The Potential of Bioactive Plant Phytochemicals, Pro-Resolving Anti-Inflammatory Lipids, and Statins in the Inhibition of Intervertebral Disc Degeneration, Low Back Pain Resolution, Disc Functional Repair, and Promotion of Intervertebral Disc Regeneration
Highlights
- Flavonoids, terpenoids, glycosides, alkaloids, and polyphenolics show promise in the treatment of intervertebral disc degeneration and low back pain.
- Pro-resolving anti-inflammatory lipids (lipoxin A4, resolvin D1, protectins, and maresins) and statins show promise in the inhibition of intervertebral disc degeneration and promote repair processes.
- Many plant compounds show potential in the repair of the intervertebral disc.
- Biological therapies for the treatment of disc disease warrant further investigation.
Abstract
1. Introduction
1.1. The Complexity of IVDD and Natural Plant-Based Therapeutic Interventions
1.2. General Comments on Plant Therapeutic Healthcare Products
1.2.1. Flavonoids
1.2.2. Terpenoids
1.2.3. Glycosides
1.2.4. Alkaloids
2. Plant Compounds as Therapeutic Agents for the Treatment of IVDD
2.1. Flavonoids That Inhibit IVDD and Promote Tissue Repair and Regeneration

| Compound | Mode of Action |
|---|---|
| Hyperoside | Hyperoside significantly mitigates TNF-α-induced apoptosis in human NP cells by upregulating SIRT1 and Nrf2, and reduces ECM degradation and apoptosis mediated by ER stress [81]. Cell culture data. |
| Quercetin | Protects NP cells from apoptosis by inhibiting p38 MAPK-mediated autophagy, prevents ECM degeneration and IVDD in a rat tail puncture model [60]. Suppresses apoptosis and ECM degradation through activation of the SIRT1-autophagy signaling pathway [135]. Quercetin is a senolytic agent that binds Keap1-Nrf2 complex and inhibits the NF-κB pathway, reducing the expression of senescence-associated secretory phenotypic factors in IL-1β-stimulated NP cells [136]. Inhibits oxidative stress-induced senescence through the regulation of the miR-34a/SIRT1 axis [137]. Cell culture and animal model data. |
| Apigenin | Enhances autophagy through the AMP-activated protein kinase (AMPK)/mTOR/transcription factor signaling cascade, alleviates oxidative stress-induced senescence in NP cells, suppresses the expression of TNF-α-mediated pro-inflammatory cytokines, mitigating disc degeneration in rat IVDD models [138]. Animal model data. |
| Butein | Butein is a chalcone-type flavonoid [139], with antioxidant, anti-inflammatory, antiangiogenic, anticancer, and antidiabetic activities [140]. In vitro and in vivo studies show butein activates SIRT1 and suppresses p53 acetylation, protecting NP cells from apoptosis and senescence triggered by hyperglycemia. Significantly alleviates degenerative effects in diabetic IVDD rat models, where increased NP expression of SIRT1 and decreased p53 acetylation is evident [86]. Cell culture and animal model data. |
| Baicalein | Baicalein inhibits activation of NF-κB and MAPK signaling, reducing inflammatory cytokine expression, prostaglandin E2 (PGE2), TNF-α, and IL-6 in IL-1β-stimulated NP cells [141]. Prevents ECM degradation and loss of aggrecan and type II collagen [75]. Baicalin alleviates IVDD by inhibiting the p38 MAPK signaling pathway [62]. Cell culture data. |
| Kaempferol | Network pharmacology data suggest kaempferol may be a key component of traditional Chinese medicines used to treat IVDD [142]. An injectable kaempferol-loaded fibrin gel used in a rat IVDD model reduced inflammation, promoted aggrecan and type II collagen synthesis, and reduced IVDD [143]. Kaempferol inhibits phosphorylation of ERK1/2, downregulates MMP3 and ADAMTS4 expression, significantly restores cell viability, and reduces ROS accumulation and apoptosis in NP cells [142]. Slows IVDD by modifying LPS-induced osteogenesis/adipogenesis imbalance and inflammatory [62] response [144], induces chondrogenesis in ATDC5 cells through activation of ERK/BMP-2 signaling [145]. Injectable kaempferol-loaded fibrin glue inhibits inflammation in IVDD [143]. Cell culture and animal model data. |
| Luteolin | Luteolin suppresses MMP13, p53, and p21 expression but promotes CDK2, CDK4, and Col2α1 expression in endplate chondrocytes and alleviates cellular senescence [146]. Luteolin also reduces apoptosis of NP cells and reverses TNF-α-induced senescence and inflammation through activation of SIRT6 and inhibition of NF-κB cell signaling [147]. This prevents progressive degenerative changes in IVD tissues. Cell culture data. |
| Luteoloside | Luteoloside is the 7 O-glycoside of luteolin. Luteoloside inhibits IL-1β-induced apoptosis and catabolism in NP cells and ameliorates IVDD [148]. Cell culture data. |
| Naringin and Naringenin | Naringin and its aglycone naringenin are effective anti-inflammatory agents in the treatment of low back pain arising from IVDD [149]. Naringin upregulates expressions of Sox-6, BMP2, and aggrecan in IVD cells isolated from degenerated IVDs but downregulates TNF-α and MMP3 expression and promotes NP cell proliferation recovery from IVDD [150]. Naringin suppresses the NF-κB pathway and p53 expression [151], protects endplate chondrocytes from apoptosis by promoting SIRT3-mediated mitophagy, and suppresses NLRP3 inflammasome activation [87] and its contributions to IVDD [152]. Naringin protects human NP cells against TNF-α-induced inflammation, oxidative stress by enhancing autophagic flux via AMPK/SIRT1 activation [70]. Naringin inhibits apoptosis induced by cyclic stretch in AF cells diminishing IVDD by inhibition of ROS/NF-κB signaling [153]. Age-related degeneration of NP cells is lowered by inhibition of IGFBP3 activity [154]. Naringin diminishes autophagy-driven oxidative stress-induced apoptosis in NP cells [155]. Cell culture data. |
| Icariin | Icariin is a traditional Chinese medicine flavonoid glycoside with diverse pharmacological properties [156] affecting bone, inflammation, cancer, immunity, the cardiovascular system, and CNS [157,158,159,160]. Icariin has NP and CEP cell-protective effects in IVDD through its anti-inflammatory and antioxidant properties and promotes ECM synthesis. Icariin prevents IL-1β-induced apoptosis of NP cells via the PI3K/AKT pathway [55] and H2O2-induced apoptosis of NP cells via PI3K/Akt signaling [56]. It inhibits IL-1β-induced MAPK and NF-κB cell signaling pathways, reduces secretion of proinflammatory factors and degradative enzymes, and alleviates oxidative stress [161]. Icariin activates the Nrf2/HO-1 pathway to promote mitophagy, inhibit ferroptosis, maintain mitochondrial function, and enhance cell survival [162,163]. Chemokines, such as IGF-1, TGF-β, and SDF-1 are upregulated by icariin-promoting tissue repair [163]. Cell culture data. |
| Fisetin | Fisetin has antioxidant, anti-inflammatory, anticancer, anti-aging, and nephroprotective properties [65,89,164,165,166]. Fisetin protects NP cells by inhibiting oxidative stress and apoptosis, and maintains ECM structural organization [167] acting through the Nrf2/HO-1 pathway to inhibit oxidative stress-induced ferroptosis, reducing disc cell death [39]. Cell culture data. |
| Acetacetin | Acacetin is a monomethoxy flavonoid with broad therapeutic potential stemming from its anti-inflammatory, antimicrobial, antioxidant, anticancer, anti-obesity, and cardiovascular protective properties [168,169,170,171,172,173]. Acacetin also mitigates the degeneration of NP cells in vitro and IVD tissues in rat IVDD models. In vitro, acacetin activates the Nrf2 pathway and upregulates antioxidant proteins such as HO-1, NADQO-1, and SOD, inhibiting ROS production, reducing COX-2 and iNOS-mediated inflammation. Acetacetin also inhibits the degradation of aggrecan and type II collagen in IVDD models [174,175]. Inhibition of the phosphorylation of p38, JNK, and ERK1/2 by acacetin moderates degenerative effects on NP cells and significantly ameliorates IVDD in rat puncture IVD models [174]. Animal model and cell culture data. |
| Orientin | Orientin is an 8-C flavone glucoside of luteolin with antioxidant and anti-inflammatory properties. Orientin downregulates the NF-κB pathway, prevents NF-κB translocation to the nucleus, limiting synthesis of TNF-α, IL-6, and IL-1β by inhibiting IκB kinase [176]. Orientin reduces the expression of iNOS and COX-2, reducing the production of pro-inflammatory mediators, such as NO and prostaglandins. MAPK is targeted by orientin, attenuating the activation of p38 MAPK and JNK, which are crucial for inflammation. Orientin downregulates oxidative ER stress and mitochondrial dysfunction through the AMPK/SIRT1 pathway in rat NP cells in vitro and attenuates IVDD in vivo [69]. Animal model and cell culture data. |
| Cardamonin | Cardamonin protects NP cells from IL-1β-induced inflammation and catabolism via the Nrf2/NF-κB axis [82]. Cell culture data. |
| Morin | Morin attenuates pyroptosis of NP cells and ameliorates IVDD via inhibition of the TXNIP/NLRP3/caspase-1/IL-1β signaling pathway [177]. Cell culture data. |
| Glycitin | Protects against IVDD through antagonizing inflammation and oxidative stress in NP cells [178]. Cell culture data. |
| Genkwanin | Genkwanin is an O-methylated flavone that regulates IVDD through the ITGA2/PI3K/AKT pathway and by inhibiting apoptosis and senescence [76]. Animal model and cell culture data. |
| Wogonin | Mitigates IVDD through the Nrf2/ARE and MAPK cell signaling pathways [43]. Animal model and cell culture data. |
| Isoliquiritigenin | Inhibits IVDD induced by oxidative stress and mitochondrial dysfunction through a PPARγ-dependent pathway [179]. Animal model and cell culture data. |
| Myrcetin | Myrcetin protects against IVDD through regulation of Nrf2/HO-1/NF-κB signaling. Dihydromyricetin inhibits IVDD through inhibition of NLRP3 inflammasome activation via the Keap1/Nrf2/HO-1 pathway [42] and restores autophagy attenuating IVDD by negative regulation of the JAK2/STAT3 pathway [180]. Animal model and cell culture data. |
| Hesperidin | Mitigation of oxidative stress-induced ferroptosis in NP cells via the Nrf2/NF-κB axis reduces IVDD [80]. Animal model and cell culture data. |
| Cyanidin | Procyanidin B3 alleviates IVDD via interaction with the TLR4/MD-2 complex [90]. Proanthocyanidins inhibit the apoptosis and aging of NP cells via the PI3K/Akt pathway, delaying IVDD [52]. Procyanidin C1 ameliorates acidic stress-induced NP degeneration through SIRT3/FOXO3-mediated mitochondrial dynamics [181], attenuates apoptosis of NP cells and IVDD via the JAK2/STAT3 signal pathway [67], and attenuates the high hydrostatic pressure-induced degradation of NP ECM by blocking the Wnt/β-catenin signaling [84]. Cell culture data. |
| Epigallocatechin 3-gallate and Urolithin A | Suppresses IL-1-induced inflammatory responses in IVD and reduces radiculopathic pain [182], protects H2O2-induced NP cell apoptosis and inflammation by inhibiting cGAS/Sting/NLRP3 activation [183] and oxidative stress [184]. Urolithin A is a flavonoid metabolite generated from dietary epigallocatechin 3-gallate by gut bacteria. Urolithin A has potent anti-inflammatory and antioxidant properties [185], inhibits TNF alpha induced inflammation [186] and TNF alpha catabolic effects on NP cells and IVDD [187]. Animal model and cell culture data. |
| Sesamin | Sesamin inhibits LPS-induced inflammation and ECM catabolism in the rat IVD [188]. Intradiscal injection of sesamin protects IVDs from lesion-induced IVDD [189]. Animal model and cell culture data. |
| Casticin | Casticin is a methoxylated flavonol with some hydroxyl groups in the flavonoid structure replaced by methyl groups. Castacin inhibits LPS-stimulated oxidative stress, inflammation, and ECM degradation by activating the Nrf2/HO-1 signaling axis and indirectly blocks the NF-κB pathway, preventing the progression of IVDD rat models. Casticin promotes the nuclear translocation of Nrf2 and blocks the NF-κB pathway, resulting in decreased levels of iNOS, TNF-α, IL-1β, PGE2, MMP-13, ADAMTS-5, and ROS [190]. Animal model and cell culture data. |
2.1.1. Quercetin as an IVD Therapeutic Agent
2.1.2. Protective Roles for Baicalein in IVD Tissues
2.1.3. Naringin and Naringenin Therapeutic Properties in the Treatment of IVDD
2.1.4. Icariin and Its Potential Roles in the Treatment of IVDD
3. Terpenoids Displaying Potential in Tissue Protection and Treatment of IVDD
| Compound | Therapeutic Properties in IVDD |
|---|---|
| Aucubin | Represses NF-κB-NLRP3 inflammasome activation in CEP chondrocytes [199]. Cell culture data. |
| Morroniside | Attenuates NP cell senescence to alleviate IVDD via inhibition of the ROS-Hippo-p53 pathway [202]. Cell culture data. |
| Celastrol | Reduces IL-1β-induced ECM catabolism, oxidative stress, and inflammation in NP cells attenuating rat IVDD in vivo [206]. Animal model and cell culture data. |
| Kongensin | Kongensin upregulates TAK1 expression in NP cells during IVDD and inhibits PANoptosis, suppressing oxidative stress delaying IVDD progression [91]. Animal model and cell culture data. |
