Smart Climate Hydropower Tool: A Machine-Learning Seasonal Forecasting Climate Service to Support Cost–Benefit Analysis of Reservoir Management
Abstract
1. Introduction
2. Material and Methods
2.1. Data
2.2. Machine Learning Techniques
2.2.1. Support Vector Regression (SVR)
2.2.2. Gaussian Processes (GP)
2.2.3. Long Short-Term Memory (LSTM)
2.2.4. Non-Linear Autoregressive Neural Network, Exogenous Outputs (NARX)
2.2.5. Deep-Learning Neural Networks (DL)
2.3. Case Study Areas
2.4. SCHT as a Climate Service
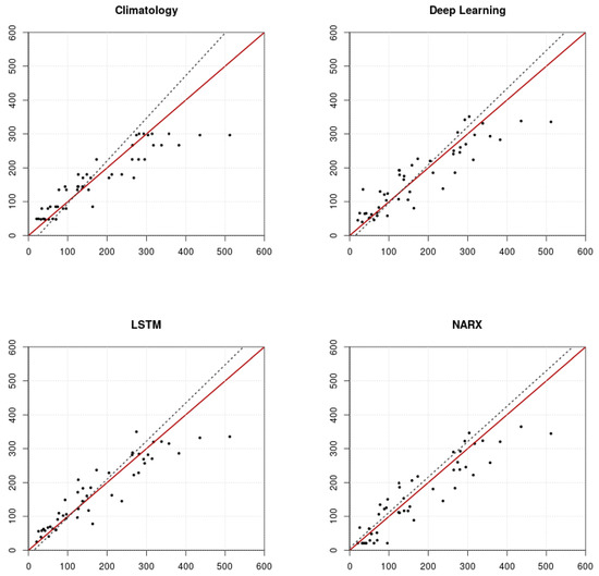
3. Results and Discussion
3.1. Technical Aspects of SCHT
- Group 1: Climatology, persistence, and multiple linear regression (MLR).This group includes the range of methods and models that are used as simple validation metrics for the more complex machine learning models.
- Group 2: Gaussian processes (GP) and support vector machine (SVM) models.This group includes the range of machine learning methods and models that do not use a validation dataset as a means for early stopping the training procedure.
- Group 3: Non-linear autoregressive neural networks (NARX), long short-term memory (LSTM), and deep-learning (DL) models.This group includes the range of machine learning methods and models that use a validation dataset as a means for early stopping the training procedure.
3.2. SCHT as a Climate Service
4. Conclusions
Author Contributions
Funding
Conflicts of Interest
References
- Jacobson, M.Z. Review of solutions to global warming, air pollution, and energy security. Energy Environ. Sci. 2009, 2, 148–173. [Google Scholar] [CrossRef]
- Tahara, K.; Kojima, T.; Inaba, A. Evaluation of CO2 payback time of power plants by LCA. Energy Convers. Manag. 1997, 38 (Suppl. 1), 615–620. [Google Scholar] [CrossRef]
- Yüksel, I. Hydropower for sustainable water and energy development. Renew. Sustain. Energy Rev. 2010, 14, 462–469. [Google Scholar] [CrossRef]
- Edenhofer, O. Technical summary. In Climate Change 2014: Impacts, Adaptation, and Vulnerability. Part A: Global and Sectoral Aspects. Contribution of Working Group II to the Fifth Assessment Report of the Intergovernmental Panel on Climate Change; Field, C.B., Barros, V.R., Dokken, D.J., Mach, K.J., Mastrandrea, M.D., Bilir, T.E., Chatterjee, M., Ebi, K.L., Estrada, Y.O., Eds.; Cambridge University Press: Cambridge, UK; New York, NY, USA, 2014; pp. 35–94. [Google Scholar]
- Berga, L. The role of hydropower in climate change mitigation and adaptation: A review. Engineering 2016, 2, 313–318. [Google Scholar] [CrossRef]
- IEA. World Energy Outlook 2019: Executive Summary. Available online: https://www.iea.org/reports/world-energy-outlook-2019 (accessed on 30 November 2020).
