Extraction of Quasi-Monochromatic Gravity Waves from an Airglow Imager Network
Abstract
1. Introduction
2. Observation
3. Image Processing
3.1. GW Events
3.2. Discrete Wavelet Transform (DWT)
3.3. Enhancing the Wave Pattern
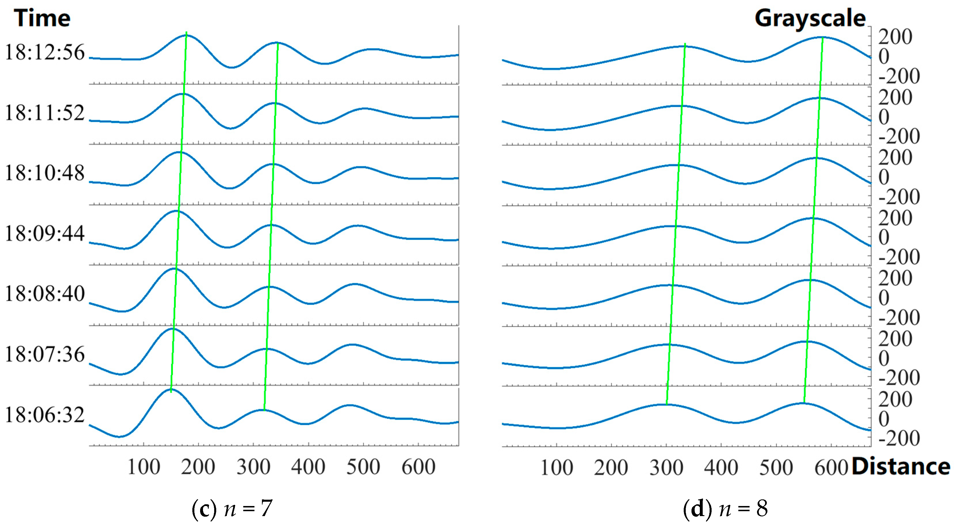
4. Multiple Scale Analysis of GW Events
5. Discussion
6. Conclusions
Supplementary Materials
Author Contributions
Funding
Acknowledgments
Conflicts of Interest
References
- Fritts, D.C. Gravity wave saturation in the middle atmosphere: A review of theory and observation. Rev. Geophys. 1984, 22, 275–308. [Google Scholar] [CrossRef]
- Fritts, D.C.; Alexander, M.J. Gravity wave dynamics and effects in the middle atmosphere. Rev. Geophys. 2003, 41, 1003. [Google Scholar] [CrossRef]
- Hoffmann, L.; Xue, X.; Alexander, M.J. A global view of stratospheric gravity wave hostspots located with Atmospheric Infrared Sounder observations. J. Geophys. Res. Atmos. 2013, 118, 416–434. [Google Scholar] [CrossRef]
- Qian, L.; Burns, A.; Yue, J. Evidence of the lower thermospheric winter-to-summer circulation from SABER CO2 observation. Geophys. Res. Lett. 2017, 44, 10100–10107. [Google Scholar] [CrossRef]
- Smith, S.; Baumgardner, J.; Mendillo, M. Evidence of mesospheric gravity-waves generated by orographic forcing in the troposphere. Geophys. Res. Lett. 2009, 36, 8. [Google Scholar] [CrossRef]
- Plougonven, R.; Zhang, F.Q. Internal gravity waves from atmospheric jets and fronts. Rev. Geophys. 2014, 52, 33–76. [Google Scholar] [CrossRef]
- Yue, J.; Vadas, S.L.; She, C.Y.; Nakamura, T.; Reising, S.C.; Liu, H.-L.; Stamus, P.; Krueger, D.A.; Lyons, W.; Li, T. Concentric gravity waves in the mesosphere generated by deep convective plumes in the lower atmosphere near Fort Collins, Colorado. J. Geophys. Res. 2009, 114, D06104. [Google Scholar] [CrossRef]
- Vadas, S.; Yue, J.; Nakamura, T. Mesospheric concentric gravity waves generated by multiple convection storms over the North America Great Plain. J. Geophys. Res. Atmos. 2012, 117, D07113. [Google Scholar] [CrossRef]
- Suzuki, S.; Vadas, S.L.; Shiokawa, K.; Otsuka, Y.; Kawamura, S.; Murayama, Y. Typhoon-induced concentric airglow structures in the mesopause region. Geophys. Res. Lett. 2013, 40, 5983–5987. [Google Scholar] [CrossRef]
- Wei, J.; Zhang, F. Mesoscale Gravity Waves in Moist Baroclinic Jet-Front Systems. J. Atmos. Sci. 2014, 71, 929–952. [Google Scholar] [CrossRef]
- Zhang, F.; Wei, J.; Zhang, M.; Bowman, K.B.; Pan, L.L.; Atlas, E.; Wofsy, S.C. Aircraft measurements of gravity waves in the upper troposphere and lower stratosphere during the START08 field experiment. Atmos. Chem. Phys. 2015, 15, 7667–7684. [Google Scholar] [CrossRef]
- Peterson, A.W.; Adams, G.W. OH airglow phenomena during the 5–6 July 1982 total lunar eclipse. Appl. Opt. 1983, 22, 2682–2685. [Google Scholar] [CrossRef] [PubMed]
- Tang, Y.H.; Dou, X.K.; Li, T.; Nakamura, T.; Xue, X.; Huang, C.; Manson, A.; Meek, C.; Thorsen, D.; Avery, S. Gravity wave characteristics in the mesopause region revealed from OH airglow imager observations over Northern Colorado. J. Geophys. Res. Space. 2016, 121, 9204–9221. [Google Scholar] [CrossRef]