4. Phenolic Compounds Displaying Potential as IVD Protective Agents
| Compound | Therapeutic Properties in IVDD |
|---|---|
| Curcumin | Attenuates NF-κB expression in rat lumbar IVDD [208], regulates the expression of iNOS, COX-2, TGF-β1/2, MMP-9, and BDNF in a rat model of IVDD [41], exhibits anti-inflammatory and anti-catabolic effects on human IVD cells by reducing TLR2 expression and JNK activity [209], and protects rat CEP chondrocytes from IL-1β-induced apoptosis via Bcl-2/Bax regulation [210]. Animal model and cell culture data. |
| Myrcetin | Myricetin is structurally similar to fisetin, luteolin, and quercetin and is reported to have many of the same functions as these other members of the flavonol class of flavonoids but is also a polyphenolic compound. Myrcetin attenuates IVDD through regulation of the Nrf2/HO-1/NF-κB signaling pathway [211]. Animal model and cell culture data. |
| Sesamin | Inhibits LPS-induced inflammation and ECM catabolism in rat IVD [192]. Animal model and cell culture data. |
| Epigallocatechin Gallate | Epigallocatechin gallate protects IVD cells from oxidative stress [184]. Epigallocatechin 3-gallate suppresses interleukin-1β-induced inflammatory responses in IVD cells, reduces radiculopathic pain [182], and protects the IVD from H2O2-induced NP cell apoptosis and inflammation by inhibiting cGAS/Sting/NLRP3 activation [183]. Animal model and cell culture data. |
| Resveratrol | Has antioxidant and anti-inflammatory properties inhibiting IVDD and stimulates anabolic properties in IVD repair [225,226,227,228]. Animal model and cell culture data. |
| Anthocyanidins | Cyanidin attenuates the apoptosis of rat NP cells and IVDD via the JAK2/STAT3 signal pathway [67]. Cyanidin-3-glucoside protects against high glucose-induced injury in human NP cells by regulating Nrf2/HO-1 signaling [96]. Cyanidin attenuates high hydrostatic pressure-induced ECM degradation by blocking Wnt/β-catenin signaling [84]. Animal model and cell culture data. |
| Tyrosol | Upregulates Sirt1 expression, suppresses apoptosis and inflammation, and modulates ECM remodeling in IL-1β-stimulated human NP cells through activation of the PI3K/Akt pathway [74]. Cell culture data. |
| Gingerol | Ameliorates IVDD by inhibiting IL-1β-mediated NLRP3 cell signaling [236]. Cell culture data. |
5. Alkaloids Displaying Therapeutic Potential in the Treatment of IVDD
| Compound | Therapeutic Properties in IVDD |
|---|---|
| Ligustrazine | Suppresses aberrant TGFβ activation of NP cells to prevent IVDD [239]. It has IVD protective properties [127] and inhibits CEP hypertrophy via suppression of TGF-β1 activity [240]. Cell culture data. |
| Berberine | Ameliorates oxidative stress-induced apoptosis by modulating ER stress and autophagy in human NP cells [246], suppresses apoptosis and ECM degradation in NP cells, ameliorates IVDD [92], and prevents human NP cells from IL-1β-induced ECM degradation and apoptosis by inhibiting the NFκB pathway [247]. Cell culture data. |
| Sinomenine | Ameliorates IL-1β-induced IVDD in rats through suppression of inflammation and oxidative stress via Keap1/Nrf2/NF-κB cell signaling [83] and ameliorates IVDD via inhibition of apoptosis and autophagy in vitro and in vivo [250]. Animal model and cell culture data. |
| Higenamine | Mitigates IL-1β-induced human NP cell apoptosis by ROS-mediated PI3K/Akt signaling [71], inhibits IL-1β-induced inflammation in human NP cells [252]. Cell culture data. |
| Evodiamine | Ameliorates IVDD through the Nrf2 and MAPK cell signaling pathways [61], activates PI3K/AKT cell signaling pathway to block IVDD [40]. Animal model and cell culture data. |
| Palmatine | Activates TFEB, enhances autophagy, and alleviates ER stress in IVDD [257]. Cell culture data. |
6. Glycoside IVDD Treatment Compounds
6.1. Ginsenosides
6.2. Notoginsenosides
6.3. Astragaloside IV
6.4. Dioscin
6.5. Kinsenoside
6.6. Crocin
| Compound | Therapeutic Properties in IVDD |
|---|---|
| Ginsenosides | Ginsenoside Rg1 inhibits NP cell apoptosis, inflammation, and ECM degradation via YAP1/TAZ/Hippo cell signaling [262]. Rg1 relieves rat IVDD and inhibits IL-1β-induced NP cell apoptosis and inflammation via NF-κB signaling [261,263]. Ginsenoside Rg3 exhibited anti-catabolic and anti-apoptotic effects in IL-1β-treated human disc NP cells and in a rat model of IVDD by inactivating the MAPK cell signaling pathway [264], ginsenoside Rg3 inhibited NF-κB signaling in TNF-α-stimulated human NP cells inhibiting IVDD [272]. Animal model and cell culture data. |
| Notoginsenoside | Notoginsenoside R1 suppresses the inflammatory response/pyrop tosis in NP cells via inactivation of NF-κB/NLRP3 cell signaling [265]. Animal model and cell culture data. |
| Astragaloside IV | Attenuates IL-1β-induced IVDD through inhibition of the NF-κB pathway [273], relieves IL-1β-induced human NP cell degeneration through modulating PI3K/Akt signaling pathway [72], inhibits miR-223/JAK2/STAT1 signaling to alleviate LPS-induced damage in NP [66], activates telomerase activity protecting NP cells from high glucose-induced senescence and apoptosis [274]. Animal model and cell culture data. |
| Dioscin | Attenuates IL-1β-induced catabolism and apoptosis through modulation of TLR4-NF-κB signaling in human NP cells [94]. Cell culture data. |
| Kinsenoside | Ameliorates IVDD through the activation of AKT-ERK1/2-Nrf2 signaling pathway [58]. Animal model and Cell culture data. |
| Crocin | Has anti-inflammatory and anti-catabolic effects on rat IVDs through suppression of JNK signaling activation [118]. Animal model and cell culture data. |
7. The Role of Pigmented Compounds and Lipids in IVD Bioregulation
7.1. Emodin
7.2. Rhein
7.3. Physcion (Parietin)
8. Statins, Cholesterol, and Animal Models for Experimental IVDD
9. Miscellaneous Plant Compounds as Prospective IVDD Treatment Agents
9.1. Aloin
9.2. Maslinic Acid
9.3. Cannabidiol
9.4. Sulforaphane
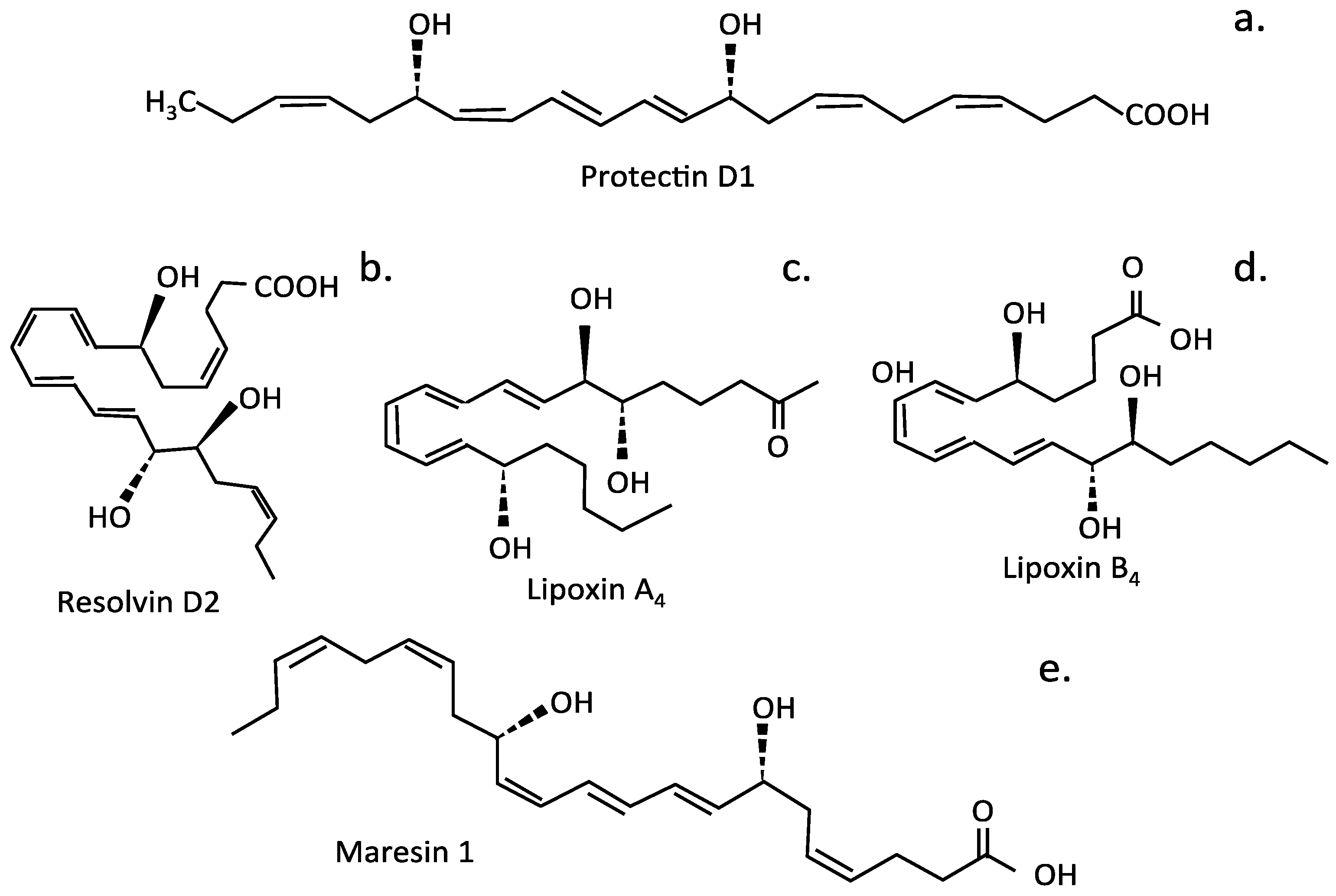
10. The Role of Lipids in the Metabolism of Resident Disc Cell Populations
11. Pro-Resolving Anti-Inflammatory Lipids Rescue Degenerated IVDs
12. The Most Effective Plant Phytochemicals for Therapeutic Medical Applications
13. Key Cell Signaling Pathways Operative in IVDD
13.1. Nrf2 Cell Signaling and IVDD
13.2. PI3/AKt/mTOR Cell Signaling in IVDD
13.3. NFkB Cell Signaling Plays a Central Role in Inflammatory Processes in IVDD
13.4. MAPK (p38, ERK, JNK) Cell Signaling in IVDD
13.5. PKC Signaling Inhibits Wnt-Mediated Processes in IVDD
14. Limitations on the Therapeutic Application of Plant Phytochemicals
Bioavailability of Plant Compounds
15. Effective Delivery of Phytochemicals into the IVD
16. Future Research on Plant Phytochemicals
Funding
Data Availability Statement
Acknowledgments
Conflicts of Interest
Abbreviations
| IVDD | Intervertebral disc degeneration |
| ADAMTS4 | A disintegrin and metalloproteinase with thrombospondin motifs 4 |
| Akt | Protein kinase B |
| AMPK | 5′ AMP-activated protein kinase; iNOS, inducible nitric oxide synthase. |
| AMP | Adenosine monophosphate |
| ARE | Antioxidant response elements |
| BDNF | Brain-derived neurotrophic factor (abrineurin) |
| BECN2 | Macroautophagy and autophagy family member beclin 2 (Bcl2/Bax) |
| BMP-2 | Bone morphogenetic protein-2 |
| CDK | Cyclin-dependent kinase |
| cGAS/Sting | Cyclic GMP-AMP synthase–stimulator of interferon genes |
| COX-2 | Cyclooxygenase-2, prostaglandin–endoperoxide synthase 2 |
| E2 | Prostaglandin E2 |
| EGCG | Epigallocatechin gallate |
| ER | Endoplasmic reticulum |
| ERK | Extracellular signal-regulated kinase |
| FOXO3 | Forkhead box O3 protein |
| GPRASP1 | G protein-coupled receptor associated sorting protein 1 |
| PI3K | Phosphatidylinositol 3-kinase |
| HDL | High-density lipoprotein |
| HO-1 | Heme oxygenase-1 |
| IL-6 | Interleukin 6 |
| IL-1β | Interleukin-1 beta |
| iNOS | Inducible nitric oxide synthase |
| ITGA2 | Integrin alpha 2 |
| JAK | Janus kinase |
| JNK | c-Jun N-terminal kinase |
| Keap-1 | Kelch-like ECH-associated protein 1 |
| LDL | Low-density lipoprotein |
| LPS | Lipopolysaccharide |
| MAPK | Mitogen-activated protein kinase |
| MMP3 | Matrix metalloprotease 3 |
| mTOR | Mammalian target of rapamycin. |
| MS | Muscular sclerosis |
| NADQO | NAD(P)H:quinone oxidoreductase 1 |
| NF-kB | Nuclear factor kappa-light-chain-enhancer of activated B cells |
| P38 | Mitogen-activated protein kinase |
| P53 | Tumor protein p53, a regulatory transcription factor protein |
| Nrf2 | Nuclear factor erythroid 2-related factor 2 |
| PPAR | Protease activated receptor |
| PANoptosis | A prominent innate immune, inflammatory, and lytic cell death pathway initiated by innate immune sensors driven by caspases and receptor-interactive protein kinases |
| RA | Rheumatoid arthritis |
| RIP3 | Receptor-interacting serine/threonine-protein kinase 3 |
| ROS | Reactive oxygen species |
| SIRT-1 | Sirtuin 1, NAD-dependent deacetylase |
| SLE | Systemic lupus erthythematosus |
| SOX6 | SRY box 6 transcription factor |
| SDF-1 | Stromal-derived factor |
| STAT | Signal transducer and activator of transcription |
| TAK1 | Mitogen-activated protein kinase kinase kinase 7(Map3k7) |
| TLR | Toll-like receptor |
| TLR4 | Toll-like receptor 4 |
| TLR4/MD-2 | Toll like receptor-4/Muscarinic acetylcholine receptor-2 complex |
| TNF-α | Tumor necrosis factor alpha |
| VLDL | Very-low-density lipoprotein |
| Wnt | Wingless-type MMTV integration site family |
References
- Schäfer, R.; Trompeter, K.; Fett, D.; Heinrich, K.; Funken, J.; Willwacher, S.; Brüggemann, G.-P.; Platen, P. The mechanical loading of the spine in physical activities. Eur. Spine J. 2023, 32, 2991–3001. [Google Scholar] [CrossRef]
- Melrose, J.; Roberts, S.; Smith, S.; Menage, J.; Ghosh, P. Increased nerve and blood vessel ingrowth associated with proteoglycan depletion in an ovine anular lesion model of experimental disc degeneration. Spine 2002, 27, 1278–1285. [Google Scholar] [CrossRef] [PubMed]
- Briggs, A.; Buchbinder, R. Back pain: A National Health Priority Area in Australia? Med. J. Aust. 2009, 190, 499–502. [Google Scholar] [CrossRef] [PubMed]
- Vos, T.; Flaxman, A.D.; Naghavi, M.; Lozano, R.; Michaud, C.; Ezzati, M.; Shibuya, K.; Salomon, J.A.; Abdalla, S.; Aboyans, V.; et al. Years lived with disability (YLDs) for 1160 sequelae of 289 diseases and injuries 1990–2010: A systematic analysis for the Global Burden of Disease Study 2010. Lancet 2010, 380, 2163–2196. [Google Scholar] [CrossRef] [PubMed]
- Ehrlich, G. Low back pain. Bull. World Health Organ. 2003, 81, 671–676. [Google Scholar]
- Wu, A.; March, L.; Zheng, X.; Huang, J.; Wang, X.; Zhao, J.; Blyth, F.M.; Smith, E.; Buchbinder, R.; Hoy, D. Global low back pain prevalence and years lived with disability from 1990 to 2017: Estimates from the Global Burden of Disease Study 2017. Ann. Transl. Med. 2020, 8, 299–313. [Google Scholar] [CrossRef]
- Ravindra, V.M.; Senglaub, S.S.; Rattani, A.; Dewan, M.C.; Härtl, R.; Bisson, E.; Park, K.B.; Shrime, M.G. Degenerative Lumbar Spine Disease: Estimating Global Incidence and Worldwide Volume. Glob. Spine J. 2018, 8, 784–794. [Google Scholar] [CrossRef]
- Pinzi, L.; Rastelli, G. Molecular Docking: Shifting Paradigms in Drug Discovery. Int. J. Mol. Sci. 2019, 20, 4331. [Google Scholar] [CrossRef]
- Ferreira, L.G.; Dos Santos, R.N.; Oliva, G.; Andricopulo, A.D. Molecular docking and structure-based drug design strategies. Molecules 2015, 20, 13384–13421. [Google Scholar] [CrossRef]
- Crampon, K.; Giorkallos, A.; Deldossi, M.; Baud, S.; Steffenel, L.A. Machine-learning methods for ligand-protein molecular docking. Drug Discov. Today 2022, 27, 151–164. [Google Scholar] [CrossRef]
- Stanzione, F.; Giangreco, I.; Cole, J.C. Use of molecular docking computational tools in drug discovery. Prog. Med. Chem. 2021, 60, 273–343. [Google Scholar] [CrossRef] [PubMed]
- Reinhardt, J.K.; Craft, D.; Weng, J.-K. Toward an integrated omics approach for plant biosynthetic pathway discovery in the age of AI. Trends Biochem. Sci. 2025, 50, 311–321. [Google Scholar] [CrossRef] [PubMed]
- Pereira, G. Application of Biotechnology in Producing Plant Bio-active Compounds. In Natural Bio-Active Compounds; Akhtar, M., Swamy, M., Eds.; Springer: Singapore, 2019. [Google Scholar] [CrossRef]
- Doherty, A.; Wall, A.; Khaldi, N.; Kussmann, M. Artificial Intelligence in Functional Food Ingredient Discovery and Characterisation: A Focus on Bioactive Plant and Food Peptides. Front. Genet. 2021, 12, 768979. [Google Scholar] [CrossRef] [PubMed]
- Bisht, A.; Tewari, D.; Kumar, S.; Chandra, S. Network pharmacology, molecular docking, and molecular dynamics simulation to elucidate the mechanism of anti-aging action of Tinospora cordifolia. Mol. Divers. 2024, 28, 1743–1763. [Google Scholar] [CrossRef]
- Zhao, X.; Xiu, J.; Yang, H.; Han, W.; Jin, Y. Network Pharmacology and Bioinformatics Study of Six Medicinal Food Homologous Plants Against Colorectal Cancer. Int. J. Mol. Sci. 2025, 26, 930. [Google Scholar] [CrossRef]
