Observations of Turbulent Heat Fluxes Variability in a Semiarid Coastal Lagoon (Gulf of California)
Abstract
1. Introduction
2. Materials and Methods
2.1. Site Description
2.2. Micrometeorological Measurements
2.2.1. Fast Response Measurements
2.2.2. Slow Response Measurements
2.2.3. Tide Data
2.3. Methods
2.4. Statistical Analysis
3. Results and Discussion
3.1. Micrometeorological Conditions
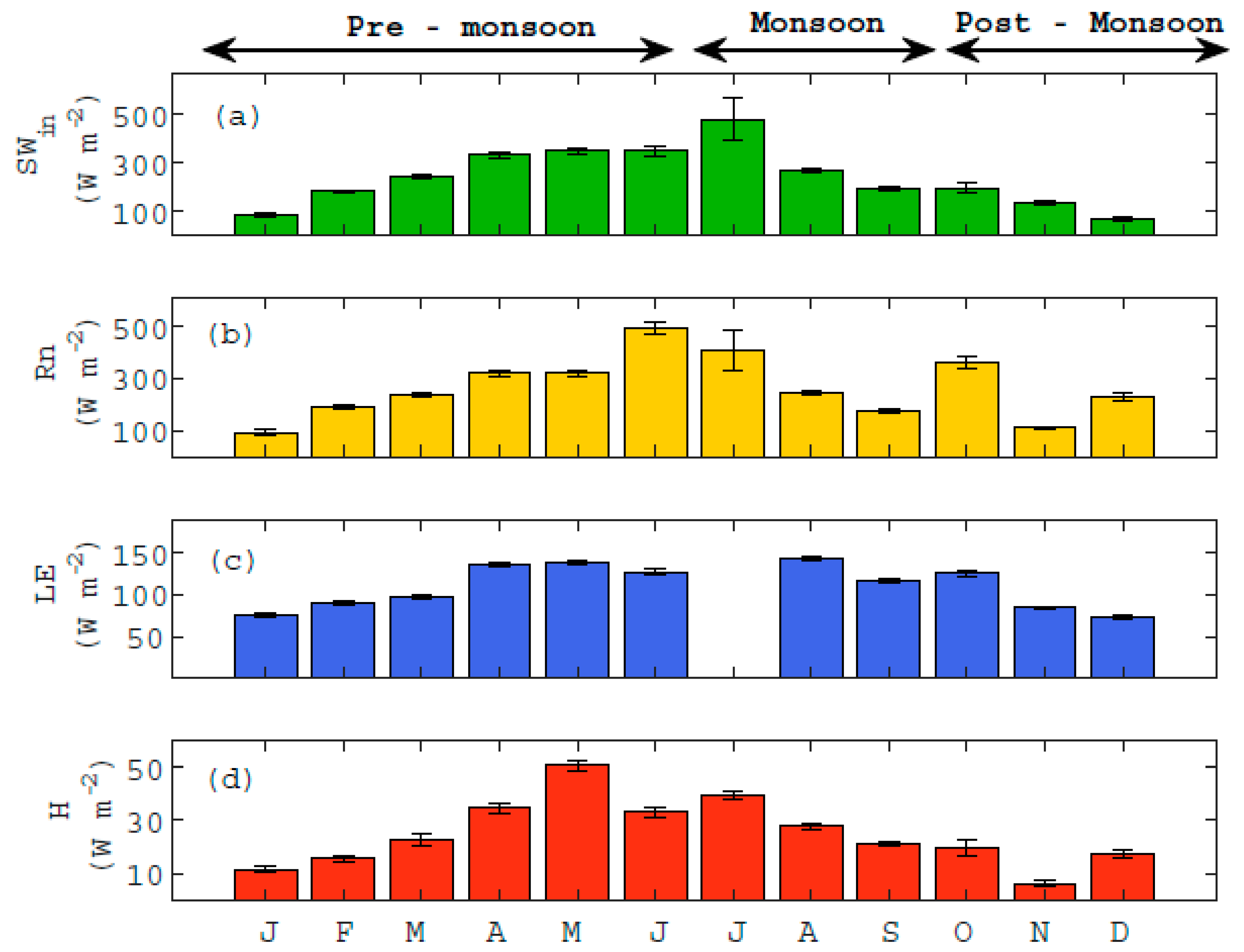
3.2. Monthly and Seasonal Variation of Meteorological Conditions, Turbulent Fluxes, and Energy Partitioning
3.3. Diurnal Variations of Rn and Turbulent Fluxes
3.4. Micrometeorological Drivers and Turbulent Fluxes
4. Summary and Conclusions
Author Contributions
Funding
Acknowledgments
Conflicts of Interest
References
- Garstang, M. Sensible and latent heat exchange in low latitude synoptic scale systems. Tellus 1967, 19, 492–508. [Google Scholar] [CrossRef][Green Version]
- Stannard, D.; Gannett, M.; Polette, D.; Cameron, J.; Waibel, M.; Spears, J. Evaporation from Marsh and Open-Water Sites at Upper Klamath Lake, Oregon, 2008–2010; U.S. Geological Survey: Reston, VA, USA, 2013; p. 66.