- Gernaat, D.E.H.J.; Bogaart, P.W.; van Vuuren, D.P.; Biemans, H.; Niessink, R. High-resolution assessment of global technical and economic hydropower potential. Nat. Energy 2017, 2, 821–828. [Google Scholar] [CrossRef]
- Zhou, Y.; Hejazi, M.; Smith, S.; Edmons, J.; Li, H.; Clarke, L.; Calvin, K.; Thomson, A. A comprehensive view of global potential for hydro-generated electricity. Energy Environ. Sci. 2015, 8, 2622–2633. [Google Scholar] [CrossRef]
- IRENA. Renewable Energy Techlogies: Cost Analysis Series, Hydropower. 2012. Available online: https://www.irena.org/publications/2012/Jun/Renewable-Energy-Cost-Analysis---Hydropower (accessed on 30 November 2020).
- Schaeffer, R.; Szklo, A.S.; de Lucena, A.F.; Borba, B.S.; Nogueira, L.P.; Fleming, F.P.; Troccoli, A.; Harrison, M.; Boulahya, M.S. Energy sector vulnerability to climate change: A review. Energy 2012, 38, 1–12. [Google Scholar] [CrossRef]
- Li, H.; Luo, L.; Wood, E.F.; Schaake, J. The role of initial conditions and forcing uncertainties in seasonal hydrologic forecasting. J. Geophys. Res. Atmos. 2009, 114, 1–10. [Google Scholar] [CrossRef]
- Arias, M.E.; Farinosi, F.; Lee, E.; Livino, A.; Briscoe, J.; Moorcroft, P.R. Impacts of climate change and deforestation on hydropower planning in the Brazilian Amazon. Nat. Sustain. 2020, 3, 430–436. [Google Scholar] [CrossRef]
- Sohoulande, C.D.D. Streamflow drought interpreted using SWAT model simulations of past and future hydrologic scenarios: Application to neches and trinity river basins, Texas. J. Hydrol. Eng. 2019, 24, 5019024. [Google Scholar] [CrossRef]
- Turner, S.W.D.; Bennett, J.C.; Robertson, D.E.; Galelli, S. Complex relationship between seasonal streamflow forecast skill and value in reservoir operations. Hydrol. Earth Syst. Sci. 2017, 21, 4841–4859. [Google Scholar] [CrossRef]
- Zapata, S.; Castaneda, M.; Garces, E.; Franco, C.J.; Dyner, I. Assessing security of supply in a largely hydroelectricity-based system: The Colombian case. Energy 2018, 156, 444–457. [Google Scholar] [CrossRef]
- Ahmad, S.K.; Hossain, F. Maximizing energy production from hydropower dams using short-term weather forecasts. Renew. Energy 2020, 146, 560–1577. [Google Scholar] [CrossRef]
- Gubler, S.; Sedlmeier, K.; Bhend, J.; Avalos, G.; Coelho, C.A.S.; Escajadillo, Y.; Jacques-Coper, M.; Martinez, R.; Schwierz, C.; de Skansi, M. Assessment of ECMWF SEAS5 seasonal forecast performance over South America. Weather Forecast 2020, 35, 561–584. [Google Scholar] [CrossRef]
- Block, P. Tailoring seasonal climate forecasts for hydropower operations. Hydrol. Earth Syst. Sci. 2011, 15, 1355–1368. [Google Scholar] [CrossRef]
- Bazile, R.; Boucher, M.A.; Perreault, L.; Leconte, R. Verification of ECMWF System 4 for seasonal hydrological forecasting in a northern climate. Hydrol. Earth Syst. Sci. 2017, 21, 5747–5762. [Google Scholar] [CrossRef]
- Anghileri, D.; Monhart, S.; Zhou, C.; Bogner, K.; Castelletti, A.; Burlando, P.; Zappa, M. The value of subseasonal hydrometeorological forecasts to hydropower operations: How much does preprocessing matter? Water Resour. Res. 2019, 55, 10159–10178. [Google Scholar] [CrossRef]
- Hao, Z.; Singh, V.P.; Xia, Y. Seasonal drought prediction: Advances, challenges, and future prospects. Rev. Geophys. 2018, 56, 108–141. [Google Scholar] [CrossRef]
- Li, S.; Robertson, A.W. Evaluation of submonthly precipitation forecast skill from global ensemble prediction systems. Mon. Weather Rev. 2015, 143, 2871–2889. [Google Scholar] [CrossRef]
- Vitart, F. Madden—Julian Oscillation prediction and teleconnections in the S2S database. Q. J. R. Meteorol. Soc. 2017, 143, 2210–2220. [Google Scholar] [CrossRef]
- Yuan, X.; Roundy, J.K.; Wood, E.F.; Sheffield, J. Seasonal forecasting of global hydrologic extremes: System development and evaluation over GEWEX basins. Bull. Am. Meteorol. Soc. 2015, 96, 1895–1912. [Google Scholar] [CrossRef]