- Hu, X.; Qi, C.; Feng, F.; Wang, Y.; Di, T.; Meng, Y.; Wang, Y.; Zhao, N.; Zhang, X.; Li, P.; et al. Combining network pharmacology, RNA-seq, and metabolomics strategies to reveal the mechanism of Cimicifugae Rhizoma—Smilax glabra Roxb herb pair for the treatment of psoriasis. Phytomedicine 2022, 105, 154384. [Google Scholar] [CrossRef]
- Dong, Y.; Zhao, Q.; Wang, Y. Network pharmacology-based investigation of potential targets of astragalus membranaceous-angelica sinensis compound acting on diabetic nephropathy. Sci. Rep. 2021, 11, 19496. [Google Scholar] [CrossRef]
- Zhai, Y.; Liu, L.; Zhang, F.; Chen, X.; Wang, H.; Zhou, J.; Chai, K.; Liu, J.; Lei, H.; Lu, P.; et al. Network pharmacology: A crucial approach in traditional Chinese medicine research. Chin. Med. 2025, 20, 8. [Google Scholar] [CrossRef]
- Orlov, Y.L.; Ivanisenko, V.A.; Dobrovolskaya, O.B.; Chen, M. Plant Biology and Biotechnology: Focus on Genomics and Bioinformatics. Int. J. Mol. Sci. 2022, 23, 6759. [Google Scholar] [CrossRef]
- Kwuegbuenyi, C.A.; Fidai, A.B.; Cardenas, A.; Willett, N.; Robayo, A.; Hamad, M.; Hussain, I.; Bonassar, L.J.; Härtl, R. Bioactive Therapies for Degenerative Disc Disease: Current State of the Art and Clinical Applications. World Neurosurg. 2025, 200, 124107. [Google Scholar] [CrossRef]
- Zhu, L.; Yu, C.; Zhang, X.; Yu, Z.; Zhan, F.; Yu, X.; Wang, S.; He, F.; Han, Y.; Zhao, H. The treatment of intervertebral disc degeneration using traditional Chinese Medicine. J. Ethnopharmacol. 2020, 263, 113117. [Google Scholar] [CrossRef]
- Melrose, J. The Glucosinolates: A Sulphur Glucoside Family of Mustard Anti-Tumour and Antimicrobial Phytochemicals of Potential Therapeutic Application. Biomedicines 2019, 7, 62. [Google Scholar] [CrossRef] [PubMed]
- Wu, Z.; Chen, J.; Luo, W.; Kuang, T. Natural products for intervertebral disc degeneration: Mechanistic insights and therapeutic potentials. Front. Pharmacol. 2025, 16, 1605764. [Google Scholar] [CrossRef] [PubMed]
- Wachtel-Galor, S.; Benzie, I.F.F. Herbal Medicine: Biomolecular and Clinical Aspects, 2nd ed.; Benzie, I.F.F., Wachtel-Galor, S., Eds.; CRC Press/Taylor & Francis: Boca Raton, FL, USA, 2011. [Google Scholar]
- Xutian, S.; Zhang, J.; Louise, W. New exploration and understanding of traditional Chinese medicine. Am. J. Chin. Med. 2009, 37, 411–426. [Google Scholar] [CrossRef]
- Nestler, G. Traditional Chinese medicine. Med. Clin. N. Am. 2002, 86, 63–73. [Google Scholar] [CrossRef]
- Dincheva, I.; Badjakov, I.; Galunska, B. New Insights into the Research of Bioactive Compounds from Plant Origins with Nutraceutical and Pharmaceutical Potential. Plants 2023, 12, 258. [Google Scholar] [CrossRef] [PubMed]
- Dincheva, I.; Badjakov, I.; Galunska, B. New Insights in the Research on Bioactive Compounds from Plant Origins with Nutraceutical and Pharmaceutical Potential II. Plants 2025, 14, 500. [Google Scholar] [CrossRef]
- El-Saadony, M.T.; Saad, A.M.; Mohammed, D.M.; Korma, S.A.; Alshahrani, M.Y.; Ahmed, A.E.; Ibrahim, E.H.; Salem, H.M.; Alkafaas, S.S.; Saif, A.M.; et al. Medicinal plants: Bioactive compounds, biological activities, combating multidrug-resistant microorganisms, and human health benefits—A comprehensive review. Front. Immunol. 2025, 16, 1491777. [Google Scholar] [CrossRef]
- Riaz, M.; Khalid, R.; Afzal, M.; Anjum, F.; Fatima, H.; Zia, S.; Rasool, G.; Egbuna, C.; Mtewa, A.G.; Uche, C.Z.; et al. Phytobioactive compounds as therapeutic agents for human diseases: A review. Food Sci. Nutr. 2023, 11, 2500–2529. [Google Scholar] [CrossRef]
- Kang, J.; Georgescu, H.I.; McIntyre-Larkin, L.; Stefanovic-Racic, M.; Donaldson, W.F., 3rd; Evans, C.H. Herniated lumbar intervertebral discs spontaneously produce matrix metalloproteinases, nitric oxide, interleukin-6, and prostaglandin E2. Spine 1996, 21, 271–277. [Google Scholar] [CrossRef]
- Kang, J.; Stefanovic-Racic, M.; McIntyre, L.A.; Georgescu, H.I.; Evans, C.H. Toward a biochemical understanding of human intervertebral disc degeneration and herniation. Contributions of nitric oxide, interleukins, prostaglandin E2, and matrix metalloproteinases. Spine 1997, 22, 1065–1073. [Google Scholar] [CrossRef]
- Weiler, C.; Nerlich, A.G.; Bachmeier, B.E.; Boos, N. Expression and distribution of tumor necrosis factor alpha in human lumbar intervertebral discs: A study in surgical specimen and autopsy controls. Spine 2005, 30, 44–53. [Google Scholar] [CrossRef] [PubMed]
- Burke, J.G.; Watson, R.W.G.; McCormack, D.; Dowling, F.E.; Walsh, M.G.; Fitzpatrick, J.M. Intervertebral discs which cause low back pain secrete high levels of proinflammatory mediators. J. Bone Jt. Surg. Br. 2002, 84, 196–201. [Google Scholar] [CrossRef]
- Podichetty, V. The aging spine: The role of inflammatory mediators in intervertebral disc degeneration. Cell. Mol. Biol. 2007, 53, 4–18. [Google Scholar] [PubMed]
- Wong, A.; Karppinen, J.; Samartzis, D. Low back pain in older adults: Risk factors, management options and future directions. Scoliosis Spinal Disord. 2017, 12, 14. [Google Scholar] [CrossRef]
- de Souza, I.; Sakaguchi, T.F.; Yuan, S.L.K.; Matsutani, L.A.; do Espírito-Santo, A.S.; Pereira, C.A.B.; Marques, A.P. Prevalence of low back pain in the elderly population: A systematic review. Clinics 2019, 74, e789. [Google Scholar] [CrossRef] [PubMed]
- Li, C.; Zhang, Y.; Deng, Y.; Chen, Y.; Wu, C.; Zhao, X.; Chen, X.; Wang, X.; Zhou, Y.; Zhang, X.; et al. Fisetin suppresses ferroptosis through Nrf2 and attenuates intervertebral disc degeneration in rats. Eur. J. Pharmacol. 2024, 964, 176298. [Google Scholar] [CrossRef]
- Kuai, J.; Zhang, N. Upregulation of SIRT1 by Evodiamine activates PI3K/AKT pathway and blocks intervertebral disc degeneration. Mol. Med. Rep. 2022, 26, 265. [Google Scholar] [CrossRef]
- Hu, Y.; Tang, J.-S.; Hou, S.-X.; Shi, X.-X.; Qin, J.; Zhang, T.-S.; Wang, X.-J. Neuroprotective effects of curcumin alleviate lumbar intervertebral disc degeneration through regulating the expression of iNOS, COX-2, TGF-β1/2, MMP-9 and BDNF in a rat model. Mol. Med. Rep. 2017, 16, 6864–6869. [Google Scholar] [CrossRef]
- Hong, H.; Guo, D.; Xia, T.; Zhang, Y. Dihydromyricetin attenuates intervertebral disc degeneration by inhibiting NLRP3 inflammasome activation via the Keap1/Nrf2/HO-1 pathway. Eur. J. Pharmacol. 2025, 998, 177501. [Google Scholar] [CrossRef]
- Fang, W.; Zhou, X.; Wang, J.; Xu, L.; Zhou, L.; Yu, W.; Tao, Y.; Zhu, J.; Hu, B.; Liang, C.; et al. Wogonin mitigates intervertebral disc degeneration through the Nrf2/ARE and MAPK signaling pathways. Int. Immunopharmacol. 2018, 65, 539–549. [Google Scholar] [CrossRef]
- Zhang, G.; Liu, M.; Chen, H.; Wu, Z.; Gao, Y.; Ma, Z.; He, X.; Kang, X. NF-κB signalling pathways in nucleus pulposus cell function and intervertebral disc degeneration. Cell Prolif. 2021, 54, e13057. [Google Scholar] [CrossRef]
- Navone, S.E.; Marfia, G.; Giannoni, A.; Beretta, M.; Guarnaccia, L.; Gualtierotti, R.; Nicoli, D.; Rampini, P.; Campanella, R. Inflammatory mediators and signalling pathways controlling intervertebral disc degeneration. Histol. Histopathol. 2017, 32, 523–542. [Google Scholar] [CrossRef]
- Melrose, J. The Potential of Flavonoids and Flavonoid Metabolites in the Treatment of Neurodegenerative Pathology in Disorders of Cognitive Decline. Antioxidants 2023, 12, 663. [Google Scholar] [CrossRef]
- You, Q.; Wang, K.; Zhao, Z.; Zhou, H.; Lan, Z.; Liang, H.; Deng, R.; Li, W.; Shen, S.; Wang, R.; et al. Reduction of Bacteroides fragilis in Gut Microbiome of Chronic Hepatitis B Patients Promotes Liver Injury. J. Med. Virol. 2025, 97, e70395. [Google Scholar] [CrossRef] [PubMed]
- Yip, J.; Balasuriya, G.K.; Spencer, S.J.; Hill-Yardin, E.L. The Role of Intestinal Macrophages in Gastrointestinal Homeostasis: Heterogeneity and Implications in Disease. Cell Mol. Gastroenterol. Hepatol. 2021, 12, 1701–1718. [Google Scholar] [CrossRef] [PubMed]
- Yao, B.; Cai, Y.; Wang, W.; Deng, J.; Zhao, L.; Han, Z.; Wan, L. The Effect of Gut Microbiota on the Progression of Intervertebral Disc Degeneration. Orthop. Surg. 2023, 15, 858–867. [Google Scholar] [CrossRef] [PubMed]
- Sun, Y.; Li, Z.; Duan, J.; Liu, E.; Sun, F.; Yang, L.; Chen, L.; Yang, S. Unveiling the Gut-Disc Axis: How Microbiome Dysbiosis Accelerates Intervertebral Disc Degeneration. J. Inflamm. Res. 2024, 17, 8271–8280. [Google Scholar] [CrossRef]
- Dhiman, M.S.; Bader, T.J.; Ponjevic, D.; Salo, P.T.; Hart, D.A.; Swamy, G.; Matyas, J.R.; Duncan, N. A Collagen integrity of the annulus fibrosus in degenerative disc disease individuals quantified with collagen hybridizing peptide. JOR Spine 2024, 7, e1359. [Google Scholar] [CrossRef]
- Chen, H.-W.; Liu, M.-Q.; Zhang, G.-Z.; Zhang, C.-Y.; Wang, Z.-H.; Lin, A.-X.; Kang, J.-H.; Liu, W.-Z.; Guo, X.-D.; Wang, Y.-D.; et al. Proanthocyanidins inhibit the apoptosis and aging of nucleus pulposus cells through the PI3K/Akt pathway delaying intervertebral disc degeneration. Connect. Tissue Res. 2022, 63, 650–662. [Google Scholar] [CrossRef]
- Du, H.-Y.; Wang, R.; Li, J.-L.; Luo, H.; Xie, X.-Y.; Yan, R.; Jian, Y.-L.; Cai, J.-Y. Ligustrazine induces viability, suppresses apoptosis and autophagy of retinal ganglion cells with ischemia/reperfusion injury through the PI3K/Akt/mTOR signaling pathway. Bioengineered 2021, 12, 507–515. [Google Scholar] [CrossRef] [PubMed]
- Dong, L.; Du, H.; Zhang, M.; Xu, H.; Pu, X.; Chen, Q.; Luo, R.; Hu, Y.; Wang, Y.; Tu, H.; et al. Anti-inflammatory effect of Rhein on ulcerative colitis via inhibiting PI3K/Akt/mTOR signaling pathway and regulating gut microbiota. Phytother. Res. 2022, 36, 2081–2094. [Google Scholar] [CrossRef] [PubMed]
- Deng, X.; Wu, W.; Liang, H.; Huang, D.; Jing, D.; Zheng, D.; Shao, Z. Icariin Prevents IL-1β-Induced Apoptosis in Human Nucleus Pulposus via the PI3K/AKT Pathway. Evid. Based Complement. Altern. Med. 2017, 2017, 12. [Google Scholar]
- Deng, X.; Chen, S.; Zheng, D.; Shao, Z.; Liang, H.; Hu, H. Icariin Prevents H2O2-Induced Apoptosis via the PI3K/Akt Pathway in Rat Nucleus Pulposus Intervertebral Disc Cells. Evid. Based Complement. Altern. Med. 2017, 2017, 2694261. [Google Scholar] [CrossRef]
- Chen, M.; Zhu, W.; Chen, Y.; Shang, J.; Wang, W.; Yan, X.; Liu, P.; Zhou, Y. Aloe-emodin ameliorates chronic kidney disease fibrosis by, inhibiting PI3K-mediated signaling pathway. Eur. J. Histochem. 2025, 69, 4228. [Google Scholar] [CrossRef]
- Wang, Y.; Zuo, R.; Wang, Z.; Luo, L.; Wu, J.; Zhang, C.; Liu, M.; Shi, C.; Zhou, Y. Kinsenoside ameliorates intervertebral disc degeneration through the activation of AKT-ERK1/2-Nrf2 signaling pathway. Aging 2019, 11, 7961–7977. [Google Scholar] [CrossRef]
- Zhang, X.; Chen, J.; Huang, B.; Wang, J.; Shan, Z.; Liu, J.; Chen, Y.; Li, S.; Fan, S.; Zhao, F. Obesity Mediates Apoptosis and Extracellular Matrix Metabolic Imbalances via MAPK Pathway Activation in Intervertebral Disk Degeneration. Front. Physiol. 2019, 10, 1284. [Google Scholar] [CrossRef]
- Zhang, S.; Liang, W.; Abulizi, Y.; Xu, T.; Cao, R.; Xun, C.; Zhang, J.; Sheng, W. Quercetin alleviates intervertebral disc degeneration by modulating p38 MAPK-mediated autophagy. Biomed. Res. Int. 2021, 2021, 6631562. [Google Scholar] [CrossRef]
- Xie, T.; Gu, X.; Pan, R.; Huang, W.; Dong, S. Evodiamine ameliorates intervertebral disc degeneration through the Nrf2 and MAPK pathways. Cytotechnology 2024, 76, 153–166. [Google Scholar] [CrossRef]
- Wu, Y.; Li, F.; Shu, S.; Feng, Z.; Qiu, Y.; Li, S.; Zhu, Z. Baicalin alleviates intervertebral disc degeneration by inhibiting the p38 MAPK signaling pathway. Exp. Gerontol. 2025, 204, 112743. [Google Scholar] [CrossRef]
- Wang, Q.-W.; Su, Y.; Sheng, J.-T.; Gu, L.-M.; Zhao, Y.; Chen, X.-X.; Chen, C.; Li, W.-Z.; Li, K.-S.; Dai, J.-P. Anti-influenza A virus activity of rhein through regulating oxidative stress, TLR4, Akt, MAPK, and NF-κB signal pathways. PLoS ONE 2018, 13, e0191793. [Google Scholar] [CrossRef]
- Shi, Z.; Zhu, L.; Song, Z.; Liu, T.; Hao, D. Roles of p38 MAPK signalling in intervertebral disc degeneration. Cell Prolif. 2023, 56, e13438. [Google Scholar] [CrossRef] [PubMed]
- Ren, Q.; Tao, S.; Guo, F.; Wang, B.; Yang, L.; Ma, L.; Fu, P. Natural flavonol fisetin attenuated hyperuricemic nephropathy via inhibiting IL-6/JAK2/STAT3 and TGF-β/SMAD3 signaling. Phytomedicine 2021, 87, 153552. [Google Scholar] [CrossRef] [PubMed]
- Du, X.; Wang, X.; Cui, K.; Chen, Y.; Zhang, C.; Yao, K.; Hao, Y.; Chen, Y. Tanshinone IIA and Astragaloside IV Inhibit miR-223/JAK2/STAT1 Signalling Pathway to Alleviate Lipopolysaccharide-Induced Damage in Nucleus Pulposus Cells. Dis. Markers 2021, 2021, 6554480. [Google Scholar] [CrossRef] [PubMed]
- Bai, X.; Jiang, M.; Wang, J.; Yang, S.; Liu, Z.; Zhang, H.; Zhu, X. Cyanidin attenuates the apoptosis of rat nucleus pulposus cells and the degeneration of intervertebral disc via the JAK2/STAT3 signal pathway in vitro and in vivo. Pharm. Biol. 2022, 60, 427–436. [Google Scholar] [CrossRef]
- Dai, W.; Hou, Q.; Ye, J. Rhein alleviates hepatic steatosis in NAFLD mice by activating the AMPK/ACC/SREBP1 pathway to enhance lipid metabolism. Mol. Med. 2025, 31, 255. [Google Scholar] [CrossRef]
