Genome-Wide Identification and Expression Analysis of the Metacaspase Gene Family in Gossypium Species
Abstract
1. Introduction
2. Methods
2.1. Identification of Cotton MC Family Members
2.2. Phylogenetic Tree Construction, Gene Structure Analysis, and Conserved Motif Prediction
2.3. Chromosomal Localization and Promoter Region Analysis
2.4. Analysis of Repetitive Elements in MC Genes
2.5. Plant Materials and Treatments
2.6. Transcriptome Analyses and Quantitative Real-Time PCR
3. Results
3.1. Identification of Cotton MC Genes
3.2. Classification and Phylogenetic Analysis of the Cotton MC Gene Family
3.3. Conserved Motifs and MC Gene Structures
3.4. Analysis of Collinearity and Repetitive Elements in MC Genes
3.5. Analysis of MC Expression Patterns
3.6. Cis-Element Analysis in the Promoter Regions of MC Genes
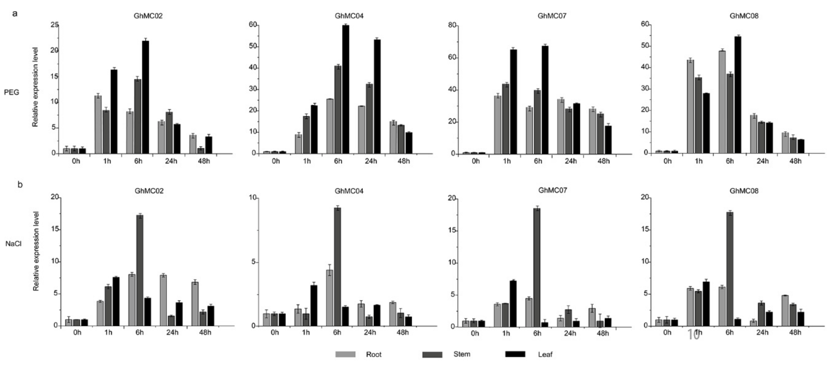
3.7. Expression Analysis of Prominent Fiber-Expressed Genes under Abiotic Stress Conditions
3.8. Expression Analysis of Prominent Fiber-Expressed Genes Following Phytohormone Treatments
4. Discussion
4.1. Number of Cotton MC Genes
4.2. Metacaspase Genes and Fiber Development in Gossypium hirsutum L.
4.3. Effects of Abiotic Stresses and Hormones on the Metacaspase Gene Family
5. Conclusions
Supplementary Materials
Author Contributions
Funding
Acknowledgments
Conflicts of Interest
References
- Gunawardena, A.H. Programmed Cell Death and Tissue Remodeling in Plants. J. Exp. Bot. 2007, 59, 445–451. [Google Scholar] [CrossRef] [PubMed]
- Lam, E. Programmed Cell Death in Plants: Orchestrating an Intrinsic Suicide Program within Walls. Crit. Rev. Plant Sci. 2008, 27, 413–423. [Google Scholar] [CrossRef]
- Olvera-Carrillo, Y.; Van Bel, M.; Van Hautegem, T.; Fendrych, M.; Huysmans, M.; Simaskova, M.; Van Durme, M.; Buscaill, P.; Rivas, S.; Coppens, F.; et al. A Conserved Core of PCD Indicator Genes Discriminates Developmentally and Environmentally Induced Programmed Cell Death in Plants. Plant Physiol. 2015, 169, 769. [Google Scholar] [CrossRef] [PubMed]
- Greenberg, J.T. Programmed Cell Death: A Way of Life for Plants. Proc. Natl. Acad. Sci. USA 1996, 93, 12094–12097. [Google Scholar] [CrossRef] [PubMed]
- Lord, C.E.N.; Gunawardena, A.H. Programmed Cell Death in C. Elegans, Mammals and Plants. Eur. J. Cell Biol. 2012, 91, 603–613. [Google Scholar] [CrossRef] [PubMed]
- Grütter, M.G. Caspases: Key Players in Programmed Cell Death. Curr. Opin. Struct. Biol. 2000, 10, 649–655. [Google Scholar] [CrossRef]
- Uren, A.G.; O Rourke, K.; Aravind, L.; Pisabarro, M.; Seshagiri, S.; Koonin, E.; Dixit, V. Identification of Paracaspases and Metacaspases: Two anCient Families of Caspase-Like Proteins, One of Which Plays a Key Role in MALT Lymphoma. Mol. Cell 2000, 6, 961–967. [Google Scholar] [CrossRef]
- Tsiatsiani, L.; Van Breusegem, F.; Gallois, P.; Gallois, P.; Zavialov, A.; Lam, E.; Bozhkov, P.V. Metacaspases. Cell Death Differ. 2011, 18, 1279–1288. [Google Scholar] [CrossRef]
