Complexity of Forces Driving Trend of Reference Evapotranspiration and Signals of Climate Change
Abstract
1. Introduction
2. Data
3. Models and Methods
3.1. FPM Equation
3.2. Mann–Kendall (MK) Test
3.3. Spearman’s Rho Test
4. Results and Discussions
4.1. Comparison of p-Values from the MK and TFPW-MK Tests
4.2. Trends of ETo and Meteorological Variables in the Study Sites
4.2.1. Kerman
4.2.2. Qazvin
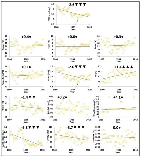
4.3. Trends of ETo and Meteorological Variables in Iran
4.4. Range of Variations of ETo and Meteorological Variables
4.5. Annual Extremum Values of ETo and Meteorological Variables during the Study Period (1961–2010)
4.6. Correlation between ETo and Meteorological Variables
5. Conclusions
Author Contributions
Funding
Conflicts of Interest
References
- McNally, A.; Arsenault, K.; Kumar, S.; Shukla, S.; Peterson, P.; Wang, S.; Funk, C.; Peters-Lidard, C.D.; Verdin, J.P. A land data assimilation system for sub-Saharan Africa food and water security applications. Sci. Data 2017, 4, 170012. [Google Scholar] [CrossRef] [PubMed]
- Li, M.; Xu, Y.; Fu, Q.; Singh, V.P.; Liu, D.; Li, T. Efficient irrigation water allocation and its impact on agricultural sustainability and water scarcity under uncertainty. J. Hydrol. 2020, 586, 124888. [Google Scholar] [CrossRef]
- Abatzoglou, J.T.; Dobrowski, S.Z.; Parks, S.A.; Hegewisch, K.C. TerraClimate, a high-resolution global dataset of monthly climate and climatic water balance from 1958–2015. Sci. Data 2018, 5, 170191. [Google Scholar] [CrossRef] [PubMed]
- McEvoy, D.J.; Huntington, J.L.; Mejia, J.F.; Hobbins, M.T. Improved seasonal drought forecasts using reference evapotranspiration anomalies. Geophys. Res. Lett. 2016, 43, 377–385. [Google Scholar] [CrossRef]
- Yazdi, A.B.; Araghinejad, S.; Nejadhashemi, A.P.; Tabrizi, M.S. Optimal water allocation in irrigation networks based on real time climatic data. Agric. Water Manag. 2013, 117, 1–8. [Google Scholar]
- Meza, F.J. Variability of reference evapotranspiration and water demands Association to ENSO in the Maipo River Basin. Chile. Glob. Planet. Chang. 2005, 47, 212–220. [Google Scholar] [CrossRef]
- Hou, L.G.; Xiao, H.L.; Si, J.H.; Xiao, S.C.; Zhou, M.X.; Yang, Y.G. Evapotranspiration and crop coefficient of Populus euphratica Oliv forest during the growing season in the extreme arid region northwest China. Agric. Water Manag. 2010, 97, 351–356. [Google Scholar] [CrossRef]
- Nouri, M.; Homaee, M.; Bannayan, M. Spatiotemporal reference evapotranspiration changes in humid and semi-arid regions of Iran: Past trends and future projections. Theor. Appl. Climatol. 2018, 133, 361–375. [Google Scholar] [CrossRef]
- Nouri, M.; Homaee, M.; Bannayan, M. Quantitative trend, sensitivity and contribution analyses of reference evapotranspiration in some arid environments under climate change. Water Resour. Manag. 2017, 31, 2207–2224. [Google Scholar] [CrossRef]
- Dadaser-Celik, F.; Cengiz, E.; Guzel, O. Trends in reference evapotranspiration in Turkey: 1975–2006. Int. J. Climatol. 2016, 36, 1733–1743. [Google Scholar] [CrossRef]
- Song, Z.W.; Zhang, H.L.; Snyder, R.L.; Anderson, F.E.; Chen, F. Distribution and trends in reference evapotranspiration in the North China Plain. J. Irrig. Drain. Eng. 2010, 136, 240–247. [Google Scholar] [CrossRef]
- Wang, W.; Peng, S.; Yang, T.; Shao, Q.; Xu, J.; Xing, W. Spatial and temporal characteristics of reference evapotranspiration trends in the Haihe River basin, China. J. Hydrol. Eng. 2010, 16, 239–252. [Google Scholar] [CrossRef]
- Darshana; Pandey, A.; Pandey, R.P. Analysing trends in reference evapotranspiration and weather variables in the Tons River Basin in Central India. Stoch. Environ. Res. Risk Assess. 2013, 27, 1407–1421. [Google Scholar] [CrossRef]
- Li, Z.X.; Qi, F.; Liu, W.; Wang, T.T.; Gao, Y.; Wang, Y.M.; Cheng, A.F.; Li, J.G.; Liu, L. Spatial and temporal trend of potential evapotranspiration and related driving forces in Southwestern China, during 1961–2009. Quater. Int. 2014, 336, 127–144. [Google Scholar]
- Li, B.; Chen, F.; Guo, H. Regional complexity in trends of potential evapotranspiration and its driving factors in the Upper Mekong River Basin. Quater. Int. 2015, 380-381, 83–94. [Google Scholar] [CrossRef]
- Gao, G.; Chen, D.; Ren, G.; Chen, Y.; Liao, Y. Spatial and temporal variations and controlling factors of potential evapotranspiration in China: 1956–2000. J. Geograph. Sci. 2006, 16, 3–12. [Google Scholar] [CrossRef]