- Zhang, Z.; Wu, J.; Teng, C.; Wang, J.; Yu, J.; Jin, C.; Wang, L.; Wu, L.; Lin, Z.; Yu, Z.; et al. Orientin downregulating oxidative stress-mediated endoplasmic reticulum stress and mitochondrial dysfunction through AMPK/SIRT1 pathway in rat nucleus pulposus cells in vitro and attenuated intervertebral disc degeneration in vivo. Apoptosis 2022, 27, 1031–1048. [Google Scholar] [CrossRef]
- Chen, R.; Gao, S.; Guan, H.; Zhang, X.; Gao, Y.; Su, Y.; Song, Y.; Jiang, Y.; Li, N. Naringin protects human nucleus pulposus cells against TNF-α-induced inflammation, oxidative stress, and loss of cellular homeostasis by enhancing autophagic flux via AMPK/SIRT1 activation. Oxid. Med. Cell Longev. 2022, 2022, 7655142. [Google Scholar] [CrossRef]
- Zhu, X.; Liu, S.; Cao, Z.; Yang, L.; Lu, F.; Li, Y.; Hu, L.; Bai, X. Higenamine mitigates interleukin-1β-induced human nucleus pulposus cell apoptosis by ROS-mediated PI3K/Akt signaling. Mol. Cell Biochem. 2021, 476, 3889–3897. [Google Scholar] [CrossRef]
- Zhang, L.B.; Gao, J.; Li, Z.M.; Zhang, C.M.; Liu, J.M.; Dong, H.M.; Mei, W.M. Astragaloside IV relieves IL-1β-induced human nucleus pulposus cells degeneration through modulating PI3K/Akt signaling pathway. Medicine 2023, 102, e34815. [Google Scholar] [CrossRef]
- Que, Y.; Wong, C.; Qiu, J.; Gao, W.; Lin, Y.; Zhou, H.; Gao, B.; Li, P.; Deng, Z.; Shi, H.; et al. Maslinic acid alleviates intervertebral disc degeneration by inhibiting the PI3K/AKT and NF-κB signaling pathways. Acta Biochim. Biophys. Sin. 2024, 56, 776–788. [Google Scholar] [CrossRef] [PubMed]
- Qi, W.; Ren, D.; Wang, P.; Song, Z.; Wu, H.; Yao, S.; Geng, L.; Su, Y.; Bai, X. Upregulation of Sirt1 by tyrosol suppresses apoptosis and inflammation and modulates extracellular matrix remodeling in interleukin-1β-stimulated human nucleus pulposus cells through activation of PI3K/Akt pathway. Int. Immunopharmacol. 2020, 88, 106904. [Google Scholar] [CrossRef] [PubMed]
- Liu, Y.; Liu, D.-K.; Wang, Z.-W.; Zhao, C.; Miao, J. Baicalein alleviates TNF-α-induced apoptosis of human nucleus pulposus cells through PI3K/AKT signaling pathway. J. Orthop. Surg. Res. 2023, 18, 292. [Google Scholar] [CrossRef] [PubMed]
- Li, M.; Yu, X.; Chen, X.; Jiang, Y.; Zeng, Y.; Ren, R.; Nie, M.; Zhang, Z.; Bao, Y.; Kang, H. Genkwanin alleviates intervertebral disc degeneration via regulating ITGA2/PI3K/AKT pathway and inhibiting apoptosis and senescence. Int. Immunopharmacol. 2024, 133, 112101. [Google Scholar] [CrossRef]
- Bai, X.; Wang, J.; Ding, S.; Yang, S.; Pei, B.; Yao, M.; Zhu, X.; Jiang, M.; Zhang, M.; Mu, W.; et al. Embelin protects against apoptosis and inflammation by regulating PI3K/Akt signaling in IL-1β-stimulated human nucleus pulposus cells. Tissue Cell 2023, 82, 102089. [Google Scholar] [CrossRef]
- Tu, J.; Li, W.; Zhang, Y.; Wu, X.; Song, Y.; Kang, L.; Liu, W.; Wang, K.; Li, S.; Hua, W.; et al. Simvastatin Inhibits IL-1beta-Induced Apoptosis and Extracellular Matrix Degradation by Suppressing the NF-kB and MAPK Pathways in Nucleus Pulposus Cells. Inflammation 2017, 40, 725–734. [Google Scholar] [CrossRef]
- Tian, Y.; Yuan, W.; Fujita, N.; Wang, J.; Wang, H.; Shapiro, I.M.; Risbud, M.V. Inflammatory cytokines associated with degenerative disc disease control aggrecanase-1 (ADAMTS-4) expression in nucleus pulposus cells through MAPK and NF-kappaB. Am. J. Pathol. 2013, 182, 2310–2321. [Google Scholar] [CrossRef]
- Zhu, J.; Sun, R.; Yan, C.; Sun, K.; Gao, L.; Zheng, B.; Shi, J. Hesperidin mitigates oxidative stress-induced ferroptosis in nucleus pulposus cells via Nrf2/NF-κB axis to protect intervertebral disc from degeneration. Cell Cycle 2023, 22, 1196–1214. [Google Scholar] [CrossRef]
- Xie, T.; Yuan, J.; Mei, L.; Li, P.; Pan, R. Hyperoside ameliorates TNF-α-induced inflammation, ECM degradation and ER stress-mediated apoptosis via the SIRT1/NF-κB and Nrf2/ARE signaling pathways in vitro. Mol. Med. Rep. 2022, 26, 260. [Google Scholar] [CrossRef]
- Xie, C.; Ma, H.; Shi, Y.; Li, J.; Wu, H.; Wang, B.; Shao, Z.; Huang, C.; Chen, J.; Sun, L.; et al. Cardamonin protects nucleus pulposus cells against IL-1β-induced inflammation and catabolism via Nrf2/NF-κB axis. Food Funct. 2021, 12, 2703–2714. [Google Scholar] [CrossRef]
- Lu, G.; Zhang, C.; Li, K.; Gao, K.; Fu, M.; Lyu, C.; Quan, Z. Sinomenine Ameliorates IL-1β-Induced Intervertebral Disc Degeneration in Rats Through Suppressing Inflammation and Oxidative Stress via Keap1/Nrf2/NF-κB Signaling Pathways. J. Inflamm. Res. 2023, 16, 4777–4791. [Google Scholar] [CrossRef]
- Xu, Y.; He, J.; He, J. Cyanidin attenuates the high hydrostatic pressure-induced degradation of cellular matrix of nucleus pulposus cell via blocking the Wnt/β-catenin signaling. Tissue Cell 2022, 76, 101798. [Google Scholar] [CrossRef]
- Tao, W.; Ruan, J.; Wu, R.; Zhao, M.; Zhao, T.; Qi, M.; Yau, S.S.; Yao, G.; Zhang, H.; Hu, Y.; et al. A natural carotenoid crocin exerts antidepressant action by promoting adult hippocampal neurogenesis through Wnt/β-catenin signaling. J. Adv. Res. 2023, 43, 219–231. [Google Scholar] [CrossRef] [PubMed]
- Zhang, Z.; Lin, J.; Nisar, M.; Chen, T.; Xu, T.; Zheng, G.; Wang, C.; Jin, H.; Chen, J.; Gao, W.; et al. The SIRT1/P53 Axis in diabetic intervertebral disc degeneration pathogenesis and therapeutics. Oxid. Med. Cell Longev. 2019, 2019, 7959573. [Google Scholar] [CrossRef] [PubMed]
- Wang, J.; Jing, X.; Liu, X.; Chen, F.; Ge, Z.; Liu, X.; Yang, H.; Guo, Y.; Cui, X. Naringin safeguards vertebral endplate chondrocytes from apoptosis and NLRP3 inflammasome activation through SIRT3-mediated mitophagy. Int. Immunopharmacol. 2024, 140, 112801. [Google Scholar] [CrossRef] [PubMed]
- Fu, W.; Liu, S.-C.; Xu, T.-X.; Liu, Y.; Zhang, T.; Liu, D.-J.; Wang, X.; Wang, J.-Y.; He, Y.-X.; Ma, T. Emodin Inhibits NLRP3 Inflammasome Activation and Protects Against Sepsis via Promoting FUNDC1-Mediated Mitophagy. Int. J. Biol. Sci. 2025, 21, 3631–3648. [Google Scholar] [CrossRef]
- Ding, H.; Li, Y.; Chen, S.; Wen, Y.; Zhang, S.; Luo, E.; Li, X.; Zhong, W.; Zeng, H. Fisetin ameliorates cognitive impairment by activating mitophagy and suppressing neuroinflammation in rats with sepsis-associated encephalopathy. CNS Neurosci. Ther. 2022, 28, 247–258. [Google Scholar] [CrossRef]
- Shang, P.; Tang, Q.; Hu, Z.; Huang, S.; Hu, Y.; Zhu, J.; Liu, H. Procyanidin B3 alleviates intervertebral disc degeneration via interaction with the TLR4/MD-2 complex. J. Cell Mol. Med. 2020, 24, 3701–3711. [Google Scholar] [CrossRef]
- Chen, Y.; Hu, B.; Ni, F.; Han, Y.; Shu, S.; Xiong, L.; Shao, Z.; Wei, Y. Kongensin a attenuates intervertebral disc degeneration by inhibiting TAK1-mediated PANoptosis of nucleus pulposus cells. Int. Immunopharmacol. 2024, 129, 111661. [Google Scholar] [CrossRef]
- Chen, Y.; Zheng, Z.; Wang, J.; Tang, C.; Khor, S.; Chen, J.; Chen, X.; Zhang, Z.; Tang, Q.; Wang, C.; et al. Berberine suppresses apoptosis and extracellular matrix (ECM) degradation in nucleus pulposus cells and ameliorates disc degeneration in a rodent model. Int. J. Biol. Sci. 2018, 14, 682–692. [Google Scholar] [CrossRef]
- Chen, T.; Li, P.; Qiu, J.; Hu, W.; Li, S.; Shi, H.; Qiu, X.; Huang, D.; Gao, W.; Liang, A. Aloin Regulates Matrix Metabolism and Apoptosis in Human Nucleus Pulposus Cells via the TAK1/NF-κB/NLRP3 Signaling Pathway. Stem Cells Int. 2022, 2022, 5865011. [Google Scholar] [CrossRef]
- Wang, L.; Gu, Y.; Zhao, H.; Chen, R.; Chen, W.; Qi, H.; Gao, W. Dioscin Attenuates Interleukin 1β (IL-1β)-Induced Catabolism and Apoptosis via Modulating the Toll-Like Receptor 4 (TLR4)/Nuclear Factor kappa B (NF-κB) Signaling in Human Nucleus Pulposus Cells. Med. Sci. Monit. 2020, 26, e923386. [Google Scholar] [CrossRef] [PubMed]
- Lu, X.; Xu, G.; Lin, Z.; Song, J.; Zhang, Y.; Wang, H.; Lu, F.; Xia, X.; Ma, X.; Zou, F.; et al. Sulforaphane Delays Intervertebral Disc Degeneration by Alleviating Endoplasmic Reticulum Stress in Nucleus Pulposus Cells via Activating Nrf-2/HO-1. Oxidative Med. Cell. Longev. 2023, 2023, 3626091. [Google Scholar] [CrossRef] [PubMed]
- Bai, X.; Lian, Y.; Hu, C.; Yang, S.; Pei, B.; Yao, M.; Zhu, X.; Shang, L.; Li, Z. Cyanidin-3-glucoside protects against high glucose-induced injury in human nucleus pulposus cells by regulating the Nrf2/HO-1 signaling. J. Appl. Toxicol. 2022, 24, 1137–1145. [Google Scholar] [CrossRef] [PubMed]
- Aleksandra Kozłowska, D.-W. Flavonoids-food sources and health benefits. Rocz. Panstw. Zakl. Hig. 2014, 65, 65. [Google Scholar]
- Zhao, L.; Yuan, X.; Wang, J.; Feng, Y.; Ji, F.; Li, Z.; Bian, J. A review on flavones targeting serine/threonine protein kinases for potential anticancer drugs. Bioorg. Med. Chem. 2019, 27, 677–685. [Google Scholar] [CrossRef]
- Zhao, K.; Yuan, Y.; Lin, B.; Miao, Z.; Li, Z.; Guo, Q.; Lu, N. LW-215, a newly synthesized flavonoid, exhibits potent anti-angiogenic activity in vitro and in vivo. Gene 2018, 642, 533–541. [Google Scholar] [CrossRef]
- Camero, C.M.; Germanò, M.P.; Rapisarda, A.; D’aNgelo, V.; Amira, S.; Benchikh, F.; Braca, A.; De Leo, M. Anti-angiogenic activity of iridoids from Galium tunetanum. Rev. Bras. De. Farm. 2018, 28, 374–377. [Google Scholar] [CrossRef]
- Patel, K.; Kumar, V.; Rahman, M.; Verma, A.; Patel, D.K. New insights into the medicinal importance, physiological functions and bioanalytical aspects of an important bioactive compound of foods ‘Hyperin’: Health benefits of the past, the present, the future. Beni-Suef Univ. J. Basic. Appl. Sci. 2018, 7, 31–42. [Google Scholar] [CrossRef]
- Costăchescu, B.; Niculescu, A.-G.; Teleanu, R.I.; Iliescu, B.F.; Rădulescu, M.; Grumezescu, A.M.; Dabija, M.G. Recent Advances in Managing Spinal Intervertebral Discs Degeneration. Int. J. Mol. Sci. 2022, 23, 6460. [Google Scholar] [CrossRef]
- Kim, T.; Song, B.; Cho, K.S.; Lee, I.-S. Therapeutic Potential of Volatile Terpenes and Terpenoids from Forests for Inflammatory Diseases. Int. J. Mol. Sci. 2020, 21, 2187. [Google Scholar] [CrossRef] [PubMed]
- Ge, J.; Liu, Z.; Zhong, Z.; Wang, L.; Zhuo, X.; Li, J.; Jiang, X.; Ye, X.-Y.; Xie, T.; Bai, R. Natural terpenoids with anti-inflammatory activities: Potential leads for anti-inflammatory drug discovery. Bioorg. Chem. 2022, 124, 105817. [Google Scholar] [CrossRef] [PubMed]
- Chen, Q.; Qian, Q.; Xu, H.; Zhou, H.; Chen, L.; Shao, N.; Zhang, K.; Chen, T.; Tian, H.; Zhang, Z.; et al. Mitochondrial-Targeted Metal-Phenolic Nanoparticles to Attenuate Intervertebral Disc Degeneration: Alleviating Oxidative Stress and Mitochondrial Dysfunction. ACS Nano 2024, 18, 8885–8905. [Google Scholar] [CrossRef] [PubMed]
- Heinrich, M.; Mah, J.; Amirkia, V. Alkaloids Used as Medicines: Structural Phytochemistry Meets Biodiversity-An Update and Forward Look. Molecules 2021, 26, 1836. [Google Scholar] [CrossRef]
- Amirkia, V.; Heinrich, M. Alkaloids as drug leads—A predictive structural and biodiversity-based analysis. Phytochem. Lett. 2014, 2014, 10. [Google Scholar]
- Ren, J.; Barton, C.D.; Zhan, J. Engineered production of bioactive polyphenolic O-glycosides. Biotechnol. Adv. 2023, 65, 108146. [Google Scholar] [CrossRef]
- Johnson, J.B.; Mani, J.S.; Broszczak, D.; Prasad, S.S.; Ekanayake, C.P.; Strappe, P.; Valeris, P.; Naiker, M. Hitting the sweet spot: A systematic review of the bioactivity and health benefits of phenolic glycosides from medicinally used plants. Phytother. Res. 2021, 35, 3484–3508. [Google Scholar] [CrossRef]
- Faizi, S.; Siddiqui, B.S.; Saleem, R.; Siddiqui, S.; Aftab, K.; Gilani, A.-U. Fully acetylated carbamate and hypotensive thiocarbamate glycosides from Moringa oleifera. Phytochemistry 1995, 38, 957–963. [Google Scholar] [CrossRef]
- Gallily, R.; Yekhtin, Z.; Hanuš, L.O. The Anti-Inflammatory Properties of Terpenoids from Cannabis. Cannabis Cannabinoid Res. 2018, 3, 282–290. [Google Scholar] [CrossRef]
- Del Prado-Audelo, M.L.; Cortés, H.; Caballero-Florán, I.H.; González-Torres, M.; Escutia-Guadarrama, L.; Bernal-Chávez, S.A.; Giraldo-Gomez, D.M.; Magaña, J.J.; Leyva-Gómez, G. Therapeutic Applications of Terpenes on Inflammatory Diseases. Front. Pharmacol. 2021, 12, 704197. [Google Scholar] [CrossRef]
- Liu, Z.; Zhu, J.; Liu, H.; Fu, C. Natural products can modulate inflammation in intervertebral disc degeneration. Front. Pharmacol. 2023, 14, 1150835. [Google Scholar] [CrossRef]
- Velderrain-Rodríguez, G.R.; Palafox-Carlos, H.; Wall-Medrano, A.; Ayala-Zavala, J.F.; Chen, C.-Y.O.; Robles-Sánchez, M.; Astiazaran-García, H.; Alvarez-Parrilla, E.; González-Aguilar, G.A. Phenolic compounds: Their journey after intake. Food Funct. 2014, 5, 189–197. [Google Scholar] [CrossRef] [PubMed]
- Wang, S.; Chen, Y.; Xia, C.; Yang, C.; Chen, J.; Hai, L.; Wu, Y.; Yang, Z. Synthesis and evaluation of glycosylated quercetin to enhance neuroprotective effects on cerebral ischemia-reperfusion. Bioorg. Med. Chem. 2022, 73, 117008. [Google Scholar] [CrossRef] [PubMed]
