Optical and Physical Characteristics of Aerosol Vertical Layers over Northeastern China
Abstract
1. Introduction
2. Study Area and Methodology
2.1. Description of the Study Area
2.2. Material and Methods
3. Results and Discussion
3.1. Inter-Annual Variation Characteristics of Aerosol Layers over NEC
3.2. Seasonal Variation Characteristics of Aerosol Layers over NEC
3.3. The Correlation of Aerosol Properties over NEC
4. Conclusions
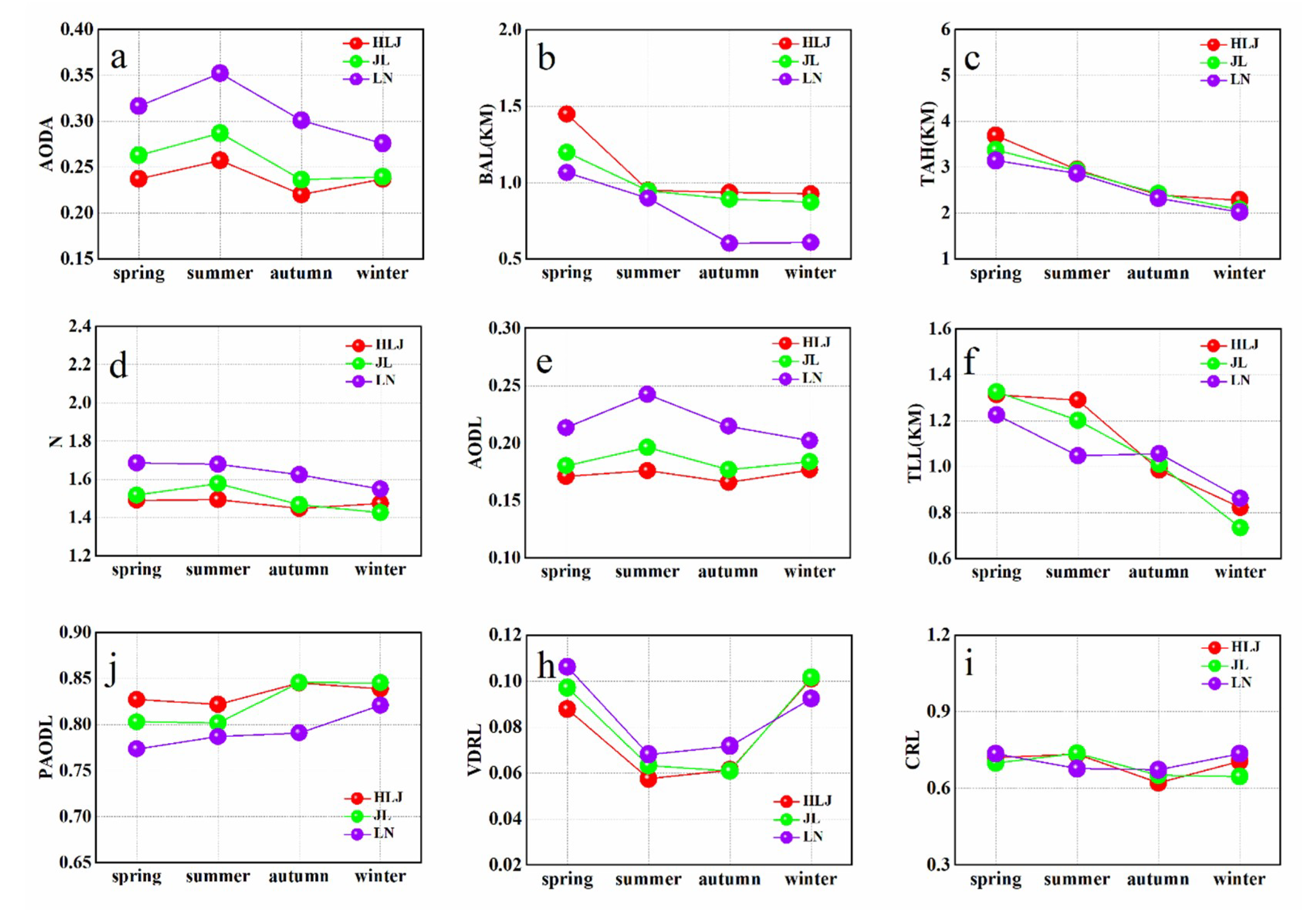
- Relatively large values of AODA are observed over the LN province, as LN hosts a robust industrial economy and, thereby, experiences extreme pollution. Seasonally, the values of AODA rose from spring to summer and decreased in autumn, which is caused by NEC’s temperate monsoon climate. Moreover, due to industrial units and various anthropogenic activities in the daytime, the AOD values are higher than that in the nighttime.
- The values of BAH and TAH demonstrate a correlation with topography. Moreover, higher BAH and TAH values are observed in the spring and summer compared to autumn and winter.
- High values of N are observed over LN. N values gradually decreased from spring to summer to autumn and winter. This might be due to the influence of the temperate monsoon climate, where the vertical movement of the atmospheric constituents is characteristically stronger in spring, leading to a significant vertical stratification of the atmosphere.
- The values of TLL and PAODL in the three provinces are not significantly different from each other. The values in the daytime are higher than that in the evening, which might be induced by high aerosol concentrations in the bottom layer from anthropogenic activities in the daytime.
- The values of VDRL and CRL are higher in the daytime because of human activities.
- It is observed that AODL and TLL are weakly exponentially correlated; N and TAH are strongly linearly correlated, and N and PAODL are negatively correlated throughout the whole NEC.