- Stull, R. An Introduction to Boundary Layer Meteorology; Kluwer Acad. Publ.: Boston, MA, USA; London, UK, 1988; p. 666. [Google Scholar]
- Nordbo, A.; Launiainen, S.; Mammarella, I.; Leppäranta, M.; Huotari, J.; Ojala, A.; Vesala, T. Long-term energy flux measurements and energy balance over a small boreal lake using eddy covariance technique. J. Geophys. Res. Atmos. 2011, 116, 1–17. [Google Scholar] [CrossRef]
- Smith, N.P. Local energy exchanges in a shallow, coastal lagoon: Summer conditions. Atmos. Ocean 1981, 19, 307–319. [Google Scholar] [CrossRef]
- Shuttleworth, W. Terrestrial Hydrometeorology; Wiley-Blackwell: Oxford, UK, 2012; p. 441. [Google Scholar]
- Wallace, J.M.; Hobbs, P.V. Atmospheric Science: An. Introductory Survey; Academic Press: Cambridge, MA, USA, 2006; p. 483. [Google Scholar]
- Smith, S.V.; Atkinson, M.J. Mass balance of nutrient fluxes in coastal lagoons. In Elsevier Oceanography Series; Elsevier: Amsterdam, The Nethrelands, 1994; pp. 133–155. [Google Scholar]
- Smith, N.P. Water, salt and heat balance of coastal lagoons. In Elsevier Oceanographic Series; Elsevier: Amsterdam, The Netherlands, 1994; Volume 60. [Google Scholar]
- Talley, L.; Pickard, G.; Emery, W.; Swift, J. Chapter 5—Mass, Salt, and Heat Budgets and Wind Forcing. In Descriptive Physical Oceanography: An Introduction; Academic Press: Cambridge, MA, USA, 2011. [Google Scholar]
- Duan, Z.; Bastiaanssen, W. A new empirical procedure for estimating intra-annual heat storage changes in lakes and reservoirs: Review and analysis of 22 lakes. Remote Sens. Environ. 2015, 156, 143–156. [Google Scholar] [CrossRef]
- Zhang, Y.; Perrie, W. Feedback mechanisms for the atmosphere and ocean surface. Bound.-Layer Meteorol. 2001, 100, 321–348. [Google Scholar] [CrossRef]
- Martínez-Alvarez, V.; Gallego-Elvira, B.; Maestre-Valero, J.; Tanguy, M. Simultaneous solution for water, heat and salt balances in a Mediterranean coastal lagoon (Mar Menor, Spain). Estuar. Coast. Shelf Sci. 2011, 91, 250–261. [Google Scholar] [CrossRef]
- Hostetler, S.; Bartlein, P. Simulation of lake evaporation with application to modeling lake level variations of Harney-Malheur Lake, Oregon. Water Resour. Res. 1990, 26, 2603–2612. [Google Scholar]
- Blanken, P.D.; Rouse, W.R.; Schertzer, W.M. Enhancement of evaporation from a large northern lake by the entrainment of warm, dry air. J. Hydrometeorol. 2003, 4, 680–693. [Google Scholar] [CrossRef]
- Liu, H.; Zhang, Q.; Dowler, G. Environmental controls on the surface energy budget over a large southern inland water in the United States: An analysis of one-year eddy covariance flux data. J. Hydrometeorol. 2012, 13, 1893–1910. [Google Scholar] [CrossRef]
- Shao, C.; Chen, J.; Stepien, C.A.; Chu, H.; Ouyang, Z.; Bridgeman, T.B.; Czajkowski, K.P.; Becker, R.H.; John, R. Diurnal to annual changes in latent, sensible heat, and CO2 fluxes over a Laurentian Great Lake: A case study in Western Lake Erie. J. Geophys. Res. Biogeosci. 2015, 120, 1587–1604. [Google Scholar] [CrossRef]
- Walker, A.S. Deserts: Geology and Resources; US Department of the Interior, US Geological Survey: Reston, VA, USA, 2000.