- Fagundes, D.; Bohn, B.; Cabreira, C.; Leipelt, F.; Dias, N.; Bodanese-Zanettini, M.H.; Cagliari, A. Caspases in Plants: Metacaspase Gene Family in Plant Stress Responses. Funct. Integr. Genom. 2015, 15, 639–649. [Google Scholar] [CrossRef]
- Vercammen, D.; Declercq, W.; Vandenabeele, P.; Van Breusegem, F. Are Metacaspases Caspases? J. Cell Biol. 2007, 179, 375–380. [Google Scholar] [CrossRef]
- Wang, L.; Zhang, H. Genomewide Survey and Characterization of Metacaspase Gene Family in Rice (Oryza Sativa). J. Genet. 2014, 93, 93–102. [Google Scholar] [CrossRef] [PubMed]
- Huang, L.; Zhang, H.; Hong, Y.; Liu, S.; Li, D.; Song, F. Stress-Responsive Expression, Subcellular Localization and Protein–Protein Interactions of the Rice Metacaspase Family. Int. J. Mol. Sci. 2015, 16, 16216–16241. [Google Scholar]
- Zhou, Y.; Hu, L.; Jiang, L.; Liu, S. Genome-Wide Identification, Characterization, and Transcriptional analysis of the Metacaspase Gene Family in Cucumber (Cucumis Sativus). Genome 2018, 61, 187–194. [Google Scholar] [CrossRef] [PubMed]
- Kwon, S.I.; Hwang, D.J. Expression Analysis of the Metacaspase Gene Family in Arabidopsis. J. Plant Biol. 2013, 56, 391–398. [Google Scholar] [CrossRef]
- Zhang, C.; Gong, P.; Wei, R.; Li, S.; Zhang, X.; Yu, Y.; Wang, Y. The Metacaspase Gene Family of Vitis Vinifera L.: Characterization and Differential Expression During Ovule Abortion in Stenospermocarpic Seedless Grapes. Gene 2013, 528, 267–276. [Google Scholar] [CrossRef] [PubMed]
- Ahmad, R.; Zuily-Fodil, Y.; Passaquet, C.; Bethenod, O.; Roche, R.; Repellin, A. Ozone and Aging Up-Regulate Type II Metacaspase Gene Expression and Global Metacaspase Activity in the Leaves of Field-Grown Maize (Zea Mays L.) Plants. Chemosphere 2012, 87, 789–795. [Google Scholar] [CrossRef] [PubMed]
- Hoeberichts, F.A.; Ten Have, A.; Woltering, E.J. A Tomato Metacaspase Gene is Upregulated During Programmed Cell Death in Botrytis Cinerea-Infected Leaves. Planta 2003, 217, 517–522. [Google Scholar] [CrossRef] [PubMed]
- Kim, S.M.; Bae, C.; Oh, S.K.; Choi, D. A Pepper (Capsicum Annuum L.) Metacaspase 9 (Camc9) Plays a Role in Pathogen-Induced Cell Death in Plants. Mol. Plant Pathol. 2013, 14, 557–566. [Google Scholar] [CrossRef] [PubMed]
- Wang, X.; Wang, X.; Feng, H.; Tang, C.; Bai, P.; Wei, G.; Huang, L.; Kang, Z. TaMCA4, a Novel Wheat Metacaspase Gene Functions in Programmed Cell Death Induced by the Fungal Pathogen Puccinia Striiformis F. SP. Tritici. Mol. Plant-Microbe Interact. 2012, 25, 755–764. [Google Scholar] [CrossRef]
- Zhang, Z.; Ge, Q.; Liu, A.; Li, J.; Gong, J.; Shang, H.; Shi, Y.; Chen, T.; Wang, Y.; Palanga, K.K.; et al. Construction of a High-Density Genetic Map and its Application to QTL Identification for Fiber Strength in Upland Cotton. Crop Sci. 2017, 57, 774. [Google Scholar] [CrossRef]
- Finn, R.D.; Clements, J.; Eddy, S.R. HMMER Web Server: Interactive Sequence Similarity Searching. Nucleic Acids Res. 2011, 39 (Suppl. 2), 29–37. [Google Scholar] [CrossRef]