- Gurung, R.B.; Gong, S.Y.; Dhakal, D.; Le, T.T.; Jung, N.R.; Jung, H.J.; Oh, T.J.; Sohng, J.K. Synthesis of Curcumin Glycosides with Enhanced Anticancer Properties Using One-Pot Multienzyme Glycosylation Technique. J. Microbiol. Biotechnol. 2017, 27, 1639–1648, Erratum in J. Microbiol. Biotechnol. 2017, 28, 347. [Google Scholar] [CrossRef] [PubMed]
- Yu, S.E.; Mwesige, B.; Yi, Y.-S.; Yoo, B.C. Ginsenosides: The need to move forward from bench to clinical trials. J. Ginseng Res. 2019, 43, 361–367. [Google Scholar] [CrossRef]
- Li, K.; Li, Y.; Ma, Z.; Zhao, J. Crocin exerts anti-inflammatory and anti-catabolic effects on rat intervertebral discs by suppressing the activation of JNK. Int. J. Mol. Med. 2015, 36, 1291–1299. [Google Scholar] [CrossRef]
- Hashemzaei, M.; Mamoulakis, C.; Tsarouhas, K.; Georgiadis, G.; Lazopoulos, G.; Tsatsakis, A.; Asrami, E.S.; Rezaee, R. Crocin: A fighter against inflammation and pain. Food Chem. Toxicol. 2020, 143, 111521. [Google Scholar] [CrossRef]
- Boozari, M.; Hosseinzadeh, H. Crocin molecular signaling pathways at a glance: A comprehensive review. Phytother. Res. 2022, 36, 3859–3884. [Google Scholar] [CrossRef]
- Faisal, S.; Badshah, S.L.; Kubra, B.; Emwas, A.-H.; Jaremko, M. Alkaloids as potential antivirals. A comprehensive review. Nat. Prod. Bioprospect. 2023, 13, 4. [Google Scholar] [CrossRef]
- Adeosun, W.B.; Loots, D.T. Medicinal Plants against Viral Infections: A Review of Metabolomics Evidence for the Antiviral Properties and Potentials in Plant Sources. Viruses 2024, 16, 218. [Google Scholar] [CrossRef]
- Stepp, J.R.; Moerman, D.E. The importance of weeds in ethnopharmacology. J. Ethnopharmacol. 2001, 75, 19–23. [Google Scholar] [CrossRef]
- Ahmad, A.; Husain, A.; Mujeeb, M.; Alam Khan, S.; Najmi, A.K.; Siddique, N.A.; Damanhouri, Z.A.; Anwar, F. A review on therapeutic potential of Nigella sativa: A miracle herb. Asian Pac. J. Trop. Biomed. 2013, 3, 337–352. [Google Scholar] [CrossRef]
- Kasolo, J.; Bimenya, G.S.; Ojok, L.; Ochieng, J.; Ogwal-Okeng, J. Phytochemicals and uses of Moringa oleifera leaves in Ugandan rural communities. J. Med. Plants Res. 2010, 16, 753–757. [Google Scholar]
- Panda, S.; Kar, A.; Sharma, P.; Sharma, A. Cardioprotective potential of N,α-l-rhamnopyranosyl vincosamide, an indole alkaloid, isolated from the leaves of Moringa oleifera in isoproterenol induced cardiotoxic rats: In vivo and in vitro studies. Bioorg. Med. Chem. Lett. 2013, 23, 959–962. [Google Scholar] [CrossRef]
- Liang, Q.-Q.; Ding, D.-F.; Xi, Z.-J.; Chen, Y.; Li, C.-G.; Liu, S.-F.; Lu, S.; Zhao, Y.-J.; Shi, Q.; Wang, Y.-J. Protective effect of ligustrazine on lumbar intervertebral disc degeneration of rats induced by prolonged upright posture. Evid. Based Complement. Altern. Med. 2014, 2014, 508461. [Google Scholar] [CrossRef]
- Zeng, P.; Yi, Y.; Su, H.-F.; Ye, C.-Y.; Sun, Y.-W.; Zhou, X.-W.; Lu, Y.; Shi, A.; Tian, Q. Key Phytochemicals and Biological Functions of Chuanxiong Rhizoma Against Ischemic Stroke: A Network Pharmacology and Experimental Assessment. Front. Pharmacol. 2021, 12, 758049. [Google Scholar] [CrossRef]
- Che, X.-W.; Zhang, Y.; Wang, H.; Wang, W. Effect of ligustrazine injection on levels of interleukin-4 and interferon-γ in patients with bronchial asthma. Chin. J. Integr. Med. 2008, 14, 217–220. [Google Scholar] [CrossRef]
- Hu, J.; Luo, C.Y.; Kang, M.; Lü, H.B.; Lei, G.H.; Dai, Z. Therapeutic effects of intraarticular injection of ligustrazine on knee osteoarthritis. Zhong Nan Da Xue Xue Bao Yi Xue Ban 2006, 31, 591–594. [Google Scholar]
- Zhang, X.-P.; Liu, D.-R.; Shi, Y. Study progress in therapeutic effects of traditional Chinese medicine monomer in severe acute pancreatitis. J. Zhejiang Univ. Sci. B 2007, 8, 147–152. [Google Scholar] [CrossRef]
- Leng, Y.-F.; Gao, X.-M.; Wang, S.-X.; Xing, Y.-H. Effects of tetramethylpyrazine on neuronal apoptosis in the superficial dorsal horn in a rat model of neuropathic pain. Am. J. Chin. Med. 2012, 40, 1229–1239. [Google Scholar] [CrossRef]
- Ju, X.-D.; Deng, M.; Ao, Y.-F.; Yu, C.-L.; Wang, J.-Q.; Yu, J.-K.; Cui, G.-Q.; Hu, Y.-L. The protective effect of tetramethylpyrazine on cartilage explants and chondrocytes. J. Ethnopharmacol. 2010, 132, 414–420. [Google Scholar] [CrossRef]
- Slámová, K.; Kapešová, J.; Valentová, K. “Sweet Flavonoids”: Glycosidase-Catalyzed Modifications. Int. J. Mol. Sci. 2018, 19, 2126. [Google Scholar] [CrossRef]
- Wang, D.; He, X.; Wang, D.; Peng, P.; Xu, X.; Gao, B.; Zheng, C.; Wang, H.; Jia, H.; Shang, Q.; et al. Quercetin suppresses apoptosis and attenuates intervertebral disc degeneration via the SIRT1-autophagy pathway. Front. Cell Dev. Biol. 2020, 8, 613006. [Google Scholar] [CrossRef]
- Shao, Z.; Wang, B.; Shi, Y.; Xie, C.; Huang, C.; Chen, B.; Zhang, H.; Zeng, G.; Liang, H.; Wu, Y.; et al. Senolytic agent quercetin ameliorates intervertebral disc degeneration via the Nrf2/NF-κB axis. Osteoarthr. Cart. 2021, 29, 413–422. [Google Scholar] [CrossRef]
- Zhao, W.-J.; Liu, X.; Hu, M.; Zhang, Y.; Shi, P.-Z.; Wang, J.-W.; Lu, X.-H.; Cheng, X.-F.; Tao, Y.-P.; Feng, X.-M.; et al. Quercetin ameliorates oxidative stress-induced senescence in rat nucleus pulposus-derived mesenchymal stem cells via the miR-34a-5p/SIRT1 axis. World J. Stem Cells 2023, 15, 842–865. [Google Scholar] [CrossRef]
- Ding, F.; Li, X. Apigenin mitigates intervertebral disc degeneration through the amelioration of tumor necrosis factor α (TNF-α) signaling pathway. Med. Sci. Monit. 2020, 26, 924587. [Google Scholar] [CrossRef]
- Padmavathi, G.; Roy, N.K.; Bordoloi, D.; Arfuso, F.; Mishra, S.; Sethi, G.; Bishayee, A.; Kunnumakkara, A.B. Butein in health and disease: A comprehensive review. Phytomedicine 2017, 25, 118–127. [Google Scholar] [CrossRef]
- Song, Z.; Shanmugam, M.K.; Yu, H.; Sethi, G. Butein and its role in chronic diseases. Adv. Exp. Med. Biol. 2016, 928, 419–433. [Google Scholar] [CrossRef]
- Jin, H.; Wang, Q.; Wu, J.; Han, X.; Qian, T.; Zhang, Z.; Wang, J.; Pan, X.; Wu, A.; Wang, X. Baicalein inhibits the IL-1β-induced inflammatory response in nucleus pulposus cells and attenuates disc degeneration in vivo. Inflammation 2019, 42, 1032–1044. [Google Scholar] [CrossRef]
- Wang, X.; Tan, Y.; Liu, F.; Wang, J.; Liu, F.; Zhang, Q.; Li, J. Pharmacological network analysis of the functions and mechanism of kaempferol from Du Zhong in intervertebral disc degeneration (IDD). J. Orthop. Transl. 2023, 39, 135–146. [Google Scholar] [CrossRef]
- Gao, W.; Bao, J.; Zhang, Y.; He, D.; Zhang, L.; Zhang, J.; Pan, H.; Wang, D. Injectable kaempferol-loaded fibrin glue regulates the metabolic balance and inhibits inflammation in intervertebral disc degeneration. Sci. Rep. 2023, 13, 20001. [Google Scholar] [CrossRef]
- Zhu, J.; Tang, H.; Zhang, Z.; Zhang, Y.; Qiu, C.; Zhang, L.; Huang, P.; Li, F. Kaempferol slows intervertebral disc degeneration by modifying LPS-induced osteogenesis/adipogenesis imbalance and inflammation response in BMSCs. Int. Immunopharmacol. 2017, 43, 236–242. [Google Scholar] [CrossRef]
- Nepal, M.; Li, L.; Cho, H.K.; Park, J.K.; Soh, Y. Kaempferol induces chondrogenesis in ATDC5 cells through activation of ERK/BMP-2 signaling pathway. Food Chem. Toxicol. 2013, 62, 238. [Google Scholar] [CrossRef]
- Long, L.; Tang, X.; Wang, Y.; Gu, J.; Xiong, J.; Luo, H.; Lv, H.; Zhou, F.; Cao, K.; Lin, S. Network pharmacology and experimental validation to elucidate the pharmacological mechanisms of luteolin against chondrocyte senescence. Comb. Chem. High. Throughput Screen. 2025, 86, 163–170. [Google Scholar] [CrossRef]
- Xie, T.; Yuan, J.; Mei, L.; Li, P.; Pan, R. Luteolin suppresses TNF-α-induced inflammatory injury and senescence of nucleus pulposus cells via the Sirt6/NF-κB pathway. Exp. Ther. Med. 2022, 24, 469. [Google Scholar] [CrossRef]
- Lin, J.; Chen, J.; Zhang, Z.; Xu, T.; Shao, Z.; Wang, X.; Ding, Y.; Tian, N.; Jin, H.; Sheng, S.; et al. Luteoloside Inhibits IL-1β-Induced Apoptosis and Catabolism in Nucleus Pulposus Cells and Ameliorates Intervertebral Disk Degeneration. Front. Pharmacol. 2019, 10, 868. [Google Scholar] [CrossRef]
- Devraj, V.M.; Vemuri, S.K.; Banala, R.R.; Gunda, S.K.; Av, G.R.; Gpv, S. Evaluation of anti-inflammatory and regenerative efficiency of naringin and naringenin in degenerated human nucleus pulposus cells: Biological and molecular modeling studies. Asian Spine J. 2019, 13, 875–889. [Google Scholar] [CrossRef]
- Li, N.; Whitaker, C.; Xu, Z.; Heggeness, M.; Yang, S.-Y. Therapeutic effects of naringin on degenerative human nucleus pulposus cells for discogenic low back pain. Spine J. 2016, 16, 1231–1237. [Google Scholar] [CrossRef]
- Gao, G.; Chang, F.; Zhang, T.; Huang, X.; Yu, C.; Hu, Z.; Ji, M.; Duan, Y. Naringin protects against interleukin 1β (IL-1β)-induced human nucleus pulposus cells degeneration via downregulation nuclear factor kappa B (NF-κB) pathway and p53 expression. Med. Sci. Monit. 2019, 25, 9963–9972. [Google Scholar] [CrossRef]
- Chao-Yang, G.; Peng, C.; Hai-Hong, Z. Roles of NLRP3 inflammasome in intervertebral disc degeneration. Osteoarthr. Cart. 2021, 29, 793–801. [Google Scholar] [CrossRef]
- Zhang, Y.-H.; Shangguan, W.-J.; Zhao, Z.-J.; Zhou, F.-C.; Liu, H.-T.; Liang, Z.-H.; Song, J.; Shao, J. Naringin Inhibits Apoptosis Induced by Cyclic Stretch in Rat Annular Cells and Partially Attenuates Disc Degeneration by Inhibiting the ROS/NF-κB Pathway. Oxid. Med. Cell Longev. 2022, 2022, 6179444. [Google Scholar] [CrossRef]
- Tang, X.; Zhong, J.; Luo, H.; Zhou, F.; Wang, L.; Lin, S.; Xiong, J.; Lv, H.; Zhou, Z.; Yu, H.; et al. Efficacy of Naringenin against aging and degeneration of nucleus pulposus cells through IGFBP3 inhibition. Sci. Rep. 2025, 15, 6780. [Google Scholar] [CrossRef]
- Zhang, Z.; Wang, C.; Lin, J.; Jin, H.; Wang, K.; Yan, Y.; Wang, J.; Wu, C.; Nisar, M.; Tian, N.; et al. Therapeutic Potential of Naringin for Intervertebral Disc Degeneration: Involvement of Autophagy Against Oxidative Stress-Induced Apoptosis in Nucleus Pulposus Cells. Am. J. Chin. Med. 2018, 46, 1561–1580, Erratum in Am. J. Chin. Med. 2021, 49, 2049–2052. [Google Scholar] [CrossRef]
- Szabó, R.; Rácz, C.P.; Dulf, F.V. Bioavailability improvement strategies for icariin and its derivates: A review. Int. J. Mol. Sci. 2022, 23, 7519. [Google Scholar] [CrossRef]
- Wang, S.; Ma, J.; Zeng, Y.; Zhou, G.; Wang, Y.; Zhou, W.; Sun, X.; Wu, M. Icariin, an up-and-coming bioactive compound against neurological diseases: Network pharmacology-based study and literature review. Drug Des. Devel Ther. 2021, 15, 3619–3641. [Google Scholar] [CrossRef]
- Song, L.; Chen, X.; Mi, L.; Liu, C.; Zhu, S.; Yang, T.; Luo, X.; Zhang, Q.; Lu, H.; Liang, X. Icariin-induced inhibition of SIRT6/NF-κB triggers redox mediated apoptosis and enhances anti-tumor immunity in triple-negative breast cancer. Cancer Sci. 2020, 111, 4242–4256. [Google Scholar] [CrossRef]
- Zeng, Y.; Xiong, Y.; Yang, T.; Wang, Y.; Zeng, J.; Zhou, S.; Luo, Y.; Li, L. Icariin and its metabolites as potential protective phytochemicals against cardiovascular disease: From effects to molecular mechanisms. Biomed. Pharmacother. 2022, 147, 112642. [Google Scholar] [CrossRef]
- Si, Y.; Li, Y.; Gu, K.; Yin, H.; Ma, Y. Icariin ameliorates osteoporosis in ovariectomized rats by targeting Cullin 3/Nrf2/OH pathway for osteoclast inhibition. Biomed. Pharmacother. 2024, 173, 116422. [Google Scholar] [CrossRef]
- Hua, W.; Zhang, Y.; Wu, X.; Kang, L.; Tu, J.; Zhao, K.; Li, S.; Wang, K.; Song, Y.; Luo, R.; et al. Icariin attenuates interleukin-1β-induced inflammatory response in human nucleus pulposus cells. Curr. Pharm. Des. 2018, 23, 6071–6078. [Google Scholar] [CrossRef]
- Hua, W.; Li, S.; Luo, R.; Wu, X.; Zhang, Y.; Liao, Z.; Song, Y.; Wang, K.; Zhao, K.; Yang, S.; et al. Icariin protects human nucleus pulposus cells from hydrogen peroxide-induced mitochondria-mediated apoptosis by activating nuclear factor erythroid 2-related factor 2. BBA-Mol. Basis Dis. 2020, 1866, 165575, Erratum in BBA-Mol. Basis Dis. 2020, 1866, 165718. [Google Scholar] [CrossRef]
- Shao, Y.; Sun, L.; Yang, G.; Wang, W.; Liu, X.; Du, T.; Chen, F.; Jing, X.; Cui, X. Icariin protects vertebral endplate chondrocytes against apoptosis and degeneration via activating Nrf-2/HO-1 pathway. Front. Pharmacol. 2022, 13, 937502. [Google Scholar] [CrossRef]
- Kashyap, D.; Garg, V.K.; Tuli, H.S.; Yerer, M.B.; Sak, K.; Sharma, A.K.; Kumar, M.; Aggarwal, V.; Sandhu, S.S. Fisetin and quercetin: Promising flavonoids with chemopreventive potential. Biomolecules 2019, 9, 174. [Google Scholar] [CrossRef]
- Wang, B.; Yang, L.-N.; Yang, L.-T.; Liang, Y.; Guo, F.; Fu, P.; Ma, L. Fisetin ameliorates fibrotic kidney disease in mice via inhibiting ACSL4-mediated tubular ferroptosis. ACTA Pharmacol. SIN 2024, 45, 150–165. [Google Scholar] [CrossRef]
- Zhou, C.; Huang, Y.; Nie, S.; Zhou, S.; Gao, X.; Chen, G. Biological effects and mechanisms of fisetin in cancer: A promising anti-cancer agent. Eur. J. Med. Res. 2023, 28, 297. [Google Scholar] [CrossRef]
- Zhou, Q.; Zhu, C.; Xuan, A.; Zhang, J.; Zhu, Z.; Tang, L.; Ruan, D. Fisetin regulates the biological effects of rat nucleus pulposus mesenchymal stem cells under oxidative stress by sirtuin-1 pathway. Immun. Inflamm. Dis. 2023, 11, e865. [Google Scholar] [CrossRef]
