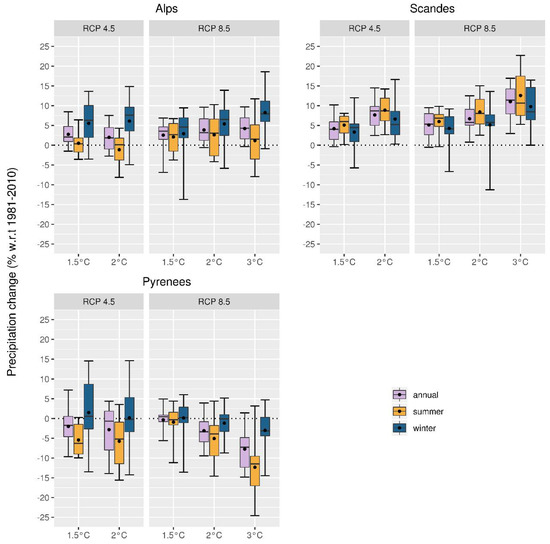
2.5. Climate Parameters
3. Results
3.1. Validation of Alpine Tundra Delineation
3.2. Sensitivity Analysis
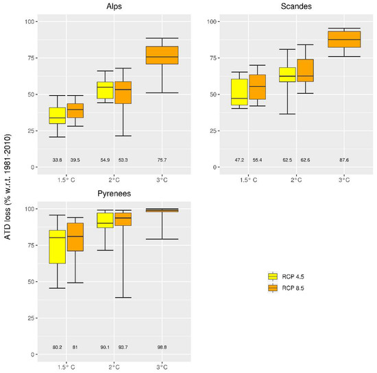
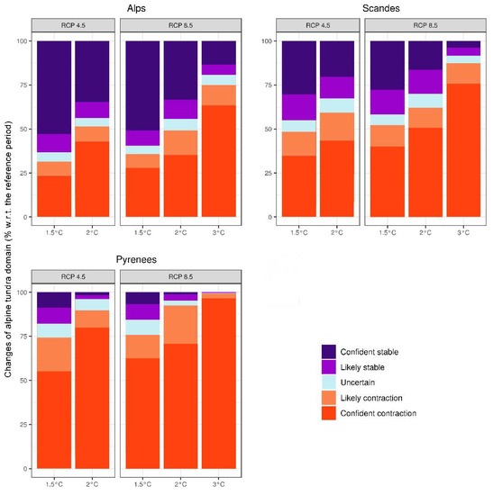
3.3. Mapping Projected Changes of the Alpine Tundra
4. Discussion
Author Contributions
Funding
Acknowledgments
Conflicts of Interest
Appendix A. Climate Parameters
| Mean Annual Temperature (°C) | |||
|---|---|---|---|
| Period/Warming Level | Alps | Scandes | Pyrenees |
| Reference (1981–2010) | −1.3 | −1.8 | 0.6 |
| 1.5 °C | −0.4 | −0.6 | 1.7 |
| 2 °C | 0.2 | 0 | 2.3 |
| 3 °C | 1.5 | 1.2 | 3.6 |


References
- EEA. Europe’s Ecological Backbone: Recognising the True Value of our Mountains; European Environment Agency: Luxembourg, 2010; p. 248. [Google Scholar]
- European Commission. Natura 2000 in the Alpine Region; European Commission: Luxembourg, 2005; p. 11. [Google Scholar]
- Settele, J.; Scholes, R.; Betts, R.; Bunn, S.; Leadley, P.; Nepstad, D.; Overpeck, J.T.; Taboada, M.A. Terrestrial and inland water systems. In Climate Change 2014: Impacts, Adaptation, and Vulnerability. Part A: Global and Sectoral Aspects. Contribution of Working Group II to the Fifth Assessment Report of the Intergovernmental Panel on Climate Change; Field, C.B., Barros, V.R., Dokken, D.J., Mach, K.J., Mastrandrea, M.D., Bilir, T.E., Chatterjee, M., Ebi, K.L., Estrada, Y.O., Genova, R.C., et al., Eds.; Cambridge University Press: Cambridge, UK; New York, NY, USA, 2014; pp. 271–359. [Google Scholar]
- Hock, R.; Rasul, G.; Adler, C.; Cáceres, B.; Gruber, S.; Hirabayashi, Y.; Jackson, M.; Kääb, A.; Kang, S.; Kutuzov, S.; et al. High Mountain Areas. In IPCC Special Report on the Ocean and Cryosphere in a Changing Climate; Pörtner, H.-O., Roberts, D.C., Masson-Delmotte, V., Zhai, P., Tignor, M., Poloczanska, E., Mintenbeck, K., Alegría, A., Nicolai, M., Okem, A., et al., Eds.; Intergovernmental Panel on Climate Change: Geneva, Switzerland, 2019; pp. 131–202. [Google Scholar]
- Bradley, R.S.; Keimig, F.T.; Diaz, H.F. Projected temperature changes along the American cordillera and the planned GCOS network. Geophys. Res. Lett. 2004, 31. [Google Scholar] [CrossRef]
- Diaz, H.F.; Eischeid, J.K. Disappearing “alpine tundra” Köppen climatic type in the western United States. Geophys. Res. Lett. 2007, 34, L18707. [Google Scholar] [CrossRef]
- Diaz, H.F.; Eischeid, J.K.; Duncan, C.; Bradley, R.S. Variability of Freezing Levels, Melting Season Indicators, and Snow Cover for Selected High-Elevation and Continental Regions in the Last 50 Years. Clim. Chang. 2003, 59, 33–52. [Google Scholar] [CrossRef]
