Abstract
Municipal solid waste (MSW) landfills are one of the main sources of greenhouse gas emissions. Biogas is formed under anaerobic conditions by decomposition of the organic matter present in waste. The estimation of biogas production, which depends fundamentally on the type of waste deposited in the landfill, is essential when designing the gas capture system and the possible generation of energy. BIOLEACH, a mathematical model for the real-time management of MSW landfills, enables the estimation of biogas generation based on the waste mix characteristics and the local meteorological conditions. This work studies the impact of installing selective organic matter collection systems on landfill biogas production. These systems reduce the content of food waste that will eventually be deposited in the landfill. Results obtained using BIOLEACH on a set of scenarios under real climate conditions in a real landfill located in the Region of Murcia (Spain) are shown. Results demonstrate that actual CH4 and CO2 production depends fundamentally on the monthly amount of waste stored in the landfill, its chemical composition and the availability and distribution of water inside the landfill mass.
1. Introduction
In municipal solid waste (MSW) landfills, biogas originates under anaerobic conditions from the decomposition of organic matter present in the waste [,,]. Biogas is made up of a mixture of gases composed mainly of methane (CH4) and carbon dioxide (CO2), along with other gases such as nitrogen (N2), oxygen (O2) and other compounds in smaller proportions (hydrogen sulfide (H2S), benzene (C6H6), mercury vapor [,].
The main composition of the biogas will depend on how the organic matter degradation process develops, while the appearance of compounds in trace amounts is linked to the chemical composition of the waste [,].
Methane, carbon dioxide and other halocarbon compounds present in biogas are gases that contribute to the greenhouse effect, that is, they prevent infrared radiation from leaving the atmosphere by absorbing it and this process generates heat that returns to the Earth’s surface []. Despite the fact that methane is, in order of importance due to the greenhouse effect, behind carbon dioxide, its warming potential is 28 times higher [].
Sometimes, the presence of high nitrogen content in the waste deposited inside the landfill causes emissions of nitrous oxide, which increases the warming of the atmosphere []. Halocarbon compounds, which can also be found in biogas, degrade the ozone layer and increase the greenhouse effect [,]. Solid urban waste landfills constitute one of the largest sources of methane emissions, representing between 12% and 19% of total emissions [,,].
Therefore, the main reasons why it is important to capture and control biogas in landfills are [,,,]: (i) reduce possible negative effects on human health and the environmental balance; (ii) reduce greenhouse gas emissions, and (iii) take advantage of the potential of biogas for energy cogeneration.
The average composition of biogas from MSW landfills is shown in Table 1.

Table 1.
Average composition of biogas from MSW landfills.
The phases of degradation and decomposition of the organic matter present in the waste deposited in the landfill have been studied in numerous investigations. However, the number of these phases varies between the different authors: three phases [,], four phases [,,,], five phases [,,,] and eight phases [].
The disparity in the number of phases considered is fundamentally due to the fact that the results cannot be extrapolated because the experiments are usually carried out in lysimeters, under controlled conditions in the laboratory, or in cells at landfill scale [,,,]. Furthermore, these studies do not usually provide enough information about the composition of the waste, the characteristics of the simulated landfill and the climatic conditions considered, which are fundamental parameters when estimating biogas production. Figure 1 shows the process of the stabilization of waste from the degradation of organic matter in five sequential phases.

