Assessing the Impact of Road Traffic Reorganization on Air Quality: A Street Canyon Case Study
Abstract
1. Introduction
2. Materials and Methods
2.1. Street Canyon Characteristics
2.2. Considered Traffic Reorganization Variants
2.3. Calculations of the Pollutant Emissions to the Air
- Estimation of the total annual emissions for concerned pollutants from the fleets of vehicles registered in Krakow and other communes of the Malopolska voivodeship based on the hourly emissions;
- Determination of emission factors of analyzed pollutants for one vehicle (veh) in g/(km·veh) for each vehicle category in the fleets with differentiation in the amount of cold emissions from fuel combustion in particular months taken into account;
- Calculation of the final hourly averaged emission factors divided into three vehicle categories distinguished in the Krakow Traffic Model [46] (passenger cars, light commercial vehicles and heavy trucks with buses) with the assumption that during one hour about 75% of the vehicles on the Krakow streets are registered in Krakow and 25% are from outside of the city (registered in the remaining communes of the Malopolska voivodeship).
2.4. Modeling of the Pollutants Concentrations in the Air
2.5. Meteorological Data
2.6. Background Pollution and Evaluation of the OSPM Model
3. Results
3.1. Comparison of Speed and Traffic Volume Profiles in Considered Variants
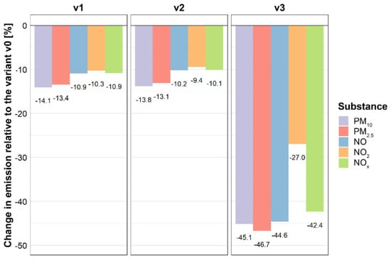
3.2. Reduction of the Air Pollutant Emissions
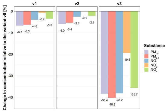
3.3. Expected Improvement of the Air Quality
4. Discussion
5. Conclusions
Author Contributions
Funding
Acknowledgments
Conflicts of Interest
Appendix A



Appendix B





References
- Directive 2008/50/EC of the European Parliament and of the Council of 21 May 2008 on Ambient Air Quality and Cleaner Air for Europe OJ L 152, 11.6.2008. pp. 1–44. Available online: https://eur-lex.europa.eu/eli/dir/2008/50/oj (accessed on 31 December 2019).
- Chief Inspectorate for Environmental Protection (Poland)—Measurement Data Archives. Available online: http://powietrze.gios.gov.pl/pjp/archives (accessed on 31 March 2020).
- Chlebowska-Styś, A.; Sówka, I.; Kobus, D.; Pachurka, L. Analysis of concentrations trends and origins of PM10 in selected European cities. E3S Web Conf. 2017, 17, 00013. [Google Scholar] [CrossRef]
- Oleniacz, R.; Gorzelnik, T.; Szulecka, A. A comparative analysis of air pollutant concentrations and inflow trajectories: A case study of selected cities in South-Eastern Poland. E3S Web Conf. 2018, 45, 00060. [Google Scholar] [CrossRef]
- Marshal Office of the Malopolska Region, Malopolska in Healthy Atmosphere—Air Quality Plan for the Malopolska Region—The Project of the New Air Quality Plan from 2020. Available online: https://powietrze.malopolska.pl/program-ochrony-powietrza/ (accessed on 31 March 2020). (In Polish).
- Krakow City Office, Department of Strategy. Planning and Monitoring of Investments—Krakow in numbers 2009–2018. Available online: https://www.bip.krakow.pl/?mmi=6353 (accessed on 31 March 2020). (In Polish).
- Krakow City Internet Platform. Magiczny Krakow—Statement of 20 December 2017: Do Krakowa Wjeżdża Dziennie Ćwierć Miliona Samochodów. Available online: https://www.krakow.pl/aktualnosci/216234,26,komunikat,do_krakowa_wjezdza_dziennie_cwierc_miliona_samochodow.html (accessed on 31 March 2020). (In Polish).
- TomTom. Traffic Index 2019. Available online: https://www.tomtom.com/en_gb/traffic-index/ranking/ (accessed on 31 March 2020).