Author Contributions
Funding
Acknowledgments
Conflicts of Interest
References
- Jansen, M. Intergovernmental Panel on Climate Change (IPCC). Encycl. Energy Nat. Resour. Environ. Econ. 2013, 2, 48–56. [Google Scholar]
- Kaufman, Y.J.T.D.; Boucher, O. A satellite view of aerosols in the climate system. Nature 2002, 419, 215–223. [Google Scholar] [CrossRef] [PubMed]
- Kulmala, M.; Kontkanen, J.; Junninen, H.; Lehtipalo, K.; Manninen, H.E.; Nieminen, T.; Petaja, T.; Sipila, M.; Schobesberger, S.; Rantala, P. Direct observations of atmospheric aerosol nucleation. Science 2013, 339, 943–946. [Google Scholar] [CrossRef] [PubMed]
- Lelieveld, J.; Evans, J.S.; Fnais, M.; Giannadaki, D.; Pozzer, A. The contribution of outdoor air pollution sources to premature mortality on a global scale. Nature 2015, 525, 367–371. [Google Scholar] [CrossRef] [PubMed]
- Rogge, W.F.; Hildemann, L.M.; Mazurek, M.A.; Cass, G.R.; Simoneit, B.R.T. Sources of fine organic aerosol. 5. Natural gas home appliances. Environ. Sci. Technol. 1993, 27, 2736–2744. [Google Scholar] [CrossRef]
- Qiu, R.; Han, G.; Ma, X.; Xu, H.; Shi, T.; Zhang, M. A comparison of oco-2 sif, modis gpp, and gosif data from gross primary production (GPP) estimation and seasonal cycles in North America. Remote Sens. 2020, 12, 258. [Google Scholar] [CrossRef]
- Edenhofer, O. Climate Change 2014: Mitigation of Climate Change: Working Group III Contribution to the Fifth Assessment Report of the Intergovernmental Panel on Climate Change; Cambridge University Press: Cambridge, UK, 2014. [Google Scholar]
- Rosenfeld, D. Suppression of rain and snow by urban and industrial air pollution. Int. J. Food Microbiol. 2000, 287, 40–50. [Google Scholar] [CrossRef]
- Twomey, S. The influence of pollution on the shortwave albedo of clouds. J. Atmos. Sci. 1977, 34, 1149–1154. [Google Scholar] [CrossRef]
- Magistrale, V. Health Aspects of Air Pollution; Springer: Berlin/Heidelberg, Germany, 1992. [Google Scholar]
- Qin, W.; Liu, Y.; Wang, L.; Lin, A.; Xia, X.; Che, H.; Bilal, M.; Zhang, M. Characteristic and driving factors of aerosol optical depth over mainland China during 1980–2017. Remote Sens. 2018, 10, 1064. [Google Scholar] [CrossRef]
- Qin, Y.; Oduyemi, K. Atmospheric aerosol source identification and estimates of source contributions to air pollution in Dundee, UK. Atmos. Environ. 2003, 37, 1799–1809. [Google Scholar] [CrossRef]
- Ramanathan, V.; Crutzen, P.J.; Kiehl, J.T. Aerosols, climate, and the hydrological cycle. Science 2005, 294, 2119–2126. [Google Scholar] [CrossRef] [PubMed]
- Ramanathan, V.; Chung, C.; Kim, D.; Bettge, T.; Buja, L.; Kiehl, J.T.; Washington, W.M.; Fu, Q.; Sikka, D.R.; Wild, M. Atmospheric brown clouds: Impacts on south asian climate and hydrological cycle. Proc. Natl. Acad. Sci. USA 2005, 102, 5326–5333. [Google Scholar] [CrossRef] [PubMed]
- Bilal, M.; Nichol, J.E. Evaluation of modis aerosol retrieval algorithms over the Beijing-Tianjin-Hebei region during low to very high pollution events. J. Geophys. Res. Atmos. 2015, 120, 7941–7957. [Google Scholar] [CrossRef]
- Han, D.; Liu, W.; Zhang, Y.; Lu, Y.; Liu, J.; Yu, T. An Atmospheric Aerosol Lidar and Its Experiment in Beijing. 2007. Available online: https://spie.org/Publications/Proceedings/Paper/10.1117/12.747079?SSO=1 (accessed on 30 April 2020).
- Parrish, D.D.; Tong, Z. Climate change. Clean air for megacities. Science 2009, 326, 674–675. [Google Scholar] [CrossRef] [PubMed]
- Zhang, C.H.; Zhao, T.L.; Wang, F.; Xu, X.D.; Su, H.; Cheng, X.H.; Tan, C.H. Variations in Aerosol Optical Depth over Three Northeastern Provinces of China, in 2003–2014. Environ. Sci. China 2017. [Google Scholar] [CrossRef]
- Chen, W.; Tong, D.Q.; Zhang, S.; Zhang, X.; Zhao, H. Local pm10 and pm2.5 emission inventories from agricultural tillage and harvest in northeastern China. J. Environ. Sci. 2017, 57, 15–23. [Google Scholar] [CrossRef]