Figure 1.
Phases of the biogas formation process inside a MSW landfill [].
As the waste is deposited in the landfill continuously and progressively, in a given landfill these phases overlap continuously over time [].
The amount of biogas produced in landfills, as well as its rate of formation or its composition, depend on several factors [,,]: (i) characteristics of the waste (total mass stored in the landfill, content of organic matter, moisture, existence of nutrients and inhibitors of methanogenic activity), (ii) waste treatment technologies (classification, particle size, leachate recirculation); (iii) landfill characteristics (topography, operation method, leachate management, biogas management, intermediate regularization layers), and (iv) weather conditions (precipitation, temperature and evaporation).
Along with the presence of organic matter inside the waste mix, one of the most determining parameters in biogas production is the moisture content present inside the landfill [,,,]. Optimal humidity conditions favor the transport and growth of bacteria and nutrients [], improving the degradation of organic matter [,] and, consequently, biogas production.
2. Landfill Biogas Production
2.1. Parameters That Control Biogas Production
Biogas production in waste landfills over time can be estimated from numerical models. Most of these biogas models focus on estimating methane production [,].
In its simplest form, biogas models estimate the methane that is generated by a unit amount of waste deposited at a point in the landfill at a given time. The total methane generation is the sum of all the gas generated by all the waste deposited in the landfill. In general, calculations are usually performed on an annual scale [].
In practice, obtaining the data necessary to estimate biogas production in landfills is difficult. Usually, much of the data required to be able to carry out the modeling is not available, so the information needed to run the emission models is usually estimated from theoretical arguments or secondary variables. Even when data are available, they are generally only a statistical representation of actual values []. All this causes the results of the models that estimate biogas production to differ considerably from field measurements [,,,,,].
However, the application of biogas generation estimation models provides advantages, as long as their use is carried out knowing the limitations and deviations that they may present with respect to the actual biogas production, which in some cases can be greater than 50% [].
The use of specific data and the development of individualized models for each landfill can contribute to reducing this uncertainty and obtaining biogas estimates that are more adjusted to the actual generation.
Most of the models that estimate biogas production in MSW landfills, regardless of their complexity, type or validation, consider the following parameters [,]: (i) initial biogas production potential (expected volume of gas generated from a certain amount of waste); (ii) accumulated biogas production (volume of gas actually produced in a given time from a certain amount of waste); (iii) biogas production potential (volume of gas that will be generated after a certain time from a certain amount of waste), and (iv) biogas generation rate (volume of gas produced from a certain amount of waste over time).
The potential for biogas production is estimated based on stoichiometric equations that reproduce the degradation of organic matter present in the waste. The biogas generation rate is calculated using kinetic models.
2.1.1. Stoichiometric Equations
Inside the landfill, physical, chemical and biological reactions take place, transforming complex compounds present in the waste into simpler and, above all, more stable compounds. These reactions alter the characteristics of the waste and achieve, over time, the stabilization of the mass deposited in the landfill [,].
The degradation of the organic matter contained in the waste occurs because there is a substrate with nutrients (carbon, hydrogen, oxygen, nitrogen) that contributes to the growth of existing microorganisms, which transform the substrate into gases such as carbon dioxide and methane [].
The stoichiometric equations that govern the chemical reactions inside the waste mass are influenced by the environmental conditions imposed []. When evaluating biogas generated in landfills, the degradation of organic matter occurs under anaerobic conditions.
From these equations, the maximum theoretical (potential) production of biogas can be evaluated, adjusting the stoichiometry of the reaction to the available data on the composition of waste and organic matter present in it.
There are different formulations that describe the anaerobic degradation of organic matter, distinguishing between equations that contemplate the complete decomposition of organic matter [,,,] and those that subject organic matter to incomplete degradation [,].
Given the high uncertainty when estimating biogas production in a MSW landfill, when these stoichiometric equations are used in the modeling, it is normally preferred to consider those that consider complete degradation, since they are easier to adjust and do not introduce additional uncertainty. The equations for partial degradation of organic matter should only be used when specific data on the composition of the mass of waste deposited in the landfill became available after sufficient time had elapsed for the degradation of organic matter to have fully developed. These data are not usually available in real situations. The stoichiometric equations that express the total degradation of organic matter require ideal conditions to be met in the landfill, since it is considered that the entire biodegradable fraction decomposes and generates biogas. The result obtained indicates the maximum theoretical limit for biogas generation.
2.1.2. Reaction Kinetics
The speed with which biogas is produced in a MSW landfill does not remain constant over time. The temporal evolution of the biogas generation rate in landfills can be established from different mathematical approaches []: (i) simple empirical functions with global kinetic parameters; (ii) complex functions that try to represent the individual kinetics of the processes that take place during the biodegradation of the waste, and (iii) numerical models.
Most models work with global kinetic parameters, which are empirically adjusted so that the calculated production rates coincide with the observed production rates. Usually, an initial period is considered during which no biogas is generated (or its production is minimal), followed by an active period of generation, represented by linear and/or exponential relationships (or their combinations) [,].
The main difficulty when modeling biogas production is not only knowing the amount of gas produced, but also the speed and duration of the process []. Equation (1) is the general equation that governs biogas production:
where t represents time and C the amount of methane or biodegradable matter. That is, Equation (1) can express both the rate of degradation of the material and the rate of generation of biogas. The exponent n is the order of the model or, which is the same, the order of the kinetic reaction [].
To simulate biogas production every numerical model uses just a specific formulation of Equation (1). This work introduces the BIOLEACH model as a numerical approach to estimate jointly leachate and biogas production in MSW landfills. considering the triangular model described in Section 3.
2.2. Biogas Production Models
The first models for evaluating biogas production in MSW landfills were developed in the 1970s []. These models tried to establish a rational basis for predicting biogas production based on limited data []. Later, quantitative models appeared [] and models that used zero order and first order kinetic equations []. However, these models that described the generation of biogas over time were difficult to verify due to the limited availability of field data [].
Different studies have shown that a landfill is a complex system in which different coupled processes converge: hydraulic, thermal, biological and mechanical, among others. These processes need to be analyzed together in order to be able to evaluate the behavior of the landfill in a more realistic way. Table 2 shows a non-exhaustive list of identified studies in which coupled process models have been developed in MSW landfills.

Table 2.
Available models for the analysis of coupled processes in MSW landfills.
3. Materials and Methods
3.1. BIOLEACH Model
BIOLEACH [] is a mathematical model for the real-time management of urban solid waste landfills. The model allows for joint estimations of leachate and biogas production and incorporates the possibility of simulating leachate recirculation, both on the landfill surface and inside the waste mass, being therefore also suitable for simulating bioreactor landfills.
The BIOLEACH model has been conceived to be a decision support tool to ensure optimal landfill management. It can be used by the landfill operator avoiding the use of parameters that may be difficult to obtain.
The production of landfill gas and the generation of leachate are considered by the model as coupled processes. The biogas generation calculations are carried out at the same time as the leachate production calculations considering the physicochemical conditions actually existing inside the waste mass and the corresponding water balances.
BIOLEACH uses waste production data on a monthly scale, which gives it enough flexibility to adapt the model to possible variations arising from the real management needs of waste treatment facilities. Likewise, the model uses values of the climatological parameters on a monthly scale obtained from local meteorological stations, so that the simulations incorporate as much information as possible. Figure 2 shows the conceptual model implemented in BIOLEACH.