- Diaz, H.F.; Graham, N.E. Recent changes in tropical freezing heights and the role of sea surface temperature. Nature 1996, 383, 152–155. [Google Scholar] [CrossRef]
- Liu, X.; Chen, B. Climatic warming in the Tibetan Plateau during recent decades. Int. J. Climatol. 2000, 20, 1729–1742. [Google Scholar] [CrossRef]
- Gottfried, M.; Pauli, H.; Futschik, A.; Akhalkatsi, M.; Barančok, P.; Benito Alonso, J.L.; Coldea, G.; Dick, J.; Erschbamer, B.; Fernández Calzado, M.A.R.; et al. Continent-wide response of mountain vegetation to climate change. Nat. Clim. Chang. 2012, 2, 111. [Google Scholar] [CrossRef]
- Lenoir, J.; Gégout, J.C.; Marquet, P.A.; de Ruffray, P.; Brisse, H. A Significant Upward Shift in Plant Species Optimum Elevation During the 20th Century. Science 2008, 320, 1768–1771. [Google Scholar] [CrossRef]
- Bjorkman, A.D.; Myers-Smith, I.H.; Elmendorf, S.C.; Normand, S.; Rüger, N.; Beck, P.S.A.; Blach-Overgaard, A.; Blok, D.; Cornelissen, J.H.C.; Forbes, B.C.; et al. Plant functional trait change across a warming tundra biome. Nature 2018, 562, 57–62. [Google Scholar] [CrossRef]
- Dullinger, S.; Gattringer, A.; Thuiller, W.; Moser, D.; Zimmermann, N.E.; Guisan, A.; Willner, W.; Plutzar, C.; Leitner, M.; Mang, T.; et al. Extinction debt of high-mountain plants under twenty-first-century climate change. Nat. Clim. Chang. 2012, 2, 619–622. [Google Scholar] [CrossRef]
- Engler, R.; Randin, C.F.; Thuiller, W.; Dullinger, S.; Zimmermann, N.E.; Araújo, M.B.; Pearman, P.B.; Le Lay, G.; Piedallu, C.; Albert, C.H.; et al. 21st century climate change threatens mountain flora unequally across Europe. Glob. Change Biol. 2011, 17, 2330–2341. [Google Scholar] [CrossRef]
- Körner, C. Alpine Treelines: Functional Ecology of the Global High. Elevation Tree Limits; Springer: Basel, Switzerland, 2012; p. 220. [Google Scholar] [CrossRef]
- Zemp, M.; Haeberli, W.; Bajracharya, S.; Chinn, T.J.; Fountain, A.G.; Hagen, J.O.; Huggel, C.; Kääb, A.; Kaltenborn, B.P.; Karki, M.; et al. 6B—Glaciers and ice caps. In Global Outlook for Ice & Snow; UNEP, Ed.; UNEP/GRID-Arendal: Birkeland, Norway, 2007; pp. 115–152. [Google Scholar]
- Diolaiuti, G.A.; Maragno, D.; D’Agata, C.; Smiraglia, C.; Bocchiola, D. Glacier retreat and climate change: Documenting the last 50 years of Alpine glacier history from area and geometry changes of Dosdè Piazzi glaciers (Lombardy Alps, Italy). Progr. Phys. Geogr. Earth Environ. 2011, 35, 161–182. [Google Scholar] [CrossRef]