- Ming, R.; Hou, S.; Feng, Y.; Yu, Q.; Dionne-Laporte, A.; Saw, J.H.; Senin, P.; Wang, W.; Ly, B.V.; Lewis, K.L.; et al. The draft genome of the transgenic tropical fruit tree papaya (Carica papaya Linnaeus). Nature 2008, 452, 991–996. [Google Scholar] [CrossRef] [PubMed]
- Argout, X.; Salse, J.; Aury, J.M.; Guiltinan, M.J.; Droc, G.; Gouzy, J.; Allegre, M.; Chaparro, C.; Legavre, T.; Maximova, S.N.; et al. The Genome of Theobroma Cacao. Nat. Genet. 2011, 43, 101. [Google Scholar] [CrossRef] [PubMed]
- Wang, K.; Wang, Z.; Li, F.; Ye, W.; Wang, J.; Song, G.; Yue, Z.; Cong, L.; Shang, H.; Zhu, S.; et al. The Draft Genome of a Diploid Cotton Gossypium Raimondii. Nat. Genet. 2012, 44, 1098. [Google Scholar] [CrossRef] [PubMed]
- Du, H.; Yu, Y.; Ma, Y.; Gao, Q.; Cao, Y.; Chen, Z.; Ma, B.; Qi, M.; Li, Y.; Zhao, X.; et al. Sequencing and De novo Assembly of a Near Complete Indica Rice Genome. Nat. Commun. 2017, 8, 15324. [Google Scholar] [CrossRef] [PubMed]
- Cao, J.; Schneeberger, K.; Ossowski, S.; Günther, T.; Bender, S.; Fitz, J.; Koenig, D.; Lanz, C.; Stegle, O.; Lippert, C.; et al. Whole-Genome Sequencing of Multiple Arabidopsis Thaliana Populations. Nat. Genet. 2011, 43, 956. [Google Scholar] [CrossRef] [PubMed]
- Liu, X.; Zhao, B.; Zheng, H.J.; Hu, Y.; Lu, G.; Yang, C.Q.; Chen, J.D.; Chen, J.J.; Chen, D.Y.; Zhang, L.; et al. Gossypium Barbadense Genome Sequence Provides Insight into the Evolution of Extra-Long Staple Fiber and Specialized Metabolites. Sci Rep. 2015, 5, 14139. [Google Scholar] [CrossRef]
- Li, F.; Fan, G.; Lu, C.; Xiao, G.; Zou, C.; Kohel, R.J.; Ma, Z.; Shang, H.; Ma, X.; Wu, J.; et al. Genome Sequence of Cultivated Upland Cotton (Gossypium Hirsutum TM-1) Provides Insights into Genome Evolution. Nat. Biotechnol. 2015, 33, 524. [Google Scholar] [CrossRef]
- Zhang, T.; Hu, Y.; Jiang, W.; Fang, L.; Guan, X.; Chen, J.; Zhang, J.; Saski, C.A.; Scheffler, B.E.; Stelly, D.M.; et al. Sequencing of Allotetraploid Cotton (Gossypium Hirsutum L. Acc. TM-1) Provides a Resource for Fiber Improvement. Nat. Biotechnol. 2015, 33, 531. [Google Scholar] [CrossRef]
- Du, X.; Huang, G.; He, S.; Yang, Z.; Sun, G.; Ma, X.; Li, N.; Zhang, X.; Sun, J.; Liu, M.; et al. Resequencing of 243 Diploid Cotton Accessions Based on an Updated a Genome Identifies the Genetic Basis of Key Agronomic Traits. Nat. Genet. 2018, 50, 796. [Google Scholar] [CrossRef]
- Thompson, J.D.; Gibson, T.J.; Higgins, D.G. Multiple Sequence Alignment Using ClustalW and ClustalX. Curr. Protoc. Bioinform. 2002, 2, 2–3. [Google Scholar] [CrossRef]
- Tamura, K.; Stecher, G.; Peterson, D.; Filipski, A.; Kumar, S. MEGA6: Molecular Evolutionary Genetics Analysis version 6.0. Mol. Biol. Evol. 2013, 30, 2725–2729. [Google Scholar] [CrossRef] [PubMed]
- Hu, B.; Jin, J.; Guo, A.Y.; Zhang, H.; Luo, J.; Gao, G. GSDS 2.0: An Upgraded Gene Feature Visualization Server. Bioinformatics 2015, 31, 1296–1297. [Google Scholar] [CrossRef] [PubMed]
- Marchler-Bauer, A.; Lu, S.; Anderson, J.B.; Chitsaz, F.; Derbyshire, M.K.; DeWeese-Scott, C.; Fong, J.H.; Geer, L.Y.; Geer, R.C.; Gonzales, N.R.; et al. CDD: A Conserved Domain Database for the Functional Annotation of Proteins. Nucleic Acids Res. 2011, 39 (Suppl. 1), 225–229. [Google Scholar] [CrossRef] [PubMed]