- Zhang, L.; Traore, S.; Cui, Y.; Luo, Y.; Zhu, G.; Liu, B.; Fipps, G.; Karthikeyan, R.; Singh, V. Assessment of spatiotemporal variability of reference evapotranspiration and controlling climate factors over decades in China using geospatial techniques. Agric. Water Manag. 2019, 213, 499–511. [Google Scholar] [CrossRef]
- Liu, X.; Zhang, D. Trend analysis of reference evapotranspiration in Northwest China: The roles of changing wind speed and surface air temperature. Hydrol. Process. 2013, 27, 3941–3948. [Google Scholar] [CrossRef]
- Liuzzo, L.; Viola, F.; Noto, L.V. Wind speed and temperature trends impacts on reference evapotranspiration in Southern Italy. Theor. Appl. Climatol. 2016, 123, 43–62. [Google Scholar] [CrossRef]
- Khanmohammadi, N.; Rezaie, H.; Montaseri, M.; Behmanesh, J. The application of multiple linear regression method in reference evapotranspiration trend calculation. Stoch. Environ. Res. Risk Assess. 2018, 32, 661–673. [Google Scholar] [CrossRef]
- Tabari, H.; Aeini, A.; Talaee, P.H.; Some’e, B.S. Spatial distribution and temporal variation of reference evapotranspiration in arid and semi-arid regions of Iran. Hydrol. Process. 2012, 26, 500–512. [Google Scholar] [CrossRef]
- Tabari, H.; Abghari, H.; Hosseinzadeh Talaee, P. Temporal trends and spatial characteristics of drought and rainfall in arid and semiarid regions of Iran. Hydrol. Process. 2012, 26, 3351–3361. [Google Scholar] [CrossRef]
- Kousari, M.R.; Ahani, H. An investigation on reference crop evapotranspiration trend from 1975 to 2005 in Iran. Int. J. Climatol. 2012, 32, 2387–2402. [Google Scholar] [CrossRef]
- Shadmani, M.; Marofi, S.; Roknian, M. Trend analysis in reference evapotranspiration using Mann-Kendall and Spearman’s Rho tests in arid regions of Iran. Water Res. Manag. 2012, 26, 211–224. [Google Scholar] [CrossRef]
- Bonell, M.; Bruijnzeel, L.A. Forests, Water and People in the Humid Tropics: Past, Present and Future Hydrological Research for Integrated Land and Water Management; Cambridge University Press: London, UK, 2005. [Google Scholar]
- Bormann, H. Sensitivity analysis of 18 different potential evapotranspiration models to observed climatic change at German climate stations. Clim. Chang. 2011, 104, 729–753. [Google Scholar] [CrossRef]
- Kingston, D.G.; Todd, M.C.; Taylor, R.G.; Thompson, J.R.; Arnell, N.W. Uncertainty in the estimation of potential evapotranspiration under climate change. Geophys. Res. Lett. 2009, 36, L20403. [Google Scholar] [CrossRef]
- Huo, Z.; Dai, X.; Feng, S.; Kang, S.; Huang, G. Effect of climate change on reference evapotranspiration and aridity index in arid region of China. J. Hydrol. 2013, 492, 24–34. [Google Scholar] [CrossRef]
- Fan, J.; Wu, L.; Zhang, F.; Xiang, Y.; Zheng, J. Climate change effects on reference crop evapotranspiration across different climatic zones of China during 1956–2015. J. Hydrol. 2016, 542, 923–937. [Google Scholar] [CrossRef]
- Zhang, D.; Liu, X.; Hong, H. Assessing the effect of climate change on reference evapotranspiration in China. Stoch. Environ. Res. Risk Assess. 2013, 27, 1871–1881. [Google Scholar] [CrossRef]
- Dong, Q.; Wang, W.; Shao, Q.; Xing, W.; Ding, Y.; Fu, J. The response of reference evapotranspiration to climate change in Xinjiang, China: Historical changes, driving forces, and future projections. Int. J. Climatol. 2020, 40, 235–254. [Google Scholar] [CrossRef]
- Lin, P.; He, Z.; Du, J.; Chen, L.; Zhu, X.; Li, J. Impacts of climate change on reference evapotranspiration in the Qilian Mountains of China: Historical trends and projected changes. Int. J. Climatol. 2018, 38, 2980–2993. [Google Scholar] [CrossRef]
- Allen, R.G.; Pereira, L.S.; Raes, D.; Smith, M. Crop Evapotranspiration-Guidelines for Computing Crop Water Requirements-FAO Irrigation and Drainage Paper 56; FAO: Rome, Italy, 1998. [Google Scholar]
- Bakhtiari, B.; Ghahraman, N.; Liaghat, A.M.; Hoogenboom, G. Evaluation of reference evapotranspiration models for a semiarid environment using lysimeter measurements. J. Agric. Sci. Technol. 2011, 13, 223–237. [Google Scholar]
- Razzaghi, F.; Sepaskhah, A.R. Assessment of nine different equations for ETo estimation using lysimeter data in a semi-arid environment. Arch. Agron. Soil Sci. 2010, 56, 1–12. [Google Scholar] [CrossRef]
- Razzaghi, F.; Sepaskhah, A.R. Calibration and validation of four common ET0 estimation equations by lysimeter data in a semi-arid environment. Arch. Agron. Soil Sci. 2012, 58, 303–319. [Google Scholar] [CrossRef]