- Wu, C.; Yan, J.; Li, W. Acacetin as a potential protective compound against cardiovascular diseases. Evid-Based Compl Alt. 2022, 2022, 6265198. [Google Scholar] [CrossRef]
- Zhang, G.; Dong, J.; Lu, L.; Liu, Y.; Hu, D.; Wu, Y.; Zhao, A.; Xu, H. Acacetin exerts antitumor effects on gastric cancer by targeting EGFR. Front. Pharmacol. 2023, 14, 1121643. [Google Scholar] [CrossRef]
- Bu, J.; Mahan, Y.; Zhang, S.; Wu, X.; Zhang, X.; Zhou, L.; Zhang, Y. Acacetin inhibits inflammation by blocking MAPK/NF-κB pathways and NLRP3 inflammasome activation. Front. Pharmacol. 2024, 15, 1286546. [Google Scholar] [CrossRef]
- Mu, J.; Chen, H.; Ye, M.; Zhang, X.; Ma, H. Acacetin resists UVA photoaging by mediating the SIRT3/ROS/MAPKs pathway. J. Cell Mol. Med. 2022, 26, 4624–4628. [Google Scholar] [CrossRef]
- Liou, C.-J.; Wu, S.-J.; Shen, S.-C.; Chen, L.-C.; Chen, Y.-L.; Huang, W.-C. Acacetin protects against non-alcoholic fatty liver disease by regulating lipid accumulation and inflammation in mice. Int. J. Mol. Sci. 2022, 23, 4687. [Google Scholar] [CrossRef]
- Li, S.; Lv, Q.; Sun, X.; Tang, T.; Deng, X.; Yin, Y.; Li, L. Acacetin inhibits Streptococcus pneumoniae virulence by targeting pneumolysin. J. Pharm. Pharmacol. 2020, 72, 1092–1100. [Google Scholar] [CrossRef]
- Wang, H.; Jiang, Z.; Pang, Z.; Zhou, T.; Gu, Y. Acacetin alleviates inflammation and matrix degradation in nucleus pulposus cells and ameliorates intervertebral disc degeneration in vivo. Drug Des. Devel Ther. 2020, 14, 4801–4813. [Google Scholar] [CrossRef]
- Pan, C.; Hou, W.; Deng, X.; Liu, J.; Chi, R.; Shang, X.; Xu, T.; Hao, X. The pivotal role of Nrf2 signal Axis in intervertebral disc degeneration. J. Inflamm. Res. 2023, 16, 5819–5833. [Google Scholar] [CrossRef]
- Fahmy, M.I.; Sadek, M.A.; Abdou, K.; El-Dessouki, A.M.; El-Shiekh, R.A.; Khalaf, S.S. Orientin: A comprehensive review of a promising bioactive flavonoid. Inflammopharmacology 2025, 33, 1713–1728. [Google Scholar] [CrossRef]
- Zhou, Y.; Chen, Z.; Yang, X.; Cao, X.; Liang, Z.; Ma, H.; Zhao, J. Morin attenuates pyroptosis of nucleus pulposus cells and ameliorates intervertebral disc degeneration via inhibition of the TXNIP/NLRP3/Caspase-1/IL-1β signaling pathway. Biochem. Biophys. Res. Commun. 2021, 559, 106–112. [Google Scholar] [CrossRef]
- Zhao, W.; Li, Y.; Cheng, X.; Wei, H.; Li, P.; Fan, L.; Liu, K.; Zhang, S.; Wang, H. The antioxidant Glycitin protects against intervertebral disc degeneration through antagonizing inflammation and oxidative stress in nucleus pulposus cells. Aging 2023, 15, 13693–13709. [Google Scholar] [CrossRef]
- Huang, Y.; Sun, J.; Li, S.; Shi, Y.; Yu, L.; Wu, A.; Wang, X. Isoliquiritigenin mitigates intervertebral disc degeneration induced by oxidative stress and mitochondrial impairment through a PPARγ-dependent pathway. Free Radic. Biol. Med. 2024, 225, 98–111. [Google Scholar] [CrossRef]
- Mao, T.; Fan, J. Myricetin Restores Autophagy to Attenuate Lumbar Intervertebral Disk Degeneration Via Negative Regulation of the JAK2/STAT3 Pathway. Biochem Genet 2025, 63, 2743–2759. [Google Scholar] [CrossRef]
- Hua, W.; Xie, L.; Dong, C.; Yang, G.; Chi, S.; Xu, Z.; Yang, C.; Wang, H.; Wu, X. Procyanidin C1 ameliorates acidic pH stress induced nucleus pulposus degeneration through SIRT3/FOXO3-mediated mitochondrial dynamics. J. Transl. Med. 2024, 22, 1071. [Google Scholar] [CrossRef]
- Krupkova, O.; Sekiguchi, M.; Klasen, J.; Hausmann, O.; Konno, S.; Ferguson, S.; Wuertz-Kozak, K. Epigallocatechin 3-gallate suppresses interleukin-1β-induced inflammatory responses in intervertebral disc cells in vitro and reduces radiculopathic pain in rats. Eur. Cell Mater. 2014, 28, 372–386. [Google Scholar] [CrossRef]
- Tian, Y.; Bao, Z.; Ji, Y.; Mei, X.; Yang, H. Epigallocatechin-3-Gallate Protects H2O2-Induced Nucleus Pulposus Cell Apoptosis and Inflammation by Inhibiting cGAS/Sting/NLRP3 Activation. Drug Des. Devel Ther. 2020, 14, 2113–2122. [Google Scholar] [CrossRef]
- Krupkova, O.; Handa, J.; Hlavna, M.; Klasen, J.; Ospelt, C.; Ferguson, S.J.; Wuertz-Kozak, K. The Natural Polyphenol Epigallocatechin Gallate Protects Intervertebral Disc Cells from Oxidative Stress. Oxid. Med. Cell Longev. 2016, 2016, 7031397. [Google Scholar] [CrossRef]
- Ishimoto, H.; Shibata, M.; Myojin, Y.; Ito, H.; Sugimoto, Y.; Tai, A.; Hatano, T. In vivo anti-inflammatory and antioxidant properties of ellagitannin metabolite urolithin A. Bioorg. Med. Chem. Lett. 2011, 21, 5901–5904. [Google Scholar] [CrossRef]
- Gimenez-Bastida, J.; Gonzalez-Sarrias, A.; Larrosa, M.; Tomas-Barberan, F.; Espin, J.C.; Garcia-Conesa, M.T. Ellagitannin metabolites, urolithin A glucuronide and its aglycone urolithin A, ameliorate TNF-alpha-induced inflammation and associated molecular markers in human aortic endothelial cells. Mol. Nutr. Food Res. 2012, 56, 784–796. [Google Scholar] [CrossRef]
- Liu, H.; Kang, H.; Song, C.; Lei, Z.; Li, L.; Guo, J.; Xu, Y.; Guan, H.; Fang, Z.; Li, F. Urolithin A Inhibits the Catabolic Effect of TNFalpha on Nucleus Pulposus Cell and Alleviates Intervertebral Disc Degeneration in vivo. Front. Pharmacol. 2018, 9, 1043. [Google Scholar] [CrossRef]
- Li, K.; Li, Y.; Xu, B.; Mao, L.; Zhao, J. Sesamin inhibits lipopolysaccharide-induced inflammation and extracellular matrix catabolism in rat intervertebral disc. Connect. Tissue Res. 2016, 57, 347–359. [Google Scholar] [CrossRef]
- Li, K.; Lv, C. Intradiscal injection of sesamin protects from lesion-induced degeneration. Connect. Tissue Res. 2020, 61, 594–603. [Google Scholar] [CrossRef]
- Wu, L.; Wang, Z.; Wu, Z.; Wu, Y. Therapeutic targeting of Nrf2/HO-1/NF-κB signaling axis with casticin mitigates intervertebral disc degeneration: In vitro and in vivo investigations. Vitr. Cell. Dev. Biol. Anim. 2025, 1–17. [Google Scholar] [CrossRef]
- Aghababaei, F.; Hadidi, M. Recent Advances in Potential Health Benefits of Quercetin. Pharmaceuticals 2023, 16, 1020. [Google Scholar] [CrossRef]
- Silwal, P.; Nguyen-Thai, A.M.; Mohammad, H.A.; Wang, Y.; Robbins, P.D.; Lee, J.Y.; Vo, N.V. Cellular Senescence in Intervertebral Disc Aging and Degeneration: Molecular Mechanisms and Potential Therapeutic Opportunities. Biomolecules 2023, 13, 686. [Google Scholar] [CrossRef]
- Kim, K.; Chung, H.N.; Ha, K.Y.; Lee, J.S.; Kim, Y.Y. Senescence mechanisms of nucleus pulposus chondrocytes in human intervertebral discs. Spine J. 2009, 9, 658–666. [Google Scholar] [CrossRef]
- Kim, K.-W.; Ha, K.-Y.; Lee, J.-S.; Na, K.-H.; Kim, Y.-Y.; Woo, Y.-K. Senescence of nucleus pulposus chondrocytes in human intervertebral discs. Asian Spine J. 2008, 2, 1–8. [Google Scholar] [CrossRef]
- Roberts, S.; Evans, E.H.; Kletsas, D.; Jaffray, D.C.; Eisenstein, S.M. Senescence in human intervertebral discs. Eur. Spine J. 2006, 15, S312–S316. [Google Scholar] [CrossRef]
- Fang, J.; Zhang, Y. Icariin, an Anti-atherosclerotic Drug from Chinese Medicinal Herb Horny Goat Weed. Front. Pharmacol. 2017, 8, 734. [Google Scholar] [CrossRef]
- Stockwell, B.R.; Angeli, J.P.F.; Bayir, H.; Bush, A.I.; Conrad, M.; Dixon, S.J.; Fulda, S.; Gascón, S.; Hatzios, S.K.; Kagan, V.E.; et al. Ferroptosis: A Regulated Cell Death Nexus Linking Metabolism, Redox Biology, and Disease. Cell 2017, 171, 273–285. [Google Scholar] [CrossRef]
- Câmara, J.S.; Perestrelo, R.; Ferreira, R.; Berenguer, C.V.; Pereira, J.A.M.; Castilho, P.C. Plant-Derived Terpenoids: A Plethora of Bioactive Compounds with Several Health Functions and Industrial Applications—A Comprehensive Overview. Molecules 2024, 29, 3861. [Google Scholar] [CrossRef]
- Zou, K.; Ying, J.; Xu, H.; Zeng, Q.; Huang, H.; Chen, W.; Li, X.; Wang, P.; Jin, H.; Li, J.; et al. Aucubin Alleviates Intervertebral Disc Degeneration by Repressing NF-κB-NLRP3 Inflammasome Activation in Endplate Chondrocytes. J. Inflamm. Res. 2023, 16, 5899–5913. [Google Scholar] [CrossRef]
- Zeng, X.; Guo, F.; Ouyang, D. A review of the pharmacology and toxicology of aucubin. Fitoterapia 2020, 140, 104443. [Google Scholar] [CrossRef]
- Li, B.; Lei, S.; Xiong, S.; Chen, S.; Zhang, Z. Pharmacokinetics and Pharmacodynamics of Morroniside: A Review. Nat. Prod. Commun. 2019, 14, 1934578X19856526. [Google Scholar] [CrossRef]
- Zhou, C.; Yao, S.; Fu, F.; Bian, Y.; Zhang, Z.; Zhang, H.; Luo, H.; Ge, Y.; Chen, Y.; Ji, W.; et al. Morroniside attenuates nucleus pulposus cell senescence to alleviate intervertebral disc degeneration via inhibiting ROS-Hippo-p53 pathway. Front. Pharmacol. 2022, 13, 942435. [Google Scholar] [CrossRef]
- Venkatesha, S.H.; Moudgil, K.D. Celastrol and Its Role in Controlling Chronic Diseases. Adv. Exp. Med. Biol. 2016, 928, 267–289. [Google Scholar] [CrossRef]
- Li, D.; Li, C.; Li, L.; Chen, S.; Wang, L.; Li, Q.; Wang, X.; Lei, X.; Shen, Z. Natural Product Kongensin A is a Non-Canonical HSP90 Inhibitor that Blocks RIP3-dependent Necroptosis. Cell Chem. Biol. 2016, 23, 257–266. [Google Scholar] [CrossRef]
- Moriwaki, K.; Chan, F.K.-M. RIP3: A molecular switch for necrosis and inflammation. Genes. Dev. 2013, 27, 1640–1649. [Google Scholar] [CrossRef]
- Chen, J.; Xuan, J.; Gu, Y.-T.; Shi, K.-S.; Xie, J.-J.; Chen, J.-X.; Zheng, Z.-M.; Chen, Y.; Chen, X.-B.; Wu, Y.-S.; et al. Celastrol reduces IL-1β induced matrix catabolism, oxidative stress and inflammation in human nucleus pulposus cells and attenuates rat intervertebral disc degeneration in vivo. Biomed. Pharmacother. 2017, 91, 208–219, Erratum in Biomed. Pharmacother. 2024, 181, 117631. [Google Scholar] [CrossRef]
- Shen, N.; Wang, T.; Gan, Q.; Liu, S.; Wang, L.; Jin, B. Plant flavonoids: Classification, distribution, biosynthesis, and antioxidant activity. Food Chem. 2022, 383, 132531. [Google Scholar] [CrossRef]
- Ma, T.; Guo, C.-J.; Zhao, X.; Wu, L.; Sun, S.-X.; Jin, Q.-H. The effect of curcumin on NF-κB expression in rat with lumbar intervertebral disc degeneration. Eur. Rev. Med. Pharmacol. Sci. 2015, 19, 1305–1314. [Google Scholar]
- Klawitter, M.; Quero, L.; Klasen, J.; Gloess, A.N.; Klopprogge, B.; Hausmann, O.; Boos, N.; Wuertz, K. Curcuma DMSO extracts and curcumin exhibit an anti-inflammatory and anti-catabolic effect on human intervertebral disc cells, possibly by influencing TLR2 expression and JNK activity. J. Inflamm. 2012, 9, 29. [Google Scholar] [CrossRef]
- Wan, C.; Liu, S.; Zhao, L.; Chang, C.; Li, H.; Li, R.; Chen, B. Curcumin protects rat endplate chondrocytes against IL-1β-induced apoptosis via Bcl-2/Bax regulation. J. Mol. Histol. 2025, 56, 111. [Google Scholar] [CrossRef]
- Mao, T.; Fan, J. Myricetin Protects Against Rat Intervertebral Disc Degeneration Partly Through the Nrf2/HO-1/NF-κB Signaling Pathway. Biochem. Genet. 2024, 62, 950–967. [Google Scholar] [CrossRef]
- Zhang, B.; He, Z.; Guo, J.; Li, F.; Huang, Z.; Zheng, W.; Xing, W.; Li, M.; Zhu, Y.; Yang, X. Sesamin-mediated high expression of BECN2 ameliorates cartilage endplate degeneration by reducing autophagy and inflammation. Aging 2024, 16, 1145–1160. [Google Scholar] [CrossRef]
- Mokra, D.; Joskova, M.; Mokry, J. Therapeutic Effects of Green Tea Polyphenol (−)-Epigallocatechin-3-Gallate (EGCG) in Relation to Molecular Pathways Controlling Inflammation, Oxidative Stress, and Apoptosis. Int. J. Mol. Sci. 2022, 24, 340. [Google Scholar] [CrossRef]
- Du, G.-J.; Zhang, Z.; Wen, X.-D.; Yu, C.; Calway, T.; Yuan, C.-S.; Wang, C.-Z. Epigallocatechin Gallate (EGCG) is the most effective cancer chemopreventive polyphenol in green tea. Nutrients 2012, 4, 1679–1691. [Google Scholar] [CrossRef]
- Capasso, L.; De Masi, L.; Sirignano, C.; Maresca, V.; Basile, A.; Nebbioso, A.; Rigano, D.; Bontempo, P. Epigallocatechin Gallate (EGCG): Pharmacological Properties, Biological Activities and Therapeutic Potential. Molecules 2025, 30, 654. [Google Scholar] [CrossRef]
- Liu, J.; Zhou, J.; Luan, Y.; Li, X.; Meng, X.; Liao, W.; Tang, J.; Wang, Z. cGAS-STING, inflammasomes and pyroptosis: An overview of crosstalk mechanism of activation and regulation. Cell Commun. Signal. 2024, 22, 22. [Google Scholar] [CrossRef]
- de Morais Junior, A.; Junior, A.C.d.M.; Schincaglia, R.M.; Passarelli, M.; Pimentel, G.D.; Mota, J.F. Acute Epigallocatechin-3-Gallate Supplementation Alters Postprandial Lipids after a Fast-Food Meal in Healthy Young Women: A Randomized, Double-Blind, Placebo-Controlled Crossover Study. Nutrients 2020, 12, 2533. [Google Scholar] [CrossRef]
- Choi, E.; Rha, C.S.; Balusamy, S.R.; Kim, D.O.; Shim, S.M. Impact of Bioconversion of Gallated Catechins and Flavonol Glycosides on Bioaccessibility and Intestinal Cellular Uptake of Catechins. J. Agric. Food Chem. 2019, 67, 2331–2339. [Google Scholar] [CrossRef]
- Chen, H.; Sang, S. Biotransformation of tea polyphenols by gutmicrobiota. J. Funct. Foods 2014, 7, 26–42. [Google Scholar] [CrossRef]
- Guo, T.; Song, D.; Cheng, L.; Zhang, X. Interactions of tea catechins with intestinal microbiota and their implication for human health. Food Sci. Biotechnol. 2019, 28, 1617–1625. [Google Scholar] [CrossRef]
