The Role of Microbiome and Genotype in Daphnia magna upon Parasite Re-Exposure
Abstract
1. Introduction
2. Materials and Methods
2.1. Microbiome Adaptation Experiment
2.2. Microbiome Transplant Experiment
2.3. Statistical Analysis of Body Size and Survival
2.4. MiSeq Library Preparation
2.5. Analysis of Microbial Communities
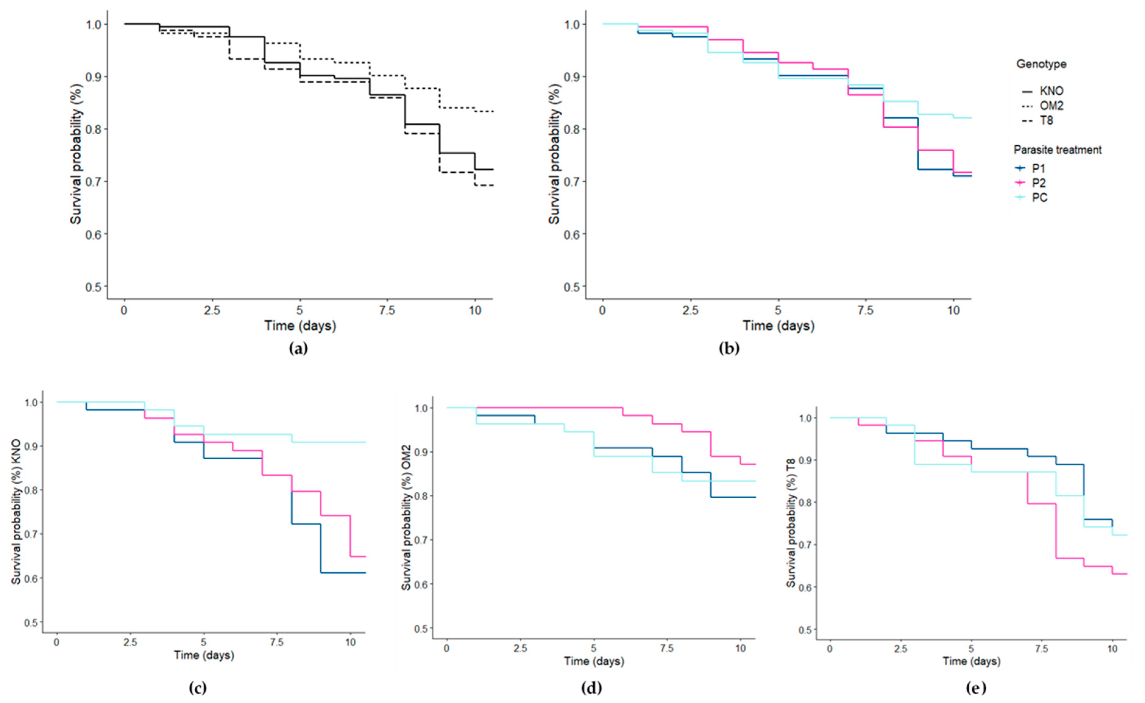
3. Results
3.1. Effect on Recipient Daphnia Tolerance and Performance in Terms of Body Size and Survival
3.2. Characterisation and Experimental Treatment Effects on Recipient Daphnia Gut Microbial Communities
3.2.1. Alpha Diversity of Recipient Daphnia Gut Microbiomes
3.2.2. Treatment Effects on Gut Microbial Community Composition
4. Discussion
5. Conclusions
Supplementary Materials
Author Contributions
Funding
Institutional Review Board Statement
Informed Consent Statement
Data Availability Statement
Acknowledgments
Conflicts of Interest
Appendix A
Appendix A.1. Daphnia Magna Genotypes
Appendix A.2. Preparation Maternal Lines
Appendix A.3. Preparation Axenic Daphnia
References
- Tremaroli, V.; Bäckhed, F. Functional interactions between the gut microbiota and host metabolism. Nature 2012, 489, 242–249. [Google Scholar] [CrossRef] [PubMed]
- Macke, E.; Tasiemski, A.; Massol, F.; Callens, M.; Decaestecker, E. Life history and eco-evolutionary dynamics in light of the gut microbiota. Oikos 2017, 88, 508–531. [Google Scholar] [CrossRef]
- Monnin, D.; Jackson, R.; Kiers, E.T.; Bunker, M.; Ellers, J.; Henry, L.M. Parallel evolution in the integration of a co-obligate aphid symbiosis. Curr. Biol. 2020, 30, 1949–1957. [Google Scholar] [CrossRef] [PubMed]
- Bäckhed, F.; Ley, R.E.; Sonnenburg, J.L.; Peterson, D.A.; Gordon, J.I. Host-bacterial mutualism in the human intestine. Science 2005, 307, 1915–1920. [Google Scholar] [CrossRef] [PubMed]
- Amato, K.R. Incorporating the gut microbiota into models of human and non-human primate ecology and evolution. Am. J. Phys. Anthr. 2016, 159, 196–215. [Google Scholar] [CrossRef]
- Belkaid, Y.; Hand, T.W. Role of the microbiota in immunity and inflammation. Cell 2014, 157, 121–141. [Google Scholar] [CrossRef] [PubMed]
- Sison-Mangus, M.P.; Mushegian, A.A.; Ebert, D. Water fleas require microbiota for survival, growth and reproduction. ISME J. 2014, 9, 59–67. [Google Scholar] [CrossRef]
- Callens, M.; Macke, E.; Muylaert, K.; Bossier, P.; Lievens, B.; Waud, M.; Decaestecker, E. Food availability affects the strength of mutualistic host-microbiota interactions in Daphnia magna. ISME J. 2016, 10, 911–920. [Google Scholar] [CrossRef]
