Next Article in Journal
Role of Horizontal Eddy Diffusivity within the Canopy on Fire Spread
Next Article in Special Issue
Dependence of Mass–Dimensional Relationships on Median Mass Diameter
Previous Article in Journal
Robust Decadal Hydroclimate Predictions for Northern Italy Based on a Twofold Statistical Approach
Previous Article in Special Issue
Evaluation of the Microphysical Assumptions within GPM-DPR Using Ground-Based Observations of Rain and Snow
 
 
Font Type:
Arial Georgia Verdana
Font Size:
Aa Aa Aa
Line Spacing:
Column Width:
Background:
Article

Characteristics of DSD Bulk Parameters: Implication for Radar Rain Retrieval

1
Goddard Earth Science Technology & Research, Morgan State University, Baltimore, MD 21251, USA
2
NASA Goddard Space Flight Center, Greenbelt, MD 20771, USA
3
Earth System Science Interdisciplinary Center, University of Maryland College Park, College Park, MD 20742, USA
4
Joint Center for Earth Systems Technology, University of Maryland Baltimore County, Baltimore, MD 21250, USA
*
Author to whom correspondence should be addressed.
Atmosphere 2020, 11(6), 670; https://doi.org/10.3390/atmos11060670
Submission received: 30 April 2020 / Revised: 22 June 2020 / Accepted: 23 June 2020 / Published: 25 June 2020

Abstract

With the use of 213,456 one-minute measured data of droplet-size distribution (DSD) of rain collected during several National Aeronautics and Space Administration (NASA)-sponsored field campaigns, the relationships between rainfall rate R, mass-weighted diameter Dm and normalized intercept parameter Nw of the gamma DSD are studied. It is found, based on the simulations of the gamma DSD model, that R, Dm and Nw are closely interrelated, and that the ratio of R to Nw is solely a function of Dm, independent of the shape factor μ of the gamma distribution. Furthermore, the model-produced ratio agrees well with those from the DSD data. When a power-law equation is applied to fit the model data, we have: R = aN w D m b , where a = 1.588 × 10 4 , b = 4.706 . Analysis of two-parameter relationships such as R–Dm, Nw–R and Nw–Dm reveals that R and Dm are moderately correlated while Nw and Dm are negatively correlated. Nw and R, however, are uncorrelated. The gamma DSD model also reveals that variation of R–Dm relation is caused primarily by Nw. For the application of the Ku- and Ka-band dual-frequency radar for the retrieval of the DSD bulk parameters as well as the specific radar attenuations, the study is carried out to relate the dual-frequency radar reflectivity factors to the DSD and attenuation parameters.

1. Introduction

Observations of rain-drop size distributions (DSD) have been carried out for more than seven decades evolving from early use of rather primitive tools to the deployment nowadays of sophisticated advanced disdrometers. The Autonomous Particle-Size-Velocity (PARSIVEL) Unit (APU) and Two-Dimensional Video Disdrometer (2DVD) are perhaps the most popular instruments that provide measurements of particle size spectra and velocities of falling hydrometeors. Knowledge of the DSD and its bulk or integral parameters is important not only in the understanding of precipitation microphysics and improvements in the microphysical parameterization in modeling studies [1] but also in development of active and passive satellite-based microwave sensor rainfall estimation [2,3,4,5,6,7,8,9,10,11,12].
Many studies indicate that the DSD varies not only with rain intensity but also with rain type, climate regime, and diurnal and seasonal changes [13,14,15]. To effectively account for the changes in the DSD, a three-parameter gamma model has widely been used to represent actual raindrop size spectra for radar retrieval of rain microphysical and bulk properties [16,17,18,19,20]. For instance, both the Tropical Rainfall Measuring Mission (TRMM) Precipitation Radar (PR) and the Global Precipitation Measurement (GPM) [21,22] Dual-frequency Precipitation Radar (DPR) algorithms have adopted the gamma DSD model with a fixed shape factor (μ). This assumption enables the unknown parameter of the DSD to be expressed in terms of a normalized intercept parameter Nw and a mass-weighted diameter Dm. Although Nw and Dm are the characteristic parameters of the gamma DSD, they are the physical parameters that can be derived by integrating measured size spectra without use of the DSD parameterization model. Analysis of statistical characteristics of rainfall rate R, Dm and Nw obtained from the DSD measurement data are helpful to establish their interrelationships, which, in turn, serve as constraints in radar applications for rain and DSD estimation.
One of our objectives in this study is to use a large amount of the DSD measurements collected during the National Aeronautics and Space Administration (NASA)-sponsored field campaigns to explore how well R, Dm and Nw are statistically related. To check validity of the DSD parameterization and also to characterize the relationships between these bulk parameters, the gamma DSD model is incorporated into the measured DSD data. For the application of the Ku- and Ka-band dual-frequency radar for the retrieval of the DSD bulk parameters as well as the specific radar attenuations, the study will be extended to techniques for the estimation of these parameters by linking them to the dual-frequency radar reflectivity factors, specifically in terms of the Ku-band radar reflectivity and differential frequency ratio, which is defined as the difference of radar reflectivities between two frequencies. While our emphasis is on the utility of the dual-frequency technique, the uncertainties associated with the double solutions of the retrieval for light-to-moderate rain will also be analyzed.
This paper is organized as follows. A description of the DSD data as well as some basic equations to compute the DSD bulk parameters from the measured size spectra are provided in Section 2. In Section 3, formulation of the three-parameter gamma distribution in terms of Nw, Dm and µ is described, and the relationships between the bulk parameters of R, Dm and Nw are investigated, while the R–Dm, Nw–R and Nw–Dm relationships are explored in Section 4 by using both the DSD data and the model simulations. Estimations of the bulk parameters from the Ku- and Ka-band dual-frequency radar are prescribed in Section 5 followed by the summary in Section 6.