- Bździuch, P.; Bogacki, M. Autobusowy transport publiczny w Krakowie na tle najlepszych światowych systemów komunikacji miejskiej oraz ocena wpływu jego modernizacji na wielkość emisji zanieczyszczeń do powietrza. Transp. Miej. I Reg. 2017, 4, 26–31. (In Polish). Available online: http://yadda.icm.edu.pl/yadda/element/bwmeta1.element.baztech-04fb1d02-a7dc-4c03-8e6f-933a6a66a95e (accessed on 31 December 2019).
- Vardoulakis, S.; Gonzalez-Flesca, N.; Fisher, B.E.A. Assessment of traffic-related air pollution in two street canyons in Paris: Implications for exposure studies. Atmos. Environ. 2002, 36, 1025–1039. [Google Scholar] [CrossRef]
- Bukowiecki, N.; Lienemann, P.; Hill, M.; Furger, M.; Richard, A.; Amato, F.; Prévôt, A.S.H.; Baltensperger, U.; Buchmann, B.; Gehrig, R. PM10 emission factors for non-exhaust particles generated by road traffic in an urban street canyon and along a freeway in Switzerland. Atmos. Environ. 2010, 44, 2330–2340. [Google Scholar] [CrossRef]
- Crippa, M.; Decarlo, P.F.; Slowik, J.G.; Mohr, C.; Heringa, M.F.; Chirico, R.; Poulain, L.; Freutel, F.; Sciare, J.; Cozic, J.; et al. Wintertime aerosol chemical composition and source apportionment of the organic fraction in the metropolitan area of Paris. Atmos. Chem. Phys. 2013, 13, 961–981. [Google Scholar] [CrossRef]
- Vos, P.E.; Maiheu, B.; Vankerkom, J.; Janssen, S. Improving local air quality in cities: To tree or not to tree? Environ. Pollut. 2013, 183, 113–122. [Google Scholar] [CrossRef] [PubMed]
- Rakowska, A.; Wong, K.C.; Townsend, T.; Chan, K.L.; Westerdahl, D.; Ng, S.; Močnik, G.; Drinovec, L.; Ning, Z. Impact of traffic volume and composition on the air quality and pedestrian exposure in urban street canyon. Atmos. Environ. 2014, 98, 260–270. [Google Scholar] [CrossRef]
- Střižík, M.; Zelinger, Z.; Kubát, P.; Civiš, S.; Bestová, I.; Nevrlý, V.; Kadeřábek, P.; Čadil, J.; Berger, P.; Černý, A.; et al. Influence of photochemical processes on traffic-related airborne pollutants in urban street canyon. J. Atmos. Sol.-Terr. Phys. 2016, 147, 1–10. [Google Scholar] [CrossRef]
- Ortolani, C.; Vitale, M. The importance of local scale for assessing, monitoring and predicting of air quality in urban areas. Sustain. Cities Soc. 2016, 26, 150–160. [Google Scholar] [CrossRef]
- Abhijith, K.V.; Kumar, P.; Gallagher, J.; McNabola, A.; Baldauf, R.; Pilla, F.; Broderick, B.; Di Sabatino, S.; Pulvirenti, B. Air pollution abatement performances of green infrastructure in open road and built-up street canyon environments—A review. Atmos. Environ. 2017, 162, 71–86. [Google Scholar] [CrossRef]
- Lee, C. Impacts of urban form on air quality: Emissions on the road and concentrations in the US metropolitan areas. J. Environ. Manag. 2019, 246, 192–202. [Google Scholar] [CrossRef]
- Gulia, S.; Goyal, P.; Goyal, S.K.; Kumar, R. Re-suspension of road dust: Contribution, assessment and control through dust suppressants—A review. Int. J. Environ. Sci. Technol. 2019, 16, 1717–1728. [Google Scholar] [CrossRef]
- Namdeo, A.; Bell, M.C. Characteristics and health implications of fine and coarse particulates at roadside, urban background and rural sites in UK. Environ. Int. 2005, 31, 565–573. [Google Scholar] [CrossRef]