- Ho, K.F.; Zhang, R.J.; Lee, S.C.; Ho, S.S.H.; Liu, S.X.; Fung, K.; Cao, J.J.; Shen, Z.X.; Xu, H.M. Characteristics of carbonate carbon in pm2.5 in a typical semi-arid area of northeastern China. Atmos. Environ. 2011, 45, 1268–1274. [Google Scholar] [CrossRef]
- Ho, C.H.; Choi, Y.S.; Hur, S.K. Long-term changes in summer weekend effect over northeastern China and the connection with regional warming. Geophys. Res. Lett. 2009, 36, 15. [Google Scholar] [CrossRef]
- Dubovik, O.; Smirnov, A.; Holben, B.N.; King, M.D.; Kaufman, Y.J.; Eck, T.F.; Slutsker, I. Accuracy assessments of aerosol optical properties retrieved from aerosol robotic network (aeronet) sun and sky radiance measurements. J. Geophys. Res. Atmos. 2000, 105, 9791–9806. [Google Scholar] [CrossRef]
- Smirnov, A.; Holben, B.N.; Eck, T.F.; Slutsker, I.; Chatenet, B.; Pinker, R.T. Diurnal variability of aerosol optical depth observed at aeronet aerosol robotic network sites. Geophys. Res. Lett. 2002, 29, 1–30. [Google Scholar] [CrossRef]
- Omar, A.H.; Won, J.G.; Winker, D.M.; Yoon, S.C.; Dubovik, O.; McCormick, M.P. Development of global aerosol models using cluster analysis of aerosol robotic network aeronet measurements. J. Geophys. Res. Space Phys. 2005, 110, 10–14. [Google Scholar] [CrossRef]
- Bilal, M.; Nichol, J.E.; Wang, L. New customized methods for improvement of the modis c6 dark target and deep blue merged aerosol product. Remote Sens. Environ. 2017, 197, 115–124. [Google Scholar] [CrossRef]
- Kleidman, R.G.; O’Neill, N.T.; Remer, L.A.; Kaufman, Y.J.; Eck, T.F.; Tanré, D.; Dubovik, O.; Holben, B.N. Comparison of moderate resolution imaging spectroradiometer (modis) and aerosol robotic network (aeronet) remote-sensing retrievals of aerosol fine mode fraction over ocean. J. Geophys. Res. Atmos. 2005, 110, 22. [Google Scholar] [CrossRef]
- Chu, D.A.; Kaufman, Y.J.; Ichoku, C.; Remer, L.A.; Tanré, D.; Holben, B.N. Validation of modis aerosol optical depth retrieval over land. Geophys. Res. Lett. 2002, 29, 8007. [Google Scholar] [CrossRef]
- Wei, J.; Sun, L. Comparison and evaluation of different modis aerosol optical depth products over the Beijing-Tianjin-Hebei region in China. IEEE J. Sel. Top. Appl. Earth Obs. Remote Sens. 2017, 99, 1–10. [Google Scholar] [CrossRef]
- Georgoulias, A.K.; Alexandri, G.; Kourtidis, K.A.; Lelieveld, J.; Zanis, P.; Amiridis, V. Differences between the modis collection 6 and 5.1 aerosol datasets over the greater mediterranean region. Atmos. Environ. 2016, 147, 310–319. [Google Scholar] [CrossRef]
- Bilal, M.; Nichol, J.E. Evaluation of the ndvi-based pixel selection criteria of the modis c6 dark target and deep blue combined aerosol product. IEEE J. Sel. Top. Appl. Earth Obs. Remote Sens. 2017, 10, 3448–3453. [Google Scholar] [CrossRef]
- Remer, L.A.; Tanré, D.; Kaufman, Y.J.; Ichoku, C.; Mattoo, S.; Levy, R.; Chu, D.A.; Holben, B.; Dubovik, O.; Smirnov, A. Validation of modis aerosol retrieval over ocean. Geophys. Res. Lett. 2002, 29, MOD3-1–MOD3-4. [Google Scholar] [CrossRef]
- Winker, D.M.; Pelon, J. The Calipso Mission, Geoscience and Remote Sensing Symposium; IEEE International: Toulouse, France, 2003. [Google Scholar]
- Winker, D.M.; Tackett, J.L.; Getzewich, B.J.; Liu, Z.; Vaughan, M.A.; Rogers, R.R. The global 3-d distribution of tropospheric aerosols as characterized by caliop. Atmos. Chem. Phys. 2013, 13, 3345–3361. [Google Scholar] [CrossRef]
- Sayer, A.M.; Hsu, N.C.; Bettenhausen, C.; Jeong, M.J. Validation and uncertainty estimates for modis collection 6 “deep blue” aerosol data. J. Geophys. Res. Atmos. 2013, 118, 7864–7872. [Google Scholar] [CrossRef]
- Winker, D.M.; Pelon, J.; Coakley, J.A., Jr.; Ackerman, S.A.; Charlson, R.J.; Colarco, P.R.; Flamant, P.; Hoff, R.M.; Kittaka, C. The calipso mission: A global 3d view of aerosols and clouds. Bull. Am. Meteorol. Soc. 2010, 91, 1211–1229. [Google Scholar] [CrossRef]