- Biskaborn, B.K.; Smith, S.L.; Noetzli, J.; Matthes, H.; Vieira, G.; Streletskiy, D.A.; Schoeneich, P.; Romanovsky, V.E.; Lewkowicz, A.G.; Abramov, A.; et al. Permafrost is warming at a global scale. Nat. Commun. 2019, 10, 264. [Google Scholar] [CrossRef] [PubMed]
- Rumpf, S.B.; Hülber, K.; Klonner, G.; Moser, D.; Schütz, M.; Wessely, J.; Willner, W.; Zimmermann, N.E.; Dullinger, S. Range dynamics of mountain plants decrease with elevation. Proc. Natl. Acad. Sci. USA 2018, 115, 1848–1853. [Google Scholar] [CrossRef] [PubMed]
- Rumpf, S.B.; Hülber, K.; Zimmermann, N.E.; Dullinger, S. Elevational rear edges shifted at least as much as leading edges over the last century. Glob. Ecol. Biogeogr. 2019, 28, 533–543. [Google Scholar] [CrossRef]
- Freeman, B.G.; Lee-Yaw, J.A.; Sunday, J.M.; Hargreaves, A.L. Expanding, shifting and shrinking: The impact of global warming on species’ elevational distributions. Glob. Ecol. Biogeogr. 2018, 27, 1268–1276. [Google Scholar] [CrossRef]
- Greenwood, S.; Jump, A.S. Consequences of Treeline Shifts for the Diversity and Function of High Altitude Ecosystems. Arct. Antarct. Alp. Res. 2014, 46, 829–840. [Google Scholar] [CrossRef]
- European Commission. Green Infrastructure. Available online: http://ec.europa.eu/environment/nature/ecosystems/ (accessed on 1 March 2018).
- Moss, R.H.; Edmonds, J.A.; Hibbard, K.A.; Manning, M.R.; Rose, S.K.; van Vuuren, D.P.; Carter, T.R.; Emori, S.; Kainuma, M.; Kram, T.; et al. The next generation of scenarios for climate change research and assessment. Nature 2010, 463, 747–756. [Google Scholar] [CrossRef]
- Van Vuuren, D.P.; Edmonds, J.; Kainuma, M.; Riahi, K.; Thomson, A.; Hibbard, K.; Hurtt, G.C.; Kram, T.; Krey, V.; Lamarque, J.-F.; et al. The representative concentration pathways: An overview. Clim. Chang. 2011, 109, 5. [Google Scholar] [CrossRef]
- Collins, M.; Knutti, R.; Arblaster, J.; Dufresne, J.-L.; Fichefet, T.; Friedlingstein, P.; Gao, X.; Gutowski, W.J.; Johns, T.; Krinner, G.; et al. Long-term Climate Change: Projections, Commitments and Irreversibility. In Climate Change 2013: The Physical Science Basis. Contribution of Working Group I to the Fifth Assessment Report of the Intergovernmental Panel on Climate Change; Stocker, T.F., Qin, D., Plattner, G.-K., Tignor, M., Allen, S.K., Boschung, J., Nauels, A., Xia, Y.V.B., Midgley, P.M., Eds.; Cambridge University Press: Cambridge, UK; New York, NY, USA, 2013; pp. 1029–1136. [Google Scholar]
- IMPACT2C. IMPACT2C—Project Final Report; IMPACT2C Project: Hamburg, Germany, 2015; p. 42. [Google Scholar]
- European Commission. EU Science Hub—PESETA Project. Available online: https://ec.europa.eu/jrc/en/peseta-iii (accessed on 10 February 2020).