- Noy-Meir, I. Desert ecosystems: Environment and producers. Annu. Rev. Ecol. Syst. 1973, 4, 25–51. [Google Scholar] [CrossRef]
- Ali, S.; Ghosh, N.C.; Singh, R. Evaluating best evaporation estimate model for water surface evaporation in semi-arid region, India. Hydrol. Process. Int. J. 2008, 22, 1093–1106. [Google Scholar] [CrossRef]
- Sánchez-Carrillo, S.; Angeler, D.G.; Sánchez-Andrés, R.; Alvarez-Cobelas, M.; Garatuza-Payán, J. Evapotranspiration in semi-arid wetlands: Relationships between inundation and the macrophyte-cover: Open-water ratio. Adv. Water Resour. 2004, 27, 643–655. [Google Scholar] [CrossRef]
- Sun, J.; Hu, W.; Zhao, L.; An, R.; Ning, K.; Zhang, X. Eddy covariance measurements of water vapor and energy flux over a lake in the Badain Jaran Desert, China. J. Arid Land 2018, 10, 517–533. [Google Scholar] [CrossRef]
- Adams, D.K.; Comrie, A.C. The north American monsoon. Bull. Am. Meteorol. Soc. 1997, 78, 2197–2214. [Google Scholar] [CrossRef]
- Bohn, T.J.; Vivoni, E.R. Process-based characterization of evapotranspiration sources over the North American monsoon region. Water Resour. Res. 2016, 52, 358–384. [Google Scholar] [CrossRef]
- Barlow, M.; Nigam, S.; Berbery, E.H. Evolution of the North American monsoon system. J. Clim. 1998, 11, 2238–2257. [Google Scholar] [CrossRef]
- McGowan, H.; Sturman, A.; Saunders, M.; Theobald, A.; Wiebe, A. Insights from a decade of research on coral reef—Atmosphere energetics. J. Geophys. Res. Atmos. 2019, 124, 4269–4282. [Google Scholar] [CrossRef]
- Jung, M.; Reichstein, M.; Margolis, H.A.; Cescatti, A.; Richardson, A.D.; Arain, M.A.; Arneth, A.; Bernhofer, C.; Bonal, D.; Chen, J. Global patterns of land-atmosphere fluxes of carbon dioxide, latent heat, and sensible heat derived from eddy covariance, satellite, and meteorological observations. J. Geophys. Res. Biogeosci. 2011, 116, G00J07. [Google Scholar] [CrossRef]
- Baldocchi, D.; Falge, E.; Gu, L.; Olson, R.; Hollinger, D.; Running, S.; Anthoni, P.; Bernhofer, C.; Davis, K.; Evans, R.; et al. FLUXNET: A new tool to study the temporal and spatial variability of ecosystem-scale carbon dioxide, water vapor, and energy flux densities. Bull. Am. Meteorol. Soc. 2001, 82, 2415–2434. [Google Scholar] [CrossRef]
- Baldocchi, D. Measuring fluxes of trace gases and energy between ecosystems and the atmosphere—The state and future of the eddy covariance method. Glob. Chang. Biol. 2014, 20, 3600–3609. [Google Scholar] [CrossRef] [PubMed]
- Su, Z. The Surface Energy Balance System (SEBS) for estimation of turbulent heat fluxes. Hydrol. Earth Syst. Sci. 2002, 6, 85–99. [Google Scholar] [CrossRef]
- Aubinet, M.; Vesala, T.; Papale, D. Eddy Covariance: A practical Guide to Measurement and Data Analysis; Springer: Berlin/Heidelberg, Germany, 2012. [Google Scholar]