- Yarami, N.; Kamgar-Haghighi, A.A.; Sepaskhah, A.R.; Zand-Parsa, S. Determination of the potential evapotranspiration and crop coefficient for saffron using a water-balance lysimeter. Arch. Agron. Soil Sci. 2011, 57, 727–740. [Google Scholar] [CrossRef]
- Mann, H.B. Non-parametric tests against trend. Econometrica 1945, 13, 163–171. [Google Scholar] [CrossRef]
- Kendall, M.G. Rank Correlation Methods, 4th ed.; Charles Griffin: Oxford, UK, 1975. [Google Scholar]
- Gilbert, R.O. Statistical Methods for Environmental Pollution Monitoring; Wiley: Hoboken, NJ, USA, 1987. [Google Scholar]
- Sarr, M.A.; Gachon, P.; Seidou, O.; Bryant, C.R.; Ndione, J.A.; Comby, J. Inconsistent linear trends in Senegalese rainfall indices from 1950 to 2007. Hydrol. Sci. J. 2015, 60, 1538–1549. [Google Scholar] [CrossRef]
- Park, K.I. Fundamentals of Probability and Stochastic Processes with Applications to Communications; Springer: Berlin, Germany, 2018. [Google Scholar]
- Thiel, H. A rank-invariant method of linear and polynomial regression analysis (Part 3). In Proceedings of the Koninalijke Nederlandse Akademie van Weinenschatpen A, Amsterdam, The Netherlands, 25 February 1950; pp. 1397–1412. [Google Scholar]
- Sen, P.K. Estimates of the regression coefficient based on Kendall’s tau. J. Am. Stat. Assoc. 1968, 63, 1379–1389. [Google Scholar] [CrossRef]
- Salas, J.D.; Delleur, J.W.; Yevjevich, V.; Lane, W.L. Applied Modeling of Hydrologic Time Series; Water Resources Publication: Littleton, CO, USA, 1980. [Google Scholar]
- Coumou, D.; Robinson, A.; Rahmstorf, S. Global increase in record-breaking monthly-mean temperatures. Clim. Chang. 2013, 118, 771–782. [Google Scholar] [CrossRef]
- Blain, G.C. Removing the influence of the serial correlation on the Mann-Kendall test. Rev. Bras. Meteorol. 2014, 29, 161–170. [Google Scholar] [CrossRef]
- Henry, R.C.; Chang, Y.S.; Spiegelman, C.H. Locating nearby sources of air pollution by nonparametric regression of atmospheric concentrations on wind direction. Atmos. Environ. 2002, 36, 2237–2244. [Google Scholar] [CrossRef]
- Sarmiento, C.; Valencia, C.; Akhavan-Tabatabaei, R. Copula autoregressive methodology for the simulation of wind speed and direction time series. J. Wind Eng. Ind. Aerod. 2018, 174, 188–199. [Google Scholar] [CrossRef]
- Fitchett, J.M.; Grab, S.W.; Thompson, D.I.; Roshan, G. Spatio-temporal variation in phenological response of citrus to climate change in Iran: 1960–2010. Agric. For. Meteorol. 2014, 198, 285–293. [Google Scholar] [CrossRef]
- Shirvani, A. Change point analysis of mean annual air temperature in Iran. Atmos. Res. 2015, 160, 91–98. [Google Scholar] [CrossRef]
- Ashraf, B.; Yazdani, R.; Mousavi-Baygi, M.; Bannayan, M. Investigation of temporal and spatial climate variability and aridity of Iran. Theor. Appl. Climatol. 2014, 118, 35–46. [Google Scholar] [CrossRef]
- Bazrafshan, J.; Nadi, M.; Ghorbani, K. Comparison of Empirical Copula-Based Joint Deficit Index (JDI) and Multivariate Standardized Precipitation Index (MSPI) for Drought Monitoring in Iran. Water Resour. Manag. 2015, 29, 2027–2044. [Google Scholar] [CrossRef]
- Kehl, M. Quaternary climate change in Iran—the state of knowledge. Erdkunde 2009, 63, 1–17. [Google Scholar] [CrossRef]
- Kousari, M.R.; Dastorani, M.T.; Niazi, Y.; Soheili, E.; Hayatzadeh, M.; Chezgi, J. Trend detection of drought in arid and semi-arid regions of Iran based on implementation of reconnaissance drought index (RDI) and application of non-parametrical statistical method. Water Resour. Manag. 2014, 28, 1857–1872. [Google Scholar] [CrossRef]
- Tabari, H.; Nikbakht, J.; Talaee, P.H. Identification of trend in reference evapotranspiration series with serial dependence in Iran. Water Res. Manag. 2012, 26, 2219–2232. [Google Scholar] [CrossRef]
- Rahimzadeh, F.; Nassaji Zavareh, M. Effects of adjustment for non-climatic discontinuities on determination of temperature trends and variability over Iran. Int. J. Climatol. 2014, 34, 2079–2096. [Google Scholar] [CrossRef]
- Soltani, S.; Saboohi, R.; Yaghmaei, L. Rainfall and rainy days trend in Iran. Climat. Chang. 2012, 110, 187–213. [Google Scholar] [CrossRef]
- Soltani, M.; Laux, P.; Kunstmann, H.; Stan, K.; Sohrabi, M.M.; Molanejad, M.; Sabziparvar, A.A.; SaadatAbadi, A.R.; Ranjbar, F.; Rousta, I.; et al. Assessment of climate variations in temperature and precipitation extreme events over Iran. Theor. Appl. Climatol. 2016, 126, 775–795. [Google Scholar] [CrossRef]
- Hamzeh Nezhad, M.; Rabbani, M.; Torabi, T. The role of wind in human health in Islamic medicine and its effect in layout and structure of Iranian classic towns. Naghsh Jahan 2015, 5, 43–57. [Google Scholar]
