Diurnal Characteristics of Gravity Waves over the Tibetan Plateau in 2015 Summer Using 10-km Downscaled Simulations from WRF-EnKF Regional Reanalysis
Abstract
1. Introduction
2. Data Description
2.1. Data from Ensemble-Based Downscaled Simulation
2.2. Spin-Up Time
3. Background Field
3.1. Large-Scale Environment
3.2. Diurnal Precipitation
4. Momentum Flux of Gravity Wave
4.1. Diurnal Variation of Momentum Flux
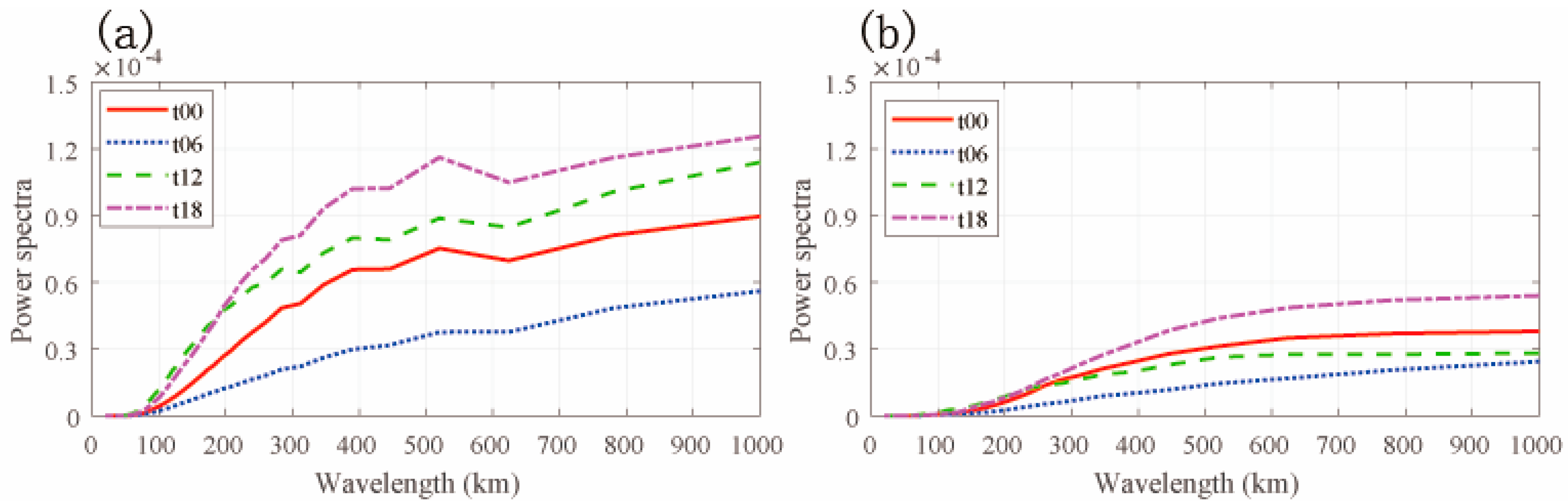
4.2. Power Spectrum of Momentum Flux
5. Gravity Wave Energy in Lower Stratosphere
6. Conclusions and Discussion
Author Contributions
Funding
Acknowledgments
Conflicts of Interest
References
- McFarlane, N.A. The effect of orographically excited gravity wave drag on the general circulation of the lower stratosphere and troposphere. J. Atmos. Sci. 1987, 44, 1775–1800. [Google Scholar] [CrossRef]
- Epifanio, C.C.; Qian, T. Wave-Turbulence Interactions in a breaking mountain wave. J. Atmos. Sci. 2008, 65, 3139–3158. [Google Scholar] [CrossRef]
- Lindzen, R.S. Turbulence and stress owing to gravity wave and tidal break down. J. Geophys. Res. 1981, 86, 9707–9714. [Google Scholar] [CrossRef]
- Holton, J.R. The role of gravity wave induced drag and diffusion in the momentum budget of the mesosphere. J. Atmos. Sci. 1982, 39, 791–799. [Google Scholar] [CrossRef]
- Holton, J.R. The influence of gravity wave breaking on the general circulation of the middle atmosphere. J. Atmos. Sci. 1983, 40, 2497–2507. [Google Scholar] [CrossRef]
- Vincent, R.A.; Reid, I.M. Hf Doppler measurements of mesospheric momentum fluxes. J. Atmos. Sci. 1983, 40, 1321–1333. [Google Scholar] [CrossRef]
- Wang, L.; Geller, M.A. Morphology of gravity-wave energy as observed from 4 years (1998–2001) of high vertical resolution U.S. radiosonde data. J. Geophys. Res. 2003, 108, 4489. [Google Scholar] [CrossRef]
- Wang, L.; Geller, M.A.; Alexander, M.J. Spatial and temporal variations of gravity wave parameters. Part I: Intrinsic frequency, wavelength, and vertical propagation direction. J. Atmos. Sci. 2005, 62, 125–142. [Google Scholar] [CrossRef]
- Geller, M.A.; Gong, J. Gravity wave kinetic, potential, and vertical fluctuation energies as indicators of different frequency gravity waves. J. Geophys. Res. 2010, 115. [Google Scholar] [CrossRef]
- Gong, J.; Geller, M.A. Vertical fluctuation energy in United States high vertical resolution radiosonde data as an indicator of convective gravity wave sources. J. Geophys. Res. 2010, 115. [Google Scholar] [CrossRef]
- Baldwin, M.P.; Gray, L.J.; Dunkerton, T.J.; Hamilton, K.; Haynes, P.H.; Randel, W.J.; Holton, J.R.; Alexander, M.J.; Hirota, I.; Horinouchi, T.; et al. The quasi-biennial oscillation. Rev. Geophys. 2001, 39, 179–230. [Google Scholar] [CrossRef]
- Shu, J.C.; Tian, W.; Hu, D.; Zhang, J.; Shang, L.; Tian, H.; Xie, F. Effects of the quasi-biennial oscillation and stratospheric semiannual oscillation on tracer transport in the upper stratosphere. J. Atmos. Sci. 2013, 70, 1370–1389. [Google Scholar] [CrossRef]