- Bello, R.; Smith, J. The effect of weather variability on the energy balance of a lake in the Hudson Bay Lowlands, Canada. Arct. Alp. Res. 1990, 22, 98–107. [Google Scholar] [CrossRef]
- Blanken, P.D.; Rouse, W.R.; Culf, A.D.; Spence, C.; Boudreau, L.D.; Jasper, J.N.; Kochtubajda, B.; Schertzer, W.M.; Marsh, P.; Verseghy, D. Eddy covariance measurements of evaporation from Great Slave lake, Northwest Territories, Canada. Water Resour. Res. 2000, 36, 1069–1077. [Google Scholar] [CrossRef]
- Rouse, W.R.; Blanken, P.D.; Bussières, N.; Walker, A.E.; Oswald, C.J.; Schertzer, W.M.; Spence, C. An investigation of the thermal and energy balance regimes of Great Slave and Great Bear Lakes. J. Hydrometeorol. 2008, 9, 1318–1333. [Google Scholar] [CrossRef]
- Hutjes, R.; Kabat, P.; Running, S.; Shuttleworth, W.; Field, C.; Bass, B.; Dias, M.; Avissar, R.; Becker, A.; Claussen, M.; et al. Biospheric aspects of the hydrological cycle—Preface. J. Hydrol. 1998, 212, 1–2. [Google Scholar] [CrossRef]
- Li, Z.; Lyu, S.; Ao, Y.; Wen, L.; Zhao, L.; Wang, S. Long-term energy flux and radiation balance observations over Lake Ngoring, Tibetan Plateau. Atmos. Res. 2015, 155, 13–25. [Google Scholar] [CrossRef]
- Sonora, G. Programa de manejo de la zona sujeta a conservación ecológica estero el soldado Cedeyd. Sustentable; Gobierno del Estado de Sonora: Sonora, Mexico, 2018. [Google Scholar]
- Filloux, J. Tidal patterns and energy balance in the Gulf of California. Nature 1973, 243, 217. [Google Scholar] [CrossRef]
- García, E. Modificaciones al Sistema de Clasificación Climática de Köppen (para adaptarlo a las condiciones de la República Mexicana), 5th ed.; México, D.F., Ed.; Offset Larios: Larios, Mexico, 1988. [Google Scholar]
- Gochis, D.; Brito-Castillo, L.; Shuttleworth, W. Hydroclimatology of the North American Monsoon region in northwest Mexico. J. Hydrol. 2006, 316, 53–70. [Google Scholar] [CrossRef]
- Nakai, T.; van der Molen, M.; Gash, J.; Kodama, Y. Correction of sonic anemometer angle of attack errors. Agric. For. Meteorol. 2006, 136, 19–30. [Google Scholar] [CrossRef]
- Wilczak, J.M.; Oncley, S.P.; Stage, S.A. Sonic anemometer tilt correction algorithms. Bound.-Layer Meteorol. 2001, 99, 127–150. [Google Scholar] [CrossRef]
- Runkle, B.R.; Wille, C.; Gažovič, M.; Kutzbach, L. Attenuation correction procedures for water vapour fluxes from closed-path eddy-covariance systems. Bound. Layer Meteorol. 2012, 142, 401–423. [Google Scholar] [CrossRef]
- Webb, E.K.; Pearman, G.I.; Leuning, R. Correction of flux measurements for density effects due to heat and water vapour transfer. Q. J. R. Meteorol. Soc. 1980, 106, 85–100. [Google Scholar] [CrossRef]
- Horst, T. A simple formula for attenuation of eddy fluxes measured with first-order-response scalar sensors. Bound.-Layer Meteorol. 1997, 82, 219–233. [Google Scholar] [CrossRef]
- Vickers, D.; Mahrt, L. Quality control and flux sampling problems for tower and aircraft data. J. Atmos. Ocean. Technol. 1997, 14, 512–526. [Google Scholar] [CrossRef]