Figure 2.
BIOLEACH conceptual model.
The model serves as support for decision-making in the daily management of the landfill, responding to the real needs that the operator must face. The model considers that the landfill receives a known quantity of previously characterized waste under certain meteorological conditions and the availability of a limited volume of leachate storage in the pond.
Having a landfill management model that informs about the optimal operating rules, which guarantee that biogas production is maximum, is of paramount importance to meet the objectives set by current legislation on environmental protection.
3.2. Optimal Monthly Biogas Production Calculation
In order to estimate the optimal monthly biogas production, it is necessary to know the characterization of the waste stored in the landfill. The characterization data include the total weight of each of the waste components, its moisture content and the masses of C, H, O and N included in the organic fraction of the waste. For the calculation of biogas production, the model considers both the rapidly decomposable (RDW) and the slowly decomposable (SDW) waste fractions, as well as the non-decomposable waste fraction (NDW) that usually results from process inefficiencies prior to separation in the event that the waste comes from a treatment plant.
Of all the stoichiometric formulations that describe the anaerobic degradation process of organic matter included in a MSW landfill, BIOLEACH has implemented the one shown in Equation (2), which enables the estimation of biogas production under optimal conditions (those that produce complete biodegradation of organic matter contained in the waste), depending on the chemical composition of the MSW and neglecting the effects of the presence of sulfur []:
The term CaHbOcNd represents in molar base the organic matter composition at the beginning of the process. The coefficients a, b, c and d are the stoichiometric indexes of carbon, hydrogen, oxygen, and nitrogen, respectively. These coefficients are automatically calibrated by the model for a given mix of waste stored in the landfill. Their values depend on the proportions of the different components present in the waste mix. The above methodology assumes that the biodegradable organic fraction of the waste is completely stabilized and eventually degrades to form methane, carbon dioxide and ammonia. The speed of this conversion depends on the content of RDW and SDW within the waste mass and on the availability of water, which is a limiting factor as its absence can inhibit the biogas formation process.
Thus, BIOLEACH calculates the maximum biogas production independently for the rapidly biodegradable and for the slowly biodegradable fraction. The model considers that the kinetics of the organic matter degradation reaction follows a triangular pattern. The user must calibrate the percentage of MSW that is effectively available to be degraded and, in addition, must specify the parameters of the triangular model. These parameters are: (i) time used to reach the complete degradation of the RDW and SDW fractions, and (ii) time in which the maximum biodegradation rate is reached for the RDW and SDW fractions.
The model allows one to establish the percentage of the waste that is effectively available for its total degradation, distinguishing between the percentage corresponding to the RDW fraction and the SDW. According to [], these values are lower than 75% for RDW and 50% for SDW, which shows that, even after the completion of the biogas formation process, a high content of organic matter will still be stored inside the dump.
Figure 3 shows the flow diagram for calculating the maximum monthly biogas production based on the values of the three factors described above.

Figure 3.
Flowchart for calculating the maximum monthly biogas production.
Next, the reaction kinetic model to establish the unit rate of biogas formation is described in greater detail. (m3 biogas/kg MSW every month) corresponding to each of the MSW fractions (RDW and SDW). Among the different existing reaction kinetic models for calculating biogas, due to its simplicity, the triangular decomposition model has been the one finally implemented in BIOLEACH. This triangular model has been independently defined to describe the degradation processes of the RDW and SDW fractions.
For the rapidly biodegradable fraction (Figure 4): (i) total decomposition period = 5 years, and (ii) the maximum rate of biogas formation occurs 1 year after the discharge of the RDW into the landfill.

Figure 4.
Monthly biogas production rate per kg of RDW. Triangular kinetic model.
For the slowly biodegradable fraction (Figure 5): (i) total decomposition period = 15 years, and (ii) the maximum biogas formation rate occurs 5 years after the discharge of the SDW into the landfill.

Figure 5.
Monthly biogas production rate per kg of SDW. Triangular kinetic model.
Therefore, to calculate biogas production at a certain moment, the age of the waste that has been previously deposited in the landfill must be taken into account, since the biogas production rates are different depending on the time elapsed from discharge to the instant of calculation. In accordance with all the aforementioned, the maximum biogas production at a given moment is obtained as a convolution of all the productions of both waste fractions (RDW and SDW) deposited in the landfill from its start-up to the calculation date.
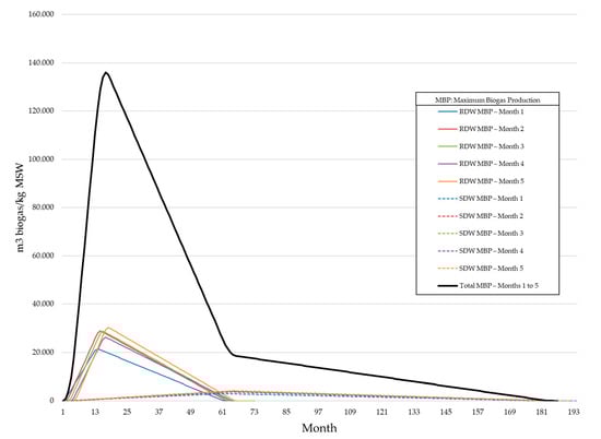
Figure 6 illustrates this convolution process. BIOLEACH considers a temporary monthly discretization and keeps a strict control of these biogas production rates through the convolution process. This monthly temporal discretization is one of the main characteristics of the model, as it provides greater flexibility compared to the existing biogas and leachate calculation models at annual scale that are commonly used.