- Smith, R.B. Linear theory of stratified hydrostatic flow past an isolated mountain. Tellus 1980, 32, 348–364. [Google Scholar] [CrossRef]
- Durran, D.R. Mesoscale Meteorology and Forecasting. In Mountain Waves; Ray, P.S., Ed.; American Meteorological Society: Boston, MA, USA, 1986; pp. 472–492. [Google Scholar]
- Alexander, M.J.; Holton, J.R.; Durran, D.R. The gravity wave response above deep convection in as quall line simulation. J. Atmos. Sci. 1995, 52, 2212–2226. [Google Scholar] [CrossRef]
- Alexander, M.J.; Pfister, L. Gravity wave momentum flux in the lower stratosphere over convection. Geophys. Res. Lett. 1995, 22, 2029–2032. [Google Scholar] [CrossRef]
- Lane, T.P.; Reeder, M.J.; Clark, T.L. Numerical modeling of gravity wave generation by deep tropical convection. J. Atmos. Sci. 2001, 58, 1249–1274. [Google Scholar] [CrossRef]
- Rotunno, R. On the linear theory of the land and sea breeze. J. Atmos. Sci. 1983, 40, 1999–2009. [Google Scholar] [CrossRef]
- Snyder, C.; Skamarock, W.C.; Rotunno, R. Frontal dynamics near and following frontal collapse. J. Atmos. Sci. 1993, 50, 3194–3211. [Google Scholar] [CrossRef]
- Griffiths, M.; Reeder, M.J. Stratospheric inertia-gravity waves generated in a numerical model of frontogenesis. I: Model solutions. Q. J. R. Meteorol. Soc. 1996, 122, 1153–1174. [Google Scholar]
- Qian, T.; Epifanio, C.C.; Zhang, F. Linear theory calculation for the sea breeze in a background wind: The equatorial case. J. Atmos. Sci. 2009, 66, 1749–1763. [Google Scholar] [CrossRef]
- Qian, T.; Epifanio, C.C.; Zhang, F. Topographic effects on the tropical land and sea breeze. J. Atmos. Sci. 2012, 69, 130–149. [Google Scholar] [CrossRef]
- Buhler, O.; McIntyre, M.E.; Scinocca, J.F. On shear-generated gravity waves that reach the mesosphere. Part I: Wave generation. J. Atmos. Sci. 1999, 56, 3749–3763. [Google Scholar] [CrossRef]
- Buhler, O.; McIntyre, M.E. On shear-generated gravity waves that reach the mesosphere. Part II: Wave propagation. J. Atmos. Sci. 1999, 56, 3764–3773. [Google Scholar] [CrossRef]
- Zhang, F. Generation of mesoscale gravity waves in upper-tropospheric jet–front systems. J. Atmos. Sci. 2004, 61, 440–457. [Google Scholar] [CrossRef]
- Wang, S.; Zhang, F. Sensitivity of mesoscale gravity waves to the baroclinicity of jet-front systems. Mon. Weather Rev. 2007, 135, 670–688. [Google Scholar] [CrossRef]
- Wang, S.; Zhang, F.; Snyder, C. Generation and propagation of inertial gravity waves from vortex dipoles and jets. J. Atmos. Sci. 2009, 66, 1294–1314. [Google Scholar] [CrossRef]
- Wei, J.; Zhang, F. Mesoscale Gravity Waves in Moist Baroclinic Jet–Front Systems. J. Atmos. Sci. 2014, 71, 929–952. [Google Scholar] [CrossRef]
- Wei, J.; Zhang, F.; Richter, J.H. An Analysis of Gravity Wave Spectral Characteristics in Moist Baroclinic Jet-Front Systems. J. Atmos. Sci. 2016, 73, 3133–3155. [Google Scholar] [CrossRef]
- Bao, X.; Zhang, F.; Sun, J. Diurnal variations of warm-season precipitation east of the Tibetan Plateau over China. Mon. Weather Rev. 2011, 139, 2790–2810. [Google Scholar] [CrossRef]