- Kassomenos, P.; Vardoulakis, S.; Chaloulakou, A.; Grivas, G.; Borge, R.; Lumbreras, J. Levels, sources and seasonality of coarse particles (PM 10–PM 2.5) in three European capitals–Implications for particulate pollution control. Atmos. Environ. 2012, 54, 337–347. [Google Scholar] [CrossRef]
- Keuken, M.P.; Jonkers, S.; Zandveld, P.; Voogt, M. Elemental carbon as an indicator for evaluating the impact of traffic measures on air quality and health. Atmos. Environ. 2012, 61, 1–8. [Google Scholar] [CrossRef]
- Cyrys, J.; Eeftens, M.; Heinrich, J.; Ampe, C.; Armengaud, A.; Beelen, R.; Bellander, T.; Beregszászi, T.; Birk, M.; Cesaroni, G.; et al. Variation of NO2 and NOx concentrations between and within 36 European study areas: Results from the ESCAPE study. Atmos. Environ. 2012, 62, 374–390. [Google Scholar] [CrossRef]
- Chart-asa, C.; Gibson, J.M.D. Health impact assessment of traffic-related air pollution at the urban project scale: Influence of variability and uncertainty. Sci. Total Environ. 2015, 506, 409–421. [Google Scholar] [CrossRef] [PubMed]
- Bigazzi, A.Y.; Rouleau, M. Can traffic management strategies improve urban air quality? A review of the evidence. J. Transp. Health 2017, 7, 111–124. [Google Scholar] [CrossRef]
- Berkowicz, R.; Hertel, O.; Larsen, S.E.; Sørensen, N.N.; Nielsen, M. Modeling Traffic Pollution in Streets; Technical Report; National Environmental Research Institute: Roskilde, Denmark, 1997; Available online: https://orbit.dtu.dk/files/128001317/Modeling_traffic_pollution_in_streets.pdf (accessed on 31 December 2019).
- Berkowicz, R. OSPM—A parameterised street pollution model. Environ. Monit. Assess. 2000, 65, 323–331. [Google Scholar] [CrossRef]
- Berkowicz, R.; Ketzel, M.; Jensen, S.S.; Hvidberg, M.; Raaschou-Nielsen, O. Evaluation and application of OSPM for traffic pollution assessment for a large number of street locations. Environ. Model. Softw. 2008, 23, 296–303. [Google Scholar] [CrossRef]
- Vardoulakis, S.; Valiantis, M.; Milner, J.; ApSimon, H. Operational air pollution modeling in the UK—Street canyon applications and challenges. Atmos. Environ. 2007, 41, 4622–4637. [Google Scholar] [CrossRef]
- Elbir, T.; Kara, M.; Bayram, A.; Altiok, H.; Dumanoglu, Y. Comparison of predicted and observed PM10 concentrations in several urban street canyons. Air Qual. Atmos. Health 2011, 4, 121–131. [Google Scholar] [CrossRef]
- Hu, W.; Zhong, Q. Using the OSPM model on pollutant dispersion in an urban street canyon. Adv. Atmos. Sci. 2010, 27, 621–628. [Google Scholar] [CrossRef]
- Kakosimos, K.E.; Hertel, O.; Ketzel, M.; Berkowicz, R. Operational Street Pollution Model (OSPM)—A review of performed application and validation studies, and future prospects. Environ. Chem. 2010, 7, 485–503. [Google Scholar] [CrossRef]
- Ottosen, T.B.; Kakosimos, K.E.; Johansson, C.; Hertel, O.; Brandt, J.; Skov, H.; Berkowicz, R.; Ellermann, T.; Jensen, S.S.; Ketzel, M. Analysis of the impact of inhomogeneous emissions in the Operational Street Pollution Model (OSPM). Geosci. Model Dev. 2015, 8, 3231–3245. [Google Scholar] [CrossRef]
- Rzeszutek, M.; Bogacki, M. Ocena modelu dyspersji zanieczyszczeń powietrza OSPM: Studium przypadku, Polska, Kraków. Ann. Set Environ. Prot. 2016, 18, 351–362. Available online: http://towarzystwo.ros.edu.pl/images/roczniki/2016/No2/26_ROS_N2_V18_R2016.pdf (accessed on 31 December 2019).