- Koch, H.; Schmid-Hempel, P. Socially transmitted gut microbiota protects bumble bees against an intestinal parasite. Proc. Natl. Acad. Sci. USA 2011, 108, 19288–19292. [Google Scholar] [CrossRef]
- Ford, S.A.; King, K.C. Harnessing the power of defensive microbes: Evolutionary implications in nature and disease control. PLoS Pathog. 2016, 12, e1005465. [Google Scholar] [CrossRef]
- Mockler, B.K.; Kwong, W.K.; Moran, N.A.; Koch, H. Microbiome structure influences infection by the parasite Crithidia bombi in bumble bees. Appl. Environ. Microbiol. 2018, 84, e02335-17. [Google Scholar] [CrossRef] [PubMed]
- Hayes, K.S.; Bancroft, A.J.; Goldrick, M.; Portsmouth, C.; Roberts, I.S.; Grencis, R.K. Exploitation of the intestinal microflora by the parasitic nematode Trichuris muris. Science 2010, 328, 1391–1394. [Google Scholar] [CrossRef] [PubMed]
- Zaiss, M.M.; Harris, N.L. Interactions between the intestinal microbiome and helminth parasites. Parasite Immunol. 2015, 38, 5–11. [Google Scholar] [CrossRef] [PubMed]
- Fredensborg, B.L.; Fossdal, I.; Kálvalíð, I.; Johannesen, T.B.; Stensvold, C.R.; Nielsen, H.V.; Kapel, C.M.O. Parasites modulate the gut-microbiome in insects: A proof-of-concept study. PLoS ONE 2020, 15, e0227561. [Google Scholar] [CrossRef] [PubMed]
- Gaulke, C.A.; Martins, M.L.; Watral, V.G.; Humphreys, I.R.; Spagnoli, S.T.; Kent, M.L.; Sharpton, T.J. A longitudinal assessment of host-microbe-parasite interactions resolves the zebrafish gut microbiome’s link to Pseudocapillaria tomentosa infection and pathology. Microbiome 2019, 7, 1–16. [Google Scholar] [CrossRef] [PubMed]
- Charania, R.; Wade, B.E.; McNair, N.N.; Mead, J.R. Changes in the microbiome of Cryptosporidium-infected mice correlate to differences in susceptibility and infection levels. Microorganisms 2020, 8, 879. [Google Scholar] [CrossRef]
- McDermott, A.J.; Huffnagle, G.B. The microbiome and regulation of mucosal immunity. Immunology 2014, 142, 24–31. [Google Scholar] [CrossRef]
- Bruno, R.; Maresca, M.; Canaan, S.; Cavalier, J.; Mabrouk, K.; Boidin-Wichlacz, C.; Olleik, H.; Zeppilli, D.; Brodin, P.; Massol, F.; et al. Worms’ Antimicrobial Peptides. Mar. Drugs 2019, 17, 512. [Google Scholar] [CrossRef]
- Paller, A.S.; Kong, H.H.; Seed, P.; Naik, S.; Scharschmidt, T.C.; Gallo, R.L.; Luger, T.; Irvine, A.D. The microbiome in patients with atopic dermatitis. J. Allergy Clin. Immunol. 2019, 143, 26–35. [Google Scholar] [CrossRef]
- Rolhion, N.; Chassaing, B. When pathogenic bacteria meet the intestinal microbiota. Philos. Trans. R. Soc. B Biol. Sci. 2016, 371, 20150504. [Google Scholar] [CrossRef]