- Qian, T.; Zhao, P.; Zhang, F.; Bao, X. Rainy-season Precipitation over the Sichuan Basin and Adjacent Regions in Southwestern China. Mon. Weather Rev. 2015, 143, 382–394. [Google Scholar] [CrossRef]
- Lin, Y.L.; Smith, R.B. Transient Dynamics of airflow near a local heat source. J. Atmos. Sci. 1986, 43, 40–49. [Google Scholar] [CrossRef][Green Version]
- Epifanio, C.C.; Durran, D.R. Three-dimensional effects in high-drag-state flows over long ridges. J. Atmos. Sci. 2001, 58, 1051–1065. [Google Scholar] [CrossRef]
- Epifanio, C.C.; Rotunno, R. The dynamics of orographic wake formation in flows with upstream blocking. J. Atmos. Sci. 2005, 62, 3127–3150. [Google Scholar] [CrossRef]
- Kitamura, Y.; Hirotal, I. Small-scale disturbances in the lower stratosphere revealed by daily rawin sonde observations. J. Meteorol. Soc. Jpn. 1989, 67, 817–830. [Google Scholar] [CrossRef][Green Version]
- Wu, D.L.; Zhang, F. A study of mesoscale gravity waves over the North Atlantic with satellite observations and a mesoscale model. J. Geophys. Res. 2004, 109. [Google Scholar] [CrossRef]
- Zhang, S.; Yi, F. Latitudinal and seasonal variations of inertial gravity wave activity in the low atmosphere over central China. J. Geophys. Res. 2007, 112. [Google Scholar] [CrossRef]
- Alexander, M.J. Global and seasonal variations in three-dimensional gravity wave momentum flux from satellite limb-sounding temperatures. Geophys. Res. Lett. 2015, 42, 6860–6867. [Google Scholar] [CrossRef]
- Hecht, J.H.; Fritts, D.C.; Wang, L.; Gelinas, L.J.; Rudy, R.J.; Walterscheid, R.L.; Taylor, M.J.; Pautet, P.D.; Smith, S.; Franke, S.J. Observations of the break down of mountain waves over the Andes lidar observatory at Cerro Pachonon 8/9 July 2012. J. Geophys. Res. 2018, 123, 276–299. [Google Scholar]
- Jiang, Q.; Doyle, J.D.; Eckermann, S.D.; Willianms, B.P. Stratospheric trailing gravity waves from New Zealand. J. Atmos. Sci. 2019, 79, 1565–1586. [Google Scholar] [CrossRef]
- Haynes, P. Stratospheric dynamics. Annu. Rev. Fluid Mech. 2005, 37, 263–293. [Google Scholar] [CrossRef]
- Geller, M.A.; Alexander, M.J.; Love, P.T.; Bacmeister, J.; Ern, M.; Hertzog, A.; Manzini, E.; Preusse, P.; Sato, K.; Scaife, A.A.; et al. A comparison between gravity wave momentum fluxes in observations and climate models. J. Clim. 2013, 26, 6383–6405. [Google Scholar] [CrossRef]
- Schirber, S.; Manzini, E.; Krismer, T.; Giorgetta, M. The quasi-oscillation in a warmer climate: Sensitivity to different gravity wave parameterizations. Clim. Dyn. 2015, 45, 825–836. [Google Scholar] [CrossRef][Green Version]
- He, J.; Zhang, F.; Chen, X.; Bao, X.; Chen, D.; Kim, H.M.; Lai, H.; Leung, L.R.; Ma, X.; Meng, Z.; et al. Development and evaluation of an Ensemble-based data assimilation system for regional reanalysis over the Tibetan Plateau and surrounding regions. J. Adv. Model. Earth Syst. 2019, 11, 2503–2522. [Google Scholar] [CrossRef] [PubMed]
- WRF Model. Available online: https://www.mmm.ucar.edu/weather-research-and-forecasting-model (accessed on 11 June 2020).