- Bailey, T.L.; Williams, N.; Misleh, C.; Li, W.W. MEME: Discovering and Analyzing DNA and Protein Sequence Motifs. Nucleic Acids Res. 2006, 34 (Suppl. 2), 369–373. [Google Scholar] [CrossRef] [PubMed]
- Voorrips, R.E. MapChart: Software for the Graphical Presentation of Linkage Maps and QTLs. J. Hered. 2002, 93, 77–78. [Google Scholar] [CrossRef] [PubMed]
- Lescot, M.; Dehais, P.; Thijs, G.; Marchal, K.; Moreau, Y.; Van de Peer, Y.; Rouze, P.; Rombauts, S. PlantCARE, a Database of Plant Cis-Acting reguLatory Elements and a Portal to Tools for in Silico Analysis of Promoter Sequences. Nucleic Acids Res. 2002, 30, 325–327. [Google Scholar] [CrossRef] [PubMed]
- Wang, Y.; Tang, H.; DeBarry, J.D.; Tan, X.; Li, J.; Wang, X.; Lee, T.H.; Jin, H.; Marler, B.; Guo, H.; et al. MCScanX: A toolkit for detection and evolutionary analysis of gene synteny and collinearity. Nucleic Acids Res. 2012, 40, e49. [Google Scholar] [CrossRef] [PubMed]
- Sun, F.D.; Zhang, J.H.; Wang, S.F.; Gong, W.K.; Shi, Y.Z.; Liu, A.Y.; Li, J.W.; Gong, J.W.; Shang, H.H.; Yuan, Y.L. QTL Mapping for Fiber Quality Traits Across Multiple Generations and Environments in Upland Cotton. Mol. Breed. 2012, 30, 569–582. [Google Scholar] [CrossRef]
- Tuttle, J.R.; Nah, G.; Duke, M.V.; Alexander, D.C.; Guan, X.; Song, Q.; Chen, Z.J.; Scheffler, B.E.; Haigler, C.H. Metabolomic and Transcriptomic Insights into How Cotton Fiber Transitions to Secondary Wall Synthesis, Represses Lignification, and Prolongs Elongation. BMC Genom. 2015, 16, 477. [Google Scholar] [CrossRef]
- Hoagland, D.R.; Arnon, D.I. The Water-Culture Method for Growing Plants without Soil. Calif. Agr. Expt. Sta. Circ. 1950, 347, 32. [Google Scholar]
- Huang, J. Cloning and Functional Analysis of Abiotic Stree-Related Zinc Finger Protein Genes from Rice (Oryza sativa, L.). Ph.D. Thesis, Nanjing Agricultural University, Nanjing, China, 2005. [Google Scholar]
- Fu, Z.Y.; Zhang, Z.B.; Hu, X.J.; Shao, H.B.; Ping, X. Cloning, Identification, Expression Analysis and Phylogenetic Relevance of Two NADP-Dependent Malic Enzyme Genes from Hexaploid Wheat. Comptes Rendus Biol. 2009, 332, 591–602. [Google Scholar] [CrossRef] [PubMed]
- Song, Y.; Wang, L.; Xiong, L. Comprehensive Expression Profiling Analysis of OsIAA Gene Family in Developmental Processes and in Response to Phytohormone and Stress Treatments. Planta 2009, 229, 577–591. [Google Scholar] [CrossRef]
- Agrawal, G.K.; Jwa, N.S.; Rakwal, R. A Novel Rice (Oryza Sativa L.) Acidic PR1 Gene Highly Responsive to Cut, Phytohormones, and Protein Phosphatase Inhibitors. Biochem. Biophys. Res. Commun. 2000, 274, 157–165. [Google Scholar] [CrossRef] [PubMed]
- Huguet-Robert, V.; Sulpice, R.; Lefort, C.; Maerskalck, V.; Emery, N.; Larher, F.R. The suppreSsion of Osmoinduced Proline Response of Brassica Napus L. Var Oleifera Leaf Discs by Polyunsaturated Fatty Acids and Methyl-Jasmonate. Plant Sci. 2003, 164, 119–127. [Google Scholar] [CrossRef]