- Fan, F.M.; Pontes, P.R.M.; Buarque, D.C.; Collischonn, W. Evaluation of upper Uruguay river basin (Brazil) operational flood forecasts. RBRH 2017, 22. [Google Scholar] [CrossRef]
- Long, Y.; Wang, H.; Jiang, C.; Ling, S. Seasonal inflow forecasts using gridded precipitation and soil moisture information: Implications for reservoir operation. Water Resour. Manag. 2019, 33, 3743–3757. [Google Scholar] [CrossRef]
- Morss, R.E.; Demuth, J.L.; Lazo, J.K. Communicating uncertainty in weather forecasts: A survey of the U.S. public. Weather Forecast 2008, 23, 974–991. [Google Scholar] [CrossRef]
- Doblas-Reyes, F.J.; Weisheimer, A.; Deque, M.; Keenlyside, N.; McVean, M.; Murphy, J.M.; Rogel, P.; Smith, D.; Palmer, T.N. Addressing model uncertainty in seasonal and annual dynamical ensemble forecasts. Q. J. R. Meteorol. Soc. 2009, 135, 1538–1559. [Google Scholar] [CrossRef]
- Wang, E.; Zhang, Y.; Luo, J.; Chiew, F.H.S.; Wang, Q.J. Monthly and seasonal streamflow forecasts using rainfall-runoff modeling and historical weather data. Water Resour. Res. 2011, 47, 1–13. [Google Scholar] [CrossRef]
- Teweldebrhan, A.; Burkhart, J.; Schuler, T.; Hjorth-Jensen, M. Coupled machine learning and the limits of acceptability approach applied in parameter identification for a distributed hydrological model. Hydrol. Earth Syst. Sci. Discuss. 2019, 24, 1–25. [Google Scholar] [CrossRef]
- Hamlet, A.F.; Huppert, D.; Lettenmaier, D.P. Economic value of long-lead streamflow forecasts for columbia river hydropower. J. Water Resour. Plan. Manag. 2002, 128, 91–101. [Google Scholar] [CrossRef]
- Poff, N.L.; Tokar, S.; Johnson, P. Stream hydrological and ecological responses to climate change assessed with an artificial neural network. Limnol. Oceanogr. 1996, 41, 857–863. [Google Scholar] [CrossRef]
- Campolo, M.; Soldati, A.; Andreussi, P. Artificial neural network approach to flood forecasting in the River Arno. Hydrol. Sci. J. 2002, 48, 381–398. [Google Scholar] [CrossRef]
- Mutlu, E.; Chaubey, I.; Hexmoor, H.; Bajwa, S.G. Comparison of artificial neural network models for hydrologic predictions at multiple gauging stations in an agricultural watershed. Hydrol. Process. 2008, 22, 5097–5106. [Google Scholar] [CrossRef]
- Essenfelder, A.H. Short-Term Forecast of a River Flow Using Artificial Neural Networks; Federal University of Paraná: Parana, Brazil, 2009. [Google Scholar]
- Zhang, X.; Liang, F.; Yu, B.; Zong, Z. Explicitly integrating parameter, input, and structure uncertainties into Bayesian Neural Networks for probabilistic hydrologic forecasting. J. Hydrol. 2011, 409, 696–709. [Google Scholar] [CrossRef]
- Callegari, M.; Mazzoli, P.; De Gregorio, L.; Notarnicola, C.; Pasolli, L.; Petitta, M.; Pistocchi, A. Seasonal river discharge forecasting using support vector regression: A case study in the Italian Alps. Water 2015, 7, 2494–2515. [Google Scholar] [CrossRef]
- De Gregorio, L.; Callegari, M.; Mazzoli, P.; Bagli, S.; Broccoli, D.; Pistocchi, A.; Notarnicola, C. Operational river discharge forecasting with support vector regression technique applied to alpine catchments: Results, advantages, limits and lesson learned. Water Resour. Manag. 2018, 32, 229–242. [Google Scholar] [CrossRef]
- Essenfelder, A.H.; Giupponi, C. A coupled hydrologic-machine learning modelling framework to support hydrologic modelling in river basins under Interbasin Water Transfer regimes. Environ. Model. Softw. 2020, 131, 104779. [Google Scholar] [CrossRef]
- Johnson, S.J.; Stockdale, T.N.; Ferranti, L.; Balmaseda, M.A.; Molteni, F.; Magnusson, L.; Tietsche, S.; Decremer, D.; Weisheimer, A.; Balsamo, G.; et al. SEAS5: The new ECMWF seasonal forecast system. Geosci. Model Dev. 2019, 12, 1087–1117. [Google Scholar] [CrossRef]
- MINTIC. Caudales Medios Mensuales. Ministerio de Tecnologías de la Información y las Comunicaciones, 2020. Available online: https://www.datos.gov.co/Ambiente-y-Desarrollo-Sostenible/Caudales-Medios-Mensuales/45cv-fhv9 (accessed on 14 July 2019).