- Su, Y.; Hu, K.; Li, D.; Guo, H.; Sun, L.; Xie, Z. Microbial-Transferred Metabolites and Improvement of Biological Activities of Green Tea Catechins by Human Gut Microbiota. Foods 2024, 13, 792. [Google Scholar] [CrossRef]
- Xie, H.-F.; Kong, Y.-S.; Li, R.-Z.; Nothias, L.-F.; Melnik, A.V.; Zhang, H.; Liu, L.-L.; An, T.-T.; Liu, R.; Yang, Z.; et al. Feature-Based Molecular Networking Analysis of the Metabolites Produced by In Vitro Solid-State Fermentation Reveals Pathways for the Bioconversion of Epigallocatechin Gallate. J. Agric. Food Chem. 2020, 68, 7995–8007. [Google Scholar] [CrossRef]
- García-Villalba, R.; Giménez-Bastida, J.A.; Cortés-Martín, A.; Ávila-Gálvez, M.Á.; Tomás-Barberán, F.A.; Selma, M.V.; Espín, J.C.; González-Sarrías, A. Urolithins: A Comprehensive Update on their Metabolism, Bioactivity, and Associated Gut Microbiota. Mol. Nutr. Food Res. 2022, 66, e2101019. [Google Scholar] [CrossRef]
- Kohri, T.; Matsumoto, N.; Yamakawa, M.; Suzuki, M.; Nanjo, F.; Hara, Y.; Oku, N. Metabolic fate of (-)-[4-3H]epigallocatechin gallate in rats after oral administration. J. Agric. Food Chem. 2001, 49, 4102–4112. [Google Scholar] [CrossRef]
- Huo, Y.; Yang, D.; Lai, K.; Tu, J.; Zhu, Y.; Ding, W.; Yang, S. Antioxidant Effects of Resveratrol in Intervertebral Disk. J. Invest. Surg. 2022, 35, 1135–1144. [Google Scholar] [CrossRef]
- Li, X.; Phillips, F.M.; An, H.S.; Ellman, M.; Thonar, E.J.; Wu, W.; Park, D.; Im, H.-J. The action of resveratrol, a phytoestrogen found in grapes, on the intervertebral disc. Spine 2008, 33, 2586–2595. [Google Scholar] [CrossRef]
- Kwon, Y. Resveratrol has anabolic effects on disc degeneration in a rabbit model. J. Korean Med. Sci. 2013, 28, 939–945. [Google Scholar] [CrossRef]
- Liu, M.; Zhang, L.; Zang, W.; Zhang, K.; Li, H.; Gao, Y. Pharmacological Effects of Resveratrol in Intervertebral Disc Degeneration: A Literature Review. Orthop. Surg. 2022, 14, 3141–3149. [Google Scholar] [CrossRef]
- Horbowicz, M.; Kosson, R.; Grzesiuk, A.; Dębski, H. Anthocyanins of fruits and vegetables-their occurrence, analysis and role in human nutrition. Veg. Crops Res. Bull. 2008, 68, 5–22. [Google Scholar] [CrossRef]
- Wu, X.; Beecher, G.R.; Holden, J.M.; Haytowitz, D.B.; Gebhardt, S.E.; Prior, R.L. Concentrations of Anthocyanins in Common Foods in the United States and Estimation of Normal Consumption. J. Agric. Food Chem. 2006, 54, 4069–4075. [Google Scholar] [CrossRef]
- Vitaglione, P.; Donnarumma, G.; Napolitano, A.; Galvano, F.; Gallo, A.; Scalfi, L.; Fogliano, V. Protocatechuic acid is the major human metabolite of cyanidin-glucosides. J. Nutr. 2007, 137, 2043–2048. [Google Scholar] [CrossRef]
- Fang, J. Bioavailability of anthocyanins. Drug Metab. Rev. 2014, 46, 508–520. [Google Scholar] [CrossRef]
- Plotnikov, M.B.; Plotnikova, T.M. Tyrosol as a Neuroprotector: Strong Effects of a “Weak” Antioxidant. Curr. Neuropharmacol. 2021, 19, 434–448. [Google Scholar] [CrossRef]
- Marković, A.K.; Torić, J.; Barbarić, M.; Brala, C.J. Hydroxytyrosol, Tyrosol and Derivatives and Their Potential Effects on Human Health. Molecules 2019, 24, 2001. [Google Scholar] [CrossRef]
- Mohd Yusof, Y. Gingerol and Its Role in Chronic Diseases. Adv. Exp. Med. Biol. 2016, 929, 177–207. [Google Scholar] [CrossRef]
- Xi, H.; Weng, Y.; Zheng, Y.; Wu, L.; Han, D. Diacetoxy-6-gingerdiol protects the extracellular matrix of nucleus pulposus cells and ameliorates intervertebral disc degeneration by inhibiting the IL-1β-mediated NLRP3 pathway. Heliyon 2024, 10, e37877. [Google Scholar] [CrossRef]
- Jiang, X.; Li, S.; Wang, N.; Li, J. Ligustrazine as a multitarget scaffold in drug design and discovery. Bioorg. Med. Chem. 2025, 121, 118110. [Google Scholar] [CrossRef]
- Zou, J.; Gao, P.; Hao, X.; Xu, H.; Zhan, P.; Liu, X. Recent progress in the structural modification and pharmacological activities of ligustrazine derivatives. Eur. J. Med. Chem. 2018, 147, 150–162. [Google Scholar] [CrossRef]
- Liu, S.; Cheng, Y.; Tan, Y.; Dong, J.; Bian, Q. Ligustrazine Prevents Intervertebral Disc Degeneration via Suppression of Aberrant TGFβ Activation in Nucleus Pulposus Cells. Biomed. Res. Int. 2019, 2019, 5601734. [Google Scholar] [CrossRef]
- Liu, S.; Zhao, B.; Shi, H.; Liang, Q.; Fu, Y.; Yang, Z.; Xu, L.; Wang, Y.; Bian, Q. Ligustrazine Inhibits Cartilage Endplate Hypertrophy via Suppression of TGF-β1. Evid. Based Complement. Altern. Med. 2016, 2016, 1042489. [Google Scholar] [CrossRef]
- Wang, K.; Yin, J.; Chen, J.; Ma, J.; Si, H.; Xia, D. Inhibition of inflammation by berberine: Molecular mechanism and network pharmacology analysis. Phytomedicine 2024, 128, 155258. [Google Scholar] [CrossRef]
- Wang, K.; Feng, X.; Chai, L.; Cao, S.; Qiu, F. The metabolism of berberine and its contribution to the pharmacological effects. Drug Metab. Rev. 2017, 49, 139–157. [Google Scholar] [CrossRef]
- Feng, X.; Sureda, A.; Jafari, S.; Memariani, Z.; Tewari, D.; Annunziata, G.; Barrea, L.; Hassan, S.T.S.; Šmejkal, K.; Malaník, M.; et al. Berberine in Cardiovascular and Metabolic Diseases: From Mechanisms to Therapeutics. Theranostics 2019, 9, 1923–1951. [Google Scholar] [CrossRef]
- Gasmi, A.; Asghar, F.; Zafar, S.; Oliinyk, P.; Khavrona, O.; Lysiuk, R.; Peana, M.; Piscopo, S.; Antonyak, H.; Pen, J.J.; et al. Berberine: Pharmacological Features in Health, Disease and Aging. Curr. Med. Chem. 2024, 31, 1214–1234. [Google Scholar] [CrossRef]
- Cicero, A.; Baggioni, A. Berberine and Its Role in Chronic Disease. Adv. Exp. Med. Biol. 2016, 928, 27–45. [Google Scholar] [CrossRef]
- Luo, R.; Liao, Z.; Song, Y.; Yin, H.; Zhan, S.; Li, G.; Ma, L.; Lu, S.; Wang, K.; Li, S.; et al. Berberine ameliorates oxidative stress-induced apoptosis by modulating ER stress and autophagy in human nucleus pulposus cells. Life Sci. 2019, 228, 85–97. [Google Scholar] [CrossRef]
- Lu, L.; Hu, J.; Wu, Q.; An, Y.; Cui, W.; Wang, J.; Ye, Z. Berberine prevents human nucleus pulposus cells from IL-1β induced extracellular matrix degradation and apoptosis by inhibiting the NFκB pathway. Int. J. Mol. Med. 2019, 43, 1679–1686. [Google Scholar] [CrossRef]
- Jiang, S.; Li, S.; Pang, S.; Liu, M.; Sun, H.; Zhang, N.; Liu, J. A systematic review: Sinomenine. Heliyon 2024, 10, e29976. [Google Scholar] [CrossRef]
- Jiang, W.; Fan, W.; Gao, T.; Li, T.; Yin, Z.; Guo, H.; Wang, L.; Han, Y.; Jiang, J.-D. Analgesic Mechanism of Sinomenine against Chronic Pain. Pain Res. Manag. 2020, 2020, 1876862. [Google Scholar] [CrossRef]
- Gao, Z.; Lin, Y.; Zhang, P.; Cheng, Q.; Ye, L.; Wu, F.; Chen, Y.; Fu, M.; Cheng, C.; Gao, Y. Sinomenine ameliorates intervertebral disc degeneration via inhibition of apoptosis and autophagy in vitro and in vivo. Am. J. Transl. Res. 2019, 11, 5956–5966. [Google Scholar]
- Zhang, N.; Lian, Z.; Peng, X.; Li, Z.; Zhu, H. Applications of Higenamine in pharmacology and medicine. J. Ethnopharmacol. 2017, 196, 242–252. [Google Scholar] [CrossRef]
- Bai, X.; Ding, W.; Yang, S.; Guo, X. Higenamine inhibits IL-1β-induced inflammation in human nucleus pulposus cells. Biosci Rep. 2019, 39, BSR20190857. [Google Scholar] [CrossRef]
- Ju, Y.; Wang, C.-M.; Yu, J.-J.; Li, X.; Qi, M.-X.; Ren, J.; Wang, Y.; Liu, P.; Zhou, Y.; Ma, Y.-X.; et al. Higenamine inhibits acute and chronic inflammatory pain through modulation of TRPV4 channels. Eur. J. Pharmacol. 2024, 964, 176295. [Google Scholar] [CrossRef] [PubMed]
- Liu, W.; Zhao, Q.; Li, D.; Li, Y.; Jiang, X. Evodiamine: A Privileged Structure with Broad-ranging Biological Activities. Mini Rev. Med. Chem. 2022, 22, 2680–2701. [Google Scholar] [CrossRef] [PubMed]
- Long, J.; Song, J.; Zhong, L.; Liao, Y.; Liu, L.; Li, X. Palmatine: A review of its pharmacology, toxicity and pharmacokinetics. Biochimie 2019, 162, 176–184. [Google Scholar] [CrossRef]
- Napolitano, G.; Ballabio, A. TFEB at a glance. J. Cell Sci. 2016, 129, 2475–2481. [Google Scholar] [CrossRef]
- Yu, H.; Chen, K.; Li, X.; Liang, J.; Jin, Y.; Bao, Y.; Chen, H.; Gou, Y.; Lu, K.; Wu, L.; et al. Palmatine activation of TFEB enhances autophagy and alleviates endoplasmic reticulum stress in intervertebral disc degeneration. Phytomedicine 2025, 139, 156431. [Google Scholar] [CrossRef]
- Chen, M.; Dai, Y.; Liu, S.; Fan, Y.; Ding, Z.; Li, D. TFEB Biology and Agonists at a Glance. Cells 2021, 10, 333. [Google Scholar] [CrossRef]
- Shi, Z.; Zeng, J.; Wong, A. Chemical structures and pharmacological profiles of ginseng saponins. Molecules 2019, 24, 2443. [Google Scholar] [CrossRef]
- Metwaly, A.M.; Lianlian, Z.; Luqi, H.; Deqiang, D. Black ginseng and its saponins: Preparation, phytochemistry and pharmacological effects. Molecules 2019, 24, 1856. [Google Scholar] [CrossRef]
- Yu, L.; Hao, Y.; Peng, C.; Zhang, P.; Zhu, J.; Cai, Y.; Zhu, G. Effect of Ginsenoside Rg1 on the intervertebral disc degeneration rats and the degenerative pulposus cells and its mechanism. Biomed. Pharmacother. 2020, 123, 109738. [Google Scholar] [CrossRef]
- Yang, Y.-H.; Gu, X.-P.; Hu, H.; Hu, B.; Wan, X.-L.; Gu, Z.-P.; Zhong, S.-J. Ginsenoside Rg1 inhibits nucleus pulposus cell apoptosis, inflammation and extracellular matrix degradation via the YAP1/TAZ pathway in rats with intervertebral disc degeneration. J. Orthop. Surg. Res. 2022, 17, 555. [Google Scholar] [CrossRef]
- Yu, L.; Hao, Y.-J.; Ren, Z.-N.; Zhu, G.-D.; Zhou, W.-W.; Lian, X.; Wu, X.-J. Ginsenoside Rg1 relieves rat intervertebral disc degeneration and inhibits IL-1β-induced nucleus pulposus cell apoptosis and inflammation via NF-κB signaling pathway. Vitr. Cell. Dev. Biol. Anim. 2024, 60, 287–299. [Google Scholar] [CrossRef]
- Chen, J.; Zhang, B.; Wu, L.; Xu, J. Ginsenoside Rg3 exhibits anti-catabolic and anti-apoptotic effects in IL-1β treated human disc nucleus pulposus cells and in a rat model of disc degeneration by inactivating the MAPK pathway. Cell Mol. Biol. 2024, 70, 233–238. [Google Scholar] [CrossRef]
- Tang, K.; Su, W.; Huang, C.; Wu, Y.; Wu, X.; Lu, H. Notoginsenoside R1 suppresses inflammatory response and the pyroptosis of nucleus pulposus cells via inactivating NF-κB/NLRP3 pathways. Int. Immunopharmacol. 2021, 101, 107866. [Google Scholar] [CrossRef] [PubMed]
- Guo, S.; Xi, X.; Li, J. Notoginsenoside R1: A systematic review of its pharmacological properties. Die Pharm. Int. J. Pharm. Sci. 2019, 74, 641–647. [Google Scholar] [CrossRef]
- Chen, D.; Fan, T.; Sun, K.; Rao, W.; Sheng, X.; Wan, Z.; Shu, B.; Chen, L. Network pharmacology and experimental validation to reveal the pharmacological mechanisms of Astragaloside IV in treating intervertebral disc degeneration. Eur. J. Pharmacol. 2024, 982, 176951. [Google Scholar] [CrossRef]
- Jin, M.; Zhang, J.; Sun, Y.; Liu, G.; Wei, X. ANXA5: Related mechanisms of osteogenesis and additional biological functions. Front. Cell Dev. Biol. 2025, 13, 1553683. [Google Scholar] [CrossRef] [PubMed]
- Bandopadhyay, S.; Anand, U.; Gadekar, V.S.; Jha, N.K.; Gupta, P.K.; Behl, T.; Kumar, M.; Radha; Shekhawat, M.S.; Dey, A. Dioscin: A review on pharmacological properties and therapeutic values. Biofactors 2022, 48, 22–55. [Google Scholar] [CrossRef]
- Heydari, M.; Zare, M.; Badie, M.R.; Watson, R.R.; Talebnejad, M.R.; Afarid, M. Crocin as a vision supplement. Clin. Exp. Optom. 2023, 106, 249–256. [Google Scholar] [CrossRef]
- Pourmousavi, L.; Asadi, R.H.; Zehsaz, F.; Jadidi, R.P. Potential therapeutic effects of crocin. Naunyn-Schmiedeberg Arch. Pharmacol. 2024, 397, 7395–7420. [Google Scholar] [CrossRef]
- Chen, J.; Liu, G.-Z.; Sun, Q.; Zhang, F.; Liu, C.-Y.; Yuan, L.; Zhao, X.-Q.; Wang, Y.-J.; Jia, Y.-S. Protective effects of ginsenoside Rg3 on TNF-α-induced human nucleus pulposus cells through inhibiting NF-κB signaling pathway. Life Sci. 2019, 216, 1–9. [Google Scholar] [CrossRef]
- Tian, Y.; Chu, X.; Huang, Q.; Guo, X.; Xue, Y.; Deng, W. Astragaloside IV attenuates IL-1β-induced intervertebral disc degeneration through inhibition of the NF-κB pathway. J. Orthop. Surg. Res. 2022, 17, 545. [Google Scholar] [CrossRef]
- Hong, H.; Xiao, J.; Guo, Q.; Du, J.; Jiang, Z.; Lu, S.; Zhang, H.; Zhang, X.; Wang, X. Cycloastragenol and Astragaloside IV activate telomerase and protect nucleus pulposus cells against high glucose-induced senescence and apoptosis. Exp. Ther. Med. 2021, 22, 1326. [Google Scholar] [CrossRef] [PubMed]
- Yao, D.; Li, M.; Wang, K.; Jin, S.; Zeng, W.; Liao, Z.; Chen, E.; Liang, Y.; Xing, T.; Wen, G.; et al. Emodin ameliorates matrix degradation and apoptosis in nucleus pulposus cells and attenuates intervertebral disc degeneration through LRP1 in vitro and in vivo. Exp. Cell Res. 2023, 432, 113794. [Google Scholar] [CrossRef] [PubMed]
- Zhu, X.; Guo, S.; Zhang, M.; Bai, X. Emodin protects against apoptosis and inflammation by regulating reactive oxygen species-mediated NF-κB signaling in interleukin-1β-stimulated human nucleus pulposus cells. Hum. Exp. Toxicol. 2023, 42, 9603271221138552. [Google Scholar] [CrossRef] [PubMed]
- Li, H.; Liang, C.; Chen, Q.; Yang, Z. Rhein: A potential biological therapeutic drug for intervertebral disc degeneration. Med. Hypotheses 2011, 77, 1105–1107. [Google Scholar] [CrossRef]