- Rzeszutek, M.; Bogacki, M.; Bździuch, P.; Szulecka, A. Improvement assessment of the OSPM model performance by considering the secondary road dust emissions. Transp. Res. D Trans. Environ. 2019, 68, 137–149. [Google Scholar] [CrossRef]
- Mensink, C.; Cosemans, G. From traffic flow simulations to pollutant concentrations in street canyons and backyards. Environ. Model. Softw. 2008, 23, 288–295. [Google Scholar] [CrossRef]
- Lazić, L.; Urošević, M.A.; Mijić, Z.; Vuković, G.; Ilić, L. Traffic contribution to air pollution in urban street canyons: Integrated application of the OSPM, moss biomonitoring and spectral analysis. Atmos. Environ. 2016, 141, 347–360. [Google Scholar] [CrossRef]
- Steinberga, I.; Sustere, L.; Bikse, J.; Bikse, J., Jr.; Kleperis, J. Traffic induced air pollution modeling: Scenario analysis for air quality management in street canyon. Procedia Comput. Sci. 2019, 149, 384–389. [Google Scholar] [CrossRef]
- Méline, J.; Wicherek, S.; Julien-Laferriere, B.; Oudinet, J.P. Assessment of exposure to air pollution from road traffic: Use of air dispersion model CALINE4 at a fine scale in Cracow. Pr. Geogr. 2011, 127, 87–113. Available online: http://cejsh.icm.edu.pl/cejsh/element/bwmeta1.element.ojs-issn-2083-3113-year-2011-issue-127-article-4211 (accessed on 31 December 2019).
- Rzeszutek, M.; Kasietczuk, M.; Bogacki, M. Impact assessment of road transport on air quality in the selected area of Krakow. Logistyka 2014, 4, 4864–4873. [Google Scholar]
- Bogacki, M.; Rzeszutek, M.; Heba, K. Modelowanie dyspersji zanieczyszczeń powietrza w kanionie ulicznym na przykładzie Alei Krasińskiego w Krakowie. JCEEA 2016, 33, 21–38. Available online: http://doi.prz.edu.pl/pl/publ/biis/585 (accessed on 31 December 2019).
- Bogacki, M.; Mazur, M.; Oleniacz, R.; Rzeszutek, M.; Szulecka, A. Re-entrained road dust PM 10 emission from selected streets of Krakow and its impact on air quality. E3S Web Conf. 2018, 28, 01003. [Google Scholar] [CrossRef]
- Bogacki, M.; Oleniacz, R.; Rzeszutek, M.; Szulecka, A.; Mazur, M. The impact of intense street cleaning on particulate matter air concentrations: A case study of a street canyon in Krakow (Poland). E3S Web Conf. 2018, 45, 00009. [Google Scholar] [CrossRef]
- Gorzelnik, T.; Oleniacz, R. Suitability analysis of new air quality monitoring stations in Krakow as related to assessment of spatial and temporal variability of PM 10 concentrations. Geomat. Environ. Eng. 2019, 13, 31–45. [Google Scholar] [CrossRef]
- Ministerstwo Cyfryzacji—Centralna Ewidencja Pojazdów i Kierowców. Available online: http://www.cepik.gov.pl/ (accessed on 30 September 2019).
- Szarata, A.; Kulpa, T.; Kucharski, R.; Pyzik, M.; Drabicki, A.; Siwek, K.; Wójcik, M.; Banet, K. Krakowski Model Ruchu 2014; Politechnika Krakowska, PBS Sp. z o.o., EKKOM Sp. z o.o., International Management Services Sp. z o.o. 2015. (In Polish). Available online: http://knsk.org/2015/01/krakowski-model-ruchu-2014/ (accessed on 30 September 2019).
- EEA. EMEP/EEA Air Pollutant Emission Inventory Guidebook 2016, Part B, Section 1.A.3.b.i-iv, Road Transport; EEA Report No 21/2016; Publications Office of the European Union: Luxembourg, 2018; pp. 1–143. Available online: https://www.eea.europa.eu/publications/emep-eea-guidebook-2016/part-b-sectoral-guidance-chapters/1-energy/1-a-combustion/1-a-3-b-i/view (accessed on 30 September 2019).
- EMISIA, S.A.—EMISIA. Conscious of Transport’s Impact, COPERT. Available online: https://www.emisia.com/utilities/copert/ (accessed on 31 December 2018).