Figure 6.
Maximum biogas production following the triangular kinetic model (in the first five months).
However, under real conditions, maximum biogas production will never be observed, as humidity conditions inside the landfill mass will not provide enough water to fully develop the organic matter decomposition process given by Equation (2). Therefore, a monthly biogas efficiency indicator (BEI) and an overall biogas efficiency indicator (OBEI) for the whole period analyzed (n months) can be defined as shown in Equations (3) and (4):
Evidently, and values will vary between 0% (low efficiency) and 100% (high efficiency) in terms of biogas production. This index is useful to compare different simulation scenarios as shown below.
4. Application of the BIOLEACH Model to the Estimation of the Biogas Production on a MSW Landfill
4.1. Input Data
The simulated landfill, located in the Region of Murcia (Spain), began operations in January 2019 and stores the waste produced at the MSW mechanical−biological treatment plant located nearby. This waste treatment plant serves a population of 246,823 inhabitants from eight different municipalities.
The main characteristics of the MSW management system and specific information about the waste composition have been provided by the Regional Environmental Agency of the Murcia Region and are: (i) the annual waste production stored in the landfill is 66,132 t/year; (ii) the annual growth rate of waste production is 0.8%; (iii) the landfill surface exposed to infiltration varies depending on the year of exploitation (from year 1 to year 2, 27,868 m2; from year 3 to year 7, 64,919 m2; from year 8 to closure 95,664 m2); (iv) the available discharge volume guarantees capacity for 10 years of operation, and (v) the facilities attached to the landfill include a leachate storage basin with a maximum capacity equal to 4500 m3.
Table 3 shows the results of the characterization test of the waste deposited in the landfill (on a sample of 100 kg) which was considered the reference scenario. After a calibration process, the model found that 50% of the RDW and 30% of the SDW were actually available for degradation.

Table 3.
Characterization test and elemental chemical analysis of landfill waste. Reference scenario.
Equations (5) and (6) show the stoichiometric reactions of the complete degradation of the organic fraction of RDW and SDW respectively for the reference scenario, using the formulation shown in Equation (2):
In addition, information was available regarding landfill entries during the period January−September 2019. For simulation purposes, the production in the months of October, November and December 2019 has been considered equal to the corresponding production in the months of January, February and March 2019. Figure 7 shows the evolution of waste entries in the landfill for a 10-year simulation period, considering the 0.8% growth rate mentioned above.

Figure 7.
Monthly waste deposited in the landfill.
The monthly precipitation and actual evaporation data corresponding to the months of January to November 2019 were obtained from the local meteorological station. To complete the 10-year series necessary to carry out the simulations, the values recorded from 2008 to 2017 were used (Figure 8). Likewise, a series of actual evaporation values were available for the same months.

Figure 8.
Precipitation data for a 10-year simulation period.
The actual precipitation and evaporation series showed the typical behavior of a Mediterranean basin, registering low precipitation and high evaporation values, with heavy rains concentrated in the months of September and October.
4.2. Simulation Scenarios
In the municipalities that use the landfill, it is intended to install selective organic matter collection systems that will reduce the content of food waste that will eventually be deposited in the landfill. For this reason, from an environmental point of view, it is of great interest to know the implications that the implementation of these selective collection systems will have on landfill biogas production.
Therefore, three different scenarios have been studied: (i) reference scenario, with the characterization indicated in the previous section; (ii) scenario S-25 FW, considering a reduction in food waste of 25% compared to the reference scenario, and (iii) scenario S-50 FW, considering a reduction in food waste of 50% compared to the reference scenario.
Figure 9 shows the detail of the waste characterization in each of the three scenarios and their corresponding sector diagrams.


Figure 9.
(a) Waste characterization for the three scenarios and sector diagrams for the (b) reference scenario, (c) scenario S-25 FW and (d) scenario S-50 FW.
4.3. Results and Discussion
Maximum biogas production depends fundamentally on the chemical composition and total mass of waste deposited in the landfill. In the particular case analyzed, a landfill in the Region of Murcia (Spain), the composition of the waste was such that, by reducing the amount of food waste deposited in the landfill, the elemental chemical analysis of the organic components would not change significantly. This is largely due to the presence of high amounts of paper and cardboard (23.8%) and textiles (22.9%). Therefore, the variation observed in biogas production is fundamentally due to the reduction of waste that is deposited in the landfill with respect to the reference scenario (4.3% and 8.7%, respectively for the S-25 FW and S-50 FW scenarios) as shown in Figure 10. In this way, the total useful life of the landfill is increased.

Figure 10.
(a) Maximum cumulative biogas production and (b) actual cumulative biogas production.
A comparison of results shown in Figure 10a,b leads to interesting findings. For the reference scenario, the maximum cumulative biogas production after the 10-year simulation period was 110 Mm3 while actual biogas production reached 60 Mm3. Results for scenarios S-25 FW and S-50 FW lead to efficiencies lower than the one obtained for the reference scenario. A more-in-depth analysis of the biogas efficiency process could be obtained using the OBEI indicator as shown below.
The differences in maximum biogas production with respect to the reference scenario are 7.22% (S-25 FW) and 14.34% (S-50 FW). In the case of actual biogas production, the differences with respect to the reference scenario are 13.34% (S-25 FW) and 25.67% (S-50 FW).
These differences between maximum and actual biogas production are conditioned by the presence of humidity inside the landfill. The presence of water inside the landfill combines both the humidity of the waste and the net infiltration rate caused by precipitation over the landfill top surface. In this particular case study, the waste has a humidity that varies between 13.53% and 9.69%, depending on the scenario considered. These values show that the landfill has a relatively low humidity that, together with the rainfall regime in the Mediterranean area, implies that the humidity inside the landfill moves away from the optimum values needed to generate the potential maximum biogas production (Figure 11).

Figure 11.
Monthly biogas production compared to actual monthly biogas production (a) reference scenario, (b) scenario S-25 FW, (c) scenario S-50 FW.
Figure 12 shows the biogas production efficiency for each one of the scenarios using the OBEI index defined in Equation (4). As expected, the maximum biogas production efficiency corresponds to the reference scenario, as it is the one that contains a higher proportion of organic matter with higher humidity content.