- Winker, D.M.; Pelon, J.R.; Mccormick, M.P. The calipso mission: Spaceborne lidar for observation of aerosols and clouds. Bull. Am. Meteorol. Soc. 2010, 91, 1211–1229. [Google Scholar] [CrossRef]
- Winker, D.M.; Vaughan, M.A.; Omar, A.; Hu, Y.; Powell, K.A.; Liu, Z.; Young, S.A. Overview of the calipso mission and caliop data processing algorithms. J. Atmos. Ocean. Technol. 2009, 26, 2310–2323. [Google Scholar] [CrossRef]
- Winker, D.M.; Hunt, W.H.; McGill, M.J. Initial performance assessment of caliop. Geophys. Res. Lett. 2007, 34, 228–262. [Google Scholar] [CrossRef]
- Zhang, M.; Liu, J.; Bilal, M.; Zhang, C.; Zhao, F.; Xie, X.; Khedher, K.M. Optical and physical characteristics of the lowest aerosol layers over the yellow river basin. Atmosphere 2019, 10, 638. [Google Scholar] [CrossRef]
- Bi, J.; Huang, J.; Fu, Q.; Wang, X.; Shi, J.; Zhang, W.; Huang, Z.; Zhang, B. Toward characterization of the aerosol optical properties over loess plateau of northwestern China. J. Quant. Spectrosc. Radiat. Transf. 2011, 112, 346–360. [Google Scholar] [CrossRef]
- Xia, X.; Zong, X.; Cong, Z.; Chen, H.; Kang, S.; Wang, P. Baseline continental aerosol over the central Tibetan plateau and a case study of aerosol transport from south Asia. Atmos. Environ. 2011, 45, 7370–7378. [Google Scholar] [CrossRef]
- Zhang, M.; Wang, L.; Bilal, M.; Gong, W.; Zhang, Z.; Guo, G. The characteristics of the aerosol optical depth within the lowest aerosol layer over the Tibetan Plateau from 2007 to 2014. Remote Sens. 2018, 10, 696. [Google Scholar] [CrossRef]
- Wu, Z.J.; Ma, N.; Größ, J.; Kecorius, S.; Lu, K.D.; Shang, D.J.; Wang, Y.; Wu, Y.S.; Zeng, L.M.; Hu, M. Thermodynamic properties of nanoparticles during new particle formation events in the atmosphere of North China plain. Atmos. Res. 2017, 188, 55–63. [Google Scholar] [CrossRef]
- Zhang, S.L.; Ma, N.; Kecorius, S.; Wang, P.C.; Hu, M.; Wang, Z.B.; Groess, J.; Wu, Z.J.; Wiedensohler, A. Mixing state of atmospheric particles over the North China plain. Atmos. Environ. 2016, 125, 152–164. [Google Scholar] [CrossRef]
- Xu, C.; Ma, Y.M.; You, C.; Zhu, Z.K. The regional distribution characteristics of aerosol optical depth over the Tibetan plateau. Atmos. Chem. Phys. 2015, 15, 12065–12078. [Google Scholar] [CrossRef]
- Liu, Y.; Huang, J.; Shi, G.; Takamura, T.; Zhang, B. Aerosol optical properties determined from sky-radiometer over loess plateau of northwest China. Atmos. Chem. Phys. Discuss. 2011, 11, 23883–23910. [Google Scholar] [CrossRef]
- Tian, P.; Cao, X.; Zhang, L.; Wang, H.; Shi, J.; Huang, Z.; Zhou, T.; Liu, H. Observation and simulation study of atmospheric aerosol nonsphericity over the loess plateau in northwest China. Atmos. Environ. 2015, 117, 212–219. [Google Scholar] [CrossRef]
- Liu, Z.; Zheng, Y.F.; Liu, J.J.; Xie, M.Q. Research on the distribution of the northern region of China aerosol based on a-trian satellite. China Environ. Sci. 2015, 35, 2891–2898. [Google Scholar]
- Ding, T.; Chen, L.; Cui, D.; Center, N.C. Decadal variations of summer precipitation in northeast China and the associated circulation. Plateau Meteorol. 2015, 34, 220–229. [Google Scholar]
- Mcgrath-Spangler, E.L.; Denning, A.S. Global seasonal variations of midday planetary boundary layer depth from calipso space-borne lidar. J. Geophys. Res. Atmos. 2013, 118, 1226–1233. [Google Scholar] [CrossRef]
- Zhang, M.; Ma, Y.; Gong, W.; Zhu, Z. Aerosol optical properties of a haze episode in wuhan based on ground-based and satellite observations. Atmosphere 2014, 5, 699–719. [Google Scholar] [CrossRef]
- Zhang, M.; Liu, J.; Bilal, M.; Zhang, C.; Nazeer, M.; Atique, L.; Han, G.; Gong, W. Aerosol optical properties and contribution to differentiate haze and haze-free weather in Wuhan city. Atmophere 2020, 11, 322. [Google Scholar] [CrossRef]
- Wang, X.; Huang, J.; Zhang, R.; Chen, B.; Bi, J. Surface measurements of aerosol properties over northwest China during arm China 2008 deployment. J. Geophys. Res. 2010, 115. [Google Scholar] [CrossRef]