- Haylock, M.R.; Hofstra, N.; Klein Tank, A.M.G.; Klok, E.J.; Jones, P.D.; New, M. A European daily high-resolution gridded data set of surface temperature and precipitation for 1950–2006. J. Geophys. Res. Atmos. 2008, 113. [Google Scholar] [CrossRef]
- Gedeon, T.D. Data mining of inputs: Analysing magnitude and functional measures. Int. J. Neural Syst. 1997, 8, 209–218. [Google Scholar] [CrossRef]
- Bergmeir, C.; Hyndman, R.J.; Koo, B. A note on the validity of cross-validation for evaluating autoregressive time series prediction. Comput. Stat. Data Anal. 2018, 120, 70–83. [Google Scholar] [CrossRef]
- Sohoulande, C.D.D.; Martin, J.; Szogi, A.; Stone, K. Climate-driven prediction of land water storage anomalies: An outlook for water resources monitoring across the conterminous United States. J. Hydrol. 2020, 588, 125053. [Google Scholar] [CrossRef]
- Krysanova, V.; Donnelly, C.; Gelfan, A.; Gerten, D.; Arheimer, B.; Hattermann, F.; Kundzewicz, Z.W. How the performance of hydrological models relates to credibility of projections under climate change. Hydrol. Sci. J. 2018, 63, 696–720. [Google Scholar] [CrossRef]
- Moriasi, D.N.; Arnold, J.G.; Van Liew, M.W.; Binger, R.L.; Harmel, R.D.; Veith, T.L. Model evaluation guidelines for systematic quantification of accuracy in watershed simulations. Trans. ASABE 2007, 50, 885–900. [Google Scholar] [CrossRef]
- Vapnik, V.N. The Nature of Statistical Learning Theory; Springer: New York, NY, USA, 1995. [Google Scholar]
- Pedregosa, F.; Varoquaux, G.; Gramfort, A.; Michel, V.; Thirion, B. Scikit-learn: Machine Learning in Python. J. Mach. Learn. Res. 2011, 12, 2825–2830. [Google Scholar]
- Rasmussen, C.E. Gaussian processes in machine learning. In Revised Lectures, Proceedings of the Advanced Lectures on Machine Learning: ML Summer Schools, Canberra, Australia, 2–14 February 2003, Tübingen, Germany, 4–16 August 2003; Bousquet, O., von Luxburg, U., Rätsch, G., Eds.; Springer: Berlin/Heidelberg, Germany, 2004; pp. 63–71. [Google Scholar]
- Kim, H.-C.; Lee, J. Clustering based on gaussian processes. Neural Comput. 2017, 19, 3088–3107. [Google Scholar] [CrossRef] [PubMed]
- Karatzoglou, A.; Smola, A.; Hornik, K.; Zeileis, A. kernlab—An {S4} Package for Kernel Methods in {R.}. J. Stat. Softw. 2004, 11, 1–20. [Google Scholar] [CrossRef]
- Hochreiter, S.; Schmidhuber, J. Long short-term memory. Neural Comput. 1997, 9, 1735–1780. [Google Scholar] [CrossRef]
- Bengio, Y.; Simard, P.; Frasconi, P. Learning long-term dependencies with gradient descent is difficult. IEEE Trans. Neural Net. 2014, 5, 157. [Google Scholar] [CrossRef]
- Kratzert, F.; Klotz, D.; Brenner, C.; Schulz, K.; Herrnegger, M. Rainfall–runoff modelling using long short-term memory (LSTM) networks. Hydrol. Earth Syst. Sci. 2018, 22, 6005–6022. [Google Scholar] [CrossRef]
- Fan, H.; Jiang, M.; Xu, L.; Zhu, H.; Cheng, J.; Jiang, J. Comparison of long short term memory networks and the hydrological model in runoff simulation. Water 2020, 12, 175. [Google Scholar] [CrossRef]
- Allaire, J.J.; Tang, Y. Tensorflow: R Interface to ‘TensorFlow’. 2020. Available online: https://tensorflow.rstudio.com/ (accessed on 30 November 2020).