Figure 12.
Biogas production efficiency (OBEI indicator) for every scenario.
Another particular feature of the BIOLEACH model is that it allows one to estimate the real production of CH4 and CO2 in every scenario during the whole simulation period at a monthly scale.
Results in Figure 13 show that, for the particular climate conditions, the maximum monthly CH4 and CO2 productions are found on month 67. The shape, tendencies and evolution of the biogas production curves are similar for every scenario, while the highest productions are found on the reference scenario and the lowest on the S-50 FW as expected.

Figure 13.
Actual monthly productions of (a) CH4 and (b) CO2 for every scenario.
5. Conclusions
The application of the BIOLEACH model to analyze biogas production in a real landfill located in the Region of Murcia (Spain) under a set of scenarios that consider different food waste content has been shown. Results have been obtained in terms of the maximum and actual CH4 and CO2 production under real climate conditions. Results demonstrate that actual biogas production depends fundamentally on the monthly amount of waste stored in the landfill, its chemical composition and the availability and distribution of water inside the landfill mass.
A set of three scenarios have been analyzed to study the effects that the implementation of selective collection systems for food waste and organic matter have on the formation of biogas. Results obtained show that by reducing the amount of organic matter from food waste deposited in the landfill, the useful life of the facility is increased and the amount of biogas produced during the same operating time is reduced. The differences in maximum biogas production with respect to the reference scenario are 7.22% (S-25 FW) and 14.34% (S-50 FW). In the case of actual biogas production, the differences with respect to the reference scenario are 13.34% (S-25 FW) and 25.67% (S-50 FW).
To increase efficiency in the production of biogas, and thus achieve the stability of the landfill in a shorter time, it would be necessary to increase the humidity present inside the waste mass. In the scenarios proposed the efficiency in terms of the OBEI indicator is 55% (reference), 51% (S-25 FW) and 47% (S-50 FW). It has also been seen that by reducing the amount of food waste deposited in the landfill, the elemental chemical analysis of the organic components does not change significantly. This is largely due to the presence of high amounts of paper and cardboard (23.8%) and textiles (22.9%).
Further research using the BIOLEACH model should focus on the analysis of the internal distribution of water content inside the waste mass and the evolution of humidity over time in a vertical profile of waste. Although this kind of information may be difficult to obtain in real case-studies, the verification of the model should be performed over time comparing the model results with actual biogas and leachate production data from monitoring devices located in the landfill.
Author Contributions
Conceptualization, J.R.-I. and M.-E.R.-C.; methodology, J.R.-I. and M.-E.R.-C.; software, M.-E.R.-C.; validation, M.-E.R.-C.; formal analysis, J.R.-I.; investigation, J.R.-I. and M.-E.R.-C.; resources, J.R.-I. and M.-E.R.-C.; data curation, M.-E.R.-C.; writing—original draft preparation, J.R.-I. and M.-E.R.-C.; writing—review and editing, J.R.-I.; visualization, J.R.-I.; supervision, J.R.-I. All authors have read and agreed to the published version of the manuscript.
Funding
This research received no external funding.
Conflicts of Interest
The authors declare no conflict of interest.
References
- Oonk, H. Landfill Gas Formation, Recovery and Emission in The Netherlands. In Non-CO2 Greenhouse Gases; Ham, J., van Janssen, J.H.M., Swart, R.J., Eds.; Kluwer Academic Publishers: Dordrecht, The Netherlands, 1994; pp. 323–328. [Google Scholar]
- Atabi, F.; Ehyaei, M.A.; Ahmadi, M.H. Calculation of CH4 and CO2 Emission Rate in Kahrizak Landfill Site THROUGH LandGEM Mathematical Model. In Proceedings of the 4th World Sustainability Forum. 2014. Available online: https://sciforum.net/conference/wsf-4 (accessed on 1 December 2020).
- Krause, M.J.; Chickering, G.W.; Townsend, T.G.; Reinhart, D.R. Critical review of the methane generation potential of municipal solid waste. Crit. Rev. Environ. Sci. Technol. 2016, 46, 1117–1182. [Google Scholar] [CrossRef]
- Allen, M.R.; Braithwaite, A.; Hills, C.C. Trace organic compounds in landfill gas at seven U.K. waste disposal sites. Environ. Sci. Technol. 1997, 31, 1054–1061. [Google Scholar] [CrossRef]
- Eklund, B.; Anderson, E.P.; Walker, B.L.; Burrows, D.B. Characterization of landfill gas composition at the Fresh Kills municipal solid-waste landfill. Environ. Sci. Technol. 1998, 32, 2233–2237. [Google Scholar] [CrossRef]