- Pirnia, M.K. Stylistics of Iranian Architecture; Sorush Danesh: Tehran, Iran, 2008. [Google Scholar]
- Amiraslani, F.; Dragovich, D. Cross-sectoral and participatory approaches to combating desertification: The Iranian experience. Natur. Resour. Forum 2010, 34, 140–154. [Google Scholar] [CrossRef]
- Amiraslani, F.; Dragovich, D. Combating desertification in Iran over the last 50 years: An overview of changing approaches. J. Environ. Manag. 2011, 92, 1–13. [Google Scholar] [CrossRef]
- Roghani, R.; Soltani, S.; Bashari, H. Influence of southern oscillation on autumn rainfall in Iran (1951–2011). Theor. Appl. Climatol. 2016, 124, 411–423. [Google Scholar] [CrossRef]
- Pourasghar, F.; Oliver, E.C.; Holbrook, N.J. Modulation of wet-season rainfall over Iran by the Madden–Julian Oscillation, Indian Ocean Dipole and El Niño–Southern Oscillation. Int. J. Climatol. 2019, 39, 4029–4040. [Google Scholar] [CrossRef]
- Grove, R.; Adamson, G. El Niño in World History; Palgrave Macmillan: London, UK, 2018. [Google Scholar]
- Azami, M.; Mirzaee, E.; Mohammadi, A. Recognition of urban unsustainability in Iran (case study: Sanandaj City). Cities 2015, 49, 159–168. [Google Scholar] [CrossRef]
- Barzani, M.M.; Khairulmaini, O.S. Desertification risk mapping of the Zayandeh Rood Basin in Iran. J. Earth Sys. Sci. 2013, 122, 1269–1282. [Google Scholar] [CrossRef]
- Emadodin, I.; Bork, H.R. Degradation of soils as a result of long-term human-induced transformation of the environment in Iran: An overview. J. Land Use Sci. 2012, 7, 203–219. [Google Scholar] [CrossRef]
- Hashemimanesh, M.; Matinfar, H. Evaluation of desert management and rehabilitation by petroleum mulch base on temporal spectral analysis and field study (case study: Ahvaz, Iran). Ecol. Eng. 2012, 46, 68–74. [Google Scholar] [CrossRef]
- Hosseini, S.M.; Sadrafshari, S.; Fayzolahpour, M. Desertification hazard zoning in Sistan Region, Iran. J. Geograph. Sci. 2012, 22, 885–894. [Google Scholar] [CrossRef]
- Jafari, R.; Bakhshandehmehr, L. Quantitative mapping and assessment of environmentally sensitive areas to desertification in central Iran. Land Degrad. Dev. 2016, 27, 108–119. [Google Scholar] [CrossRef]
- Khaledian, Y.; Kiani, F.; Ebrahimi, S. The effect of land use change on soil and water quality in northern Iran. J. Mount. Sci. 2012, 9, 798–816. [Google Scholar] [CrossRef]
- Malmir, M.; Zarkesh, M.M.K.; Monavari, S.M.; Jozi, S.A.; Sharifi, E. Urban development change detection based on Multi-Temporal Satellite Images as a fast tracking approach—A case study of Ahwaz County, southwestern Iran. Environ. Monit. Assess. 2015, 187, 1–10. [Google Scholar] [CrossRef]
- Sadeghiravesh, M.H.; Ahmadi, H.; Zehtabian, G. Application of sensitivity analysis for assessment of de-desertification alternatives in the central Iran by using Triantaphyllou method. Environ. Monit. Assess. 2011, 179, 31–46. [Google Scholar] [CrossRef]
- Sepehr, A.; Hassanli, A.M.; Ekhtesasi, M.R.; Jamali, J.B. Quantitative assessment of desertification in south of Iran using MEDALUS method. Environ. Monit. Assess. 2007, 134, 243–254. [Google Scholar] [CrossRef] [PubMed]
- Tabari, H.; Somee, B.S.; Zadeh, M.R. Testing for long-term trends in climatic variables in Iran. Atmos. Res. 2011, 100, 132–140. [Google Scholar] [CrossRef]
- Tabari, H.; Marofi, S.; Aeini, A.; Talaee, P.H.; Mohammadi, K. Trend analysis of reference evapotranspiration in the western half of Iran. Agric. For. Meteorol. 2011, 151, 128–136. [Google Scholar] [CrossRef]
- Tabari, H.; Talaee, P.H.; Nadoushani, S.M.; Willems, P.; Marchetto, A. A survey of temperature and precipitation based aridity indices in Iran. Quater. Int. 2014, 345, 158–166. [Google Scholar] [CrossRef]
- Eyshi Rezaie, E.; Bannayan, M. Rainfed wheat yields under climate change in northeastern Iran. Meteorol. Appl. 2012, 19, 346–354. [Google Scholar] [CrossRef]
- Eyshi Rezaei, E.; Webber, H.; Gaiser, T.; Naab, J.; Ewert, F. Heat stress in cereals: Mechanisms and modelling. Europ. J. Agron. 2015, 64, 98–113. [Google Scholar] [CrossRef]
- Banimahd, S.A.; Khalili, D.; Kamgar-Haghighi, A.A.; Zand-Parsa, S. In-depth investigation of precipitation-based climate change and cyclic variation in different climatic zones. Theor. Appl. Climatol. 2014, 116, 565–583. [Google Scholar] [CrossRef]
- Farhangfar, S.; Bannayan, M.; Khazaei, H.R.; Baygi, M.M. Vulnerability assessment of wheat and maize production affected by drought and climate change. Int. J. Disaster Risk Reduct. 2015, 13, 37–51. [Google Scholar] [CrossRef]