- Hecht, J.H. Instability layers and airglow imaging. Rev. Geophys. 2004, 42, RG1001. [Google Scholar] [CrossRef]
- Gong, J.; Wu, D.L.; Eckermann, S.D. Gravity wave variances and propagation derived from AIRS radiances. Atmos. Chem. Phys. 2012, 12, 1701–1720. [Google Scholar]
- Miller, S.D.; Straka, W.C., III; Yue, J.; Smith, S.M.; Alexander, M.J.; Hoffmann, L.; Setvak, M.; Partain, P.T. Upper atmospheric gravity wave details revealed in nightglow satellite imagery. Proc. Natl. Acad. Sci. USA 2015, 112, E6728–E6735. [Google Scholar] [CrossRef]
- Xu, J.Y.; Li, Q.Z.; Yue, J.; Hoffmann, L.; Straka, W.C.; Wang, C.; Liu, M.; Yuan, W.; Han, S.; Miller, S.D.; et al. Concentric gravity waves over northern China observed by an airglow imager network and satellites. J. Geophys. Res. Atmos. 2015, 120, 11058–11078. [Google Scholar] [CrossRef]
- Cai, X.; Yuan, T.; Zhao, Y.; Pautet, P.D.; Taylor, M.J.; Pendleton, W.R. A coordinated investigation of the gravity wave breaking and the associated dynamical instability by a Na lidar and an Advanced Mesosphere Temperature Mapper over Logan, UT (41.7° N, 111.8° W). J. Geophys. Res. Space Physics. 2014, 119, 6852–6864. [Google Scholar] [CrossRef]
- Li, T.; She, C.Y.; Liu, H.L.; Montgomery, M.T. Evidence of a gravity wave breaking event and the estimation of wave characteristics from sodium lidar observation over Fort Collins, CO (41° N, 105° W). Geophys. Res. Lett. 2007, 34, L05815. [Google Scholar] [CrossRef]
- Fritts, D.C.; Isler, J.R.; Hecht, J.H.; Walterscheid, R.L.; Andreassen, O. Wave breaking signatures in sodium densities and OH nightglow: 2. Simulation of wave and instability structures. J. Geophys. Res. 1997, 102, 6669–6684. [Google Scholar] [CrossRef]
- Li, T.; She, C.Y.; Williams, B.P.; Yuan, T.; Collins, R.L.; Kieffaber, L.M.; Peterson, A.W. Concurrent OH imager and sodium temperature/wind lidar observation of localized ripples over northern Colorado. J. Geophys. Res. 2005, 110, D13110. [Google Scholar] [CrossRef]
- Swenson, G.R.; Mende, S.B. OH emission and gravity waves (including a breaking wave) in all-sky imagery from Bear Lake, UT. Geophys. Res. Lett. 1994, 21, 2239–2242. [Google Scholar] [CrossRef]
- Swenson, G.R.; Haque, R.; Yang, W.; Gardner, C.S. Momentum and energy fluxes of monochromatic gravity waves observed by an OH imager at Starfire Optical Range, New Mexico. J. Geophys. Res. Atmo. 1999, 104, 6067–6080. [Google Scholar] [CrossRef]
- Tang, J.; Kamalabadi, F.; Franke, S.J.; Liu, A.Z.; Swenon, G.R. Estimation of gravity wave momentum flux with spectroscopic. IEEE Trans. Geosci. Remote Sens. 2005, 43, 103. [Google Scholar] [CrossRef]
- Lai, C.; Yue, J.; Xu, J.Y.; Yuan, W.; Li, Q.Z.; Liu, X. Detection of large-scale concentric gravity waves from a Chinese airglow imager network. J. Atmos. Sol. Terr. Phy. 2018, 171, 269–276. [Google Scholar] [CrossRef]
- Li, Q.Z.; Xu, J.Y.; Yue, J.; Yuan, W.; Liu, X. Statistical characteristics of gravity wave activities observed by an OH airglow imager at Xinglong, in northern China. Ann. Geophys. 2011, 29, 1401–1410. [Google Scholar] [CrossRef]
- Daubechies, I. Ten Lectures on Wavelets. 1992, pp. 129–133. Available online: https://epubs.siam.org/doi/abs/10.1137/1.9781611970104?mobileUi=0& (accessed on 16 April 2020).