- Huang, J.Z.W.; Zuo, J.; Bi, J.; Shi, J.; Wang, X.; Chang, Z.; Huang, Z.; Yang, S.; Zhang, S. An overview of the semi-arid climate and environment research observatory over the loess plateau. Adv. Atmos. Sci. 2008, 25, 906. [Google Scholar] [CrossRef]
- Dey, S.; Girolamo, L.D. A climatology of aerosol optical and microphysical properties over the Indian subcontinent from 9 years (2000–2008) of multiangle imaging spectroradiometer (MISR) data. J. Geophys. Res. Atmos. 2010, 115. [Google Scholar] [CrossRef]
- Fu, R.H.Y.; Wright, J.S.; Jiang, J.H.; Dickinson, R.E.; Chen, M.; Filipiak, M.; Read, W.G.; Waters, J.W.; Wu, D.L. Short circuit of water vapor and polluted air to the global stratosphere by convective transport over the Tibetan plateau. Proc. Natl. Acad. Sci. USA 2006, 103, 5664–5669. [Google Scholar] [CrossRef]













| Variables | Spring | Summer | Autumn | Winter | ||||||||
|---|---|---|---|---|---|---|---|---|---|---|---|---|
| HLJ/JL/LN | HLJ/JL/LN | HLJ/JL/LN | HLJ/JL/LN | |||||||||
| AODA | 0.24 ± 0.31 | 0.26 ± 0.29 | 0.32 ± 0.36 | 0.26 ± 0.33 | 0.29 ± 0.31 | 0.35 ± 0.37 | 0.22 ± 0.29 | 0.24 ± 0.30 | 0.30 ± 0.35 | 0.23 ± 0.32 | 0.24 ± 0.30 | 0.28 ± 0.34 |
| BAL (km) | 1.45 ± 1.72 | 1.20 ± 1.41 | 1.07 ± 1.44 | 0.95 ± 1.28 | 0.95 ± 1.10 | 0.90 ± 1.11 | 0.93 ± 1.34 | 0.89 ± 1.12 | 0.60 ± 0.83 | 0.93 ± 1.17 | 0.87 ± 1.01 | 0.61 ± 0.96 |
| TAH (km) | 3.69 ± 2.97 | 3.37 ± 2.72 | 3.15 ± 2.01 | 2.94 ± 2.23 | 2.92 ± 2.31 | 2.86 ± 2.55 | 2.39 ± 1.79 | 2.43 ± 1.99 | 2.32 ± 1.49 | 2.28 ± 1.95 | 2.07 ± 2.14 | 2.02 ± 1.63 |
| N | 1.49 ± 0.70 | 1.52 ± 0.67 | 1.69 ± 0.84 | 1.50 ± 0.72 | 1.58 ± 0.75 | 1.68 ± 0.82 | 1.45 ± 0.69 | 1.47 ± 0.68 | 1.63 ± 0.78 | 1.48 ± 0.69 | 1.43 ± 0.66 | 1.55 ± 0.77 |
| AODL | 0.17 ± 0.22 | 0.18 ± 0.21 | 0.21 ± 0.25 | 0.18 ± 0.21 | 0.20 ± 0.22 | 0.24 ± 0.26 | 0.17 ± 0.23 | 0.18 ± 0.23 | 0.21 ± 0.27 | 0.18 ± 0.25 | 0.18 ± 0.24 | 0.20 ± 0.26 |
| TLL (km) | 1.31 ± 0.82 | 1.33 ± 0.74 | 1.23 ± 0.78 | 1.29 ± 0.73 | 1.20 ± 0.67 | 1.05 ± 0.64 | 0.99 ± 0.63 | 1.01 ± 0.59 | 1.06 ± 0.54 | 0.82 ± 0.63 | 0.74 ± 0.46 | 0.86 ± 0.52 |
| PAODL | 0.83 ± 0.27 | 0.80 ± 0.28 | 0.77 ± 0.29 | 0.82 ± 0.27 | 0.80 ± 0.28 | 0.79 ± 0.28 | 0.85 ± 0.25 | 0.85 ± 0.25 | 0.79 ± 0.28 | 0.84 ± 0.26 | 0.85 ± 0.25 | 0.82 ± 0.27 |
| VDRL | 0.09 ± 0.09 | 0.10 ± 0.07 | 0.11 ± 0.08 | 0.06 ± 0.05 | 0.06 ± 0.05 | 0.07 ± 0.05 | 0.06 ± 0.06 | 0.06 ± 0.05 | 0.07 ± 0.05 | 0.10 ± 0.10 | 0.10 ± 0.26 | 0.09 ± 0.08 |
| CRL | 0.72 ± 1.45 | 0.70 ± 0.74 | 0.74 ± 0.65 | 0.73 ± 0.75 | 0.74 ± 0.54 | 0.68 ± 0.41 | 0.62 ± 0.70 | 0.65 ± 0.84 | 0.67 ± 0.90 | 0.71 ± 2.86 | 0.65 ± 1.15 | 0.74 ± 1.66 |
| Variables | Spring | Summer | Autumn | Winter | ||||||||
|---|---|---|---|---|---|---|---|---|---|---|---|---|
| HLJ/JL/LN | HLJ/JL/LN | HLJ/JL/LN | HLJ/JL/LN | |||||||||
| AODA | 0.20 ± 0.32 | 0.22 ± 0.32 | 0.28 ± 0.36 | 0.23 ± 0.34 | 0.28 ± 0.35 | 0.35 ± 0.43 | 0.18 ± 0.30 | 0.18 ± 0.31 | 0.23 ± 0.38 | 0.18 ± 0.31 | 0.18 ± 0.28 | 0.18 ± 0.27 |
| BAL (km) | 1.73 ± 2.10 | 1.55 ± 1.97 | 1.20 ± 1.70 | 1.49 ± 2.32 | 1.47 ± 2.25 | 1.42 ± 2.39 | 1.54 ± 2.25 | 1.33 ± 1.84 | 1.05 ± 1.58 | 1.05 ± 1.53 | 1.02 ± 1.42 | 0.75 ± 1.18 |
| TAH (km) | 4.90 ± 2.56 | 4.68 ± 2.61 | 4.70 ± 2.61 | 5.07 ± 4.10 | 5.14 ± 4.15 | 4.95 ± 3.97 | 3.81 ± 3.03 | 3.57 ± 2.69 | 3.15 ± 2.33 | 2.95 ± 2.13 | 2.69 ± 2.02 | 2.73 ± 2.03 |
| N | 2.00 ± 1.06 | 2.04 ± 1.02 | 2.26 ± 1.14 | 1.90 ± 0.95 | 2.02 ± 1.03 | 2.10 ± 1.05 | 1.68 ± 0.86 | 1.76 ± 0.91 | 1.78 ± 0.87 | 1.67 ± 0.83 | 1.69 ± 0.82 | 1.82 ± 0.87 |
| AODL | 0.13 ± 0.24 | 0.14 ± 0.24 | 0.18 ± 0.30 | 0.15 ± 0.27 | 0.19 ± 0.30 | 0.27 ± 0.38 | 0.13 ± 0.25 | 0.14 ± 027 | 0.18 ± 0.34 | 0.14 ± 0.27 | 0.14 ± 0.25 | 0.14 ± 0.24 |
| TLL (km) | 1.24 ± 0.90 | 1.22 ± 0.90 | 1.26 ± 1.01 | 1.24 ± 0.84 | 1.19 ± 0.85 | 1.10 ± 0.77 | 0.99 ± 0.72 | 0.88 ± 0.61 | 0.95 ± 0.66 | 0.87 ± 0.68 | 0.77 ± 0.58 | 0.80 ± 0.60 |