- Paterson, A.H.; Wendel, J.F.; Gundlach, H.; Guo, H.; Jenkins, J.; Jin, D.; Llewellyn, D.; Showmaker, K.C.; Shu, S.; Udall, J.; et al. Repeated Polyploidization of Gossypium Genomes and the Evolution of Spinnable Cotton Fibres. Nature 2012, 492, 423. [Google Scholar] [CrossRef] [PubMed]
- Kim, D.; Pertea, G.; Trapnell, C.; Pimentel, H.; Kelley, R.; Salzberg, S.L. TopHat2: Accurate Alignment of Transcriptomes in the Presence of Insertions, Deletions and Gene Fusions. Genome Biol. 2013, 14, 36. [Google Scholar] [CrossRef] [PubMed]
- Langmead, B.; Salzberg, S.L. Fast Gapped-Read Alignment with Bowtie 2. Nat. Methods 2012, 9, 357. [Google Scholar] [CrossRef] [PubMed]
- Trapnell, C.; Williams, B.A.; Pertea, G.; Mortazavi, A.; Kwan, G.; Van Baren, M.J.; Salzberg, S.L.; Wold, B.J.; Pachter, L. Transcript Assembly and Quantification by RNA-Seq Reveals Unannotated Transcripts and Isoform Switching During Cell Differentiation. Nat. Biotechnol. 2010, 28, 511–515. [Google Scholar] [CrossRef]
- Livak, K.J.; Schmittgen, T.D. Analysis of Relative Gene Expression Data Using Real-Time Quantitative PCR and the 2(-Delta Delta C(T)) Method. Methods 2001, 25, 402–408. [Google Scholar] [CrossRef]
- Pei, J.; Grishin, N.V. Prediction of a Caspase-Like Fold in Tannerella Forsythia Virulence Factor PrtH. Cell Cycle 2009, 8, 1453–1455. [Google Scholar] [CrossRef]
- Fan, S. The Relationship Between the Cellulose Synthesis and Cotton Fiber Quality. M.D. Thesis, Henan University, Kaifeng, China, 2013. [Google Scholar]
- Xu, Y.; Wang, Y.; Mattson, N.; Yang, L.; Jin, Q. Genome-Wide Analysis of the Solanum Tuberosum (Potato) Trehalose-6-Phosphate Synthase (TPS) Gene Family: Evolution and Differential Expression During Development and Stress. BMC Genom. 2017, 18, 926. [Google Scholar] [CrossRef] [PubMed]
- Mishra, S.; Shukla, A.; Upadhyay, S.; Sharma, P.; Singh, S.; Phukan, U.J.; Meena, A.; Khan, F.; Tripathi, V.; Shukla, R.K.; et al. Identification, Occurrence, and Validation of DRE and ABRE Cis-Regulatory Motifs in the Promoter Regions of Genes of Arabidopsis Thaliana. J. Integr. Plant Biol. 2014, 56, 388–399. [Google Scholar] [CrossRef] [PubMed]
- Chen, J.; Piao, Y.; Liu, Y.; Li, X.; Piao, Z. Genome-Wide Identification and Expression Analysis of Chitinase Gene Family in Brassica Rapa Reveals its Role in Clubroot Resistance. Plant Sci. 2018, 270, 257–267. [Google Scholar] [CrossRef] [PubMed]
- Herrera-Vásquez, A.; Salinas, P.; Holuigue, L. Salicylic Acid and Reactive Oxygen Species Interplay in the Transcriptional Control of Defense Genes Expression. Front. Plant Sci. 2015, 6, 171. [Google Scholar] [CrossRef] [PubMed]
- Basyuni, M.; Wati, R.; Sulistiyono, N.; Oku, H.; Baba, S.; Sagami, H. Isolation and Analysis of a Multifunctional Triterpene Synthase KcMS Promoter Region from Mangrove Plant Kandelia Candel. IOP Conf. Ser. Earth Environ. Sci. 2018, 130, 12013. [Google Scholar] [CrossRef]