2. Droplet-Size Distribution (DSD) Measurement Data

The DSD spectra used in this study were measured by the PARSIVEL2 disdrometers, and the data were collected during the Mid-latitude Continental Convective Clouds Experiment (MC3E) from 22 April–6 June 2011 near Lamont, Oklahoma, the Iowa Flood Studies (IFloodS) field experiment in eastern Iowa from 1 May to 15 June 2013, and the measurements from May 2013 to February 2014 at the NASA Wallops Flight Facility, located in Wallops Island, Virginia. The PARSIVEL disdrometers measure particle size spectra and fall-velocities of particle diameters from 0.3 to 20 mm with 32 size bins with higher resolutions for the sizes up to 10 mm and coarser spacing for sizes over 10 mm. Out of these measurements, 94,686, 80,104 and 38,675 1-min OTT PARSIVEL2 data are selected from MC3E, IFloodS and Wallops, respectively, based on that the rain rates inferred from disdrometer data agree within 15% with those from co-located rain tipping bucket gauges. Quality control is also made to exclude non-rain precipitating hydrometeors. The particles are eliminated from rainy hydrometeors if their measured fall velocities exceed ±50% of the theoretical values. OTT PARSIVEL2 is an upgrade version of PARSIVEL with its improvement documented by Tokay et al. [23]. The DSD measurements collected at 10 s intervals are averaged over one minute, and all rain events from a given disdrometer are merged into one file. By definition, Dm is computed from measured DSD, denoted by Nm(D) in mm−1m−3, where D is the raindrop diameter in mm, by:
D m = D min D max D 4 N m ( D ) dD D min D max D 3 N m ( D ) dD   ,
where Dmin and Dmax are the minimum and maximum diameters, respectively. Similarly, rainfall rate (R) in mm/h is obtained by following equation:
R = 6 π × 10 4 D min D max N m ( D ) D 3 V m ( D ) dD ,
where Vm(D) in m/s is measured fall velocity of raindrop at a diameter of D.
As an example, Figure 1 shows a segment of DSD data versus time taken from one of the PARSIVEL disdrometers over 250 min. The image of Nm(D) is given in the top panel with respect to D along the ordinate and time (minute) along the abscissa. R and Dm computed from Nm(D) are given in the 2nd and 3rd panels, respectively, for the same time period. In addition, the normalized intercept parameter, Nw in mm−1m−3, of the DSD, when the DSD is parameterized as a gamma distribution, is also provided in the bottom panel. The definition of Nw will be detailed in Section 3. To illustrate frequency of occurrence in the data, Figure 2 provides the probability density functions (PDF) of R (top-left), liquid water content (LWC in g/cm3) (top-right), Dm (bottom-left) and Nw (bottom-right) from the entire datasets collected from the disdrometers that have 213,465 one-minute DSD spectra in total. As clearly shown in Figure 2, the PDFs of logarithms of Dm and Nw closely follow the Gaussian distributions with their means of 1.13 mm and 7.57 × 103 mm−1m−3, respectively, while the PDFs of logarithms of R and LWC appear asymmetrical to their respective means of 2.12 mm/h and 0.11 g/m3. Additionally, the standard deviations of R, LWC, Dm and Nw are 7.73 mm/h, 0.30 g/m3, 0.58 mm and 1.52 × 104 mm−1m−3, respectively.

3. The Gamma DSD Model

The gamma distribution has been widely used to represent rain-drop size distribution N(D) (mm−1m−3) as a function of raindrop diameter D (mm). Its general form is given by:
N ( D ) = N 0 D μ exp ( Λ D )   ,
where N0 is the intercept parameter, µ is the shape factor, and Λ is the slope parameter expressed as:
Λ = ( 4 + μ ) D m .
Dm is the mass-weighted mean diameter given by:
D m = M 4 M 3   ,
where M3 and M4 are the 3rd and 4th moments of N(D), respectively. The ith moment of DSD is defined by:
M i = 0 D i N ( D ) dD .
Substituting N(D) of Equation (6) with Equation (3) and using the gamma function, we obtain:
M i = N 0 Γ ( i + μ + 1 ) Λ i + μ + 1   .
The liquid water content (LWC) in g/m3 is:
LWC = π 6 × 10 3 0 N 0 D μ exp ( Λ D )   D 3 dD = π 6 × 10 3 M 3 = π 6 × 10 3 N 0 Γ ( 4 + μ ) Λ 4 + μ   .
Note that water mass density with its value of 1 g/cm3 is suppressed in Equation (8). From Equation (8), N0 is:
N 0 = 6 π × 10 3 LWC Λ 4 + μ Γ ( 4 + μ )   .
Inserting N0 of Equation (9) into Equation (3) and then re-organizing it using Equation (4), we arrive at:
N ( D ) = ( 4 4 π × 10 3 LWC D m 4 ) ( 6 ( 4 + μ ) 4 + μ 4 4 Γ ( 4 + μ ) ) ( D D m ) μ exp ( Λ D ) .
Let
N w = 4 4 π × 10 3 LWC D m 4   ,
f ( μ ) = 6 ( 4 + μ ) μ + 4 4 4 Γ ( μ + 4 )   ,
Equation (10) becomes
N ( D ) = N w f ( μ ) ( D D m ) μ exp ( Λ D ) .
Nw is in units of mm−1m−3, and often called as the DSD normalized intercept parameter while f(µ) is unitless. The form of the gamma distribution expressed in Equation (13) is widely used in rain and snow precipitation retrieval [7,9,16,17,18,19,24]. From Equation (13), the rainfall rate is given by:
R = 6 π × 10 4 0 N w f ( μ ) ( D D m ) μ exp ( Λ D ) D 3 V ( D ) dD ,  
where V(D) is raindrop fall velocity (m/s) and is expressed as a function of the raindrop diameter proposed by Lhermitte [25]:
V ( D ) = 9.25 [ 1 exp ( 0.068 D 2 0.488 D ) ] .
It is important to note that R, LWC, Dm and Nw are the bulk parameters that can be derived directly from DSD data without assuming a DSD model. Equation (11) yields an analytical relationship among the quantities LWC, Dm and Nw, from which it follows that from any two DSD bulk parameters LWC, Dm and Nw, the third is determined uniquely. To explore the possibility of a similar relationship among R, Dm and Nw, two approaches are investigated. One is based on the DSD-based regression from which a power-law fit is performed between the R/Nw and Dm data that are derived directly from the measured DSD. The second approach is to compute the same quantities from the DSD gamma model. Shown in Figure 3 are the DSD-based and model-based results, i.e., the ratios of R to Nw as a function of Dm. The model results are given by various line-style blue curves computed at µ values of 0, 3, 6 and 10 while the red filled-circles are those derived from the measured DSD (213,465 1-min DSD spectra). It is not difficult to find that the model results are nearly independent of µ as demonstrated by the fact that the curves are indistinguishable for different µ values. These results, however, almost perfectly coincide with those from the DSD measurements that show little variation in log-log space. The power-law regression is applied to the gamma DSD model data for µ values assumed from 0 to 10. This gives:
R = aN w D m b  
where
a = 1.588 × 10 4 ,   b = 4.706
From above equation, we have
D m = ( R aN w ) 1 b
N w = 1 a RD m b
To check the validity and accuracy of Equations (16)–(18), used to reproduce R, Dm and Nw, we employ the aforementioned DSD data and compare the estimates of R, Dm and Nw to the same quantities derived directly from the DSD data. For example, R, as estimated from (16) with inputs of the DSD-derived Dm and Nw, is compared against the value obtained directly from the corresponding measured DSD spectrum. For simplicity, the quantities obtained from the DSD data are referred to as truth or true values while those that are derived from Equations (16)–(18) are referred to as the estimates. Provided in Figure 4 are the scatter plots of the estimates of R (left), Dm (middle) and Nw (right) versus their respective true values. Not surprisingly, the comparisons made in Figure 4 reveal excellent agreement between the estimates and truth, evidenced by the fact that there are nearly perfect correlations (that round to 1.00) and small rms (root mean square) errors (0.99 mm/h in R and 0.03 mm in Dm) despite the rms error in Nw (926 mm−1m−3), which, however, is still fractionally small in view of its large dynamic range and mean value of 7.6 × 103 mm−1m−3. It is worth reiterating that the Equations (16)–(18) are based on the gamma DSD model with μ ranging from 0 to 10 rather than the measured DSD data, and are therefore independent of the measured DSD data that vary seasonally as well as geographically. Agreement between the estimates and their true values indicate that Dm and Nw can be used to characterize R with sufficient accuracy.