| PAODL | 0.70 ± 0.32 | 0.69 ± 0.33 | 0.68 ± 0.32 | 0.72 ± 0.33 | 0.71 ± 0.33 | 0.75 ± 0.29 | 0.79 ± 0.29 | 0.77 ± 0.30 | 0.79 ± 0.28 | 0.80 ± 0.29 | 0.81 ± 0.27 | 0.77 ± 0.29 |
| VDRL | 0.05 ± 0.06 | 0.06 ± 0.06 | 0.08 ± 0.05 | 0.04 ± 0.03 | 0.04 ± 0.03 | 0.05 ± 0.03 | 0.05 ± 0.06 | 0.06 ± 0.05 | 0.06 ± 0.04 | 0.07 ± 0.14 | 0.08 ± 0.12 | 0.08 ± 0.07 |
| CRL | 0.57 ± 1.54 | 0.74 ± 2.96 | 0.77 ± 2.96 | 0.68 ± 1.90 | 0.61 ± 1.85 | 0.58 ± 1.85 | 0.66 ± 2.36 | 0.65 ± 1.88 | 0.53 ± 1.88 | 0.64 ± 1.94 | 0.62 ± 2.01 | 0.69 ± 2.01 |
| Variables | Jan | Feb | Mar | Apr | May | Jun | Jul | Aug | Sep | Oct | Nov | Dec |
|---|---|---|---|---|---|---|---|---|---|---|---|---|
| M/σ | M/σ | M/σ | M/σ | M/σ | M/σ | M/σ | M/σ | M/σ | M/σ | M/σ | M/σ | |
| AODA | 0.23 ± 0.29 | 0.25 ± 0.31 | 0.27 ± 0.35 | 0.26 ± 0.27 | 0.18 ± 0.19 | 0.23 ± 0.25 | 0.33 ± 0.39 | 0.20 ± 0.20 | 0.16 ± 0.19 | 0.27 ± 0.30 | 0.21 ± 0.28 | 0.23 ± 0.31 |
| 0.25 ± 0.28 | 0.28 ± 0.29 | 0.30 ± 0.33 | 0.27 ± 0.25 | 0.22 ± 0.21 | 0.26 ± 0.23 | 0.36 ± 0.34 | 0.21 ± 0.22 | 0.20 ± 0.19 | 0.29 ± 0.35 | 0.20 ± 0.22 | 0.23 ± 0.30 | |
| 0.29 ± 0.33 | 0.28 ± 0.31 | 0.27 ± 0.31 | 0.34 ± 0.31 | 0.32 ± 0.33 | 0.31 ± 0.29 | 0.41 ± 0.38 | 0.36 ± 0.35 | 0.31 ± 0.34 | 0.32 ± 0.33 | 0.27 ± 0.33 | 0.28 ± 0.34 | |
| BAL | 0.81 ± 1.03 | 0.95 ± 1.14 | 1.361.34 | 1.34 ± 1.65 | 1.56 ± 1.73 | 1.05 ± 1.26 | 0.84 ± 0.98 | 0.98 ± 1.28 | 1.15 ± 1.48 | 0.871.07 | 0.911.23 | 1.051.25 |
| 0.78 ± 0.74 | 0.75 ± 0.70 | 1.41 ± 1.35 | 1.01 ± 1.04 | 1.24 ± 1.39 | 0.91 ± 0.74 | 1.02 ± 0.95 | 0.97 ± 1.14 | 0.98 ± 1.09 | 0.94 ± 1.03 | 0.84 ± 0.86 | 1.00 ± 0.94 | |
| 0.61 ± 0.89 | 0.65 ± 0.96 | 0.84 ± 0.91 | 0.98 ± 1.31 | 1.33 ± 1.54 | 1.03 ± 1.02 | 1.04 ± 0.92 | 0.70 ± 0.92 | 0.68 ± 0.84 | 0.61 ± 0.75 | 0.61 ± 0.85 | 0.59 ± 0.77 | |
| TAH | 2.03 ± 1.74 | 2.30 ± 1.78 | 3.63 ± 3.39 | 3.58 ± 2.58 | 3.62 ± 1.91 | 3.22 ± 1.70 | 2.77 ± 1.96 | 2.76 ± 1.99 | 3.07 ± 2.00 | 2.40 ± 1.50 | 2.05 ± 1.55 | 2.51 ± 1.86 |
| 2.00 ± 1.79 | 2.22 ± 1.98 | 3.29 ± 2.35 | 3.17 ± 1.87 | 3.57 ± 2.19 | 3.21 ± 1.74 | 3.00 ± 1.84 | 2.54 ± 1.23 | 2.71 ± 1.52 | 2.59 ± 1.49 | 2.06 ± 1.77 | 2.05 ± 1.24 | |
| 2.12 ± 1.42 | 2.09 ± 1.62 | 2.45 ± 1.56 | 3.20 ± 1.31 | 3.63 ± 1.83 | 3.14 ± 1.99 | 2.96 ± 2.37 | 2.40 ± 1.59 | 2.64 ± 1.33 | 2.40 ± 1.56 | 2.09 ± 1.20 | 1.86 ± 1.05 | |
| N | 1.42 ± 0.64 | 1.46 ± 0.60 | 1.44 ± 0.63 | 1.51 ± 0.66 | 1.47 ± 0.69 | 1.48 ± 0.66 | 1.54 ± 0.75 | 1.40 ± 0.59 | 1.38 ± 0.59 | 1.53 ± 0.69 | 1.38 ± 0.63 | 1.52 ± 0.68 |
| 1.42 ± 0.62 | 1.43 ± 0.60 | 1.42 ± 0.63 | 1.55 ± 0.62 | 1.50 ± 0.65 | 1.71 ± 0.80 | 1.62 ± 0.73 | 1.40 ± 0.57 | 1.40 ± 0.59 | 1.56 ± 0.71 | 1.37 ± 0.57 | 1.44 ± 0.66 | |
| 1.66 ± 0.80 | 1.51 ± 0.71 | 1.50 ± 0.69 | 1.77 ± 0.87 | 1.78 ± 0.87 | 1.73 ± 0.73 | 1.65 ± 0.76 | 1.59 ± 0.75 | 1.64 ± 0.69 | 1.64 ± 0.73 | 1.58 ± 0.77 | 1.49 ± 0.64 | |
| AODL | 0.18 ± 0.22 | 0.18 ± 0.23 | 0.20 ± 0.26 | 0.18 ± 0.20 | 0.14 ± 0.15 | 0.17 ± 0.18 | 0.21 ± 0.24 | 0.15 ± 0.14 | 0.12 ± 0.14 | 0.20 ± 0.25 | 0.17 ± 0.22 | 0.18 ± 0.25 |
| 0.20 ± 0.23 | 0.21 ± 0.23 | 0.21 ± 0.22 | 0.19 ± 0.19 | 0.15 ± 0.16 | 0.17 ± 0.15 | 0.24 ± 0.23 | 0.16 ± 0.18 | 0.15 ± 0.14 | 0.21 ± 0.25 | 0.16 ± 0.18 | 0.17 ± 0.25 | |
| 0.20 ± 0.23 | 0.21 ± 0.24 | 0.19 ± 0.21 | 0.23 ± 0.24 | 0.21 ± 0.23 | 0.21 ± 0.20 | 0.30 ± 0.29 | 0.25 ± 0.26 | 0.22 ± 0.24 | 0.23 ± 0.27 | 0.20 ± 0.26 | 0.21 ± 0.27 | |
| TLL | 0.75 ± 0.55 | 0.87 ± 0.60 | 1.14 ± 0.69 | 1.39 ± 0.81 | 1.34 ± 0.83 | 1.46 ± 0.80 | 1.22 ± 0.67 | 1.22 ± 0.65 | 1.24 ± 0.72 | 0.99 ± 0.59 | 0.83 ± 0.51 | 0.84 ± 0.65 |
| 0.70 ± 0.43 | 0.80 ± 0.43 | 1.16 ± 0.63 | 1.42 ± 0.74 | 1.41 ± 0.72 | 1.30 ± 0.63 | 1.09 ± 0.60 | 1.17 ± 0.59 | 1.27 ± 0.70 | 1.06 ± 0.55 | 0.80 ± 0.37 | 0.71 ± 0.44 | |
| 0.80 ± 0.51 | 0.88 ± 0.44 | 1.01 ± 0.55 | 1.38 ± 0.83 | 1.29 ± 0.83 | 1.13 ± 0.71 | 0.88 ± 0.46 | 1.06 ± 0.57 | 1.15 ± 0.62 | 1.06 ± 0.46 | 0.94 ± 0.45 | 0.89 ± 0.47 | |