- Allaire, J.J.; Chollet, F. “keras: R Interface to ‘Keras’”. 2020. Available online: https://github.com/rstudio/keras (accessed on 30 November 2020).
- Ramachandran, P.; Zoph, B.; Le, Q.V. Swish: A self-gated activation function. Neural and Evolutionary Computing. arXiv 2017, arXiv:1710.05941v1. [Google Scholar]
- Heermann, P.D.; Khazenie, N. Classification of multispectral remote sensing data using a back-propagation neural network. IEEE Trans. Geosci. Remote Sens. 1992, 30, 81–88. [Google Scholar] [CrossRef]
- Giacinto, G.; Roli, F. Design of effective neural network ensembles for image classification purposes. Image Vis. Comput. 2001, 19, 699–707. [Google Scholar] [CrossRef]
- Essenfelder, A.H. Climate Change and Watershed Planning: Understanding the Related Impacts and Risks; Universita’ Ca’ Foscari Venezia: Venezia, Italy, 2017. [Google Scholar]
- Hsieh, W.W. Machine Learning Methods in the Environmental Sciences: Neural Networks and Kernels; Cambridge University Press: New York, NY, USA, 2009. [Google Scholar]
- Maier, H.R.; Dandy, G.C. Neural networks for the prediction and forecasting of water resources variables: A review of modelling issues and applications. Environ. Model. Softw. 2000, 15, 101–124. [Google Scholar] [CrossRef]
- Han, J. Application of Artificial Neural Networks for Flood Warning Systems; North Carolina State University: Raleigh, NC, USA, 2002. [Google Scholar]
- LeCun, Y.; Bengio, Y.; Hinton, G. Deep learning. Nature 2015, 521, 436–444. [Google Scholar] [CrossRef] [PubMed]
- Sit, M.; Demiray, B.Z.; Xiang, Z.; Ewing, G.J.; Sermet, Y.; Demir, I. A comprehensive review of deep learning applications in hydrology and water resources. Water Sci. Technol. 2020. [Google Scholar] [CrossRef]
- LeDell, E.; Gill, N.; Aiello, S.; Fu, A.; Candel, A.; Click, C.; Kraljevic, T.; Nykodym, T.; Aboyoun, P.; Kurka, M.; et al. h2o: R Interface for the ‘H2O’ Scalable Machine Learning Platform. 2020. Available online: https://rdrr.io/cran/h2o/ (accessed on 30 November 2020).
- Zeiler, M.D. ADADELTA: An Adaptive Learning Rate Method. arXiv 2012, arXiv:1212.5701. [Google Scholar]
- Rudnick, H.; Velasquez, C. Learning from developing country power market experiences: The Case of Colombia. World Bank Policy Res. Work. Pap. 2019, 8771. [Google Scholar] [CrossRef]
- Morcillo, J.D.; Angulo, F.; Franco, C.J. Analyzing the hydroelectricity variability on power markets from a system dynamics and dynamic systems perspective: Seasonality and ENSO phenomenon. Energies 2020, 13, 2381. [Google Scholar] [CrossRef]
- Larosa, F.; Mysiak, J. Mapping the Landscape of Climate Services. Available online: https://iopscience.iop.org/article/10.1088/1748-9326/ab304d (accessed on 30 November 2020).