- Ignacio, A.; Terra, F.F.; Watanabe, I.K.M.; Basso, P.J.; Câmara, N.O.S. Chapter 13—Role of the Microbiome in Intestinal Barrier Function and Immune Defense. In Microbiome and Metabolome in Diagnosis, Therapy, and Other Strategic Applications; Academic Press: Cambridge, MA, USA, 2019; pp. 127–138. [Google Scholar] [CrossRef]
- Bass, D.; Stentiford, G.D.; Wang, H.; Koskella, B.; Tyler, C.R. The Pathobiome in Animal and Plant Diseases. Trends Ecol. Evol. 2020, 34, 996–1008. [Google Scholar] [CrossRef]
- Contijoch, E.J.; Britton, G.J.; Yang, C.; Mogno, I.; Li, Z.; Ng, R.; Llewellyn, S.R.; Hira, S.; Johnson, C.; Rabinowitz, K.M.; et al. Gut microbiota density influences host physiology and is shaped by host and microbial factors. eLife 2019, 8, e40553. [Google Scholar] [CrossRef] [PubMed]
- Leung, J.M.; Graham, A.L.; Knowles, S.C.L. Parasite-microbiota interactions within the vertebrate gut: Synthesis through an ecological lens. Front. Microbiol. 2018, 9, 843. [Google Scholar] [CrossRef] [PubMed]
- Stecher, B.; Maier, L.; Hardt, W.D. ‘Blooming’ in the gut: How dysbiosis might contribute to pathogen evolution. Nat. Rev. Microbiol. 2013, 11, 277–284. [Google Scholar] [CrossRef] [PubMed]
- Guinane, C.M.; Cotter, P.D. Role of the gut microbiota in health and chronic gastrointestinal disease: Understanding a hidden metabolic organ. Ther. Adv. Gastroenterol. 2013, 6, 295–308. [Google Scholar] [CrossRef]
- Stothart, M.R.; Bobbie, C.B.; Schulte-Hostedde, A.I.; Boonstra, R.; Palme, R.; Mykytczuk, N.C.S.; Newman, A.E.M. Stress and the microbiome: Linking glucocorticoids to bacterial community dynamics in wild red squirrels. Biol. Lett. 2016, 12. [Google Scholar] [CrossRef]
- Flandroy, L.; Poutahidis, T.; Berg, G.; Clarke, G.; Dao, M.-C.; Decaestecker, E.; Furman, E.; Haahtela, T.; Massart, S.; Plovier, H.; et al. The impact of human activities and lifestyles on the interlinked microbiota and health of humans and of ecosystems. Sci. Total Environ. 2018, 627, 1018–1038. [Google Scholar] [CrossRef]
- Ijay-Kumar, M.; Aitken, J.D.; Carvalho, F.A.; Cullender, T.C.; Mwangi, S.; Srinivasan, S.; Sitaraman, S.V.; Knight, R.; Ley, R.E.; Gewirtz, A.T. Metabolic syndrome and altered gut Microbiota in mice Lacking Toll-like receptor 5. Science 2010, 328, 228–231. [Google Scholar] [CrossRef]
- Chow, J.; Tang, H.; Mazmanian, S.K. Pathobionts of the gastrointestinal microbiota and inflammatory disease. Curr. Opin. Immunol. 2011, 23, 473–480. [Google Scholar] [CrossRef]
- Koch, H.; Schmid-Hempel, P. Gut microbiota instead of host genotype drive the specificity in the interaction of a natural host-parasite system. Ecol. Lett. 2012, 15, 1095–1103. [Google Scholar] [CrossRef]