- Rettenberger, G.; Stegmann, R. Landfilling Gas Components. In Landfilling of Waste: Biogas; Christensen, T.H., Cossu, R., Stegmann, R., Eds.; E & FN Spon: London, UK, 1996; pp. 51–58. [Google Scholar]
- Rey, M.D.; Font, R.; Aracil, I. Biogas from MSW landfill: Composition and determination of chlorine content with the AOX (adsorbable organically bound halogens) technique. Energy 2013, 63, 161–167. [Google Scholar] [CrossRef]
- Castro-Gámez, A.F. Caracterización Hidrogeológica y Estudio del Biogás en Vertederos de la Provincia de Málaga. Bases Para su Gestión Medioambiental. Ph.D. Thesis, Universidad de Málaga, Málaga, Spain, 2015. [Google Scholar]
- IPCC. Climate Change 2014: Mitigation of Climate Change. Contribution of Working Group III to the Fifth Assessment Report of the Intergovernmental Panel on Climate Change; Edenhofer, O., Pichs-Madruga, R., Sokona, Y., Farahani, E., Kadner, S., Seyboth, K., Adler, A., Baum, I., Brunner, S., Eickemeier, P., et al., Eds.; Cambridge University Press: Cambridge, UK, 2014. [Google Scholar]
- Harborth, P.; Fuss, R.; Münnich, K.; Flessa, H.; Fricke, K. Spatial variability of nitrous oxide and methane emissions from an MBT landfill in operation: Strong N2O hotspots at working face. Waste Manag. 2013, 33, 2099–2107. [Google Scholar] [CrossRef]
- Brown, K.A.; Maunder, D.H. Exploitation of Landfill Gas: A UK Perspective. Water Sci. Technol. 1994, 30, 143–151. [Google Scholar] [CrossRef]
- Oonk, H.; Weenk, A.; Coops, O.; Luning, L. Validation of landfill gas formation models. In Studies in Environmental Science; Elsevier: Amsterdam, The Netherlands, 1994. [Google Scholar]
- Abbasi, T.; Tauseef, S.M.; Abbasi, S.A. Capture of Biogas from Landfills. In Biogas Energy; Springer Briefs in Environmental Science; Springer: New York, NY, USA, 2012; pp. 145–169. [Google Scholar] [CrossRef]
- US-EPA. LFG Energy Project Development Handbook; Environmental Protection Agency: Washington, DC, USA, 2015. [Google Scholar]
- Kreith, F.; Tchobanoglous, G. Handbook of Solid Waste Management; McGraw-Hill: New York, NY, USA, 2002. [Google Scholar]
- El-Fadel, M.; Findikakis, A.N.; Leckie, J.O. Environmental Impacts of Solid Waste Landfilling. J. Environ. Manag. 1997, 50, 1–25. [Google Scholar] [CrossRef]
- Reinhart, D.R.; Townsend, T.G. Landfill Bioreactor Design & Operation; Lewis Publishers: Boca Raton, FL, USA, 1998. [Google Scholar]
- Levis, J.W.; Barlaz, M.A. Is biodegradability a desirable attribute for discarded solid waste? Perspectives from a national landfill greenhouse gas inventory model. Environ. Sci. Technol. 2011, 45, 5470–5476. [Google Scholar] [CrossRef]
- Environment Agency (EA) & Scottish Environment Protection Agency (SEPA). Guidance on the Management of Landfill Gas; Environment Agency: Bristol, UK, 2004. [Google Scholar]
- Martín González, S. Producción y Recuperación del Biogás en Vertederos Controlados de Residuos Sólidos Urbanos: Análisis de Variables y Modelización. Ph.D. Thesis, Universidad Politécnica de Madrid, Madrid, Spain, 1997. [Google Scholar]
- Cheremisinoff, N.P. Handbook of Solid Waste Management and Waste Minimization Technologies; Butterworth-Heinemann: Burlington, VT, USA, 2003. [Google Scholar]
- Uriarte, J.; Carreras, J.; Solano, M.L. Management of biogas generated in sanitary landfills. Electrical autogeneration in Artigas sanitary landfill. In Biomass for Energy, Industry and Environment, Proceedings of the 6th EC Conference, Athens, Greece, 22–26 April 1991; Grassi, G., Collina, A., Zibetta, H., Eds.; Elsevier Science Publishers Ltd.: Amsterdam, The Netherlands, 1991; pp. 590–594. [Google Scholar]
- Varnero-Moreno, M.T. Manual de Biogás; FAO: Santiago de Chile, Chile, 2011. [Google Scholar]
- Karanjekar, R.V. An Improved Model for Predicting Methane Emissions from Landfills Based on Rainfall, Ambient Temperature, and Waste Composition. Ph.D Thesis, The University Of Texas, Austin, TX, USA, 2012. [Google Scholar]
- Pohland, F.G.; Harper, S.R. Critical Review and Summary of Leachate and Gas Production from Landfills; Georgia Institute of Technology: Atlanta, GA, USA, 1986. [Google Scholar]
- Christensen, T.H.; Kjeldsen, P. Basic biochemical processes in landfill. In Sanitary Landfilling: Process, Technology and Environmental Impact; Christensen, T.H., Cossu, R., Stegmann, R., Eds.; Academic Press Ltd.: London, UK, 1989; pp. 29–49. [Google Scholar]
- Nastev, M. Modeling Landfill Gas Generation and Migration in Sanitary Landfills and Geological Formations. Ph.D Thesis, Université Laval, Québec, QC, Canada, 1998. [Google Scholar]
- Christensen, T.H.; Kjeldsen, P.; Lindhardt, B. Gas-Generating Processes in Landfill. In Landfilling of Waste: Biogas; Christensen, T.H., Cossu, R., Segmann, R., Eds.; E & FN Spon: London, UK, 1996; pp. 27–50. [Google Scholar]
- Farquhar, G.J.; Rovers, F.A. Gas production during refuse decomposition. Water Air Soil Pollut. 1973, 2, 483–495. [Google Scholar] [CrossRef]