- Jacob, D.; Petersen, J.; Eggert, B.; Alias, A.; Christensen, O.B.; Bouwer, L.M.; Braun, A.; Colette, A.; Déqué, M.; Georgievski, G.; et al. EURO-CORDEX: New high-resolution climate change projections for European impact research. Reg. Environ. Chang. 2014, 14, 563–578. [Google Scholar] [CrossRef]
- Taylor, K.E.; Stouffer, R.J.; Meehl, G.A. An Overview of CMIP5 and the Experiment Design. Bull. Am. Meteorol. Soc. 2012, 93, 485–498. [Google Scholar] [CrossRef]
- Ekström, M.; Grose, M.R.; Whetton, P.H. An appraisal of downscaling methods used in climate change research. Wiley Interdiscip. Rev. Clim. Chang. 2015, 6, 301–319. [Google Scholar] [CrossRef]
- Baker, B.; Diaz, H.; Hargrove, W.; Hoffman, F. Use of the Köppen–Trewartha climate classification to evaluate climatic refugia in statistically derived ecoregions for the People’s Republic of China. Clim. Chang. 2010, 98, 113–131. [Google Scholar] [CrossRef]
- Barredo, J.I.; Caudullo, G.; Dosio, A. Mediterranean habitat loss under future climate conditions: Assessing impacts on the Natura 2000 protected area network. Appl. Geogr. 2016, 75, 83–92. [Google Scholar] [CrossRef]
- Klausmeyer, K.R.; Shaw, M.R. Climate Change, Habitat Loss, Protected Areas and the Climate Adaptation Potential of Species in Mediterranean Ecosystems Worldwide. PLoS ONE 2009, 4, e6392. [Google Scholar] [CrossRef] [PubMed]
- Tabor, K.; Williams, J. Globally downscaled climate projections for assessing the conservation impacts of climate change. Ecol. Appl. 2010, 20, 554–565. [Google Scholar] [CrossRef] [PubMed]
- Rubel, F.; Brugger, K.; Haslinger, K.; Auer, I. The climate of the European Alps: Shift of very high resolution Köppen-Geiger climate zones 1800–2100. Meteorol. Z. 2017, 26, 115–125. [Google Scholar] [CrossRef]
- Franke, R. Smooth Interpolation of Scattered Data by Local Thin Plate Splines. Comput. Math. Appl. 1982, 8, 273–281. [Google Scholar] [CrossRef]
- Mitas, L.; Mitasova, H. General Variational Approach to the Interpolation Problem. Comput. Math. Appl. 1988, 16, 983–992. [Google Scholar] [CrossRef]
- Karger, D.N.; Conrad, O.; Böhner, J.; Kawohl, T.; Kreft, H.; Soria-Auza, R.W.; Zimmermann, N.E.; Linder, H.P.; Kessler, M. Climatologies at high resolution for the earth’s land surface areas. Sci. Data 2017, 4, 170122. [Google Scholar] [CrossRef]
- Hantel, M. 13.4.2 The Köppen climate classification. In Climatology. Part 2; Fischer, G., Ed.; Springer: Berlin/Heidelberg, Germany, 1989; Volume 4c2, pp. 462–465. [Google Scholar]
- Kottek, M.; Grieser, J.; Beck, C.; Rudolf, B.; Rubel, F. World Map of the Köppen-Geiger climate classification updated. Meteorol. Z. 2006, 15, 259–263. [Google Scholar] [CrossRef]
- Harrison, S.P.; Prentice, C.I. Climate and CO2 controls on global vegetation distribution at the last glacial maximum: Analysis based on palaeovegetation data, biome modelling and palaeoclimate simulations. Glob. Change Biol. 2003, 9, 983–1004. [Google Scholar] [CrossRef]
- EEA. Europe’s Biodiversity—Biogeographical Regions in Europe; EEA Report No. 1/2002; European Environment Agency: Copenhagen, Denmark, 2002. [Google Scholar]
- Myers, N.; Mittermeier, R.A.; Mittermeier, C.G.; da Fonseca, G.A.B.; Kent, J. Biodiversity hotspots for conservation priorities. Nature 2000, 403, 853–858. [Google Scholar] [CrossRef] [PubMed]