- Schulenburg, H.; Félix, M. The natural biotic environment of Caenorhabditis elegans. Genetics 2017, 206, 55–86. [Google Scholar] [CrossRef] [PubMed]
- Jaenike, J.; Unckless, R.; Cockburn, S.N.; Boelio, L.M.; Perlman, S.J. Adaptation via symbiosis: Recent spread of a Drosophila defensive symbiont. Science 2010, 329, 212–215. [Google Scholar] [CrossRef] [PubMed]
- King, W.L.; Jenkins, C.; Seymour, J.R.; Labbate, M. Oyster disease in a changing environment: Decrypting the link between pathogen, microbiome and environment. Mar. Environ. Res. 2019, 143, 124–140. [Google Scholar] [CrossRef]
- Kwong, W.K.; Moran, N.A. Gut microbial communities of social bees. Nat. Rev. Microbiol. 2016, 14, 374–384. [Google Scholar] [CrossRef] [PubMed]
- Raymann, K.; Moran, N.A. The role of the gut microbiome in health and disease of adult honey bee workers. Curr. Opin. Insect Sci. 2018, 26, 97–104. [Google Scholar] [CrossRef] [PubMed]
- Ebert, D. Ecology, Epidemiology, and Evolution of Parasitism in Daphnia [Internet]; National Library of Medicine (US), National Center for Biotechnology Information: Bethesda, MD, USA, 2005. Available online: http://www.ncbi.nlm.nih.gov/entrez/query.fcgi?db=Books (accessed on 30 December 2020).
- Sison-Mangus, M.; César, M.J.A.M.; Ebert, D. Host genotype-specific microbiota do not influence the susceptibility of D. magna to a bacterial pathogen. Sci. Rep. 2018, 8, 9407–9410. [Google Scholar] [CrossRef] [PubMed]
- Macke, E.; Callens, M.; De Meester, L.; Decaestecker, E. Host-genotype dependent gut microbiota drives zooplankton tolerance to toxic cyanobacteria. Nat. Commun. 2017, 8, 1–13. [Google Scholar] [CrossRef]
- Macke, E.; Callens, M.; Massol, F.; Vanoverberghe, I.; De Meester, L.; Decaestecker, E. Diet and genotype of an aquatic invertebrate affect the composition of free-living microbial communities. Front. Microbiol. 2020, 11. [Google Scholar] [CrossRef]
- Massol, F.; Macke, E.; Callens, M.; Decaestecker, E. A methodological framework to analyze determinants of host-microbiota networks, with an application to the relationships between Daphnia magna ’s gut microbiota and bacterioplankton. J. Anim. Ecol. 2020, 1–18. [Google Scholar] [CrossRef]
- Mushegian, A.A.; Arbore, R.; Walser, J.C.; Ebert, D. Environmental Sources of Bacteria and Genetic Variation in Behavior Influence Host-Associated Microbiota. Appl. Environ. Microbiol. 2019, 85, e01547-18. [Google Scholar] [CrossRef]
- Callens, M.; De Meester, L.; Muylaert, K.; Mukherjee, S.; Decaestecker, E. The bacterioplankton community composition and a host genotype dependent occurrence of taxa shape the Daphnia magna gut bacterial community. FEMS Microbiol. Ecol. 2020, 96. [Google Scholar] [CrossRef]