- Daubechies, I. Orthonormal bases of compactly supported wavelets. Commun. Pur. Appl. Math. 1988, 41, 909–996. [Google Scholar] [CrossRef]
- Swenson, G.; Alexander, M.; Haque, R. Dispersion imposed limits on atmospheric gravity waves in the mesosphere: Observations from OH airglow. Geopys. Res. Lett. 2000, 27, 875–878. [Google Scholar] [CrossRef]
- Lai, C.; Xu, J.; Yue, J.; Yuan, W.; Liu, X.; Li, W.; Li, Q. Automatic Extraction of Gravity Waves from All-Sky Airglow Image Based on Machine Learning. Remote Sens. 2019, 11, 1516. [Google Scholar] [CrossRef]












| Station | Shuozhou | Xinglong | Donggang | Xinxiang | Linqu | Rongcheng |
|---|---|---|---|---|---|---|
| Longitude Latitude | 112.1° E 39.8° N | 117.6° E 40.4° N | 124.0° E 40.0° N | 113.7° E 35.7° N | 118.7° E 38.2° N | 122.5° E 37.3° N |
| n | Wavelength (km) | Horizontal Speed (m/s) | Period (min) | Relative Fluctuation (%) |
|---|---|---|---|---|
| 5 | 40 ± 4 | 47 ± 9 | 13.8 ± 3.5 | 2.92 ± 0.84 |
| 6 | 93 ± 11 | 92 ± 23 | 16.6 ± 3.0 | 3.50 ± 0.86 |
| 7 | 169 ± 10 | 85 ± 14 | 34.9 ± 4.2 | 5.14 ± 0.76 |
| 8 | 245 ± 19 | 102 ± 16 | 42.5 ± 5.5 | 3.76 ± 0.97 |
| 9 | 591 ± 75 | 199 ± 46 | 49.2 ± 7.6 | N/A * |
© 2020 by the authors. Licensee MDPI, Basel, Switzerland. This article is an open access article distributed under the terms and conditions of the Creative Commons Attribution (CC BY) license (http://creativecommons.org/licenses/by/4.0/).
Share and Cite
Lai, C.; Li, W.; Xu, J.; Liu, X.; Yuan, W.; Yue, J.; Li, Q. Extraction of Quasi-Monochromatic Gravity Waves from an Airglow Imager Network. Atmosphere 2020, 11, 615. https://doi.org/10.3390/atmos11060615
Lai C, Li W, Xu J, Liu X, Yuan W, Yue J, Li Q. Extraction of Quasi-Monochromatic Gravity Waves from an Airglow Imager Network. Atmosphere. 2020; 11(6):615. https://doi.org/10.3390/atmos11060615
Chicago/Turabian StyleLai, Chang, Wei Li, Jiyao Xu, Xiao Liu, Wei Yuan, Jia Yue, and Qinzeng Li. 2020. "Extraction of Quasi-Monochromatic Gravity Waves from an Airglow Imager Network" Atmosphere 11, no. 6: 615. https://doi.org/10.3390/atmos11060615
APA StyleLai, C., Li, W., Xu, J., Liu, X., Yuan, W., Yue, J., & Li, Q. (2020). Extraction of Quasi-Monochromatic Gravity Waves from an Airglow Imager Network. Atmosphere, 11(6), 615. https://doi.org/10.3390/atmos11060615