- McRae, S.; Wolak, F. Retail electricity pricing in Colombia and the efficient deployment of distributed Generation. Business 2019. [Google Scholar] [CrossRef]







| Dataset Description | Time Series of Observed Hydrometeorological Data from Ground Stations | Seasonal Forecast System, as Monthly Statistics on Single Levels from 2017 to Present |
|---|---|---|
| Spatial coverage | Local (case study areas) | Global |
| Spatial resolution | N/A | 1° × 1° |
| Temporal coverage | 1993 to present | 2017 to present (forecasts) 1993 to 2016 (hindcasts) |
| Temporal resolution | Monthly | Monthly |
| File format | ASCII | NetCDF |
| Data type | Tabular | Grid multiband |
| Data provider | Hydrographic offices SCHT users | CMCC, through Copernicus CDS |
| Variable Code | Variable Description |
|---|---|
| TARGET | Accumulated inflow river discharge to the reservoir of a hydropower plant. The value of this variable changes with respect to the forecast horizon (e.g., if the forecast horizon is 3 months, then the TARGET value is the total accumulated inflow river discharge for the forthcoming 3 months). Observed data. |
| T0x | Previous x month(s) accumulated inflow river discharge to the reservoir of a hydropower plant. Values of x range from 1 to 6 months in the past. Observed data. |
| T12 | Accumulated inflow river discharge to the reservoir of a hydropower plant of the previous year for the same month of forecast. Observed data. |
| P-x | Accumulated precipitation volume for the forthcoming x month(s). Seasonal forecast data. |
| T-x | Average temperature for the forthcoming x month(s). Seasonal forecast data. |
| Group | Model | Forecast Horizon (month) | BETANIA | GUAVIO | ||||||||||
|---|---|---|---|---|---|---|---|---|---|---|---|---|---|---|
| Nash-Sutcliffe | Root-Mean-Squared Error | Nash-Sutcliffe | Root-Mean-Squared Error | |||||||||||
| Training | Validation | Testing | Training | Validation | Testing | Training | Validation | Testing | Training | Validation | Testing | |||
| Group 1 | Climatology | 1 | 0.50 | - | 0.61 | 267.0 | - | 289.6 | 0.72 | - | 0.79 | 54.5 | - | 55.0 |
| 2 | 0.55 | - | 0.66 | 450.7 | - | 484.5 | 0.78 | - | 0.84 | 88.0 | - | 89.7 | ||
| 3 | 0.53 | - | 0.63 | 618.2 | - | 695.6 | 0.81 | - | 0.85 | 111.4 | - | 118.9 | ||
| 4 | 0.49 | - | 0.61 | 771.9 | - | 867.9 | 0.82 | - | 0.86 | 129.6 | - | 141.2 | ||
| 5 | 0.44 | - | 0.56 | 915.4 | - | 1017.8 | 0.82 | - | 0.85 | 145.5 | - | 159.2 | ||
| 6 | 0.38 | - | 0.51 | 1052.4 | - | 1131.1 | 0.80 | - | 0.81 | 160.6 | - | 178.7 | ||
| Persistance | 1 | 0.15 | - | 0.24 | 349.4 | - | 402.3 | 0.34 | - | 0.47 | 84.1 | - | 87.3 | |
| 2 | 0.50 | - | 0.62 | 474.8 | - | 510.8 | 0.57 | - | 0.63 | 122.8 | - | 135.7 | ||
| 3 | 0.62 | - | 0.67 | 555.3 | - | 664.1 | 0.66 | - | 0.68 | 150.3 | - | 177.0 | ||
| 4 | 0.67 | - | 0.64 | 708.6 | - | 782.5 | 0.70 | - | 0.71 | 170.0 | - | 203.8 | ||
| 5 | 0.57 | - | 0.57 | 881.2 | - | 1005.7 | 0.73 | - | 0.72 | 179.3 | - | 221.4 | ||