- Toenshoff, E.R.; Fields, P.D.; Bourgeouis, Y.X.; Ebert, D. The End of a 60-year Riddle: Identification and Genomic Characterization of an Iridovirus, the Causative Agent of White Fat Cell Disease in Zooplankton. G3 Genes Genomes Genet. 2018, 8, 1259–1272. [Google Scholar] [CrossRef] [PubMed]
- Refardt, D.; Decaestecker, E.; Johnson, P.T.J.; Vávra, J. Morphology, Molecular Phylogeny, and Ecology of Binucleata daphniae n. g.; n. sp. (Fungi: Microsporidia), a Parasite of Daphnia magna Straus, 1820 (Crustacea: Branchiopoda). J. Eukaryot. Biol. 2008, 55, 393–408. [Google Scholar] [CrossRef] [PubMed]
- Ebert, D.; Rainey, P.; Embley, M.T.; Scholz, D. Development, life cycle, ultrastructure and phylogenetic position of Pasteuria ramosa Metchnikoff 1888: Rediscovery of an obligate endoparasite of Daphnia magna Straus. Philos. Trans. R. Soc. B Biol. Sci. 1996, 351, 1689–1701. [Google Scholar] [CrossRef]
- Decaestecker, E.; Gaba, S.; Raeymaekers, J.A.M.; Stoks, R.; Van Kerckhoven, L.; Ebert, D.; De Meester, L. Host–parasite ‘Red Queen’ dynamics archived in pond sediment. Nature 2007, 450, 870–873. [Google Scholar] [CrossRef] [PubMed]
- Larsson, R.J.I.; Ebert, D.; Vávra, J. Ultrastructural Study and Description of Ordopsora colligata gen. et sp. nov. (Microspora, Ordosporidae fam. Nov.), a new microsporidian parasite of Daphnia magna (Crustacea, Cladocera). Eur. J. Protistol. 1997, 33, 432–443. [Google Scholar] [CrossRef]
- Haag, K.L.; James, T.Y.; Pombert, J.-F.; Larsson, R.; Schaer, T.M.M.; Refardt, D.; Ebert, D. Evolution of a morphological novelty occurred before genome compaction in a lineage of extreme parasites. Proc. Natl. Acad. Sci. USA 2014, 111, 15480–15485. [Google Scholar] [CrossRef]
- Houwenhuyse, S.; Stoks, R.; Mukherjee, S.; Decaestecker, E. Locally adapted gut microbiomes mediate host stress tolerance. ISME J. 2021. under minor revision. [Google Scholar]
- Harold, S.; Henderson, C.; Baguette, M.; Bonsall, M.B.; Hughes, D.P.; Settele, J. Ecologyimage competition 2014: The winning images. BMC Ecol. 2014, 14, 24. [Google Scholar] [CrossRef]
- Decaestecker, E.; Declerck, S.; De Meester, L.; Ebert, D. Ecological Implications of Parasites in Natural Daphnia Populations. Oecologia 2005, 144, 382–390. [Google Scholar] [CrossRef] [PubMed]
- Guillard, R.R.L.; Lorenzen, C.J. Yellow-Green Algae with Chlorophyllidec. J. Phycol. 1972, 8, 10–14. [Google Scholar]
- R Core Team. R: A Language and Environment for Statistical Computing; R Foundation for Statistical Computing: Vienna, Austria, 2020; Available online: https://www.R-project.org/ (accessed on 30 December 2020).