4. Rainfall Rate–Mass-Weighted Diameter (R–Dm), Normalized Intercept Parameter (Nw)–R and Nw–Dm Relations

Figure 3 suggests that three variables of R, Dm and Nw are closely related, and their relations are given by Equations (16–18). However, in many situations of rain retrieval, the radar equations are often under constrained, which means that there are more unknown variables than the number of equations as a result of limited independent radar measurements. As such, the constraints among the DSD parameters as in Equations (16–18) need to be relaxed to some extent to make the retrieval solutions robust and achievable. One important example of this situation is the GPM DPR operational algorithm that takes on a nominal R–Dm relation along the radar profile and then applies an adjustable parameter ε to modify the R–Dm relation to minimize the cost function [9,26]. This cost function depends on several factors, one of which is minimizing the difference of independently measured path attenuations between Ku- and Ka-band. Other factors are the mean and standard deviation of the Gaussian distribution of ε as well as the rms difference between the simulated and measured Ka-band reflectivities. To exploit the R–Dm, Nw–R and Nw–Dm relationships and also explore their correlations, the DSD data are employed. Figure 5 illustrates the two-dimensional PDFs of Nw–R (Figure 5a), Nw–Dm (Figure 5b) and R–Dm (Figure 5c) as well as their corresponding scatter plots of Nw–R (Figure 5d), Nw–Dm (Figure 5e) and R–Dm (Figure 5f). The pixel colors of the bottom panel show the mean values of Dm (Figure 5d), logarithms of R (Figure 5e) and Nw (Figure 5f) in the planes of Nw–R, Nw–Dm and R–Dm, respectively. The theoretical model computations from the gamma DSD with a fixed µ of 3 are also superimposed on the plots. As shown in Figure 5, the correlation between Nw and R is −0.03, indicating that they are nearly uncorrelated. The correlations of Nw–Dm and R–Dm are −0.32 and 0.44, respectively. These results indicate that a large amount of uncertainty would occur in estimating R from Nw alone, but this uncertainty will be reduced if Dm is used instead. Also, there exists a certain degree of error in inferring Nw from Dm without knowing R. The colored scatter plots of Figure 5 in fact reveal how the two-parameter relations are a function of the third one. In the logarithmic scale of Nw and R the data points with constant Dm lie along ~45° straight lines and move toward the bottom-right direction as Dm increases. Likewise, the contours of R in Nw–Dm and Nw in R–Dm are straight lines and parallel to one another which are plotted in logarithmic scales. The image pattern that changes slowly with Dm and spans vast area along the direction perpendicular to constant Dm lines, as shown in the Nw–R plane (Figure 5d), reveals large variation in the Nw–R relation, indicating a strong dependence of the Nm–R relation on Dm. On the other hand, the relatively small variations shown in the images of Nw–Dm (Figure 5e) and R–Dm (Figure 5f) imply relatively weak dependencies of Nw–Dm on R and R–Dm on Nw.
Figure 6 displays the power-law fittings of Nw–Dm (left) and R–Dm (right) to the data along with the DSD model results. The solid lines are the results that are statistically fitted to the data by using the method of least-squares, and the dotted lines are those with the exponents fixed at the values found in Equations (16) and (18), i.e., −4.706 for the Nw–Dm relation and 4.706 for the R–Dm relation, with which the scale factors are fitted to the data. The fitting curves using the DSD model-derived exponents are denoted by ‘model’ in the plots. For comparison, the DPR-default R–Dm relations are also provided, in which the notations of ‘DPR-s’ and ‘DPR-c’ represent the cases of stratiform and convective rain, respectively. The resultant fitting coefficients are summarized in Table 1. Because of large variations in the data between Nw and Dm as well as R and Dm, as reflected by their moderate correlations shown in Figure 5, the regressions to these data depend on the methods selected and physical models applied. The model-based regressions, though they differ from the data fittings, represent fairly well the Nw–Dm and R–Dm relations judging by their consistency with the PDFs. It is worth reiterating that R and Nw are constant along the model-based Nw–Dm and R–Dm fitting curves, respectively. The R–Dm relation based on the DSD model agrees better with the nominal R–Dm relations adopted by the DPR standard algorithm than the relation that is obtained by fitting directly to the data.