- Bohn, U.; Gollub, G.; Hettwer, C.; Neuhäuslová, Z.; Raus, T.; Schlüter, H.; Weber, H. Map of the Natural Vegetation of Europe, Scale 1:2.500.000, Interactive CD-ROM; Landwirtschaftsverlag: Münster, Germany, 2004. [Google Scholar]
- Hickler, T.; Vohland, K.; Feehan, J.; Miller, P.A.; Smith, B.; Costa, L.; Giesecke, T.; Fronzek, S.; Carter, T.R.; Cramer, W.; et al. Projecting the future distribution of European potential natural vegetation zones with a generalized, tree species-based dynamic vegetation model. Glob. Ecol. Biogeogr. 2012, 21, 50–63. [Google Scholar] [CrossRef]
- Strona, G.; Mauri, A.; Veech, J.A.; Seufert, G.; San-Miguel Ayanz, J.; Fattorini, S. Far from Naturalness: How Much Does Spatial Ecological Structure of European Tree Assemblages Depart from Potential Natural Vegetation? PLoS ONE 2016, 11, e0165178. [Google Scholar] [CrossRef] [PubMed]
- Hijmans, R.J.; Cameron, S.E.; Parra, J.L.; Jones, P.G.; Jarvis, A. Very high resolution interpolated climate surfaces for global land areas. Int. J. Climatol. 2005, 25, 1965–1978. [Google Scholar] [CrossRef]
- Cohen, J. A coefficient of agreement for nominal scales. Educ. Psychol. Meas. 1960, 20, 37–46. [Google Scholar] [CrossRef]
- Monserud, R.A.; Leemans, R. Comparing global vegetation maps with the Kappa statistic. Ecol. Model. 1992, 62, 275–293. [Google Scholar] [CrossRef]
- Congalton, R.G. A review of assessing the accuracy of classifications of remotely sensed data. Remote Sens. Environ. 1991, 37, 35–46. [Google Scholar] [CrossRef]
- Landis, J.R.; Koch, G.G. The measurement of observer agreement for categorical data. Biometrics 1977, 33, 159–174. [Google Scholar] [CrossRef]
- Maule, C.F.; Mendlik, T.; Christensen, O.B. The effect of the pathway to a two degrees warmer world on the regional temperature change of Europe. Clim. Serv. 2017, 7, 3–11. [Google Scholar] [CrossRef]
- Walker, M.D.; Wahren, C.H.; Hollister, R.D.; Henry, G.H.R.; Ahlquist, L.E.; Alatalo, J.M.; Bret-Harte, M.S.; Calef, M.P.; Callaghan, T.V.; Carroll, A.B.; et al. Plant community responses to experimental warming across the tundra biome. Proc. Natl. Acad. Sci. USA 2006, 103, 1342–1346. [Google Scholar] [CrossRef] [PubMed]
- Fagre, D.B. Chapter 1 Introduction: Understanding the Importance of Alpine Treeline Ecotones in Mountain Ecosystems. In Developments in Earth Surface Processes; Butler, D.R., Malanson, G.P., Walsh, S.J., Fagre, D.B., Eds.; Elsevier: New York, NY, USA, 2009; Volume 12, pp. 1–9. [Google Scholar]
- Appenzeller, C.; Fischer, E.M.; Fuhrer, J.; Grosjean, M.; Hohmann, R.; Joos, F.; Raible, C.; Ritz, C. CH2014-Impacts. Toward Quantitative Scenarios of Climate Change Impacts in Switzerland; OCCR, FOEN, MeteoSwiss, C2SM, Agroscope, and ProClim: Bern, Switzerland, 2014; p. 136. [Google Scholar]
- Urban, M.; Tewksbury, J.; Sheldon, K. On a collision course: Competition and dispersal differences create no-analogue communities and cause extinctions during climate change. Proc. R. Soc. B Biol. Sci. 2012, 1–9. [Google Scholar] [CrossRef] [PubMed]
- Kullman, L. A Richer, Greener and Smaller Alpine World: Review and Projection of Warming-Induced Plant Cover Change in the Swedish Scandes. AMBIO J. Hum. Environ. 2010, 39, 159–169. [Google Scholar] [CrossRef]