- Callahan, B.J.; Sankaran, K.; Fukuyama, J.A.; McMurdie, P.J.; Holmes, S.P. Bioconductor Workflow for Microbiome Data Analysis: From raw reads to community analyses [version 2; peer review: 3 approved]. F1000Research 2016, 5. [Google Scholar] [CrossRef]
- McMurdie, P.J.; Holmes, S. Waste Not, Want Not: Why rarefying microbiome data is inadmissible. PLoS Comput. Biol. 2014, 10, e1003531. [Google Scholar] [CrossRef] [PubMed]
- Callahan, B.J.; McMurdie, P.J.; Rosen, M.J.; Han, A.W.; Johnson, A.J.A.; Holmes, S.P. DADA2: High-resolution sample inference from Illumina amplicon data. Nat. Methods 2016, 13, 581–583. [Google Scholar] [CrossRef] [PubMed]
- Jari Oksanen, F.; Blanchet, G.; Friendly, M.; Kindt, R.; Legendre, P.; McGlinn, D.; Minchin, P.R.; O’Hara, R.B.; Simpson, G.L.; Solymos, P.; et al. Vegan: Community Ecology Package. 2016. Available online: https://cran.r-project.org/package=vegan (accessed on 30 December 2020).
- Borcard, D.; Gillet, F.; Legendre, P. Numerical Ecology with R; Springer Science + Business Media: New York, NY, USA, 2011. [Google Scholar]
- Cressler, C.E.; Nelson, W.A.; Day, T.; McCauley, E. Starvation reveals the cause of infection-induced castration and gigantism. Proc. R. Soc. B Biol. Sci. 2014, 281. [Google Scholar] [CrossRef]
- Lange, B.; Reuter, M.; Ebert, D.; Muylaert, K.; Decaestecker, E. Diet quality determines interspecific parasite interactions in host populations. Ecol. Evol. 2014, 4, 3093–3102. [Google Scholar] [CrossRef]
- Callens, M.; Watanabe, H.; Kato, Y.; Miura, J.; Decaestecker, E. Microbiota inoculum composition affects holobiont assembly and host growth in Daphnia. Microbiome 2018, 6, 56. [Google Scholar] [CrossRef]
- Houlden, A.; Hayes, K.S.; Bancroft, A.J.; Worthington, J.J.; Wang, P.; Grencis, R.K.; Roberts, I.S. Chronic Trichuris muris Infection in C57BL/6 mice causes significant changes in host microbiota and metabolome: Effects reversed by pathogen clearance. PLoS ONE 2015, 10, e0125945. [Google Scholar] [CrossRef]
- Decaestecker, E.; Vergote, A.; Ebert, D.; De Meester, L. Evidence for strong host clone–parasite species interactions in the Daphnia microparasite system. Evolution 2003, 57, 784–792. [Google Scholar] [CrossRef]
- Carius, H.J.; Little, T.J.; Ebert, D. Genetic variation in a host-parasite association potential for coevolution and frequency-dependent selection. Evolution 2001, 55, 1136–1145. [Google Scholar] [CrossRef]
- Little, T.J.; Watt, K.; Ebert, D. Parasite-host specificity: Experimental studies on the basis of parasite adaptation. Evolution 2006, 60, 31–38. [Google Scholar] [CrossRef] [PubMed]
- Decaestecker, E.; Labbé, P.; Ellegaard, K.; Allen, J.E.; Little, T.J. Candidate innate immune system gene expression in the ecological model Daphnia. Dev. Comp. Immunol. 2011, 35, 1068–1077. [Google Scholar] [CrossRef] [PubMed]
- Duneau, D.; Luijckx, P.; Ben-Ami, F.; Laforsch, C.; Ebert, D. Resolving the infection process reveals striking differences in the contribution of environment, genetics and phylogeny to host-parasite interactions. BMC Biol. 2011, 9, 11. [Google Scholar] [CrossRef] [PubMed]