- Research and Statistical Education Centre (GUS). Development of the Methodology and Estimation of the External Costs of Air Pollution Emitted from Road Transport at National Level; Final report; GUS: Szczecin, Poland, 2018. Available online: https://stat.gov.pl/statystyki-eksperymentalne/uslugi-publiczne/ (accessed on 30 September 2019).
- USA EPA. AP-42, Compilation of Air Pollutant Emission Factors, 5th ed.; Chapter 13, Section 13.2.1, Paved Roads; Office of Air Quality Planning and Standards: Research Triangle Park, NC, USA, 2011; Volume I, pp. 1–15. Available online: https://www3.epa.gov/ttn/chief/ap42/ch13/final/c13s0201.pdf (accessed on 30 September 2019).
- USA EPA. Emission Factor Documentation for AP-42, Section 13.2.1, Paved Roads; Office of Air Quality Planning and Standards: Research Triangle Park, NC, USA, 2011; pp. 4–54. Available online: https://www3.epa.gov/ttn/chief/ap42/ch13/bgdocs/b13s0201.pdf (accessed on 30 September 2019).
- Midwest Research Institute (MRI). Background Document for Revisions to Fine Fraction Ratios Used for AP-42 Fugitive Dust Emission Factors; Tech. Rep. MRI Project No. 110397; MRI: Denver, CO, USA, 2006; pp. 1–15. Available online: https://www3.epa.gov/ttnchie1/ap42/ch13/bgdocs/b13s02.pdf (accessed on 30 September 2019).
- Kumar, P.; Ketzel, M.; Vardoulakis, S.; Pirjola, L.; Britter, R. Dynamics and dispersion modeling of nanoparticles from road traffic in the urban atmospheric environment—A review. J. Aerosol Sci. 2011, 42, 580–603. [Google Scholar] [CrossRef]
- Fan, S.; Tian, G.; Li, G.; Huang, Y.; Qin, J.; Cheng, S. Road fugitive dust emission characteristics in Beijing during Olympics Game 2008 in Beijing, China. Atmos. Environ. 2009, 43, 6003–6010. [Google Scholar] [CrossRef]
- Mancilla, Y.; Mendoza, A. A tunnel study to characterize PM2.5 emissions from gasoline-powered vehicles in Monterrey, Mexico. Atmos. Environ. 2012, 59, 449–460. [Google Scholar] [CrossRef]
- Dane Meteo—System Prezentacji Pogody—AGH. Available online: http://meteo.ftj.agh.edu.pl (accessed on 30 September 2019). (In Polish).
- Hoffmann, L.; Günther, G.; Li, D.; Stein, O.; Wu, X.; Griessbach, S.; Heng, Y.; Konopka, P.; Müller, R.; Vogel, B.; et al. From ERA-Interim to ERA5: The considerable impact of ECMWF’s next-generation reanalysis on Lagrangian transport simulations. Atmos. Chem. Phys. 2019, 19, 3097–3214. [Google Scholar] [CrossRef]
- Patra, A.; Colvile, R.; Arnold, S.; Bowen, E.; Shallcross, D.; Martin, D.; Price, C.; Tated, J.; ApSimon, H.; Robins, A. On street observations of particulate matter movement and dispersion due to traffic on an urban road. Atmos. Environ. 2008, 42, 3911–3926. [Google Scholar] [CrossRef]
- Oleniacz, R.; Bogacki, M.; Szulecka, A.; Rzeszutek, M.; Mazur, M. Assessing the impact of wind speed and mixing-layer height on air quality in Krakow (Poland) in the years 2014–2015. JCEEA 2016, 33, 315–342. [Google Scholar] [CrossRef]