5. DSD Bulk Parameters Linked to Ku- and Ka-band Radar Parameters

As discussed above, the DSD bulk parameters R, Dm and Nw are closely interrelated. These parameters are of importance for precipitation modelling and weather prediction studies. The relation between radar parameters and these DSD bulk parameters comprises a basis for radar rain retrieval. Although the purpose of our study is to explore applications to the Ku- and Ka-band dual-frequency radar, development of the full radar algorithm for the retrieval of rain profiles is beyond the goal of this paper. To establish the statistical characteristics of relationships between the DSD and dual-frequency radar parameters, such as Ku- and Ka-band radar reflectivity factors, the radar reflectivities are simulated by prescribing raindrops as oblate spheroids whose axis ratios yield the shape–size relations described by Thurai et al. [27]. The T-matrix method [28] is applied to obtain the scattering properties of single particles assuming a nadir-viewing radar and taking the major axes of raindrops to be in the horizontal plane. It should be noted that the raindrop diameter throughout the paper actually refers to an oblate drop with a volume-equivalent diameter D. Because of the fact that the Ku- and Ka-band radar signals are attenuated by raindrops while propagating through rain, attenuation corrections to the measured reflectivities are needed before the DSD retrieval. Specific attenuations (dB/km), denoted by kKu and kKa at Ku- and Ka-band, respectively, are the parameters that are used to account for the attenuation along the propagation path to the range gate at which the retrieval occurs. In addition to R, Dm and Nw, the estimates of kKu and kKa are crucial for development of radar profiling algorithms. Conventionally, the specific attenuation is fitted to measured DSD in terms of reflectivity factor, such as kKu–ZKu and kKa–ZKa relations. These relations have been widely used for single-frequency radar retrieval [5,29,30]. However, kKu and kKa could be better estimated if both the Ku- and Ka-band reflectivities were used. In dual-frequency radar applications, one of the most important parameters is the dual-frequency ratio (DFR), which is defined as
DFR = 10 log 10 ( Z Ku Z Ka )   ,  
where ZKu and ZKa are the radar reflectivity factors at the Ku- and Ka-band, expressed by
Z λ = λ 4 π 5 | K w | 2 0 N ( D ) σ b ( D , λ ) dD ,  
where λ is wavelength, referring to either Ku- or Ka-band, and σb(D,λ) is the backscattering cross section of a particle with diameter of D. By convention, |Kw|2 is taken to be 0.93 for liquid water. DFR has many applications ranging from snow and rain retrievals to hydrometeor phase identification [2,24,31,32].
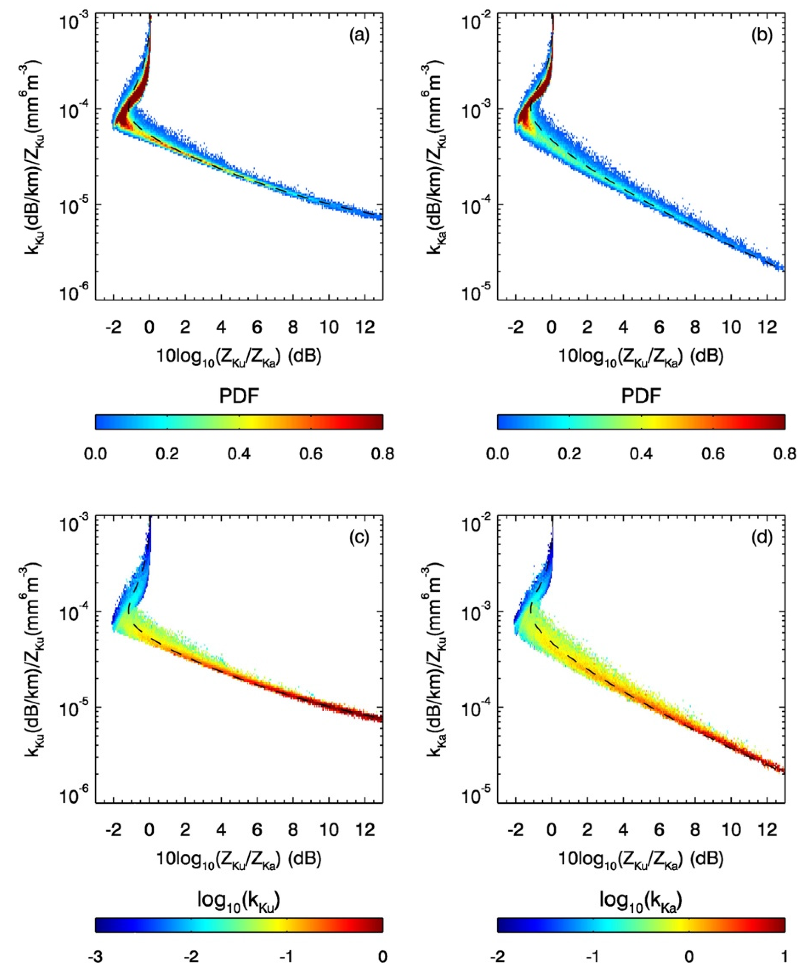
For the gamma DSD model given in Equation (13), DFR is independent of the Nw, and therefore Dm is directly related to DFR for a given μ. Other parameters like R, Nw, kKu and kKa, however, are a function of not only DFR but also ZKu or ZKa. To link these parameters to the DFR and ZKu, the R, Nw, kKu and kKa are first normalized by ZKu, and then these normalized parameters are related to DFR. The top panel of Figure 7 provides the PDFs of the data obtained from the measured DSD in the planes of R/ZKu–DFR (Figure 7a), Dm–DFR (Figure 7b) and Nw/ZKu–DFR (Figure 7c). Similar plots are made in the bottom panel of Figure 7. Instead of the PDFs, the bin-averaged R on logarithmic scale in the R/ZKu–DFR (Figure 7d) and Dm–DFR (Figure 7e) planes as well as logarithmic Nw in the Nw/ZKu–DFR (Figure 7f) plane are plotted. The PDFs reveal two-dimensional distributions of occurrence frequencies of the data in the planes comprising DSD and radar parameters while the images of the lower panel reflect changes in R and Nw. For example, in the PDF of R/ZKu vs. DFR (Figure 7a) most of the DSD data are clustered in the region where DFR values are small, and the rain rates of these data increase with DFR as shown in the bottom-left image. The plots show that there exist two values of the normalized DSD parameters for a given DFR in the regions where DFR is less than 0, which typically correspond to light-to-moderate rain with averaged Dm less than 1 mm and Nw greater than 103 mm−1m−3. Beyond these regions, however, good correspondences are found between the DSD parameters of R, Dm and Nw and the radar parameters of ZKu and DFR. This actually offers a means to infer the DSD parameters from the radar measurements. In particular, R can be estimated by, first, deriving R/ZKu from DFR and then multiplying the result by ZKu. The same procedure can be applied to estimate Nw. Dm, on the other hand, is directly obtained from DFR. For reference, the computational results from the gamma DSD model with a fixed μ of 3 (black dashed lines) are also plotted in Figure 7. The gamma model appears to be a reasonably good approximation (dashed lines) from the perspective of the Ku- and Ka-band retrieval.
The issue of double solutions when DFR < 0 inevitably leads to large ambiguities in the DSD retrieval. The small, negative values of DFR are a consequence of the fact that the Ku- and Ka-band reflectivities are nearly identical for the case of light rain which is composed primarily of small raindrops. In these cases, Rayleigh scattering, where the backscattering cross section is proportional to the 6th power of particle diameter and independent of radar frequency, dominates at both frequencies. If the Ku- and Ka-band radar falls into the Rayleigh scattering regime, the 2nd frequency measurement basically doesn’t provide additional information. It is worth noting that out of 213,465 1-min DSD spectra employed in this study, nearly half of them are either in the double-solution region or under the Rayleigh scattering. An attempt to mitigate the double-solution impact has recently been studied by Liao and Meneghini [12].
Comparison of the gamma DSD results with those computed directly from the DSD data suggests that there is less uncertainty in the estimates of R than in the estimates of Dm and Nw for the region where DFR > 0 because of the fact that relatively small variability is found in R given a pair of DFR and ZKu values as compared with Dm and Nw. As mentioned earlier, the DSD model results shown in Figure 7 are from the gamma DSD with μ = 3, which is the case for the GPM DPR operational algorithm [33]. The results from the gamma DSD with different μ are also computed (not shown), and reveal that there are only small changes in the estimates of R. This, however, is not the case for either Dm or Nw.
Similar to Figure 7, Figure 8 displays the PDFs (Figure 8a,b) of the ZKu-normalized specific attenuations versus DFR and the bin-averaged specific attenuations (Figure 8c,d) at Ku- (Figure 8a,d) and Ka-band (Figure 8b,d). The results shown in Figure 8 resemble many of the features found in Figure 6, i.e., there are the double-solution regions that are identical to those found in R, Dm and Nw. In the region when DFR > 0, kKu and kKa increase with an increase of DFR, and show relatively small spreads as seen in the PDF plots. Again, the fixed μ = 3 gamma DSD results denoted by black dashed curves, show good approximations to those obtained from the DSD data. While the combination of ZKu and DFR leads to fairly good estimates of kKu and kKa, as in the estimates of R, Dm and Nw, the application to the double-value region still remains a challenge.