- Mauder, M. A Comment on “How Well Can We Measure the Vertical Wind Speed? Implications for Fluxes of Energy and Mass” by Kochendorfer et al. Bound.-Layer Meteorol. 2013, 147, 329–335. [Google Scholar] [CrossRef]
- Kljun, N.; Calanca, P.; Rotach, M.; Schmid, H. A simple two-dimensional parameterisation for Flux Footprint Prediction (FFP). Geosci. Model. Dev. 2015, 8, 3695. [Google Scholar] [CrossRef]
- Mauder, M.; Liebethal, C.; Gockede, M.; Leps, J.P.; Beyrich, F.; Foken, T. Processing and quality control of flux data during LITFASS-2003. Bound. Layer Meteorol. 2006, 121, 67–88. [Google Scholar] [CrossRef]
- Wilson, K.; Goldstein, A.; Falge, E.; Aubinet, M.; Baldocchi, D.; Berbigier, P.; Bernhofer, C.; Ceulemans, R.; Dolman, H.; Field, C. Energy balance closure at FLUXNET sites. Agric. For. Meteorol. 2002, 113, 223–243. [Google Scholar] [CrossRef]
- Kidston, J.; Brümmer, C.; Black, T.A.; Morgenstern, K.; Nesic, Z.; McCaughey, J.H.; Barr, A.G. Energy balance closure using eddy covariance above two different land surfaces and implications for CO2 flux measurements. Bound. Layer Meteorol. 2010, 136, 193–218. [Google Scholar] [CrossRef]
- Jin, Z.; Charlock, T.P.; Smith, W.L., Jr.; Rutledge, K. A parameterization of ocean surface albedo. Geophys. Res. Lett. 2004, 31, 1195636. [Google Scholar] [CrossRef]
- Nunez, M.; Davies, J.; Robinson, P. Surface albedo at a tower site in Lake Ontario. Bound.-Layer Meteorol. 1972, 3, 77–86. [Google Scholar] [CrossRef]
- Smith, N.P. Energy balance in a shallow seagrass flat for winter conditions 1. Limnol. Oceanogr. 1981, 26, 482–491. [Google Scholar] [CrossRef]
- Souch, C.; Grimmond, S.; Wolfe, C. Evapotranspiration rates from wetlands with different disturbance histories: Indiana Dunes National Lakeshore. Wetlands 1998, 18, 216–229. [Google Scholar]
- Vesala, T.; Huotari, J.; Rannik, Ü.; Suni, T.; Smolander, S.; Sogachev, A.; Launiainen, S.; Ojala, A. Eddy covariance measurements of carbon exchange and latent and sensible heat fluxes over a boreal lake for a full open-water period. J. Geophys. Res. Atmos. 2006, 111, D11101. [Google Scholar] [CrossRef]
- Bouin, M.N.; Caniaux, G.; Traullé, O.; Legain, D.; le Moigne, P. Long-term heat exchanges over a Mediterranean lagoon. J. Geophys. Res. Atmos. 2012, 117, D23104. [Google Scholar] [CrossRef]






| Month | Micrometeorological Drivers | Energy Partitioning | ||||||
|---|---|---|---|---|---|---|---|---|
| WS (m/s) | u* (m/s) | VPD (kPa) | Ta (°C) | Tw (°C) | Albedo (α) | Bowen Ratio (β) | (H + LE)/Rn ratio | |
| January | 2.3 (1.27) | 0.18 (0.09) | 0.637 (0.329) | 19.6 (4.0) | 20.7 (3.1) | 0.16 (0.01) | 0.15 | 0.90 |
| February | 2.3 (1.41) | 0.23 (0.14) | 0.819 (0.383) | 18.9 (3.8) | 20.4 (3.4) | 0.10 (0.00) | 0.17 | 0.60 |
| March | 2.0 (1.32) | 0.23 (0.13) | 0.957 (0.415) | 20.6 (3.7) | 21.9 (2.6) | 0.09 (0.00) | 0.23 | 0.50 |