- Crawford, R.M.M. Cold climate plants in a warmer world. Plant Ecol. Divers. 2008, 1, 285–297. [Google Scholar] [CrossRef]
- Rixen, C.; Wipf, S. Non-equilibrium in Alpine Plant Assemblages: Shifts in Europe’s Summit Floras. In High Mountain Conservation in a Changing World; Catalan, J., Ninot, J.M., Aniz, M.M., Eds.; Springer International Publishing: Cham, Switzerland, 2017; pp. 285–303. [Google Scholar] [CrossRef]
- Mourey, J.; Marcuzzi, M.; Ravanel, L.; Pallandre, F. Effects of climate change on high Alpine mountain environments: Evolution of mountaineering routes in the Mont Blanc massif (Western Alps) over half a century. Arct. Antarct. Alp. Res. 2019, 51, 176–189. [Google Scholar] [CrossRef]
- Stoffel, M.; Huggel, C. Effects of climate change on mass movements in mountain environments. Prog. Phys. Geogr. Earth Environ. 2012, 36, 421–439. [Google Scholar] [CrossRef]
- Hock, R.; Bliss, A.; Marzeion, B.E.N.; Giesen, R.H.; Hirabayashi, Y.; Huss, M.; Radić, V.; Slangen, A.B.A. GlacierMIP—A model intercomparison of global-scale glacier mass-balance models and projections. J. Glaciol. 2019, 65, 453–467. [Google Scholar] [CrossRef]
- Zekollari, H.; Huss, M.; Farinotti, D. Modelling the future evolution of glaciers in the European Alps under the EURO-CORDEX RCM ensemble. Cryosphere 2019, 13, 1125–1146. [Google Scholar] [CrossRef]
- Randin, C.F.; Engler, R.; Normand, S.; Zappa, M.; Zimmermann, N.E.; Pearman, P.B.; Vittoz, P.; Thuiller, W.; Guisan, A. Climate change and plant distribution: Local models predict high-elevation persistence. Glob. Chang. Biol. 2009, 15, 1557–1569. [Google Scholar] [CrossRef]
- Lembrechts, J.J.; Nijs, I. Microclimate shifts in a dynamic world. Science 2020, 368, 711–712. [Google Scholar] [CrossRef]
- Tveito, O.E.; Førland, E.; Heino, R.; Hanssen-Bauer, I.; Alexandersson, H.; Dahlström, B.; Drebs, A.; Kern-Hansen, C.; Jónsson, T.; Vaarby Laursen, E.; et al. Nordic Temperature Maps; Report No. 09/00 KLIMA; Norwegian Meteorological Institute: Oslo, Norway, 2000; p. 54. [Google Scholar]
- Dosio, A. Projections of climate change indices of temperature and precipitation from an ensemble of bias-adjusted high-resolution EURO-CORDEX regional climate models. J. Geophys. Res. Atmos. 2016, 121, 5488–5511. [Google Scholar] [CrossRef]
- Sillmann, J.; Kharin, V.V.; Zwiers, F.W.; Zhang, X.; Bronaugh, D. Climate extremes indices in the CMIP5 multimodel ensemble: Part 2. Future climate projections. J. Geophys. Res. Atmos. 2013, 118, 2473–2493. [Google Scholar] [CrossRef]
- Körner, C.; Paulsen, J. A world-wide study of high altitude treeline temperatures. J. Biogeogr. 2004, 31, 713–732. [Google Scholar] [CrossRef]
- Garcia, R.A.; Cabeza, M.; Rahbek, C.; Araújo, M.B. Multiple dimensions of climate change and their implications for biodiversity. Science 2014, 344. [Google Scholar] [CrossRef]
- Klein, R.J.T.; Midgley, G.F.; Preston, B.L.; Alam, M.; Berkhout, F.G.H.; Dow, K.; Shaw, M.R. Adaptation opportunities, constraints, and limits. In Climate Change 2014: Impacts, Adaptation, and Vulnerability. Part A: Global and Sectoral Aspects. Contribution of Working Group II to the Fifth Assessment Report of the Intergovernmental Panel of Climate Change; Field, C.B., Barros, V.R., Dokken, D.J., Mach, K.J., Mastrandrea, M.D., Bilir, T.E., Chatterjee, M., Ebi, K.L., Estrada, Y.O., Genova, R.C., et al., Eds.; Cambridge University Press: Cambridge, UK; New York, NY, USA, 2014; pp. 899–943. [Google Scholar]