- Barlaz, M.A.; Ham, R.K. Leachate and gas generation. In Geotechnical Practice for Waste Disposal; Daniel, D.E., Ed.; Springer: Boston, UK, 1993; pp. 113–136. [Google Scholar]
- Rees, J.F. Optimisation of methane production and refuse decomposition in landfills by temperature control. J. Chem. Technol. Biotechnol. 1980, 30, 458–465. [Google Scholar] [CrossRef]
- Kasali, G.B.; Senior, E.; Watson-Craik, I.A. Solid state refuse promotion methanogenic fermentation: Control and promotion by water addition. Appl. Microbiol. 1990, 11, 22–26. [Google Scholar] [CrossRef]
- Gurijala, K.R.; Suflita, J.M. Environmental factors influencing methanogenesis from refuse in landfill samples. Environ. Sci. Technol. 1993, 27, 1176–1181. [Google Scholar] [CrossRef]
- Shariatmadari, N.; Sabour, M.R.; Kamalan, H.; Mansouri, A.; Abolfazlzadeh, M. Applying Simple Numerical Model to Predict Methane Emission from Landfill. J. Appl. Sci. 2007, 7, 1511–1515. [Google Scholar] [CrossRef]
- Oonk, H. Literature Review: Methane from Landfills: Methods to Quantify Generation, Oxidation and Emission; Sustainable Landfill Foundation: Assendelft, The Netherlands, 2010. [Google Scholar]
- SCS Engineers. Comparison of Models for Predicting Landfill Methane Recovery; Institute for Environmental Management: Palo Alto, CA, USA, 1997. [Google Scholar]
- Peer, R.L.; Thorneloe, S.A.; Epperson, D.L. A comparison of methods for estimating global methane emissions from landfills. Chemosphere 1993, 26, 387–400. [Google Scholar] [CrossRef]
- Kamalan, H.; Sabour, M.R.; Shariatmadari, N. A review on available landfill gas models. J. Environ. Sci. Technol. 2011, 4, 79–92. [Google Scholar] [CrossRef]
- Majdinasab, A.; Zhang, Z.; Yuan, Q. Modelling of landfill gas generation: A review. Rev. Environ. Sci. Biotechnol. 2017, 16, 361–380. [Google Scholar] [CrossRef]
- Rajaram, V.; Siddiqui, F.Z.; Khan, M.E. From Landfill Gas to Energy: Technologies and Challenges; CRC Press: Boca Raton, FL, USA, 2011. [Google Scholar]
- Canale, R.P. Biological Waste Treatment; John Wiley & Sons: New York, NY, USA, 1971. [Google Scholar]
- Levenspiel, O. Chemical Reaction Engineering; Wiley: New York, NY, USA, 1999. [Google Scholar]
- Buswell, A.M.; Mueller, H.F. Mechanism of methane fermentation. Ind. Eng. Chem. 1952, 44, 550–552. [Google Scholar] [CrossRef]
- Symons, G.E.; Buswell, A.M. The methane fermentation of carbohydrates. J. Am. Chem. Soc. 1933, 55, 2028–2036. [Google Scholar] [CrossRef]
- Boyle, W.C. Energy Recovery from Sanitary Landfills—A Review. Microb. Energy Convers. 1977, 119–138. [Google Scholar] [CrossRef]
- Rich, L.G. Unit Processes of Environmental Sanitary; John Wiley & Sons: New York, NY, USA, 1963. [Google Scholar]
- EMCON Associates. Methane Generation and Recovery from Landfills; Ann Arbor Science: Ann Arbor, MI, USA, 1982. [Google Scholar]
- Augenstein, D.; Pacey, J. Modeling landfill methane generation. In Sardinia 91, Proceedings of the Third International Waste Management and Landfill Symposium, Cagliari, Italy, 14–18 October 1991; CISA, Environmental Sanitary Engineering Center: Sardinia, Italy, 1991. [Google Scholar]
- Cossu, R.; Andreottola, G.; Muntoni, A. Modelling of Landfill Gas. In Landfilling of Waste: Biogas; Christensen, T.H., Cossu, R., Segmann, R., Eds.; E & FN Spon: London, UK, 1996; pp. 237–265. [Google Scholar]
- Ham, R.K. Recovery, Processing and Utilisation of Gas from Sanitary Landfill; Environmental Protection Agency: Washington, DC, USA, 1979. [Google Scholar]
- Lamborn, J.M.; Frecker, G.B. A review of landfill decomposition modelling. In Sardinia, Proceedings of the Ninth International Waste Management and Landfill Symposium, Cagliari, Italy, 6–10 October 2003; CISA, Environmental Sanitary Engineering Centre: Sardinia, Italy, 2003. [Google Scholar]
- Lobo García de Cortázar, A.; Tejero Monzón, I. MODUELO 2: A new version of an integrated simulation model for municipal solid waste landfills. Environ. Model. Softw. 2007, 22, 59–72. [Google Scholar] [CrossRef]
- White, J.K.; Beaven, R.P. Developments to a landfill processes model following its application to two landfill modelling challenges. Waste Manag. 2013, 33, 1969–1981. [Google Scholar] [CrossRef] [PubMed]
- McDougall, J.R. A hydro-bio-mechanical model for settlement and other behavior in landfilled waste. Comput. Geotech. 2007, 34, 229–246. [Google Scholar] [CrossRef]
- Ivanova, L.K.; Richards, D.J.; Smallman, D.J. The longterm settlement of landfill waste. Waste Resour. Manag. 2008, 61, 121–133. [Google Scholar]
- Bareither, C.A.; Benson, C.H.; Edil, T.B. Compression of municipal solid waste in bioreactor landfills: Mechanical creep and biocompression. J. Geotech. Geoenviron. Eng. 2013, 139, 1007–1021. [Google Scholar] [CrossRef]
- Lu, S.F.; Xiong, J.H.; Feng, S.J.; Chen, H.X.; Bai, Z.B.; Fu, W.D.; Lü, F. A finite-volume numerical model for bio-hydro-mechanical behaviors of municipal solid waste in landfills. Comput. Geotech. 2019, 109, 204–219. [Google Scholar] [CrossRef]