- Szulecka, A.; Oleniacz, R.; Rzeszutek, M. Functionality of openair package in air pollution assessment and modeling—A case study of Krakow. Environ. Prot. Nat. Resour. 2017, 28, 22–27. [Google Scholar] [CrossRef]
- Volná, V.; Hladký, D. Detailed assessment of the efects of meteorological conditions on PM10 concentrations in the northeastern part of the Czech Republic. Atmosphere 2020, 11, 497. [Google Scholar] [CrossRef]
- Rogula-Kozłowska, W. Chemical composition and mass closure of ambient particulate matter at a crossroads and a highway in Katowice, Poland. Environ. Prot. Eng. 2015, 41. [Google Scholar] [CrossRef]
- Sówka, I.; Chlebowska-Styś, A.; Pachurka, L.; Rogula-Kozłowska, W.; Mathews, B. Analysis of particulate matter concentration variability and origin in selected urban areas in Poland. Sustainability 2019, 11, 5735. [Google Scholar] [CrossRef]
- Rybak, J.; Wróbel, M.; Stefan Bihałowicz, J.; Rogula-Kozłowska, W. Selected metals in urban road dust: Upper and Lower Silesia case study. Atmosphere 2020, 11, 290. [Google Scholar] [CrossRef]








| Substance | Number of Observations N | Average Concentration (µg/m3) | Standard Deviation (µg/m3) | Standard Error of the Mean (µg/m3) | Confidence Interval (µg/m3) |
|---|---|---|---|---|---|
| PM10 | 8542 | 38.56 | 44.05 | 0.48 | 0.93 |
| PM2.5 | 8268 | 27.30 | 35.91 | 0.39 | 0.77 |
| NO2 | 8688 | 30.73 | 19.81 | 0.21 | 0.42 |
| NOx | 8696 | 64.52 | 77.61 | 0.83 | 1.63 |
| O3 | 8514 | 38.08 | 31.04 | 0.34 | 0.66 |
| Averaging Period | Unit | Variant | |||
|---|---|---|---|---|---|
| v0 | v1 | v2 | v3 | ||
| Year | veh/year | 19,489,432 | 16,543,948 | 16,543,980 | 10,753,984 |
| veh/day | 53,396 | 45,326 | 45,326 | 29,463 | |
| veh/h | 2225 | 1889 | 1889 | 1228 | |
| Workdays | veh/year | 14,352,027 | 12,132,780 | 12,132,812 | 7,919,239 |
| veh/day | 55,200 | 46,665 | 46,665 | 30,459 | |
| veh/h | 2300 | 1944 | 1944 | 1269 | |
| Weekends | veh/year | 5,137,405 | 4,411,168 | 4,411,168 | 2,834,745 |
| veh/day | 48,928 | 42,011 | 42,011 | 26,998 | |
| veh/h | 2039 | 1750 | 1750 | 1125 | |
| Variant | PM10 Emission (g/(km·h)) | PM2.5 Emission (g/(km·h)) | NOx Emission (g/(km·h)) | ||||||
|---|---|---|---|---|---|---|---|---|---|
| VE 1 | SE 2 | TE 3 | VE 1 | SE 2 | TE 3 | NO | NO2 | NOx 4 | |
| v0 | 119.83 | 83.98 | 203.81 | 86.64 | 33.86 | 120.50 | 1249.46 | 281.61 | 2197.45 |
| v1 | 104.12 | 71.05 | 175.17 | 75.67 | 28.65 | 104.32 | 1112.81 | 252.71 | 1959.02 |
| v2 | 104.58 | 71.05 | 175.63 | 76.07 | 28.65 | 104.72 | 1122.03 | 255.08 | 1975.53 |
| v3 | 65.48 | 46.34 | 111.82 | 45.51 | 18.69 | 64.20 | 691.99 | 205.69 | 1266.75 |
| Variant | Average PM10 Concentration Resulting from Denoted Emission Source (µg/m3) | Share in Total PM10 Concentration (%) | |||||||
|---|---|---|---|---|---|---|---|---|---|
| VE 1 | SE 2 | TE 3 | BKG 4 | TE + BKG | VE 1 | SE 2 | TE 3 | BKG 4 | |
| v0 | 7.10 | 5.14 | 12.24 | 38.56 | 50.80 | 14.0 | 10.1 | 24.1 | 75.9 |
| v1 | 6.69 | 4.73 | 11.42 | 38.56 | 49.98 | 13.4 | 9.5 | 22.8 | 77.2 |