| 6 | 0.50 | - | 0.50 | 892.9 | - | 1184.3 | 0.74 | - | 0.73 | 182.5 | - | 226.5 | ||
| MLR | 1 | 0.63 | - | 0.63 | 230.2 | - | 281.9 | 0.75 | - | 0.76 | 51.2 | - | 59.1 | |
| 2 | 0.72 | - | 0.61 | 354.5 | - | 520.9 | 0.81 | - | 0.86 | 82.1 | - | 83.8 | ||
| 3 | 0.76 | - | 0.28 | 443.6 | - | 978.1 | 0.85 | - | 0.75 | 100.6 | - | 154.7 | ||
| 4 | 0.77 | - | 0.00 | 523.7 | - | 1479.0 | 0.87 | - | 0.53 | 112.7 | - | 257.4 | ||
| 5 | 0.76 | - | 0.00 | 601.1 | - | 1946.3 | 0.86 | - | 0.82 | 126.3 | - | 175.6 | ||
| 6 | 0.77 | - | 0.00 | 637.3 | - | 1803.8 | 0.86 | - | 0.78 | 135.3 | - | 203.1 | ||
| Group 2 | GP | 1 | 0.69 | - | 0.60 | 209.7 | - | 291.5 | 0.78 | - | 0.77 | 48.8 | - | 57.2 |
| 2 | 0.76 | - | 0.61 | 330.5 | - | 520.3 | 0.82 | - | 0.82 | 78.9 | - | 94.5 | ||
| 3 | 0.78 | - | 0.48 | 427.1 | - | 827.5 | 0.86 | - | 0.82 | 97.2 | - | 133.2 | ||
| 4 | 0.80 | - | 0.37 | 479.8 | - | 1093.2 | 0.87 | - | 0.82 | 109.7 | - | 160.7 | ||
| 5 | 0.81 | - | 0.24 | 528.3 | - | 1343.0 | 0.88 | - | 0.80 | 118.3 | - | 188.3 | ||
| 6 | 0.83 | - | 0.04 | 553.5 | - | 1581.1 | 0.88 | - | 0.77 | 124.4 | - | 208.9 | ||
| SVM | 1 | 0.74 | - | 0.57 | 194.9 | - | 302.5 | 0.79 | - | 0.75 | 47.6 | - | 60.2 | |
| 2 | 0.80 | - | 0.58 | 300.0 | - | 537.6 | 0.83 | - | 0.83 | 77.2 | - | 91.3 | ||
| 3 | 0.79 | - | 0.44 | 408.9 | - | 859.2 | 0.87 | - | 0.83 | 93.6 | - | 129.9 | ||
| 4 | 0.84 | - | 0.34 | 427.4 | - | 1120.1 | 0.89 | - | 0.83 | 104.3 | - | 154.8 | ||
| 5 | 0.86 | - | 0.20 | 457.3 | - | 1375.9 | 0.89 | - | 0.82 | 115.8 | - | 179.2 | ||
| 6 | 0.89 | - | 0.07 | 435.3 | - | 1560.2 | 0.89 | - | 0.79 | 116.3 | - | 198.0 | ||
| Group 3 | NARX | 1 | 0.75 | 0.52 | 0.61 | 185.3 | 248.1 | 286.6 | 0.84 | 0.75 | 0.82 | 41.1 | 63.2 | 51.4 |
| 2 | 0.73 | 0.60 | 0.66 | 345.9 | 393.6 | 478.1 | 0.84 | 0.84 | 0.88 | 75.3 | 92.0 | 79.4 | ||
| 3 | 0.77 | 0.75 | 0.69 | 429.5 | 419.0 | 630.9 | 0.91 | 0.90 | 0.87 | 77.4 | 100.9 | 112.5 | ||
| 4 | 0.90 | 0.87 | 0.70 | 363.7 | 369.8 | 662.2 | 0.92 | 0.89 | 0.87 | 88.1 | 124.9 | 125.2 | ||
| 5 | 0.88 | 0.65 | 0.68 | 423.7 | 464.1 | 728.8 | 0.89 | 0.88 | 0.87 | 114.5 | 144.0 | 148.4 | ||
| 6 | 0.95 | 0.75 | 0.61 | 276.3 | 520.3 | 683.0 | 0.88 | 0.85 | 0.84 | 122.8 | 168.4 | 162.2 | ||
| DL | 1 | 0.72 | 0.45 | 0.72 | 198.5 | 262.8 | 245.8 | 0.81 | 0.72 | 0.80 | 44.8 | 66.1 | 53.8 | |
| 2 | 0.74 | 0.60 | 0.68 | 343.0 | 393.2 | 468.7 | 0.87 | 0.83 | 0.90 | 66.5 | 93.7 | 71.2 | ||
| 3 | 0.76 | 0.70 | 0.66 | 444.2 | 459.5 | 645.8 | 0.90 | 0.85 | 0.88 | 80.2 | 122.2 | 105.8 | ||
| 4 | 0.87 | 0.74 | 0.65 | 373.2 | 503.8 | 774.4 | 0.87 | 0.90 | 0.90 | 102.7 | 122.8 | 121.9 | ||
| 5 | 0.94 | 0.70 | 0.63 | 202.4 | 529.4 | 810.9 | 0.86 | 0.89 | 0.87 | 108.0 | 139.8 | 150.5 | ||
| 6 | 0.79 | 0.57 | 0.59 | 608.5 | 831.2 | 763.6 | 0.87 | 0.82 | 0.88 | 110.7 | 181.7 | 153.0 | ||
| LSTM | 1 | 0.71 | 0.46 | 0.65 | 203.4 | 259.8 | 272.1 | 0.82 | 0.74 | 0.78 | 45.6 | 60.6 | 48.6 | |