- Koocheki, A.; Nasiri, M.; Kamali, G.A.; Shahandeh, H. Potential impacts of climate change on agroclimatic indicators in Iran. Arid Land Res. Manag. 2006, 20, 245–259. [Google Scholar] [CrossRef]
- Lashkari, A.; Alizadeh, A.; Rezaei, E.E.; Bannayan, M. Mitigation of climate change impacts on maize productivity in northeast of Iran: A simulation study. Mitigat. Adapt. Strateg. Glob. Chang. 2012, 17, 1–16. [Google Scholar] [CrossRef]
- Moradi, R.; Koocheki, A.; Mahallati, M.N. Adaptation of maize to climate change impacts in Iran. Mitigat. Adapt. Strateg. Glob. Chang. 2014, 19, 1223–1238. [Google Scholar] [CrossRef]
- Soltani, E.; Soltani, A. Climatic change of Khorasan, North-East of Iran, during 1950–2004. Res. J. Environ. Sci. 2008, 2, 316–322. [Google Scholar]
- Abolverdi, J.; Ferdosifar, G.; Khalili, D.; Kamgar-Haghighi, A.A.; Haghighi, M.A. Recent trends in regional air temperature and precipitation and links to global climate change in the Maharlo watershed, Southwestern Iran. Meteorol. Atmos. Physic. 2014, 126, 177–192. [Google Scholar] [CrossRef]
- Delju, A.H.; Ceylan, A.; Piguet, E.; Rebetez, M. Observed climate variability and change in Urmia Lake Basin, Iran. Theor. Appl. Climatol. 2013, 111, 285–296. [Google Scholar] [CrossRef]
- Fathian, F.; Dehghan, Z.; Bazrkar, M.H.; Eslamian, S. Trends in hydrological and climatic variables affected by four variations of the Mann-Kendall approach in Urmia Lake basin, Iran. Hydrol. Sci. J. 2016, 61, 892–904. [Google Scholar] [CrossRef]
- Fathian, F.; Morid, S.; Kahya, E. Identification of trends in hydrological and climatic variables in Urmia Lake basin, Iran. Theore. Appl. Climatol. 2014, 119, 443–464. [Google Scholar] [CrossRef]
- Malekian, A.; Kazemzadeh, M. Spatio-temporal analysis of regional trends and shift changes of autocorrelated temperature series in Urmia Lake Basin. Water Resour. Manag. 2016, 30, 785–803. [Google Scholar] [CrossRef]
- Valizadeh, J.; Ziaei, S.M.; Mazloumzadeh, S.M. Assessing climate change impacts on wheat production (a case study). J. Saudi Soci. Agric. Sci. 2014, 13, 107–115. [Google Scholar] [CrossRef]
- Zhang, X.; Wang, W.C.; Fang, X.; Ye, Y.; Zheng, J. Agriculture development induced surface albedo changes and climatic implications across northeastern China. Chin. Geogr. Sci. 2012, 22, 264–277. [Google Scholar] [CrossRef]
- Sun, S.; Chen, H.; Sun, G.; Ju, W.; Wang, G.; Li, X.; Yan, G.; Gao, C.; Huang, J.; Zhang, F.; et al. Attributing the changes in reference evapotranspiration in Southwestern China using a new separation method. J. Hydrometeorol. 2017, 18, 777–798. [Google Scholar] [CrossRef]
- Field, C.B.; Jackson, R.B.; Mooney, H.A. Stomatal responses to increased CO2: Implications from the plant to the global scale. Plant Cell Environ. 1995, 18, 1214–1225. [Google Scholar] [CrossRef]
- Betts, R.A.; Boucher, O.; Collins, M.; Cox, P.M.; Falloon, P.D.; Gedney, N.; Hemming, D.L.; Huntingford, C.; Jones, C.D.; Sexton, D.M.; et al. Projected increase in continental runoff due to plant responses to increasing carbon dioxide. Nature 2007, 448, 1037–1041. [Google Scholar] [CrossRef]
- Milly, P.C.; Dunne, K.A. Potential evapotranspiration and continental drying. Nat. Clim. Chang. 2016, 6, 946–949. [Google Scholar] [CrossRef]
- Li, X.; Kang, S.; Niu, J.; Huo, Z.; Liu, J. Improving the representation of stomatal responses to CO2 within the Penman-Monteith model to better estimate evapotranspiration responses to climate change. J. Hydrol. 2019, 572, 692–705. [Google Scholar] [CrossRef]
- Domec, J.C.; Palmroth, S.; Ward, E.; Maier, C.A.; Thérézien, M.; Oren, R. Acclimation of leaf hydraulic conductance and stomatal conductance of Pinus taeda (loblolly pine) to long-term growth in elevated CO2 (free-air CO2 enrichment) and N-fertilization. Plant Cell Environ. 2009, 32, 1500–1512. [Google Scholar] [CrossRef] [PubMed]
- Almazroui, M.; Saeed, F.; Saeed, S.; Islam, M.N.; Ismail, M.; Klutse, N.A.B.; Siddiqui, M.H. Projected Change in Temperature and Precipitation Over Africa from CMIP6. Earth Syst. Environ. 2020, 4, 455–475. [Google Scholar] [CrossRef]
- Almazroui, M.; Saeed, S.; Saeed, F.; Islam, M.N.; Ismail, M. Projections of Precipitation and Temperature over the South Asian Countries in CMIP6. Earth Syst. Environ. 2020, 4, 297–320. [Google Scholar] [CrossRef]








| Synoptic Station | ICAO Code | Latitude (°N) | Longitude (°E) | Altitude (masl) | Climate Type |