- Xu, X.; Liu, M.; Lu, L.; He, M.; Qu, W.; Xu, Q.; Qi, X.; Chen, X. Genome-Wide Analysis and Expression of the Calcium-Dependent Protein Kinase Gene faMily in Cucumber. Mol. Genet. Genom. 2015, 290, 1403–1414. [Google Scholar] [CrossRef] [PubMed]
- Kuromori, T.; Seo, M.; Shinozaki, K. ABA Transport and Plant Water Stress Responses. Trends Plant Sci. 2018, 23, 513–522. [Google Scholar] [CrossRef] [PubMed]
- Vercammen, D.; Van De Cotte, B.; De Jaeger, G.; Eeckhout, D.; Casteels, P.; Vandepoele, K.; Vandenberghe, I.; Van Beeumen, J.; Inzé, D.; Van Breusegem, F. Type II Metacaspases Atmc4 and Atmc9 of Arabidopsis Thaliana Cleave Substrates after Arginine and Lysine. J. Biol. Chem. 2004, 279, 45329–45336. [Google Scholar] [CrossRef]
- Liu, H.; Deng, Z.; Chen, J.; Wang, S.; Hao, L.; Li, D. Genome-Wide Identification and Expression Analysis of the Metacaspase Gene Family in Hevea Brasiliensis. Plant Physiol. Biochem. 2016, 105, 90–101. [Google Scholar] [CrossRef]
- Liu, H.; Liu, J.; Wei, Y. Identification and Analysis of the Metacaspase Gene Family in Tomato. Biochem. Biophys. Res. Commun. 2016, 479, 523–529. [Google Scholar] [CrossRef]
- Qi, H.; Wang, N.; Qiao, W.; Xu, Q.; Zhou, H.; Shi, J.; Yan, G.; Huang, Q. Construction of a High-Density Genetic Map Using Genotyping by Sequencing (GBS) for Quantitative Trait Loci (QTL) Analysis of Three Plant Morphological Traits in Upland Cotton (Gossypium Hirsutum L.). Euphytica 2017, 213, 83. [Google Scholar] [CrossRef]
- Wang, H.; Jin, X.; Zhang, B.; Shen, C.; Lin, Z. Enrichment of an Intraspecific Genetic Map of Upland Cotton by Developing Markers Using Parental RAD Sequencing. DNA Res. Int. J. Rapid Publ. Rep. Genes Genomes 2015, 22, 147–160. [Google Scholar] [CrossRef] [PubMed]
- King, S.D.; Gray, C.F.; Song, L.; Nechushtai, R.; Gumienny, T.L.; Mittler, R.; Padilla, P.A. The cisd gene family regulates physiological germline apoptosis through ced-13 and the canonical cell death pathway in Caenorhabditis elegans. Cell Death Differ. 2018, 26, 162–178. [Google Scholar] [CrossRef] [PubMed]
- Coll, N.S.; Smidler, A.; Puigvert, M.; Popa, C.; Valls, M.; Dangl, J.L. The plant metacaspase AtMC1 in pathogen-triggered programmed cell death and aging: Functional linkage with autophagy. Cell Death Differ. 2014, 21, 1399. [Google Scholar] [CrossRef] [PubMed]
- Watanabe, N.; Lam, E. Arabidopsis metacaspase 2d is a positive mediator of cell death induced during biotic and abiotic stresses. Plant J. 2011, 66, 969–982. [Google Scholar] [CrossRef]
- Huang, Y.; Cui, Y.; Hou, X.; Huang, T. The AtMC4 regulates the stem cell homeostasis in Arabidopsis by catalyzing the cleavage of AtLa1 protein in response to environmental hazards. Plant Sci. 2018, 266, 64–75. [Google Scholar] [CrossRef] [PubMed]
- Coll, N.S.; Vercammen, D.; Smidler, A.; Clover, C.; Van Breusegem, F.; Dangl, J.L.; Epple, P. Arabidopsis type I metacaspases control cell death. Science 2010, 330, 1393–1397. [Google Scholar] [CrossRef]
- Watanabe, N.; Lam, E. Two Arabidopsis metacaspases AtMCP1b and AtMCP2b are arginine/lysine-specific cysteine proteases and activate apoptosislike cell death in yeast. J. Biol. Chem. 2005, 208, 14691–14699. [Google Scholar] [CrossRef]