| April | 2.3 (1.42) | 0.27 (0.16) | 1.167 (0.635) | 24.6 (4.2) | 25.8 (3.0) | 0.09 (0.00) | 0.26 | 0.50 |
| May | 2.0 (1.19) | 0.27 (0.17) | 1.109 (0.463) | 25.4 (6.5) | 28.1(2.7) | 0.10 (0.00) | 0.37 | 0.60 |
| June | 2.2 (1.29) | 0.25 (0.13) | 1.259 (0.738) | 29.3 (4.1) | 30.3 (2.1) | 0.09 (0.00) | 0.26 | 0.30 |
| July | 2.5 (1.31) | 0.28 (0.14) | - | 33.9 (3.5) | 30.6 (0.5) | 0.03 (0.10) | - | - |
| August | 2.6 (1.52) | 0.26 (0.14) | 1.268 (0.421) | 33.9 (3.2) | 32.8 (1.9) | 0.08 (0.00) | 0.20 | 0.70 |
| September | 2.4 (1.29) | 0.24 (0.13) | 0.974 (0.338) | 32.2 (3.1) | 30.5 (2.2) | 0.09 (0.01) | 0.18 | 0.80 |
| October | 2.1 (1.07) | 0.23 (0.13) | 1.166 (0.498) | 24.9 (3.7) | 25.0 (1.8) | 0.12 (0.01) | 0.16 | 0.40 |
| November | 2.4 (1.71) | 0.25 (0.14) | 1.021 (0.511) | 24.4 (3.2) | 23.3 (1.8) | 0.12 (0.00) | 0.08 | 0.80 |
| December | 2.2 (1.02) | 0.22 (0.10) | 0.783 (0.372) | 21.6 (3.4) | 19.8 (1.9) | 0.18 (0.02) | 0.23 | 0.40 |
| Season | Rn | LE | H | Site | Latitude | Author |
|---|---|---|---|---|---|---|
| (W m−2) | (W m−2) | (W m−2) | ||||
| Pre-monsoon | ||||||
| 117.83 | 77.46 | 15.06 | Ross Barnett Reservoir, USA | 32° N | [16] | |
| 275.2 | 110 | 28 | Estero El Soldado, Mexico | 27° N | This study | |
| Monsoon | ||||||
| 165 | 173 | −23 | Lake W, Canada | 58° N | [32] | |
| 148.5 | 118.46 | 15.36 | Ross Barnett Reservoir, USA | 32° N | [16] | |
| 146.84 | 79.74 | 22.35 | Lake Ngoring, China | 35° N | [36] | |
| 276.8 | 129 | 29 | Estero El Soldado, Mexico | 27° N | This study | |
| Post-monsoon | ||||||
| 49.16 | 74.9 | 22.9 | Ross Barnett Reservoir, USA | 32° N | [16] | |
| 234.7 | 94 | 14 | Estero El Soldado, Mexico | 27° N | This study |
© 2020 by the authors. Licensee MDPI, Basel, Switzerland. This article is an open access article distributed under the terms and conditions of the Creative Commons Attribution (CC BY) license (http://creativecommons.org/licenses/by/4.0/).
Share and Cite
Benítez-Valenzuela, L.I.; Sanchez-Mejia, Z.M. Observations of Turbulent Heat Fluxes Variability in a Semiarid Coastal Lagoon (Gulf of California). Atmosphere 2020, 11, 626. https://doi.org/10.3390/atmos11060626
Benítez-Valenzuela LI, Sanchez-Mejia ZM. Observations of Turbulent Heat Fluxes Variability in a Semiarid Coastal Lagoon (Gulf of California). Atmosphere. 2020; 11(6):626. https://doi.org/10.3390/atmos11060626
Chicago/Turabian StyleBenítez-Valenzuela, Lidia Irene, and Zulia Mayari Sanchez-Mejia. 2020. "Observations of Turbulent Heat Fluxes Variability in a Semiarid Coastal Lagoon (Gulf of California)" Atmosphere 11, no. 6: 626. https://doi.org/10.3390/atmos11060626
APA StyleBenítez-Valenzuela, L. I., & Sanchez-Mejia, Z. M. (2020). Observations of Turbulent Heat Fluxes Variability in a Semiarid Coastal Lagoon (Gulf of California). Atmosphere, 11(6), 626. https://doi.org/10.3390/atmos11060626