6. Summary and Conclusions

With the use of 213,465 one-minute-integration-time DSD measurements collected during the field campaigns at three geographically different sites and also with use of the gamma DSD model, the statistical interrelationships among the DSD bulk parameters of R, Dm and Nw are studied. According to the definition of Nw, there exists an analytical relationship between LWC, Dm and Nw. To explore similar relationships among the variables R, Dm and Nw, a power-law fit is applied to the data of R/Nw and Dm computed from the gamma DSD model with various μ values. It is found that the model-simulated R/Nw vs. Dm results are nearly independent of µ. Furthermore, they conform well with those derived from the DSD data. Like the model results, the measured DSD show very little spread, implying a very strong relationship between R, Dm and Nw. This leads to the conclusion that R can be determined with high accuracy if Dm and Nw are known. A similar conclusion holds for Dm and Nw, i.e., Dm can be derived from R and Nw, and Nw can be obtained from R and Dm with a high degree of accuracy Comparisons among the estimates of R, Dm and Nw from the fitting equations to their respective true values demonstrate that nearly perfect correlations exist between the estimates and the true values with negligibly small rms errors.
Although R, Dm and Nw are closely interrelated and one parameter is accurately expressed as a function of the other two parameters as in Equations (16)–(18), i.e., three-parameter relations, the constraints among these variables sometimes need to be loosened to be consistent with the limited number of radar measurements. In many situations where the radar equations are under constrained, the three-parameter relations of R, Dm and Nw need to be replaced by two-parameter relations. It is then useful to investigate statistical relationships between R and Dm, Nw and R, and Nw and Dm as in previous studies [18,26,34]. It is found from this study that R and Dm are moderately correlated while Nw and Dm are moderately negatively correlated. Nw and R, however, are uncorrelated. Because of the generally weak correlations in these two-parameter relationships (R–Dm, Nw–R and Nw–Dm), the data spread is relatively large, resulting in large errors in the estimates. Large variability in the two-parameter relationships is caused by not taking into account variations in the third parameter. For example, variability of the R–Dm relation is the result of variation in Nw. To improve retrieval accuracy by lessening the uncertainties of the two-parameter relations, additional constraints are sometimes adopted, such as the GPM DPR that is based on adjustable R–Dm relation with which an adjustable parameter ε is fixed throughout the range gates of one profile but varies from profile to profile. It is worthwhile mentioning that adjusting ε in the R–Dm relation would be equivalent to an adjustment of Nw if the exponent of the R–Dm relation is set to the value of 4.706 as derived from the fixed-μ gamma DSD. However, the exponents of the R–Dm relation implemented in the GPM DPR algorithm are 6.131 and 5.420 for stratiform and convective rain, respectively, leading to change of Nw with Dm in a way by which Nw is proportional to D m 1.425 and D m 0.714 for stratiform and convective storms, respectively. Use of adjustable R–Dm relation for the DSD profiling retrieval originates from the concept of the ‘two-scale’ DSD model proposed by Kozu and Nakamura [35] that allows one DSD parameter being constant over a certain space or time domains while another DSD parameter changes dynamically. Employing two-year DSD data in testing rain retrieval, they found that constant drop number concentration NT (the 0th moment of DSD) or constant N0 of (9) seems to be reasonable. Based on our analysis of the gamma DSD-based regression among R, Dm and Nw, constant Nw of the ‘two-scale’ model is perhaps another practical choice. Further study is required to examine the sensitivity of the DSD estimates to the choice of constant DSD parameters or different exponents of the R–Dm relation toward understanding and improvement of the GPM DPR performance in estimates of DSD parameters.
Our study has also been extended to look into the statistical characterization of relationships between the DSD parameters on one hand and the Ku- and Ka-band dual-frequency radar parameters on the other. To account for rain attenuation, specific attenuations are included. Dm is directly related to DFR. In contrast, R and Nw, as well as kKu and kKa, depend not only on DFR but also on ZKu or ZKa. To relate them to the dual-frequency radar measurements, a ZKu-normalization factor is used so that the ZKu-normalized R, Nw, kKu and kKa, which are obtained from the measured DSD, can be expressed as a function of DFR. The theoretical computations from a fixed μ = 3 gamma DSD model are compared with the DSD-simulated results. Comparisons of the results shows fairly good agreement between the model computations and DSD data. Not surprisingly, there exist double-solution regions where DFR < 0, in which two values of the estimates are detected for a given DFR. Since no independent information is available to aid in selection of the solution, the double solutions lead to ambiguities in the estimates. A few methods attempting to mitigate the double-value issues include use of the modified dual-frequency standard technique [12] and use of the R–Dm relation [9,26]. In the region with DFR > 0, a robust one-to-one relation between DFR and normalized DSD and specific attenuation parameters ensures the soundness of the retrieval. Analysis of the results also indicates that there are smaller uncertainties in the estimates of R than in the estimates of Dm and Nw as a result of the relatively small variability in R as compared with that in Dm and Nw. In addition, the combination of ZKu and DFR leads to fairly good estimates of kKu and kKa if the DFR is positive.