| PAODL | 0.85 ± 0.24 | 0.84 ± 0.26 | 0.85 ± 0.25 | 0.81 ± 0.27 | 0.84 ± 0.25 | 0.83 ± 0.25 | 0.82 ± 0.27 | 0.84 ± 0.25 | 0.87 ± 0.22 | 0.83 ± 0.26 | 0.87 ± 0.23 | 0.84 ± 0.25 |
| 0.85 ± 0.24 | 0.83 ± 0.24 | 0.84 ± 0.27 | 0.79 ± 0.28 | 0.81 ± 0.27 | 0.76 ± 0.29 | 0.79 ± 0.26 | 0.85 ± 0.25 | 0.87 ± 0.23 | 0.84 ± 0.24 | 0.86 ± 0.25 | 0.85 ± 0.24 | |
| 0.80 ± 0.27 | 0.83 ± 0.26 | 0.84 ± 0.25 | 0.74 ± 0.30 | 0.76 ± 0.30 | 0.78 ± 0.27 | 0.81 ± 0.24 | 0.81 ± 0.27 | 0.76 ± 0.29 | 0.79 ± 0.27 | 0.82 ± 0.26 | 0.84 ± 0.25 | |
| VDRL | 0.09 ± 0.08 | 0.11 ± 0.10 | 0.11 ± 0.11 | 0.08 ± 0.08 | 0.07 ± 0.06 | 0.06 ± 0.04 | 0.06 ± 0.05 | 0.06 ± 0.06 | 0.06 ± 0.05 | 0.05 ± 0.04 | 0.07 ± 0.07 | 0.11 ± 0.09 |
| 0.10 ± 0.10 | 0.11 ± 0.26 | 0.11 ± 0.09 | 0.09 ± 0.06 | 0.09 ± 0.06 | 0.06 ± 0.04 | 0.06 ± 0.05 | 0.06 ± 0.04 | 0.07 ± 0.04 | 0.06 ± 0.04 | 0.06 ± 0.06 | 0.10 ± 0.10 | |
| 0.08 ± 0.06 | 0.09 ± 0.07 | 0.11 ± 0.08 | 0.10 ± 0.06 | 0.11 ± 0.07 | 0.07 ± 0.04 | 0.06 ± 0.04 | 0.07 ± 0.05 | 0.07 ± 0.05 | 0.07 ± 0.04 | 0.07 ± 0.05 | 0.11 ± 0.09 | |
| CRL | 0.60 ± 0.44 | 0.64 ± 0.49 | 0.68 ± 0.60 | 0.81 ± 1.46 | 0.65 ± 0.40 | 0.71 ± 0.56 | 0.73 ± 0.44 | 0.77 ± 0.75 | 0.68 ± 0.48 | 0.58 ± 0.44 | 0.59 ± 0.64 | 0.80 ± 1.87 |
| 0.76 ± 1.27 | 0.64 ± 0.40 | 0.72 ± 0.75 | 0.62 ± 0.27 | 0.71 ± 0.42 | 0.70 ± 0.30 | 0.78 ± 0.47 | 0.78 ± 0.57 | 0.73 ± 0.38 | 0.60 ± 0.52 | 0.65 ± 0.88 | 0.59 ± 0.35 | |
| 0.63 ± 0.42 | 0.91 ± 1.41 | 0.79 ± 0.70 | 0.77 ± 0.53 | 0.70 ± 0.38 | 0.68 ± 0.32 | 0.63 ± 0.34 | 0.70 ± 0.40 | 0.68 ± 0.38 | 0.77 ± 0.82 | 0.58 ± 0.46 | 0.65 ± 0.54 |
| Variables | Jan | Feb | Mar | Apr | May | Jun | Jul | Aug | Sep | Oct | Nov | Dec |
|---|---|---|---|---|---|---|---|---|---|---|---|---|
| M/σ | M/σ | M/σ | M/σ | M/σ | M/σ | M/σ | M/σ | M/σ | M/σ | M/σ | M/σ | |
| AODA | 0.18 ± 0.30 | 0.19 ± 0.30 | 0.17 ± 0.29 | 0.26 ± 0.35 | 0.18 ± 0.27 | 0.24 ± 0.31 | 0.23 ± 0.32 | 0.21 ± 0.32 | 0.14 ± 0.23 | 0.20 ± 0.32 | 0.18 ± 0.28 | 0.18 ± 0.31 |
| 0.16 ± 0.23 | 0.17 ± 0.28 | 0.20 ± 0.30 | 0.27 ± 0.32 | 0.21 ± 0.29 | 0.31 ± 0.35 | 0.29 ± 0.33 | 0.23 ± 0.28 | 0.16 ± 0.25 | 0.21 ± 0.31 | 0.18 ± 0.29 | 0.20 ± 0.31 | |
| 0.17 ± 0.23 | 0.21 ± 0.31 | 0.28 ± 0.35 | 0.24 ± 0.33 | 0.31 ± 0.35 | 0.37 ± 0.44 | 0.37 ± 0.43 | 0.30 ± 0.36 | 0.25 ± 0.31 | 0.26 ± 0.42 | 0.17 ± 0.27 | 0.18 ± 0.25 | |
| BAL | 1.05 ± 1.47 | 1.12 ± 1.58 | 1.54 ± 1.93 | 1.49 ± 1.86 | 2.17 ± 2.31 | 1.55 ± 2.11 | 1.48 ± 2.16 | 1.46 ± 2.01 | 1.72 ± 2.29 | 1.77 ± 2.30 | 1.19 ± 1.52 | 1.00 ± 1.41 |
| 1.05 ± 1.32 | 1.05 ± 1.40 | 1.59 ± 2.01 | 1.25 ± 1.51 | 1.92 ± 2.13 | 1.67 ± 1.88 | 1.40 ± 2.18 | 1.35 ± 2.04 | 1.54 ± 1.95 | 1.41 ± 1.83 | 1.22 ± 1.34 | 1.00 ± 1.33 | |
| 0.70 ± 0.96 | 0.84 ± 1.23 | 1.10 ± 1.51 | 1.23 ± 1.68 | 1.26 ± 1.66 | 1.38 ± 1.77 | 1.70 ± 2.30 | 1.08 ± 1.67 | 1.22 ± 1.57 | 1.05 ± 1.55 | 1.00 ± 1.23 | 0.74 ± 1.08 | |
| TAH | 2.78 ± 2.04 | 3.41 ± 2.14 | 4.16 ± 2.34 | 4.95 ± 2.34 | 5.58 ± 2.55 | 4.79 ± 2.95 | 5.43 ± 3.36 | 4.64 ± 2.98 | 4.53 ± 3.16 | 4.01 ± 2.72 | 2.96 ± 2.22 | 2.67 ± 1.97 |
| 2.81 ± 1.94 | 3.02 ± 1.96 | 3.99 ± 2.39 | 4.75 ± 2.29 | 5.33 ± 2.50 | 5.24 ± 2.72 | 5.38 ± 3.09 | 4.23 ± 2.94 | 4.48 ± 2.91 | 3.65 ± 2.24 | 2.81 ± 2.03 | 2.64 ± 1.81 | |
| 2.64 ± 1.95 | 3.03 ± 2.04 | 4.20 ± 2.23 | 4.84 ± 2.41 | 5.20 ± 2.46 | 5.46 ± 3.24 | 5.29 ± 3.23 | 3.92 ± 2.31 | 3.86 ± 2.45 | 3.09 ± 2.19 | 2.71 ± 1.87 | 2.58 ± 1.79 | |
| N | 1.63 ± 0.83 | 1.78 ± 0.88 | 1.83 ± 0.92 | 2.16 ± 1.11 | 1.98 ± 1.02 | 1.92 ± 0.97 | 1.86 ± 0.89 | 1.86 ± 0.90 | 1.73 ± 0.86 | 1.71 ± 0.87 | 1.56 ± 0.75 | 1.58 ± 0.75 |
| 1.69 ± 0.76 | 1.81 ± 0.87 | 1.84 ± 0.90 | 2.18 ± 1.00 | 2.05 ± 0.98 | 2.12 ± 1.06 | 1.99 ± 0.93 | 1.86 ± 0.89 | 1.83 ± 0.94 | 1.82 ± 0.88 | 1.57 ± 0.71 | 1.64 ± 0.77 | |
| 1.81 ± 0.88 | 1.88 ± 0.85 | 2.15 ± 0.97 | 2.24 ± 1.10 | 2.38 ± 1.17 | 2.16 ± 1.01 | 2.02 ± 0.97 | 2.05 ± 0.98 | 1.91 ± 0.95 | 1.77 ± 0.83 | 1.68 ± 0.75 | 1.77 ± 0.82 | |