|---|---|---|---|---|---|
| Ahvaz (AH) | 40811 | 31°20′ | 48°40′ | 22.5 | Arid |
| Arak (AR) | 40769 | 34°6′ | 49°46′ | 1708.0 | Semiarid |
| Bushehr (BU) | 40858 | 28°58′ | 50°49′ | 9.0 | Arid |
| Esfahan (ES) | 40800 | 32°37′ | 51°40′ | 1550.4 | Arid |
| Hamedan (HA) | 40768 | 34°52′ | 48°32′ | 1741.5 | Semiarid |
| Jiroft (JI) | 40866 | 28°35′ | 57°48′ | 601.0 | Arid |
| Kerman (KE) | 40841 | 30°15′ | 56°58′ | 1753.8 | Arid |
| Mashhad (MA) | 40745 | 36°16′ | 59°38′ | 999.2 | Semiarid |
| Moghan (MO) | 40700 | 39°39′ | 47°55′ | 31.9 | Semiarid |
| Qazvin (QA) | 40731 | 36°15′ | 50°3′ | 1279.2 | Semiarid |
| Rasht (RA) | 40719 | 37°19′ | 49°37′ | −8.6 | Humid |
| Sanandaj (SA) | 40747 | 35°20′ | 47°0′ | 1373.4 | Mediterranean |
| Shahrekord (SK) | 40798 | 32°17′ | 50°51′ | 2048.9 | Semiarid |
| Shiraz (SH) | 40848 | 29°32′ | 52°36′ | 1484.0 | Semiarid |
| Tabriz (TA) | 40706 | 38°5′ | 46°17′ | 1361.0 | Semiarid |
| Urmia (UR) | 40712 | 37°40′ | 45°3′ | 1328.0 | Semiarid |
| Yazd (YA) | 40821 | 31°54′ | 54°17′ | 1237.2 | Arid |
| Zabol (ZA) | 40829 | 31°2′ | 61°29′ | 489.2 | Arid |
| Sites | Method | ETo | Tmean | Tmin | Tmax | Tmax-Tmin | es-ea | RH | RHmin | P | WD | WS | CD | n |
|---|---|---|---|---|---|---|---|---|---|---|---|---|---|---|
| Ahvaz | TFPW-MK | 0.146 | 0.000 | 0.000 | 0.001 | 0.000 | 0.170 | 0.725 | 0.000 | 0.598 | 0.430 | 0.907 | 0.040 | 0.041 |
| MK | 0.276 | 0.000 | 0.000 | 0.001 | 0.000 | 0.059 | 0.725 | 0.000 | 0.598 | 0.061 | 0.928 | 0.003 | 0.101 | |
| Arak | TFPW-MK | 0.003 | 0.682 | 0.358 | 0.980 | 0.255 | 0.332 | 0.645 | 0.462 | 0.066 | 0.101 | 0.034 | 0.353 | 0.719 |
| MK | 0.000 | 0.682 | 0.358 | 0.981 | 0.255 | 0.332 | 0.632 | 0.462 | 0.066 | 0.581 | 0.034 | 0.420 | 0.464 | |
| Bushehr | TFPW-MK | 0.184 | 0.000 | 0.000 | 0.002 | 0.006 | 0.031 | 0.238 | 0.270 | 0.340 | 0.121 | 0.003 | 0.146 | 0.011 |
| MK | 0.065 | 0.000 | 0.000 | 0.007 | 0.006 | 0.031 | 0.349 | 0.270 | 0.301 | 0.002 | 0.003 | 0.041 | 0.011 | |
| Esfahan | TFPW-MK | 0.000 | 0.000 | 0.034 | 0.000 | 0.153 | 0.001 | 0.155 | 0.058 | 0.063 | 0.828 | 0.000 | 0.001 | 0.096 |
| MK | 0.000 | 0.000 | 0.034 | 0.000 | 0.153 | 0.001 | 0.155 | 0.058 | 0.013 | 0.944 | 0.000 | 0.001 | 0.005 | |
| Hamedan | TFPW-MK | 0.987 | 0.019 | 0.014 | 0.358 | 0.143 | 0.980 | 0.024 | 0.110 | 0.732 | 0.920 | 0.366 | 0.017 | 0.137 |
| MK | 0.987 | 0.019 | 0.014 | 0.414 | 0.143 | 0.980 | 0.024 | 0.048 | 0.732 | 0.965 | 0.366 | 0.017 | 0.137 | |
| Jiroft | TFPW-MK | 0.037 | 0.291 | 0.717 | 0.025 | 0.003 | 0.085 | 0.131 | 0.027 | 0.004 | 0.608 | 0.349 | 0.110 | 0.566 |
| MK | 0.037 | 0.291 | 0.717 | 0.025 | 0.003 | 0.085 | 0.131 | 0.027 | 0.002 | 0.769 | 0.008 | 0.110 | 0.566 | |
| Kerman | TFPW-MK | 0.032 | 0.000 | 0.000 | 0.000 | 0.047 | 0.412 | 0.622 | 0.375 | 0.039 | 0.119 | 0.014 | 0.000 | 0.034 |
| MK | 0.000 | 0.000 | 0.000 | 0.000 | 0.047 | 0.412 | 0.193 | 0.475 | 0.001 | 0.001 | 0.014 | 0.000 | 0.034 | |
| Mashhad | TFPW-MK | 0.001 | 0.000 | 0.000 | 0.002 | 0.000 | 0.001 | 0.020 | 0.040 | 0.947 | 0.043 | 0.128 | 0.744 | 0.472 |
| MK | 0.001 | 0.000 | 0.000 | 0.002 | 0.000 | 0.005 | 0.020 | 0.040 | 0.947 | 0.288 | 0.085 | 0.744 | 0.277 | |
| Moghan | TFPW-MK | 0.359 | 0.004 | 0.000 | 0.113 | 0.574 | 0.441 | 0.091 | 0.574 | 0.692 | 0.278 | 0.348 | 0.032 | 0.441 |
| MK | 0.359 | 0.004 | 0.000 | 0.225 | 0.574 | 0.441 | 0.091 | 0.539 | 0.692 | 0.058 | 0.348 | 0.032 | 0.441 | |
| Qazvin | TFPW-MK | 0.000 | 0.362 | 0.457 | 0.417 | 0.394 | 0.000 | 0.001 | 0.035 | 0.610 | 0.316 | 0.000 | 0.001 | 0.847 |
| MK | 0.000 | 0.362 | 0.457 | 0.417 | 0.394 | 0.000 | 0.000 | 0.035 | 0.610 | 0.038 | 0.000 | 0.001 | 0.803 | |
| Rasht | TFPW-MK | 0.375 | 0.000 | 0.000 | 0.558 | 0.000 | 0.003 | 0.001 | 0.340 | 0.598 | 0.472 | 0.569 | 0.452 | 0.328 |
| MK | 0.097 | 0.000 | 0.000 | 0.351 | 0.000 | 0.001 | 0.000 | 0.445 | 0.598 | 0.803 | 0.569 | 0.262 | 0.328 | |
| Sanandaj | TFPW-MK | 0.358 | 0.000 | 0.047 | 0.000 | 0.120 | 0.013 | 0.124 | 0.000 | 0.011 | 0.178 | 0.913 | 0.001 | 0.046 |
| MK | 0.161 | 0.000 | 0.052 | 0.000 | 0.198 | 0.013 | 0.119 | 0.000 | 0.011 | 0.589 | 0.727 | 0.000 | 0.090 | |
| Shahrekord | TFPW-MK | 0.000 | 0.001 | 0.000 | 0.195 | 0.091 | 0.000 | 0.106 | 0.000 | 0.757 | 0.389 | 0.000 | 0.094 | 0.320 |
| MK | 0.000 | 0.001 | 0.002 | 0.195 | 0.091 | 0.000 | 0.106 | 0.000 | 0.610 | 0.061 | 0.000 | 0.175 | 0.320 | |
| Shiraz | TFPW-MK | 0.024 | 0.000 | 0.000 | 0.001 | 0.001 | 0.000 | 0.037 | 0.012 | 1.000 | 0.821 | 0.000 | 0.738 | 0.457 |