Author Contributions

Methodology, L.L. and R.M.; data and analysis: T.I. and, A.T.; writing―original draft, L.L.; Writing―review & editing, R.M., T.I. and A.T. All authors have read and agreed to the published version of the manuscript.

Funding

This research was funded by NASA’s Precipitation Measurement Mission (PMM) Grant NNH18ZDA001N-PMMST.

Acknowledgments

This work is supported by G.D. Skofronick-Jackson of NASA Headquarters under NASA’s Precipitation Measurement Mission (PMM) Grant NNH18ZDA001N-PMMST. The authors also wish to thank the NASA PMM ground validation team for providing and processing DSD data.

Conflicts of Interest

The authors declare no conflict of interest.

References

  1. Rosenfeld, D.; Ulbrich, C.W. Cloud microphysical properties, processes, and rainfall estimation opportunities. Meteorol. Monogr. 2003, 30, 237–258. [Google Scholar] [CrossRef]
  2. Meneghini, R.; Kozu, T.; Kumagai, H.; Boncyk, W.C. A study of rain estimation methods from space using dual-wavelength radar measurements at near-nadir incidence over ocean. J. Atmos. Oceanic Technol. 1992, 9, 364–382. [Google Scholar] [CrossRef]
  3. Meneghini, R.; Kumagai, H. Characteristics of the vertical profiles of dual-frequency, dual-polarization radar data in stratiform rain. J. Atmos. Oceanic Technol. 1994, 11, 701–711. [Google Scholar] [CrossRef][Green Version]
  4. Meneghini, R.; Kumagai, H.; Wang, J.; Iguchi, T.; Kozu, T. Microphysical retrievals over stratiform rain using measurements from an airborne dual-wavelength radar-radiometer. IEEE Trans. Geosci. Remote Sens. 1997, 29, 690–703. [Google Scholar]
  5. Iguchi, T.; Kozu, T.; Meneghini, R.; Awaka, J.; Okamoto, K. Rain-profiling algorithm for the TRMM precipitation radar. J. Appl. Meteorol. 2000, 39, 2038–2052. [Google Scholar] [CrossRef]
  6. Iguchi, T.; Kozu, T.; Kwiatkowski, J.; Meneghini, R.; Awaka, J.; Okamoto, K.I. Uncertainties in the rain profiling algorithm for the TRMM Precipitation Radar. J. Meteorol. Soc. Jpn. 2009, 87A, 1–30. [Google Scholar] [CrossRef]
  7. Seto, S.; Iguchi, T.; Oki, T. The basic performance of a precipitation retrieval algorithm for the Global Precipitation Measurement mission’s single/dual frequency radar measurements. IEEE Trans. Geosci. Remote Sens. 2013, 51, 5239–5251. [Google Scholar] [CrossRef]
  8. Liao, L.; Meneghini, R.; Tokay, A. Uncertainties of GPM DPR rain estimates caused by DSD parameterizations. J. Appl. Meteorol. Climatol. 2014, 53, 2524–2537. [Google Scholar] [CrossRef]
  9. Seto, S.; Iguchi, T. Intercomparison of attenuation correction methods for the GPM dual-frequency precipitation radar. J. Atmos. Oceanic Technol. 2015, 32, 915–926. [Google Scholar] [CrossRef]
  10. Grecu, M.; Olson, W.S.; Munchak, S.J.; Ringerud, S.; Liao, L.; Haddad, Z.; Kelley, B.L.; McLaughlin, S.F. The GPM combined algorithm. J. Atmos. Oceanic Technol. 2016, 33, 2225–2245. [Google Scholar] [CrossRef]
  11. Liao, L.; Meneghini, R. Physical Evaluation of GPM DPR Single- and Dual-Wavelength Algorithms. J. Atmos. Ocean. Technol. 2019, 36, 883–902. [Google Scholar] [CrossRef]
  12. Liao, L.; Meneghini, R. A Modified Dual-Wavelength Technique for Ku- and Ka-band Radar Rain Retrieval. J. Appl. Meteorol. Climatol. 2019, 58, 3–18. [Google Scholar] [CrossRef]
  13. Tokay, A.; Short, D.A. Evidence from tropical raindrop spectra of the origin of rain from stratiform versus convective clouds. J. Appl. Meteorol. 1996, 35, 355–371. [Google Scholar] [CrossRef]
  14. Kozu, T.; Reddy, K.K.; Mori, S.; Thurai, M.; Ong, J.T.; Rao, D.N. Seasonal and diurnal variations of raindrop size distribution in Asian monsoon region. J. Meteorol. Soc. Jpn. 2006, 84A, 195–209. [Google Scholar] [CrossRef]
  15. Krishna, U.V.M.; Reddy, K.K.; Seela, B.K.; Shirooka, R.; Lin, P.-L.; Pan, C.-J. Raindrop size distribution of easterly and westerly monsoon precipitation observed over Palau islands in the Western Pacific Ocean. Atmos. Res. 2016, 174–175, 41–51. [Google Scholar] [CrossRef]
  16. Gorgucci, E.; Scarchilli, G.; Chandrasekar, V.; Bringi, V. Measurement of mean raindrop shape from polarimetric radar observations. J. Atmos. Sci. 2000, 57, 3406–3413. [Google Scholar] [CrossRef]
  17. Gorgucci, E.; Scarchilli, G.; Chandrasekar, V.; Bringi, V. Estimation of raindrop size distribution parameters from polarimetric radar measurements. J. Atmos. Sci. 2002, 59, 2373–2384. [Google Scholar] [CrossRef]
  18. Testud, J.; Oury, S.; Black, R.A.; Amayenc, P.; Dou, X.K. The concept of ‘‘normalized’’ distribution to describe raindrop spectra: A tool for cloud physics and cloud remote sensing. J. Appl. Meteorol. 2001, 40, 1118–1140. [Google Scholar] [CrossRef]
  19. Bringi, V.; Huang, G.; Chandrasekar, V.; Gorgucci, E. A methodology for estimating the parameters of a Gamma raindrop size distribution model from polarimetric radar data: Application to a squall-line event from the TRMM/Brazil campaign. J. Ocean. Atmos. Technol. 2002, 19, 633–645. [Google Scholar] [CrossRef]
  20. Williams, C.; Bringi, V.N.; Carey, L.D.; Chandrasekar, V.; Gatlin, P.N.; Haddad, Z.S.; Tanelli, S. Describing the shape of raindrop size distributions using uncorrelated raindrop mass spectrum parameters. J. Appl. Meteorol. Climatol. 2014, 53, 1282–1296. [Google Scholar] [CrossRef]