| AODL | 0.14 ± 0.26 | 0.14 ± 0.26 | 0.12 ± 0.23 | 0.16 ± 0.27 | 0.11 ± 0.20 | 0.15 ± 0.25 | 0.16 ± 0.27 | 0.14 ± 0.25 | 0.09 ± 0.18 | 0.15 ± 0.26 | 0.15 ± 0.24 | 0.15 ± 0.27 |
| 0.12 ± 0.21 | 0.13 ± 0.24 | 0.14 ± 0.25 | 0.16 ± 0.23 | 0.12 ± 0.19 | 0.20 ± 0.28 | 0.22 ± 0.28 | 0.17 ± 0.23 | 0.10 ± 0.18 | 0.17 ± 0.27 | 0.15 ± 0.25 | 0.17 ± 0.28 | |
| 0.13 ± 0.19 | 0.15 ± 0.26 | 0.20 ± 0.31 | 0.16 ± 0.27 | 0.19 ± 0.28 | 0.27 ± 0.37 | 0.29 ± 0.38 | 0.24 ± 0.34 | 0.19 ± 0.26 | 0.21 ± 0.37 | 0.13 ± 0.23 | 0.15 ± 0.23 | |
| TLL | 0.82 ± 0.65 | 0.94 ± 0.69 | 1.08 ± 0.75 | 1.29 ± 0.91 | 1.33 ± 0.95 | 1.37 ± 0.91 | 1.20 ± 0.77 | 1.12 ± 0.74 | 1.15 ± 0.82 | 0.96 ± 0.66 | 0.86 ± 0.61 | 0.84 ± 0.66 |
| 0.76 ± 0.49 | 0.77 ± 0.54 | 1.11 ± 0.76 | 1.27 ± 0.91 | 1.28 ± 0.93 | 1.35 ± 0.99 | 1.15 ± 0.71 | 1.06 ± 0.64 | 1.01 ± 0.64 | 0.91 ± 0.62 | 0.74 ± 0.48 | 0.82 ± 0.63 | |
| 0.76 ± 0.54 | 0.83 ± 0.62 | 1.18 ± 0.80 | 1.34 ± 1.05 | 1.30 ± 1.07 | 1.16 ± 0.85 | 1.08 ± 0.66 | 1.02 ± 0.67 | 1.02 ± 0.62 | 1.02 ± 0.72 | 0.81 ± 0.54 | 0.83 ± 0.56 | |
| PAODL | 0.82 ± 0.28 | 0.75 ± 0.31 | 0.74 ± 0.30 | 0.67 ± 0.33 | 0.69 ± 0.32 | 0.70 ± 0.32 | 0.74 ± 0.31 | 0.73 ± 0.31 | 0.74 ± 0.32 | 0.80 ± 0.29 | 0.84 ± 0.26 | 0.82 ± 0.27 |
| 0.80 ± 0.25 | 0.76 ± 0.28 | 0.74 ± 0.30 | 0.66 ± 0.32 | 0.68 ± 0.32 | 0.68 ± 0.33 | 0.74 ± 0.31 | 0.74 ± 0.31 | 0.72 ± 0.32 | 0.77 ± 0.29 | 0.84 ± 0.24 | 0.84 ± 0.24 | |
| 0.77 ± 0.28 | 0.74 ± 0.29 | 0.70 ± 0.30 | 0.69 ± 0.31 | 0.66 ± 0.33 | 0.73 ± 0.30 | 0.78 ± 0.27 | 0.77 ± 0.28 | 0.76 ± 0.29 | 0.80 ± 0.28 | 0.81 ± 0.26 | 0.80 ± 0.26 | |
| VDRL | 0.07 ± 0.13 | 0.07 ± 0.12 | 0.06 ± 0.07 | 0.05 ± 0.05 | 0.05 ± 0.05 | 0.04 ± 0.03 | 0.03 ± 0.03 | 0.04 ± 0.03 | 0.05 ± 0.03 | 0.04 ± 0.04 | 0.06 ± 0.08 | 0.08 ± 0.11 |
| 0.07 ± 0.11 | 0.08 ± 0.12 | 0.06 ± 0.06 | 0.06 ± 0.05 | 0.07 ± 0.05 | 0.04 ± 0.03 | 0.04 ± 0.03 | 0.04 ± 0.03 | 0.05 ± 0.03 | 0.05 ± 0.04 | 0.06 ± 0.06 | 0.08 ± 0.08 | |
| 0.07 ± 0.05 | 0.09 ± 0.08 | 0.08 ± 0.06 | 0.08 ± 0.04 | 0.08 ± 0.05 | 0.05 ± 0.03 | 0.05 ± 0.03 | 0.04 ± 0.03 | 0.05 ± 0.03 | 0.06 ± 0.03 | 0.07 ± 0.05 | 0.09 ± 0.07 | |
| CRL | 0.59 ± 1.61 | 0.61 ± 1.37 | 0.59 ± 1.55 | 0.58 ± 1.33 | 0.53 ± 0.75 | 0.65 ± 1.12 | 0.73 ± 1.69 | 0.66 ± 1.70 | 0.75 ± 2.00 | 0.64 ± 1.92 | 0.62 ± 1.81 | 0.69 ± 2.02 |
| 0.63 ± 1.56 | 0.62 ± 1.40 | 0.60 ± 1.32 | 0.70 ± 1.80 | 0.92 ± 2.43 | 0.58 ± 0.71 | 0.68 ± 1.47 | 0.54 ± 0.60 | 0.57 ± 0.88 | 0.66 ± 1.36 | 0.63 ± 1.28 | 0.65 ± 1.49 | |
| 0.62 ± 1.22 | 0.75 ± 1.71 | 0.79 ± 1.85 | 0.69 ± 1.14 | 0.81 ± 2.06 | 0.53 ± 0.46 | 0.55 ± 0.67 | 0.63 ± 1.06 | 0.54 ± 0.60 | 0.50 ± 0.54 | 0.55 ± 0.88 | 0.76 ± 1.53 |
© 2020 by the authors. Licensee MDPI, Basel, Switzerland. This article is an open access article distributed under the terms and conditions of the Creative Commons Attribution (CC BY) license (http://creativecommons.org/licenses/by/4.0/).
Share and Cite
Su, B.; Li, H.; Zhang, M.; Bilal, M.; Wang, M.; Atique, L.; Zhang, Z.; Zhang, C.; Han, G.; Qiu, Z.; et al. Optical and Physical Characteristics of Aerosol Vertical Layers over Northeastern China. Atmosphere 2020, 11, 501. https://doi.org/10.3390/atmos11050501
Su B, Li H, Zhang M, Bilal M, Wang M, Atique L, Zhang Z, Zhang C, Han G, Qiu Z, et al. Optical and Physical Characteristics of Aerosol Vertical Layers over Northeastern China. Atmosphere. 2020; 11(5):501. https://doi.org/10.3390/atmos11050501
Chicago/Turabian StyleSu, Bo, Hao Li, Miao Zhang, Muhammad Bilal, Minxia Wang, Luqman Atique, Ziyue Zhang, Chun Zhang, Ge Han, Zhongfeng Qiu, and et al. 2020. "Optical and Physical Characteristics of Aerosol Vertical Layers over Northeastern China" Atmosphere 11, no. 5: 501. https://doi.org/10.3390/atmos11050501
APA StyleSu, B., Li, H., Zhang, M., Bilal, M., Wang, M., Atique, L., Zhang, Z., Zhang, C., Han, G., Qiu, Z., & Ali, M. A. (2020). Optical and Physical Characteristics of Aerosol Vertical Layers over Northeastern China. Atmosphere, 11(5), 501. https://doi.org/10.3390/atmos11050501