- Bonder, M.J.; Kurilshikov, A.; Tigchelaar-Feenstra, E.; Mujagic, Z.; Imhann, F.; Vila, A.V.; Deelen, P.; Vatanen, T.; Schirmer, M.; Smeekens, S.P.; et al. The effect of host genetics on the gut microbiome. Nat. Genet. 2016, 48, 1407–1412. [Google Scholar] [CrossRef] [PubMed]
- Kurilshikov, A.; Wijmenga, C.; Fu, J.; Zhernakova, A. Host Genetics and Gut Microbiome: Challenges and Perspectives. Trends Immunol. 2017, 38, 633–647. [Google Scholar] [CrossRef]
- Griffiths, S.M.; Antwis, R.E.; Lenzi, L.; Lucaci, A.; Behringer, D.C.; Butler, M.J.; Preziosi, R.F. Host genetics and geography influence microbiome composition in the sponge Ircinia campana. J. Anim. Ecol. 2019, 88, 1684–1695. [Google Scholar] [CrossRef]
- Glasl, B.; Smith, C.E.; Bourne, D.G.; Webster, N.S. Disentangling the effect of host-genotype and environment on the microbiome of the coral Acropora tenuis. PeerJ 2019, 7, e6377. [Google Scholar] [CrossRef] [PubMed]
- Kovacs, A.; Ben-Jacob, N.; Tayem, H.; Halperin, E.; Iraqi, F.A.; Gophna, U. Genotype is a stronger determinant than sex of the mouse gut microbiota. Microb. Ecol. 2011, 61, 423–428. [Google Scholar] [CrossRef]
- Decaestecker, E.; De Meester, L.; Ebert, D. In deep trouble: Habitat selection constrained by multiple enemies in zooplankton. Proc. Natl. Acad. Sci. USA 2002, 99, 5481–5485. [Google Scholar] [CrossRef] [PubMed]
- Arbore, R.; Andras, J.P.; Routtu, J.; Ebert, D. Ecological genetics of sediment browsing behaviour in a planktonic crustacean. J. Evol. Biol. 2016, 29, 1999–2009. [Google Scholar] [CrossRef]







| Adjusted p-Value | ||||||
|---|---|---|---|---|---|---|
| DF | Body Size | Survival | OTU Richness | Shannon Entropy’ | Microbial Community Composition | |
| Genotype | 2 | <0.001 | <0.001 | <0.001 | 0.014 | |
| Microbiome treatment | 2 | 0.034 | ||||
| Parasite treatment | 2 | 0.002 | ||||
| Genotype x Microbiome treatment | 4 | 0.015 | 0.004 | |||
| Genotype x Parasite treatment | 4 | 0.003 | ||||
| Microbiome treatment x Parasite treatment | 4 | 0.047 | ||||
| Genotype x Microbiome treatment x Parasite treatment | 8 | |||||
Publisher’s Note: MDPI stays neutral with regard to jurisdictional claims in published maps and institutional affiliations. |
© 2021 by the authors. Licensee MDPI, Basel, Switzerland. This article is an open access article distributed under the terms and conditions of the Creative Commons Attribution (CC BY) license (http://creativecommons.org/licenses/by/4.0/).
Share and Cite
Bulteel, L.; Houwenhuyse, S.; Declerck, S.A.J.; Decaestecker, E. The Role of Microbiome and Genotype in Daphnia magna upon Parasite Re-Exposure. Genes 2021, 12, 70. https://doi.org/10.3390/genes12010070
Bulteel L, Houwenhuyse S, Declerck SAJ, Decaestecker E. The Role of Microbiome and Genotype in Daphnia magna upon Parasite Re-Exposure. Genes. 2021; 12(1):70. https://doi.org/10.3390/genes12010070
Chicago/Turabian StyleBulteel, Lore, Shira Houwenhuyse, Steven A. J. Declerck, and Ellen Decaestecker. 2021. "The Role of Microbiome and Genotype in Daphnia magna upon Parasite Re-Exposure" Genes 12, no. 1: 70. https://doi.org/10.3390/genes12010070
APA StyleBulteel, L., Houwenhuyse, S., Declerck, S. A. J., & Decaestecker, E. (2021). The Role of Microbiome and Genotype in Daphnia magna upon Parasite Re-Exposure. Genes, 12(1), 70. https://doi.org/10.3390/genes12010070