| 2 | 0.81 | 0.52 | 0.71 | 293.0 | 431.7 | 443.4 | 0.85 | 0.78 | 0.87 | 77.9 | 96.9 | 79.7 | ||
| 3 | 0.78 | 0.74 | 0.68 | 426.2 | 503.7 | 670.1 | 0.89 | 0.86 | 0.87 | 83.7 | 115.5 | 110.0 | ||
| 4 | 0.84 | 0.68 | 0.64 | 425.4 | 562.2 | 780.6 | 0.92 | 0.88 | 0.88 | 88.0 | 129.6 | 127.3 | ||
| 5 | 0.86 | 0.68 | 0.66 | 440.3 | 516.6 | 787.6 | 0.94 | 0.86 | 0.86 | 91.4 | 152.8 | 150.9 | ||
| 6 | 0.83 | 0.57 | 0.58 | 539.9 | 837.3 | 797.3 | 0.93 | 0.80 | 0.84 | 94.6 | 189.7 | 171.9 | ||
| Scenario | Metric | Perfect Forecast | Climatology | SCHT |
|---|---|---|---|---|
| Betania (6 months) | Forecast values (mm3) | 8418.5 | 7528.1 | 8017 |
| Absolute error with respect to observation (mm3) | 0 | 890.4 | 401.5 | |
| Potential benefits with respect to climatology (in thousands $) | 237.44 | 0 | 130.38 | |
| Guavio (3 months) | Forecast values (mm3) | 668.6 | 566 | 647.1 |
| Absolute error with respect to observation (mm3) | 0 | 102.6 | 21.5 | |
| Potential benefits with respect to climatology (in thousands $) | 460 | 0 | 363.48 | |
| Total potential benefits with respect to climatology (in thousands $) | 697.44 | 0 | 493.86 | |
Publisher’s Note: MDPI stays neutral with regard to jurisdictional claims in published maps and institutional affiliations. |
© 2020 by the authors. Licensee MDPI, Basel, Switzerland. This article is an open access article distributed under the terms and conditions of the Creative Commons Attribution (CC BY) license (http://creativecommons.org/licenses/by/4.0/).
Share and Cite
Essenfelder, A.H.; Larosa, F.; Mazzoli, P.; Bagli, S.; Broccoli, D.; Luzzi, V.; Mysiak, J.; Mercogliano, P.; dalla Valle, F. Smart Climate Hydropower Tool: A Machine-Learning Seasonal Forecasting Climate Service to Support Cost–Benefit Analysis of Reservoir Management. Atmosphere 2020, 11, 1305. https://doi.org/10.3390/atmos11121305
Essenfelder AH, Larosa F, Mazzoli P, Bagli S, Broccoli D, Luzzi V, Mysiak J, Mercogliano P, dalla Valle F. Smart Climate Hydropower Tool: A Machine-Learning Seasonal Forecasting Climate Service to Support Cost–Benefit Analysis of Reservoir Management. Atmosphere. 2020; 11(12):1305. https://doi.org/10.3390/atmos11121305
Chicago/Turabian StyleEssenfelder, Arthur H., Francesca Larosa, Paolo Mazzoli, Stefano Bagli, Davide Broccoli, Valerio Luzzi, Jaroslav Mysiak, Paola Mercogliano, and Francesco dalla Valle. 2020. "Smart Climate Hydropower Tool: A Machine-Learning Seasonal Forecasting Climate Service to Support Cost–Benefit Analysis of Reservoir Management" Atmosphere 11, no. 12: 1305. https://doi.org/10.3390/atmos11121305
APA StyleEssenfelder, A. H., Larosa, F., Mazzoli, P., Bagli, S., Broccoli, D., Luzzi, V., Mysiak, J., Mercogliano, P., & dalla Valle, F. (2020). Smart Climate Hydropower Tool: A Machine-Learning Seasonal Forecasting Climate Service to Support Cost–Benefit Analysis of Reservoir Management. Atmosphere, 11(12), 1305. https://doi.org/10.3390/atmos11121305