  21. Hou, A.Y.; Kakar, R.K.; Neeck, S.; Azarbarzin, A.A.; Kummerow, C.D.; Kojima, M.; Oki, R.; Nakamura, K.; Iguchi, T. The global precipitation measurement mission. Bull. Am. Meteorol. Soc. 2014, 95, 701–722. [Google Scholar] [CrossRef]
  22. Skofronick-Jackson, G.; Kirschbaum, D.; Petersen, W.; Huffman, G.; Kidd, C.; Stocker, E.; Kakar, R. The Global Precipitation Measurement (GPM) mission’s scientific achievements and societal contributions: Reviewing four years of advanced rain and snow observations. Quart. J. Roy. Meteorol. Soc. 2018, 144, 27–48. [Google Scholar] [CrossRef] [PubMed]
  23. Tokay, A.; Wolff, D.B.; Petersen, W.A. Evaluation of the new version of laser-optical disdrometer, OTT Parsivel2. J. Atmos. Oceanic Technol. 2014, 31, 1276–1288. [Google Scholar] [CrossRef]
  24. Liao, L.; Meneghini, R.; Tokay, A.; Bliven, L.F. Retrieval of snow properties for Ku- and Ka-band dual-frequency radar. J. Appl. Meteorol. Climatol. 2016, 55, 1845–1858. [Google Scholar] [CrossRef]
  25. Lhermitte, R. Observation of rain at vertical incidence with a 94 GHz Doppler radar: An insight on Mie scattering. Geophys. Res. Lett. 1988, 15, 1125–1128. [Google Scholar] [CrossRef]
  26. Seto, S.; Shimozuma, T.; Iguchi, T.; Kozu, T. Spatial and temporal variations of mass-weighted mean diameter estimated by GPM/DPR. In Proceedings of the IEEE International Geoscience and Remote Sensing Symposium (IGARSS), Beijing, China, 10–15 July 2016; pp. 3938–3940. [Google Scholar] [CrossRef]
  27. Thurai, M.; Huang, G.J.; Bringi, V.N.; Randeu, W.L.; Schönhuber, M. Drop shapes, model comparisons, and calculations of polarimetric radar parameters in rain. J. Atmos Oceanic Technol. 2007, 24, 1019–1032. [Google Scholar] [CrossRef]
  28. Mishchenko, M.I.; Travis, L.D. Capabilities and limitations of a current FORTRAN implementation of the T-matrix method for randomly oriented, rotation symmetric scatterers. J. Quan. Spec. Rad. Transf. 1998, 60, 309–324. [Google Scholar] [CrossRef]
  29. Hitschfeld, W.; Bordan, J. Errors inherent in the radar measurement of rainfall at attenuating wavelengths. J. Meteorol. 1954, 11, 58–67. [Google Scholar] [CrossRef]
  30. Iguchi, T.; Meneghini, R. Intercomparison of single-frequency methods for retrieving a vertical rain profile from airborne or spaceborne radar data. J. Atmos. Oceanic Technol. 1994, 11, 1507–1516. [Google Scholar] [CrossRef]
  31. Liao, L.; Meneghini, R. A Study on the feasibility of dual-wavelength radar for identification of hydrometeor phases. J. Appl. Meteorol. Clim. 2011, 50, 449–456. [Google Scholar] [CrossRef]
  32. Le, M.; Chandrasekar, V. Hydrometeor profile characterization method for dual-frequency precipitation radar onboard the GPM. IEEE Trans. Geosci. Remote Sens. 2013, 51, 3648–3658. [Google Scholar] [CrossRef]
  33. Iguchi, T.; Seto, S.; Meneghini, R.; Yoshida, N.; Awaka, J.; Le, M.; Chandrasekar, V.; Brodzik, S.; Kubota, T. GPM/DPR Level-2 Algoirthm Theoretical Basis Document. Available online: https://pps.gsfc.nasa.gov/Documents/ATBD_DPR_202006_with_Appendix_a.pdf (accessed on 1 June 2020).
  34. Bringi, V.N.; Chandrasekar, V.; Hubbert, J.; Gorgucci, E.; Randeu, W.L.; Schoenhuber, M. Raindrop size distribution in different climatic regimes from disdrometer and dual-polarized radar analysis. J. Atmos. Sci. 2003, 60, 354–365. [Google Scholar] [CrossRef]
  35. Kozu, T.; Nakamura, K. Rainfall parameter estimation from dual-radar measurements combining reflectivity profile and path-integrated attenuation. J. Atmos. Oceanic Technol. 1991, 8, 259–270. [Google Scholar] [CrossRef]
Figure 1. Example of the time-series droplet-size distribution (DSD) measurements from the time stamp 5000–5250, a total of 250 min. The size spectra are given in the top panel while rainfall rate R, mass-weighted diameter Dm and normalized intercept parameter Nw, which are derived directly from DSD, are provided in the 2nd, 3rd and 4th panels from the top, respectively.
Figure 1. Example of the time-series droplet-size distribution (DSD) measurements from the time stamp 5000–5250, a total of 250 min. The size spectra are given in the top panel while rainfall rate R, mass-weighted diameter Dm and normalized intercept parameter Nw, which are derived directly from DSD, are provided in the 2nd, 3rd and 4th panels from the top, respectively.
Atmosphere 11 00670 g001
Figure 2. Probability density functions (PDF) of rainfall rate (R), liquid water content (LWC), Dm and Nw from 213,465 one-minute DSD data. The means and standard deviations (std) are also provided in the plot.
Figure 2. Probability density functions (PDF) of rainfall rate (R), liquid water content (LWC), Dm and Nw from 213,465 one-minute DSD data. The means and standard deviations (std) are also provided in the plot.
Atmosphere 11 00670 g002
Figure 3. The ratios of R to Nw in terms of Dm, derived from the gamma DSD models with µ values varying from 0 to 10 (blue curves) and from the DSD measurement data (red dots).