- Bright, J.; Desikan, R.; Hancock, J.T.; Weir, I.S.; Neill, S.J. ABA-induced NO generation and stomatal closure in Arabidopsis are dependent on H2O2 synthesis. Plant J. 2006, 45, 113–122. [Google Scholar] [CrossRef]
- Vander Graaff, E.; Schwacke, R.; Schneider, A.; Desimone, M.; Flügge, U.I.; Kunze, R. Transcription analysis of Arabidopsis membrane transporters and hormone pathway sduring development-taland induced leaf senescence. Plant Physiol. 2006, 141, 776–792. [Google Scholar] [CrossRef]
- Heath, M.C. Hypersensitive response-related death. In Programmed Cell Death in Higher Plants; Springer: Dordrecht, The Netherlands, 2000; pp. 77–90. [Google Scholar]
- Jiang, Y.; Liang, G.; Yang, S.; Yu, D. Arabidopsis WRKY57 functions as a node of convergence for jasmonic acid–and auxin-mediated signaling in jasmonic acid–induced leaf senescence. Plant Cell 2014, 26, 230–245. [Google Scholar] [CrossRef] [PubMed]
- Vogelmann, K.; Drechsel, G.; Bergler, J.; Subert, C.; Philippar, K.; Soll, J.; Engelmann, J.C.; Engelsdorf, T.; Voll, L.M.; Hoth, S. Early senescence and cell death in Arabidopsis saul1 mutants involves the PAD4-dependent salicylic acid pathway. Plant Physiol. 2012, 159, 1477–1487. [Google Scholar] [CrossRef] [PubMed]
- Morris, K.; Mackerness, S.A.H.; Page, T.; John, C.F.; Murphy, A.M.; Carr, J.P.; Buchanan-Wollaston, V. Salicylic acid has a role in regulating gene expression during leaf senescence. Plant J. 2000, 23, 677–685. [Google Scholar] [CrossRef] [PubMed]







© 2019 by the authors. Licensee MDPI, Basel, Switzerland. This article is an open access article distributed under the terms and conditions of the Creative Commons Attribution (CC BY) license (http://creativecommons.org/licenses/by/4.0/).
Share and Cite
Fan, S.; Liu, A.; Zhang, Z.; Zou, X.; Jiang, X.; Huang, J.; Fan, L.; Zhang, Z.; Deng, X.; Ge, Q.; et al. Genome-Wide Identification and Expression Analysis of the Metacaspase Gene Family in Gossypium Species. Genes 2019, 10, 527. https://doi.org/10.3390/genes10070527
Fan S, Liu A, Zhang Z, Zou X, Jiang X, Huang J, Fan L, Zhang Z, Deng X, Ge Q, et al. Genome-Wide Identification and Expression Analysis of the Metacaspase Gene Family in Gossypium Species. Genes. 2019; 10(7):527. https://doi.org/10.3390/genes10070527
Chicago/Turabian StyleFan, Senmiao, Aiying Liu, Zhen Zhang, Xianyan Zou, Xiao Jiang, Jinyong Huang, Liqiang Fan, Zhibin Zhang, Xiaoying Deng, Qun Ge, and et al. 2019. "Genome-Wide Identification and Expression Analysis of the Metacaspase Gene Family in Gossypium Species" Genes 10, no. 7: 527. https://doi.org/10.3390/genes10070527
APA StyleFan, S., Liu, A., Zhang, Z., Zou, X., Jiang, X., Huang, J., Fan, L., Zhang, Z., Deng, X., Ge, Q., Gong, W., Li, J., Gong, J., Shi, Y., Lei, K., Zhang, S., Jia, T., Zhang, L., Yuan, Y., & Shang, H. (2019). Genome-Wide Identification and Expression Analysis of the Metacaspase Gene Family in Gossypium Species. Genes, 10(7), 527. https://doi.org/10.3390/genes10070527