| MK | 0.024 | 0.000 | 0.000 | 0.001 | 0.001 | 0.000 | 0.037 | 0.002 | 1.000 | 0.933 | 0.000 | 0.738 | 0.415 | |
| Tabriz | TFPW-MK | 0.225 | 0.000 | 0.000 | 0.000 | 0.744 | 0.000 | 0.000 | 0.000 | 0.000 | 0.682 | 0.634 | 0.000 | 0.213 |
| MK | 0.193 | 0.000 | 0.000 | 0.000 | 0.744 | 0.000 | 0.000 | 0.000 | 0.006 | 0.864 | 0.634 | 0.000 | 0.091 | |
| Urmia | TFPW-MK | 0.015 | 0.069 | 0.061 | 0.022 | 0.375 | 0.320 | 0.375 | 0.000 | 0.153 | 0.130 | 0.021 | 0.002 | 0.049 |
| MK | 0.006 | 0.054 | 0.061 | 0.022 | 0.375 | 0.076 | 0.490 | 0.000 | 0.107 | 0.367 | 0.021 | 0.002 | 0.014 | |
| Yazd | TFPW-MK | 0.763 | 0.000 | 0.000 | 0.000 | 0.000 | 0.001 | 0.076 | 0.040 | 0.384 | 0.206 | 0.050 | 0.068 | 0.019 |
| MK | 0.679 | 0.000 | 0.000 | 0.000 | 0.000 | 0.000 | 0.149 | 0.185 | 0.384 | 0.093 | 0.013 | 0.112 | 0.009 | |
| Zabol | TFPW-MK | 0.000 | 0.000 | 0.000 | 0.011 | 0.751 | 0.201 | 0.349 | 0.007 | 0.403 | 0.101 | 0.000 | 0.462 | 0.763 |
| MK | 0.000 | 0.002 | 0.000 | 0.000 | 0.775 | 0.201 | 0.460 | 0.042 | 0.001 | 0.101 | 0.000 | 0.386 | 0.763 |
| Variations | ETo | Tmean | Tmin | Tmax | Tmax-Tmin | es-ea | RH | RHmin | P | WD | WS | CD | n |
|---|---|---|---|---|---|---|---|---|---|---|---|---|---|
| Ahvaz | NS | U *** | U *** | U *** | D *** | NS | NS | D *** | NS | NS | NS | U ** | U ** |
| Arak | U *** | NS | NS | NS | NS | NS | NS | NS | D * | NS | U ** | NS | NS |
| Bushehr | NS | U *** | U *** | U *** | D *** | U ** | NS | NS | NS | NS | D *** | NS | D ** |
| Esfahan | D *** | U *** | U ** | U *** | NS | U *** | NS | D ** | U * | NS | D *** | D *** | U * |
| Hamedan | NS | U ** | U ** | NS | NS | NS | U ** | NS | NS | NS | NS | U ** | NS |
| Jiroft | U ** | U ** | NS | U ** | U *** | U * | NS | D ** | D *** | NS | NS | NS | NS |
| Kerman | D ** | U *** | U *** | U *** | D ** | NS | NS | NS | D ** | NS | D ** | D *** | U ** |
| Mashhad | U *** | U *** | U ** | U *** | D *** | U *** | D ** | D ** | NS | D ** | NS | NS | NS |
| Moghan | NS | U *** | U *** | NS | NS | NS | U * | NS | NS | NS | NS | D ** | NS |
| Qazvin | D *** | NS | NS | NS | NS | D *** | U *** | D ** | NS | NS | D *** | D *** | NS |
| Rasht | NS | U *** | U *** | NS | D *** | D *** | U *** | NS | NS | NS | NS | NS | NS |
| Sanandaj | NS | U *** | U ** | U *** | NS | D ** | NS | D *** | D ** | NS | NS | D *** | U ** |
| Shahrekord | U *** | D *** | D *** | NS | U * | D *** | NS | D *** | NS | NS | U *** | D * | NS |
| Shiraz | D ** | U *** | U *** | U *** | D *** | U *** | D ** | D ** | NS | NS | D *** | NS | NS |
| Tabriz | NS | U *** | U *** | U *** | NS | U *** | D *** | D *** | D *** | NS | NS | D *** | NS |
| Urmia | U ** | U ** | U * | U ** | NS | NS | NS | D *** | NS | NS | U * | D *** | U * |
| Yazd | NS | U *** | U *** | U *** | D *** | U *** | D * | D ** | NS | NS | D ** | U * | U ** |
| Zabol | U *** | U *** | U *** | U ** | NS | NS | NS | D *** | NS | NS | U *** | NS | NS |
| U (%) | 33.3 | 77.8 | 77.8 | 66.7 | 11.1 | 38.9 | 22.2 | 0.0 | 5.6 | 0.0 | 22.2 | 16.7 | 33.3 |
| D (%) | 22.2 | 5.6 | 5.6 | 0.0 | 38.9 | 22.2 | 22.2 | 66.7 | 27.8 | 5.6 | 33.3 | 44.4 | 5.6 |
| U+D (%) | 55.5 | 83.4 | 83.4 | 66.7 | 50.0 | 61.1 | 44.4 | 66.7 | 33.4 | 5.6 | 55.5 | 61.1 | 38.9 |
| Sites | ETo | Tmean | Tmin | Tmax | Tmax-Tmin | es-ea | RH | RHmin | P | WS | CD | n | |
|---|---|---|---|---|---|---|---|---|---|---|---|---|---|
| Ahvaz (arid) | Max | 1964 | 2010 | 2010 | 2010 | 1973 | 1973 | 1982 | 1961 | 1997 | 1964 | 1982 | 1998 |
| Min | 1962 | 1969 | 1968 | 1992 | 1992 | 1984 | 1964 | 1990 | 1973 | 1979 | 1964 | 1992 | |
| Arak (semiarid) | Max | 1973 | 1966 | 1966 | 2010 | 1964 | 1973 | 1992 | 1993 | 1969 | 1982 | 1974 | 1973 |
| Min | 1966 | 1992 | 1983 | 1992 | 1996 | 1992 | 1973 | 2010 | 1973 | 1966 | 2010 | 1984 | |
| Bushehr (arid) | Max | 1967 | 2010 | 2010 | 1962 | 1962 | 1981 | 1972 | 1963 | 1997 | 1967 | 1974 | 1970 |
| Min | 1979 | 1964 | 1964 | 1972 | 2009 | 1972 | 1981 | 1981 | 2010 | 1998 | 2008 | 1992 | |
| Esfahan (arid) | Max | 1963 | 2010 | 1998 | 2010 | 2000 | 2002 | 1972 | 1972 | 2006 | 1967 | 1968 | 1995 |
| Min | 1996 | 1972 | 1972 | 1972 | 1993 | 1972 | 2002 | 2002 | 2008 | 1996 | 2010 | 1982 | |
| Hamedan (semiarid) | Max | 1967 | 2010 | 1961 | 2010 | 1964 | 1964 | 1986 | 2008 | 1968 | 1967 | 1982 | 2005 |
| Min | 1986 | 1972 | 1964 | 1972 | 1961 | 1986 | 1967 | 1978 | 1964 | 1961 | 1964 | 1972 | |
| Jiroft (arid) | Max | 2007 | 2001 | 1999 | 2001 | 2001 | 1998 | 1991 | 1991 | 1992 | 2007 | 1992 | 2001 |
| Min | 1996 | 1992 | 1992 | 1992 | 1997 | 1995 | 1998 | 1998 | 2001 | 1996 | 2001 | 2009 | |