- Liu, X.; Shi, J.; Qian, X.; Hu, Y.; Peng, G. One-dimensional model for municipal solid waste (MSW) settlement considering coupled mechanical-hydraulic-gaseous effect and concise calculation. Waste Manag. 2011, 31, 2473–2483. [Google Scholar] [CrossRef]
- Hettiarachchi, H.; Meegoda, J.; Hettiaratchi, P. Effects of gas and moisture on modeling of bioreactor landfill settlement. Waste Manag. 2009, 29, 1018–1025. [Google Scholar] [CrossRef]
- Chen, Y.; Xu, X.; Zhan, L. Analysis of solid-liquid-gas interactions in landfilled municipal solid waste by a bio-hydro-mechanical coupled model. Sci. China Technol. Sci. 2012, 55, 81–89. [Google Scholar] [CrossRef]
- Staub, M.J.; Gourc, J.P.; Drut, N.; Stolz, G.; Mansour, A.A. Large-scale bioreactor pilots for monitoring the long-term hydromechanics of MSW. J. Hazard. Toxic Radioact. Waste 2013, 17, 285–294. [Google Scholar] [CrossRef]
- Machado, S.L.; Vilar, O.M.; Carvalho, M.F. Constitutive model for long term municipal solid waste mechanical behavior. Comput. Geotech. 2008, 35, 775–790. [Google Scholar] [CrossRef]
- Hettiarachchi, C.H.; Meegoda, J.N.; Tavantzis, J.; Hettiaratchi, J.P.A. Numerical model to predict settlements coupled with landfill gas pressure in bioreactor landfills. J. Hazard. Mater. 2007, 139, 514–522. [Google Scholar] [CrossRef] [PubMed]
- Sivakumar Babu, G.L.; Reddy, K.R.; Chouksey, S.K.; Kulkarni, H.S. Prediction of long-term municipal solid waste landfill settlement using constitutive model. Pract. Period. Hazard. Toxic Radioact. Waste Manag. ASCE 2010, 14, 139–150. [Google Scholar] [CrossRef]
- Olivella, S. Nonisothermal Multiphase Flow of Brine and Gas Throughsaline Media. Ph.D. Thesis, Universidad Politécnica de Cataluña, Barcelona, Spain, 1995. [Google Scholar]
- Hanson, J.L.; Yesiller, N.; Onnen, M.T.; Liu, W.L.; Oettle, N.K.; Marinos, J.A. Development of numerical model for predicting heat generation and temperatures in MSW landfills. Waste Manag. 2013, 33, 1993–2000. [Google Scholar] [CrossRef] [PubMed]
- Gawande, N.A.; Reinhart, D.R.; Yeh, G.T. Modeling microbiological and chemical processes in municipal solid waste bioreactor, part I: Development of a three-phase numerical model BIOKEMOD-3P. Waste Manag. 2010, 30, 202–210. [Google Scholar] [CrossRef] [PubMed]
- Gholamifard, S.; Eymard, R.; Duquennoi, C. Modeling anaerobic bioreactor landfills in methanogenic phase: Long term and short-term behaviors. Water Resour. 2008, 42, 5061–5071. [Google Scholar] [CrossRef] [PubMed]
- Garg, A.; Achari, A. A comprehensive numerical model simulating gas, heat, and moisture transport in sanitary landfills and methane oxidation in final covers. Environ. Model. Assess. 2010, 15, 397–410. [Google Scholar] [CrossRef]
- Feng, S.-J.; Lu, S.-F.; Chen, H.X.; Fu, W.-D.; Lü, F. Three-dimensional modelling of coupled leachate and gas flow in bioreactor landfills. Comput. Geotech. 2017, 84, 138–151. [Google Scholar] [CrossRef]
- Grugnaletti, M.; Pantini, S.; Verginelli, I.; Lombardi, F. An easy-to-use tool for the evaluation of leachate production at landfill sites. Waste Manag. 2016, 55, 204–219. [Google Scholar] [CrossRef]
- Lei, L.; Bing, L.; Qiang, X.; Ying, Z.; Chun, Y. The modelling of biochemical-thermal coupling effect on gas generation and transport in MSW landfill. Int. J. Environ. Pollut. 2011, 46, 216–233. [Google Scholar] [CrossRef]
- Oldenburg, C.M. T2LBM v.1: Landfill Bioreactor Model for TOUGH2; Lawrence Berkeley National Laboratory, University of California: Berkeley, CA, USA, 2001. [Google Scholar]
- Zacharof, A.I.; Butler, A.P. Stochastic modelling of landfill leachate and biogas production incorporating waste heterogeneity. Model formulation and uncertainty analysis. Waste Manag. 2004, 24, 453–462. [Google Scholar] [CrossRef]
- Pommier, S.; Chenu, D.; Quintard, M.; Lefebvre, X. A logistic model for the prediction of the influence of water on the solid waste methanization in landfills. Biotechnol. Bioeng. 2007, 97, 473–482. [Google Scholar] [CrossRef] [PubMed]
- Abdallah, M.; Fernandes, L.; Warith, M.A.; Rendra, S. A fuzzy logic model for biogas generation in bioreactor landfills. Can. J. Civ. Eng. 2009, 36, 701–708. [Google Scholar] [CrossRef]
- Rodrigo-Ilarri, J.; Rodrigo-Clavero, M.E.; Cassiraga, E. BIOLEACH: A New Decision Support Model for the Real-Time Management of Municipal Solid Waste Bioreactor Landfills. Int. J. Environ. Res. Public Health 2020, 17, 1675. [Google Scholar] [CrossRef] [PubMed]
Publisher’s Note: MDPI stays neutral with regard to jurisdictional claims in published maps and institutional affiliations. |
© 2020 by the authors. Licensee MDPI, Basel, Switzerland. This article is an open access article distributed under the terms and conditions of the Creative Commons Attribution (CC BY) license (http://creativecommons.org/licenses/by/4.0/).