| v2 | 6.76 | 4.75 | 11.51 | 38.56 | 50.07 | 13.5 | 9.5 | 23.0 | 77.0 |
| v3 | 4.35 | 3.19 | 7.54 | 38.56 | 46.10 | 9.4 | 6.9 | 16.4 | 83.6 |
| Variant | Average PM2.5 Concentration Resulting from Denoted Emission Source (µg/m3) | Share in Total PM2.5 Concentration (%) | |||||||
|---|---|---|---|---|---|---|---|---|---|
| VE 1 | SE 2 | TE 3 | BKG 4 | TE + BKG | VE 1 | SE 2 | TE 3 | BKG 4 | |
| v0 | 5.13 | 2.05 | 7.18 | 27.30 | 34.48 | 14.9 | 5.9 | 20.8 | 79.2 |
| v1 | 4.85 | 1.88 | 6.73 | 27.30 | 34.03 | 14.2 | 5.5 | 19.8 | 80.2 |
| v2 | 4.90 | 1.89 | 6.79 | 27.30 | 34.09 | 14.4 | 5.6 | 19.9 | 80.1 |
| v3 | 3.02 | 1.27 | 4.29 | 27.30 | 31.59 | 9.5 | 4.0 | 13.6 | 86.4 |
| Variant | Average Concentration Resulting from Denoted Emission Source (µg/m3) | ||||||||
|---|---|---|---|---|---|---|---|---|---|
| NO | NO2 | NOx | |||||||
| TE 1 | BKG 2 | TE + BKG | TE 1 | BKG 2 | TE + BKG | TE 1 | BKG 2 | TE + BKG | |
| v0 | 73.51 | 22.04 | 95.55 | 16.80 | 30.73 | 47.53 | 129.52 | 64.52 | 194.04 |
| v1 | 70.60 | 22.04 | 92.64 | 16.69 | 30.73 | 47.42 | 124.94 | 64.52 | 189.46 |
| v2 | 71.63 | 22.04 | 93.67 | 16.79 | 30.73 | 47.52 | 126.63 | 64.52 | 191.15 |
| v3 | 45.47 | 22.04 | 67.51 | 13.53 | 30.73 | 44.26 | 83.25 | 64.52 | 147.77 |
| Variant | Share of Denoted Emission Sources in Total Concentration Resulting from Emission in the Canyon Magnified by the Background Level (%) | |||||
|---|---|---|---|---|---|---|
| NO | NO2 | NOx | ||||
| TE 1 | BKG 2 | TE 1 | BKG 2 | TE 1 | BKG 2 | |
| v0 | 76.9 | 23.1 | 35.3 | 64.7 | 66.7 | 33.3 |
| v1 | 76.2 | 23.8 | 35.2 | 64.8 | 65.9 | 34.1 |
| v2 | 76.5 | 23.5 | 35.3 | 64.7 | 66.2 | 33.8 |
| v3 | 67.4 | 32.6 | 30.6 | 69.4 | 56.3 | 43.7 |
© 2020 by the authors. Licensee MDPI, Basel, Switzerland. This article is an open access article distributed under the terms and conditions of the Creative Commons Attribution (CC BY) license (http://creativecommons.org/licenses/by/4.0/).
Share and Cite
Bogacki, M.; Oleniacz, R.; Rzeszutek, M.; Bździuch, P.; Szulecka, A.; Gorzelnik, T. Assessing the Impact of Road Traffic Reorganization on Air Quality: A Street Canyon Case Study. Atmosphere 2020, 11, 695. https://doi.org/10.3390/atmos11070695
Bogacki M, Oleniacz R, Rzeszutek M, Bździuch P, Szulecka A, Gorzelnik T. Assessing the Impact of Road Traffic Reorganization on Air Quality: A Street Canyon Case Study. Atmosphere. 2020; 11(7):695. https://doi.org/10.3390/atmos11070695
Chicago/Turabian StyleBogacki, Marek, Robert Oleniacz, Mateusz Rzeszutek, Paulina Bździuch, Adriana Szulecka, and Tomasz Gorzelnik. 2020. "Assessing the Impact of Road Traffic Reorganization on Air Quality: A Street Canyon Case Study" Atmosphere 11, no. 7: 695. https://doi.org/10.3390/atmos11070695
APA StyleBogacki, M., Oleniacz, R., Rzeszutek, M., Bździuch, P., Szulecka, A., & Gorzelnik, T. (2020). Assessing the Impact of Road Traffic Reorganization on Air Quality: A Street Canyon Case Study. Atmosphere, 11(7), 695. https://doi.org/10.3390/atmos11070695