| Kerman (arid) | Max | 1966 | 2010 | 2009 | 2010 | 1973 | 1970 | 1983 | 1974 | 1974 | 1969 | 1963 | 2010 |
| Min | 1984 | 1972 | 1973 | 1972 | 1976 | 1992 | 1998 | 1962 | 2010 | 1984 | 2010 | 1983 | |
| Mashhad (semiarid) | Max | 2010 | 2010 | 2006 | 2010 | 1980 | 2010 | 1982 | 1982 | 1976 | 1999 | 1992 | 2000 |
| Min | 1981 | 1972 | 1972 | 1972 | 1991 | 1982 | 2010 | 2010 | 2006 | 1977 | 1983 | 1993 | |
| Moghan (semiarid) | Max | 1989 | 2010 | 2010 | 2010 | 1989 | 1989 | 2003 | 2003 | 2003 | 1989 | 1988 | 1999 |
| Min | 1994 | 1993 | 1993 | 1993 | 2003 | 2003 | 1989 | 1989 | 1996 | 1994 | 2004 | 1987 | |
| Qazvin (semiarid) | Max | 1962 | 1966 | 1966 | 1966 | 1961 | 1966 | 1992 | 1972 | 1972 | 1976 | 1969 | 1963 |
| Min | 1992 | 1974 | 1976 | 1974 | 1972 | 1992 | 1966 | 1994 | 2007 | 1998 | 1995 | 1992 | |
| Rasht (humid) | Max | 1975 | 2010 | 2010 | 2010 | 1971 | 1971 | 1988 | 1988 | 1972 | 1975 | 1977 | 1995 |
| Min | 1993 | 1972 | 1972 | 1969 | 1984 | 1988 | 1967 | 1971 | 2010 | 1988 | 1989 | 1974 | |
| Sanandaj (Mediterranean) | Max | 1971 | 2010 | 2010 | 2010 | 1983 | 1970 | 1982 | 1982 | 1969 | 1971 | 1969 | 2001 |
| Min | 1986 | 1992 | 1983 | 1992 | 1967 | 1992 | 1997 | 2010 | 1973 | 1986 | 2010 | 1986 | |
| Shahrekord (semiarid) | Max | 2008 | 1978 | 1978 | 1978 | 2010 | 1964 | 1982 | 1980 | 2006 | 2008 | 1986 | 1973 |
| Min | 1968 | 1992 | 2005 | 1992 | 1986 | 1992 | 1973 | 2010 | 2008 | 1968 | 1977 | 1984 | |
| Shiraz (semiarid) | Max | 1981 | 1999 | 1999 | 2010 | 1973 | 2001 | 1969 | 1969 | 2004 | 1981 | 1992 | 2001 |
| Min | 1992 | 1972 | 1968 | 1992 | 1996 | 1972 | 1966 | 2010 | 1966 | 2010 | 2008 | 1992 | |
| Tabriz (semiarid) | Max | 1961 | 2010 | 2010 | 2010 | 2010 | 2010 | 1982 | 1982 | 1963 | 1961 | 1969 | 1999 |
| Min | 1991 | 1972 | 1972 | 1972 | 1982 | 1982 | 2010 | 2010 | 1990 | 1992 | 1999 | 1969 | |
| Urmia (semiarid) | Max | 2010 | 2010 | 2001 | 2010 | 2010 | 2001 | 1982 | 1982 | 1994 | 2007 | 1969 | 1962 |
| Min | 1992 | 1982 | 1982 | 1982 | 1969 | 1982 | 2001 | 2001 | 2005 | 1984 | 2009 | 1982 | |
| Yazd (arid) | Max | 1971 | 2010 | 2010 | 2010 | 1979 | 1970 | 1982 | 1972 | 1986 | 1971 | 1986 | 2010 |
| Min | 1995 | 1972 | 1964 | 1972 | 1996 | 1986 | 2010 | 2010 | 2010 | 1995 | 1966 | 1971 | |
| Zabol (arid) | Max | 1984 | 2006 | 2006 | 2010 | 1971 | 1971 | 1991 | 1982 | 2005 | 1984 | 1991 | 1983 |
| Min | 1968 | 1972 | 1972 | 1972 | 1982 | 1991 | 1971 | 2010 | 2010 | 1968 | 1963 | 2003 |
| Sites | Number of Significant Meteorological Variables | Three Highest-Ranked (from Left to Right) Significant Meteorological Variables |
|---|---|---|
| Ahvaz | 5 | WS, RHmin, RH |
| Arak | 7 | WS, es-ea, RH |
| Bushehr | 2 | WS, n |
| Esfahan | 3 | WS, P, RH |
| Hamedan | 8 | WS, es-ea, RH |
| Jiroft | 9 | WS, Tmax-Tmin, P |
| Kerman | 7 | WS, es-ea, RH |
| Mashhad | 12 | WS, Tmax, Tmin |
| Moghan | 4 | WS, RH, es-ea |
| Qazvin | 6 | WS, es-ea, RH |
| Rasht | 11 | Tmax, RHmin, es-ea |
| Sanandaj | 7 | WS, P, n |
| Shahrekord | 4 | WS, RHmin, Tmax-Tmin |
| Shiraz | 5 | WS, RH, RHmin |
| Tabriz | 10 | WS, Tmax, es-ea |
| Urmia | 12 | WS, Tmax, RHmin |
| Yazd | 9 | WS, RH, es-ea |
| Zabol | 10 | WS, Tmax, WD |
© 2020 by the authors. Licensee MDPI, Basel, Switzerland. This article is an open access article distributed under the terms and conditions of the Creative Commons Attribution (CC BY) license (http://creativecommons.org/licenses/by/4.0/).
Share and Cite
Valipour, M.; Bateni, S.M.; Gholami Sefidkouhi, M.A.; Raeini-Sarjaz, M.; Singh, V.P. Complexity of Forces Driving Trend of Reference Evapotranspiration and Signals of Climate Change. Atmosphere 2020, 11, 1081. https://doi.org/10.3390/atmos11101081
Valipour M, Bateni SM, Gholami Sefidkouhi MA, Raeini-Sarjaz M, Singh VP. Complexity of Forces Driving Trend of Reference Evapotranspiration and Signals of Climate Change. Atmosphere. 2020; 11(10):1081. https://doi.org/10.3390/atmos11101081
Chicago/Turabian StyleValipour, Mohammad, Sayed M. Bateni, Mohammad Ali Gholami Sefidkouhi, Mahmoud Raeini-Sarjaz, and Vijay P. Singh. 2020. "Complexity of Forces Driving Trend of Reference Evapotranspiration and Signals of Climate Change" Atmosphere 11, no. 10: 1081. https://doi.org/10.3390/atmos11101081
APA StyleValipour, M., Bateni, S. M., Gholami Sefidkouhi, M. A., Raeini-Sarjaz, M., & Singh, V. P. (2020). Complexity of Forces Driving Trend of Reference Evapotranspiration and Signals of Climate Change. Atmosphere, 11(10), 1081. https://doi.org/10.3390/atmos11101081