| Institute | RCM | Driving GCM | Scenarios | + 1.5 °C | + 2 °C | + 3 °C |
|---|---|---|---|---|---|---|
| CLM-Community | CCLM4-8-17 | CNRM-CERFACS-CNRM-CM5 | RCP4.5 | 2021–2050 | 2043–2072 | - |
| RCP8.5 | 2015–2044 | 2030–2059 | 2053–2082 | |||
| CLM-Community | CCLM4-8-17 | ICHEC-EC-EARTH | RCP4.5 | 2019–2048 | 2042–2071 | - |
| RCP8.5 | 2012–2041 | 2027–2056 | 2052–2081 | |||
| CLM-Community | CCLM4-8-17 | MPI-M-MPI-ESM-LR | RCP4.5 | 2020–2049 | 2050–2079 | - |
| RCP8.5 | 2014–2043 | 2030–2059 | 2053–2082 | |||
| DMI | HIRHAM5 | ICHEC-EC-EARTH | RCP4.5 | 2018–2047 | 2040–2069 | - |
| RCP8.5 | 2014–2043 | 2029–2058 | 2051–2080 | |||
| IPSL-INERIS | WRF331F | IPSL-IPSL-CM5A-MR | RCP4.5 | 2009–2038 | 2028–2057 | - |
| RCP8.5 | 2008–2037 | 2021–2050 | 2040–2069 | |||
| KNMI | RACMO22E | ICHEC-EC-EARTH | RCP4.5 | 2018–2047 | 2042–2071 | - |
| RCP8.5 | 2040–2069 | 2028–2057 | 2051–2080 | |||
| SMHI | RCA4 | CNRM-CERFACS-CNRM-CM5 | RCP4.5 | 2021–2050 | 2043–2072 | - |
| RCP8.5 | 2015–2044 | 2030–2059 | 2053–2082 | |||
| SMHI | RCA4 | ICHEC-EC-EARTH | RCP4.5 | 2019–2048 | 2042–2071 | - |
| RCP8.5 | 2012–2041 | 2027–2056 | 2052–2081 | |||
| SMHI | RCA4 | IPSL-IPSL-CM5A-MR | RCP4.5 | 2009–2038 | 2028–2057 | - |
| RCP8.5 | 2008–2037 | 2021–2050 | 2040–2069 | |||
| SMHI | RCA4 | MOHC-HadGEM2-ES | RCP4.5 | 2007–2036 | 2023–2052 | 2055–2084 |
| RCP8.5 | 2004–2033 | 2016–2045 | 2037–2066 | |||
| SMHI | RCA4 | MPI-M-MPI-ESM-LR | RCP4.5 | 2020–2049 | 2050–2079 | - |
| RCP8.5 | 2014–2043 | 2030–2059 | 2053–2082 |
| Projected Change | Change Category | Number of Simulations (Out of 11) |
|---|---|---|
| Stable | Confident | 10–11 |
| Likely | 7–9 | |
| Stable/contraction | Uncertain | 1–6 |
| Contraction | Confident | 10–11 |
| Likely | 7–9 |
| Region | Alpine Tundra Domain (ATD) Versus Alpine Tundra Biome [45] | |
|---|---|---|
| Kappa | Overall Accuracy (%) | |
| Alps | 0.51 | 78 |
| Scandes | 0.40 | 70 |
| Pyrenees | 0.42 | 81 |
| Region | Warming Level | ||
|---|---|---|---|
| 1.5 °C | 2 °C | 3 °C | |
| Alps | 31–36 | 49–51 | 75 |
| Scandes | 48–52 | 59–62 | 87 |
| Pyrenees | 74–76 | 90–92 | 99 |
| Numbers in percent | |||
© 2020 by the authors. Licensee MDPI, Basel, Switzerland. This article is an open access article distributed under the terms and conditions of the Creative Commons Attribution (CC BY) license (http://creativecommons.org/licenses/by/4.0/).
Share and Cite
Barredo, J.I.; Mauri, A.; Caudullo, G. Alpine Tundra Contraction under Future Warming Scenarios in Europe. Atmosphere 2020, 11, 698. https://doi.org/10.3390/atmos11070698
Barredo JI, Mauri A, Caudullo G. Alpine Tundra Contraction under Future Warming Scenarios in Europe. Atmosphere. 2020; 11(7):698. https://doi.org/10.3390/atmos11070698
Chicago/Turabian StyleBarredo, José I., Achille Mauri, and Giovanni Caudullo. 2020. "Alpine Tundra Contraction under Future Warming Scenarios in Europe" Atmosphere 11, no. 7: 698. https://doi.org/10.3390/atmos11070698
APA StyleBarredo, J. I., Mauri, A., & Caudullo, G. (2020). Alpine Tundra Contraction under Future Warming Scenarios in Europe. Atmosphere, 11(7), 698. https://doi.org/10.3390/atmos11070698