Figure 3. The ratios of R to Nw in terms of Dm, derived from the gamma DSD models with µ values varying from 0 to 10 (blue curves) and from the DSD measurement data (red dots).
Atmosphere 11 00670 g003
Figure 4. Scatter plots of the estimates in R (left), Dm (middle) and Nw (right) and their respective true values. Correlations between the estimates and truth and rms errors of the estimates, denoted by ‘corr’ and ‘rmse’, respectively, are also given.
Figure 4. Scatter plots of the estimates in R (left), Dm (middle) and Nw (right) and their respective true values. Correlations between the estimates and truth and rms errors of the estimates, denoted by ‘corr’ and ‘rmse’, respectively, are also given.
Atmosphere 11 00670 g004
Figure 5. Two-dimensional PDFs of Nw–R (a), Nw vs. Dm (b) and R vs. Dm (c), and images of Dm in Nw–R plane (d), R in Nw–Dm plane (e) and Nw in R–Dm plane (f) with their respective color scales shown at the bottom of the plots, obtained from 213,465 1-min DSD data. Theoretical computational results based on the gamma DSD model with µ = 3 (black lines) are superimposed on the bottom plots. The correlations between two parameters are provided in the top panel.
Figure 5. Two-dimensional PDFs of Nw–R (a), Nw vs. Dm (b) and R vs. Dm (c), and images of Dm in Nw–R plane (d), R in Nw–Dm plane (e) and Nw in R–Dm plane (f) with their respective color scales shown at the bottom of the plots, obtained from 213,465 1-min DSD data. Theoretical computational results based on the gamma DSD model with µ = 3 (black lines) are superimposed on the bottom plots. The correlations between two parameters are provided in the top panel.
Atmosphere 11 00670 g005
Figure 6. Power-law regressions of Nw–Dm (left) and R–Dm (right) relations obtained from the DSD data. Similar to top panel of Figure 5, the color graphs represent PDFs of the data.
Figure 6. Power-law regressions of Nw–Dm (left) and R–Dm (right) relations obtained from the DSD data. Similar to top panel of Figure 5, the color graphs represent PDFs of the data.
Atmosphere 11 00670 g006
Figure 7. PDFs of the data obtained from the measured DSD in the planes of the R/ZKu–DFR (dual-frequency ratio) (a), Dm–DFR (b), and Nw/ZKu–DFR (c). Also shown are the images of the averaged R in the planes of the R/ZKu–DFR (d) and Dm–DFR (e) and the image of the -averaged Nw in the plane of the Nw/ZKu–DFR (f). The computational results from the gamma DSD model with µ = 3 (black dashed lines) are provided.
Figure 7. PDFs of the data obtained from the measured DSD in the planes of the R/ZKu–DFR (dual-frequency ratio) (a), Dm–DFR (b), and Nw/ZKu–DFR (c). Also shown are the images of the averaged R in the planes of the R/ZKu–DFR (d) and Dm–DFR (e) and the image of the -averaged Nw in the plane of the Nw/ZKu–DFR (f). The computational results from the gamma DSD model with µ = 3 (black dashed lines) are provided.
Atmosphere 11 00670 g007
Figure 8. PDFs of the data obtained from the measured DSD. (a) Relationship between kKu/ZKu and DFR. (b) Same as (a) but for kKa/ZKu–DFR. Also shown are the images of the averaged kKu and kKa in the planes of the kKu/ZKu–DFR (c) and kKa/ZKu–DFR (d), respectively. The computational results from the gamma DSD model with µ = 3 (black dashed lines) are provided.
Figure 8. PDFs of the data obtained from the measured DSD. (a) Relationship between kKu/ZKu and DFR. (b) Same as (a) but for kKa/ZKu–DFR. Also shown are the images of the averaged kKu and kKa in the planes of the kKu/ZKu–DFR (c) and kKa/ZKu–DFR (d), respectively. The computational results from the gamma DSD model with µ = 3 (black dashed lines) are provided.
Atmosphere 11 00670 g008
Table 1. Coefficients of the power-law Nw–Dm and R–Dm relations derived from the DSD data and the DSD models as well as the R–Dm relations adopted by the DPR operational algorithm.
Table 1. Coefficients of the power-law Nw–Dm and R–Dm relations derived from the DSD data and the DSD models as well as the R–Dm relations adopted by the DPR operational algorithm.
Method N w = a N D m b N R = a R D m b R
aNbNaRbR
Data Fitting2807.59−1.7930.4662.970
Model2845.90−4.7060.4644.706
DPR-s 0.4016.131
DPR-c 1.3705.420

Share and Cite

MDPI and ACS Style

Liao, L.; Meneghini, R.; Iguchi, T.; Tokay, A. Characteristics of DSD Bulk Parameters: Implication for Radar Rain Retrieval. Atmosphere 2020, 11, 670. https://doi.org/10.3390/atmos11060670

AMA Style

Liao L, Meneghini R, Iguchi T, Tokay A. Characteristics of DSD Bulk Parameters: Implication for Radar Rain Retrieval. Atmosphere. 2020; 11(6):670. https://doi.org/10.3390/atmos11060670

Chicago/Turabian Style

Liao, Liang, Robert Meneghini, Toshio Iguchi, and Ali Tokay. 2020. "Characteristics of DSD Bulk Parameters: Implication for Radar Rain Retrieval" Atmosphere 11, no. 6: 670. https://doi.org/10.3390/atmos11060670

APA Style

Liao, L., Meneghini, R., Iguchi, T., & Tokay, A. (2020). Characteristics of DSD Bulk Parameters: Implication for Radar Rain Retrieval. Atmosphere, 11(6), 670. https://doi.org/10.3390/atmos11060670

Note that from the first issue of 2016, this journal uses article numbers instead of page numbers. See further details here.

Article Metrics

Back to TopTop