- Stephan, C.; Alexander, M.J. Realistic simulations of atmospheric gravity waves over the continental U.S. using precipitation radar data. J. Adv. Model. Earth Syst. 2015, 7, 823–835. [Google Scholar] [CrossRef]
- Chen, X.; Pauluis, O.M.; Zhang, F. Regional simulation of Indian summer monsoon intraseasonal oscillations at gray-zone resolution. Atmos. Chem. Phys. Discuss. 2018, 18, 1003–1022. [Google Scholar] [CrossRef]
- Klemp, J.B.; Wilhelmson, R.B. The simulation of three-dimensional convective storm dynamics. J. Atmos. Sci. 1978, 35, 1070–1096. [Google Scholar] [CrossRef]
- Plougonven, R.; Arsac, A.; Hertzog, G.L.; Vial, F. Sensitivity study for mesoscale simulations of gravity waves above Antarctica during Vorcore. Q. J. R. Meteorol. Soc. 2010, 136, 1371–1377. [Google Scholar]
- MM5 Model. Available online: http://www2.ucar.edu/mm5 (accessed on 11 June 2020).
- Zhang, F.; Zhang, M.; Wei, J.; Wang, S. Month-long simulations of gravity waves over North America and North Atlantic in comparison with satellite observations. Acta Meteorol. Sin. 2013, 27, 446–454. [Google Scholar] [CrossRef]
- Stephan, C.; Alexander, M.J. Summer season squall-line simulations: Sensitivity of gravity waves to physics parameterization and implications for their parameterization in global climate models. J. Atmos. Sci. 2014, 71, 3367–3391. [Google Scholar] [CrossRef]
- Vincent, R.A.; Alexander, M.J.; Dolman, B.K.; MacKinnon, A.D.; May, P.T.; Kovalam, S.; Reid, I.M. Gravity wave generation by convection and momentum deposition in the mesosphere-lower thermosphere. J. Geophys. Res. Atmos. 2013, 118, 6233–6245. [Google Scholar] [CrossRef]
- Wei, J.; Bölöni, G.; Achatz, U. Efficient modelling of the interaction of mesoscale gravity waves with unbalanced large-scale flows: Pseudomomentum-flux convergence versus direct approach. J. Atmos. Sci. 2019, 76, 2715–2738. [Google Scholar] [CrossRef]
- Lane, T.P.; Reeder, M.J.; Guest, F.M. Convectively generated gravity waves observed from radiosonde data taken during MCTEX. Q. J. R. Meteorol. Soc. 2003, 129, 1731–1740. [Google Scholar] [CrossRef]
- Wei, J.; Zhang, F. Tracking gravity waves in moist baroclinic jet-front systems. J. Adv. Model. Earth Syst. 2015, 7, 67–91. [Google Scholar] [CrossRef]
- Zhang, F.; Koch, S.E.; Kaplan, M.L. Numerical simulations of a large-amplitude gravity wave event. Meteorol. Atmos. Phys. 2003, 84, 199–216. [Google Scholar] [CrossRef]









© 2020 by the authors. Licensee MDPI, Basel, Switzerland. This article is an open access article distributed under the terms and conditions of the Creative Commons Attribution (CC BY) license (http://creativecommons.org/licenses/by/4.0/).
Share and Cite
Qian, T.; Zhang, F.; Wei, J.; He, J.; Lu, Y. Diurnal Characteristics of Gravity Waves over the Tibetan Plateau in 2015 Summer Using 10-km Downscaled Simulations from WRF-EnKF Regional Reanalysis. Atmosphere 2020, 11, 631. https://doi.org/10.3390/atmos11060631
Qian T, Zhang F, Wei J, He J, Lu Y. Diurnal Characteristics of Gravity Waves over the Tibetan Plateau in 2015 Summer Using 10-km Downscaled Simulations from WRF-EnKF Regional Reanalysis. Atmosphere. 2020; 11(6):631. https://doi.org/10.3390/atmos11060631
Chicago/Turabian StyleQian, Tingting, Fuqing Zhang, Junhong Wei, Jie He, and Yinghui Lu. 2020. "Diurnal Characteristics of Gravity Waves over the Tibetan Plateau in 2015 Summer Using 10-km Downscaled Simulations from WRF-EnKF Regional Reanalysis" Atmosphere 11, no. 6: 631. https://doi.org/10.3390/atmos11060631
APA StyleQian, T., Zhang, F., Wei, J., He, J., & Lu, Y. (2020). Diurnal Characteristics of Gravity Waves over the Tibetan Plateau in 2015 Summer Using 10-km Downscaled Simulations from WRF-EnKF Regional Reanalysis. Atmosphere, 11(6), 631. https://doi.org/10.3390/atmos11060631