- Sun, H.; Luo, G.; Chen, D.; Xiang, Z. A Comprehensive and System Review for the Pharmacological Mechanism of Action of Rhein, an Active Anthraquinone Ingredient. Front. Pharmacol. 2016, 7, 247. [Google Scholar] [CrossRef]
- Zhou, Y.-X.; Xia, W.; Yue, W.; Peng, C.; Rahman, K.; Zhang, H. Rhein: A Review of Pharmacological Activities. Evid. Based Complement. Altern. Med. 2015, 2015, 578107. [Google Scholar] [CrossRef]
- Fu, Y.; Yang, L.; Liu, L.; Kong, L.; Sun, H.; Sun, Y.; Yin, F.; Yan, G.; Wang, X. Rhein: An Updated Review Concerning Its Biological Activity, Pharmacokinetics, Structure Optimization, and Future Pharmaceutical Applications. Pharmaceuticals 2024, 17, 1665. [Google Scholar] [CrossRef]
- Trybus, W.; Król, T.; Trybus, E.; Stachurska, A. Physcion Induces Potential Anticancer Effects in Cervical Cancer Cells. Cells 2021, 10, 2029. [Google Scholar] [CrossRef]
- Adnan, M.; Rasul, A.; Hussain, G.; Shah, M.A.; Sarfraz, I.; Nageen, B.; Riaz, A.; Khalid, R.; Asrar, M.; Selamoglu, Z.; et al. Physcion and Physcion 8-O-β-D-glucopyranoside: Natural Anthraquinones with Potential Anticancer Activities. Curr. Drug Targets 2021, 22, 488–504. [Google Scholar] [CrossRef]
- Liu, Y.; Chu, S.; Yang, S.; Peng, Y.; Ren, S.; Wen, B.; Chen, N. Physcion and physcion 8-O-β-glucopyranoside: A review of their pharmacology, toxicities and pharmacokinetics. Chem. Biol. Interact. 2019, 310, 108722. [Google Scholar] [CrossRef]
- Endo, A. The origin of the statins. Atheroscler. Suppl. 2004, 5, 125–130. [Google Scholar] [CrossRef] [PubMed]
- Sirtori, C. The pharmacology of statins. Pharmacol. Res. 2014, 88, 3–11. [Google Scholar] [CrossRef] [PubMed]
- Sadowska, A.; Osiński, P.; Roztocka, A.; Kaczmarz-Chojnacka, K.; Zapora, E.; Sawicka, D.; Car, H. Statins-From Fungi to Pharmacy. Int. J. Mol. Sci. 2023, 25, 466. [Google Scholar] [CrossRef] [PubMed]
- Chakravarti, R.; Sahai, V. Compactin-a review. Appl. Microbiol. Biotechnol. 2004, 64, 618–624. [Google Scholar] [CrossRef]
- Zhang, X.; Li, S.; Liu, X.; Ma, Z.; Zhang, Q.; Zhang, Y.; An, J.; Luo, Z. The protective effect and experimental research progress of pleotropic statins in intervertebral disc degeneration. J. Orthop. Surg. Res. 2025, 20, 122. [Google Scholar] [CrossRef]
- Gologorsky, Y.; Chi, J. Statins for disc degeneration. Neurosurgery 2014, 74, N18–N19. [Google Scholar] [CrossRef]
- Hu, M.-H.; Yang, K.-C.; Chen, Y.-J.; Sun, Y.-H.; Yang, S.-H. Lovastatin prevents discography-associated degeneration and maintains the functional morphology of intervertebral discs. Spine J. 2014, 14, 2459–2466. [Google Scholar] [CrossRef]
- Than, K.D.; Rahman, S.U.; Wang, L.; Khan, A.; Kyere, K.A.; Than, T.T.; Miyata, Y.; Park, Y.-S.; La Marca, F.; Kim, H.M.; et al. Intradiscal injection of simvastatin results in radiologic, histologic, and genetic evidence of disc regeneration in a rat model of degenerative disc disease. Spine J. 2014, 14, 1017–1028. [Google Scholar] [CrossRef]
- Zhang, H.; Lin, C.-Y. Simvastatin stimulates chondrogenic phenotype of intervertebral disc cells partially through BMP-2 pathway. Spine 2008, 33, E525–E531. [Google Scholar] [CrossRef]
- Zhang, C.; Wang, Q.; Li, K.; Fu, M.; Gao, K.; Lv, C. Rosuvastatin: A Potential Therapeutic Agent for Inhibition of Mechanical Pressure-Induced Intervertebral Disc Degeneration. J. Inflamm. Res. 2024, 17, 3825–3838. [Google Scholar] [CrossRef]
- Wang, X.; Wang, D.; Xia, P.; Cheng, K.; Wang, Q.; Wang, X.; Lin, Q.; Song, J.; Chen, A.; Li, X. Ultrasound-targeted simvastatin-loaded microbubble destruction promotes OA cartilage repair by modulating the cholesterol efflux pathway mediated by PPARgamma in rabbits. Bone Jt. Res. 2021, 10, 693–703, Erratum in Bone Jt. Res. 2022, 11, 251. [Google Scholar] [CrossRef]
- Wamer, W.G.; Vath, P.; Falvey, D.E. In vitro studies on the photobiological properties of aloe emodin and aloin A. Free Rad. Biol. Med. 2003, 34, 233–242. [Google Scholar] [CrossRef] [PubMed]
- Xiao, J.; Chen, S.; Chen, Y.; Su, J. The potential health benefits of aloin from genus Aloe. Phytother. Res. 2022, 36, 873–890. [Google Scholar] [CrossRef] [PubMed]
- Ussia, S.; Ritorto, G.; Mollace, R.; Serra, M.; Tavernese, A.; Altomare, C.; Muscoli, C.; Fini, M.; Barillà, F.; Indolfi, C.; et al. Exploring the Benefits of Extra Virgin Olive Oil on Cardiovascular Health Enhancement and Disease Prevention: A Systematic Review. Nutrients 2025, 17, 1843. [Google Scholar] [CrossRef]
- Chen, J.; Hou, C.; Chen, X.; Wang, D.; Yang, P.; He, X.; Zhou, J.; Li, H. Protective effect of cannabidiol on hydrogen peroxide induced apoptosis, inflammation and oxidative stress in nucleus pulposus cells. Mol. Med. Rep. 2016, 14, 2321–2327. [Google Scholar] [CrossRef]
- Silveira, J.W.; Issy, A.C.; Castania, V.A.; Salmon, C.E.G.; Nogueira-Barbosa, M.H.; Guimarães, F.S.; Defino, H.L.A.; Del Bel, E. Protective effects of cannabidiol on lesion-induced intervertebral disc degeneration. PLoS ONE 2014, 9, e113161. [Google Scholar] [CrossRef]
- Dmytriv, T.; Lushchak, O.; Lushchak, V.I. Glucoraphanin conversion into sulforaphane and related compounds by gut microbiota. Front. Physiol. 2025, 16, 1497566. [Google Scholar] [CrossRef]
- Qin, T.; Shi, M.; Xie, Y.; Feng, N.; Liu, C.; Chen, K.; Chen, Y.; Zheng, W.; Zhu, M.; Peng, S.; et al. Activation of LAMP1-mediated lipophagy by sulforaphane inhibits cellular senescence and intervertebral disc degeneration. J. Orthop. Transl. 2025, 53, 12–25. [Google Scholar] [CrossRef]
- Ruiz-Fernández, C.; Francisco, V.; Pino, J.; Mera, A.; González-Gay, M.A.; Gómez, R.; Lago, F.; Gualillo, O. Molecular relationships among obesity, inflammation and intervertebral disc degeneration: Are adipokines the common link? Int. J. Mol. Sci. 2019, 20, 2030. [Google Scholar] [CrossRef]
- Francisco, V.; Pino, J.; González-Gay, M.Á.; Lago, F.; Karppinen, J.; Tervonen, O.; Mobasheri, A.; Gualillo, O. A new immunometabolic perspective of intervertebral disc degeneration. Nat. Rev. Rheumatol. 2022, 18, 47–60. [Google Scholar] [CrossRef] [PubMed]
- Bing, T.; Shanlin, X.; Jisheng, W.; Jie, H.; Ruichao, C.; Zhiwei, Z.; Bin, Y.; Zhaoxin, M.; Zhenming, H.; Nian, Z. Dysregulated lipid metabolism and intervertebral disc degeneration: The important role of ox-LDL/LOX-1 in endplate chondrocyte senescence and calcification. Mol. Med. 2024, 30, 117. [Google Scholar] [CrossRef] [PubMed]
- Khatana, C.; Saini, N.K.; Chakrabarti, S.; Saini, V.; Sharma, A.; Saini, R.V.; Saini, A.K. Mechanistic insights into the oxidized low-density lipoprotein-induced atherosclerosis. Oxid. Med. Cell Longev. 2020, 2020, 5245308. [Google Scholar] [CrossRef] [PubMed]
- Ahmadi, A.; Panahi, Y.; Johnston, T.P.; Sahebkar, A. Antidiabetic drugs and oxidized low-density lipoprotein: A review of anti-atherosclerotic mechanisms. Pharmacol. Res. 2021, 172, 105819. [Google Scholar] [CrossRef]
- Li, X.; Wang, X.; Hu, Z.; Chen, Z.; Li, H.; Liu, X.; Yong, Z.Y.; Wang, S.; Wei, Z.; Han, Y.; et al. Possible involvement of the oxLDL/LOX-1 system in the pathogenesis and progression of human intervertebral disc degeneration or herniation. Sci. Rep. 2017, 7, 7403. [Google Scholar] [CrossRef]
- Han, Y.; Li, X.; Yan, M.; Yang, M.; Wang, S.; Pan, J.; Li, L.; Tan, J. Oxidative damage induces apoptosis and promotes calcification in disc cartilage endplate cell through ROS/MAPK/NF-κB pathway: Implications for disc degeneration. Biochem. Biophys. Res. Commun. 2019, 516, 1026–1032. [Google Scholar] [CrossRef]
- Zhang, Y.; Si, M.; Li, C.; Liu, Y.; Han, Y.; Nie, L.; Wang, M. Effect of hyperlipidaemia to accelerate intervertebral disc degeneration in the injured rat caudal disc model. J. Orthop. Sci. 2019, 24, 42–49. [Google Scholar] [CrossRef]
- Poorani, R.; Bhatt, A.N.; Dwarakanath, B.; Das, U.N. COX-2, aspirin and metabolism of arachidonic, eicosapentaenoic and docosahexaenoic acids and their physiological and clinical significance. Eur. J. Pharmacol. 2016, 785, 116–132. [Google Scholar] [CrossRef]
- Kumar, R.; Clerc, A.C.; Gori, I.; Russell, R.; Pellegrini, C.; Govender, L.; Wyss, J.C.; Golshayan, D.; O Canny, G. Lipoxin A4 Prevents the Progression of De Novo and Established Endometriosis in a Mouse Model by Attenuating Prostaglandin E2 Production and Estrogen Signaling. R6. J. Inflamm. Res. 2014, 8, 181–192. [Google Scholar] [CrossRef]
- Chandrasekharan, J.; Sharma-Walia, N. Lipoxins: Nature’s way to resolve inflammation. J. Inflamm. Res. 2015, 8, 181–192. [Google Scholar] [CrossRef]
- Miao, G.-S.; Liu, Z.-H.; Wei, S.-X.; Luo, J.-G.; Fu, Z.-J.; Sun, T. Lipoxin A4 attenuates radicular pain possibly by inhibiting spinal ERK, JNK and NF-κB/p65 and cytokine signals, but not p38, in a rat model of non-compressive lumbar disc herniation. Neuroscience 2015, 300, 10–18. [Google Scholar] [CrossRef]
- Liu, Z.-H.; Miao, G.-S.; Wang, J.-N.; Yang, C.-X.; Fu, Z.-J.; Sun, T. Resolvin D1 Inhibits Mechanical Hypersensitivity in Sciatica by Modulating the Expression of Nuclear Factor-κB, Phospho-extracellular Signal-regulated Kinase, and Pro- and Antiinflammatory Cytokines in the Spinal Cord and Dorsal Root Ganglion. Anesthesiology 2016, 124, 934–944. [Google Scholar] [CrossRef] [PubMed]
- Zhu, Y.-C.; Zhang, Y.; Gao, X.; Li, L.-X.; Tang, Y.-R.; Wang, Y.-H. Protectin D1 ameliorates non-compressive lumbar disc herniation through SIRT1-mediated CGRP signaling. Mol. Pain 2024, 20, 17448069241232349. [Google Scholar] [CrossRef] [PubMed]
- Wang, Y.-H.; Li, Y.; Wang, J.-N.; Zhao, Q.-X.; Jin, J.; Wen, S.; Wang, S.-C.; Sun, T. Maresin 1 Attenuates Radicular Pain Through the Inhibition of NLRP3 Inflammasome-Induced Pyroptosis via NF-κB Signaling. Front. Neurosci. 2020, 14, 831. [Google Scholar] [CrossRef] [PubMed]
- Lopategi, A.; Flores-Costa, R.; Rius, B.; López-Vicario, C.; Alcaraz-Quiles, J.; Titos, E.; Clària, J. Frontline Science: Specialized proresolving lipid mediators inhibit the priming and activation of the macrophage NLRP3 inflammasome. J. Leukoc. Biol. 2019, 105, 25–36. [Google Scholar] [CrossRef]
- Li, J.; Guan, H.; Liu, H.; Zhao, L.; Li, L.; Zhang, Y.; Tan, P.; Mi, B.; Li, F. Epoxyeicosanoids prevent intervertebral disc degeneration in vitro and in vivo. Oncotarget 2017, 8, 3781–3797. [Google Scholar] [CrossRef]
- Das, U. Lipoxins, resolvins, protectins, maresins and nitrolipids and their clinical implications with specific reference to cancer: Part I. Clin. Lipidol. 2013, 8, 437–463. [Google Scholar] [CrossRef]
- Das, U. Lipoxins, resolvins, protectins, maresins and nitrolipids and their clinical implications with specific reference to diabetes mellitus and other diseases: Part II. Clin. Lipidol. 2013, 8, 465–480. [Google Scholar] [CrossRef]
- Dai, Z.; Xia, C.; Zhao, T.; Wang, H.; Tian, H.; Xu, O.; Zhu, X.; Zhang, J.; Chen, P. Platelet-derived extracellular vesicles ameliorate intervertebral disc degeneration by alleviating mitochondrial dysfunction. Mater. Today Bio 2023, 18, 100512. [Google Scholar] [CrossRef]
- Kang, L.; Liu, S.; Li, J.; Tian, Y.; Xue, Y.; Liu, X. The mitochondria-targeted anti-oxidant MitoQ protects against intervertebral disc degeneration by ameliorating mitochondrial dysfunction and redox imbalance. Cell Prolif. 2020, 53, e12779. [Google Scholar] [CrossRef]
- Lin, J.; Zhuge, J.; Zheng, X.; Wu, Y.; Zhang, Z.; Xu, T.; Meftah, Z.; Xu, H.; Wu, Y.; Tian, N.; et al. Urolithin A-induced mitophagy suppresses apoptosis and attenuates intervertebral disc degeneration via the AMPK signaling pathway. Free Radic. Biol. Med. 2020, 150, 109–119. [Google Scholar] [CrossRef]
- Song, Y.; Li, S.; Geng, W.; Luo, R.; Liu, W.; Tu, J.; Wang, K.; Kang, L.; Yin, H.; Wu, X.; et al. Sirtuin 3-dependent mitochondrial redox homeostasis protects against AGEs-induced intervertebral disc degeneration. Redox Biol. 2018, 19, 339–353. [Google Scholar] [CrossRef] [PubMed]
- Xue, Q.; Li, J.; Qin, R.; Li, M.; Li, Y.; Zhang, J.; Wang, R.; Goltzman, D.; Miao, D.; Yang, R. Nrf2 activation by pyrroloquinoline quinone inhibits natural aging-related intervertebral disk degeneration in mice. Aging Cell 2024, 23, e14202. [Google Scholar] [CrossRef] [PubMed]
- Chen, F.; Jiang, G.; Liu, H.; Li, Z.; Pei, Y.; Wang, H.; Pan, H.; Cui, H.; Long, J.; Wang, J.; et al. Melatonin alleviates intervertebral disc degeneration by disrupting the IL-1beta/NF-kappaB-NLRP3 inflammasome positive feedback loop. Bone Res. 2020, 8, 10. [Google Scholar] [CrossRef] [PubMed]
- Xiang, Q.; Zhao, Y.; Lin, J.; Jiang, S.; Li, W. The Nrf2 antioxidant defense system in intervertebral disc degeneration: Molecular insights. Exp. Mol. Med. 2022, 54, 1067–1075. [Google Scholar] [CrossRef]
- Tang, Z.; Hu, B.; Zang, F.; Wang, J.; Zhang, X.; Chen, H. Nrf2 drives oxidative stress-induced autophagy in nucleus pulposus cells via a Keap1/Nrf2/p62 feedback loop to protect intervertebral disc from degeneration. Cell Death Dis. 2019, 10, 510. [Google Scholar] [CrossRef]
- Zhang, C.Y.; Hu, X.C.; Zhang, G.Z.; Liu, M.Q.; Chen, H.W.; Kang, X.W. Role of Nrf2 and HO-1 in intervertebral disc degeneration. Connect. Tissue Res. 2022, 63, 559–576. [Google Scholar] [CrossRef]
- Kang, L.; Zhang, H.; Jia, C.; Zhang, R.; Shen, C. Targeting Oxidative Stress and Inflammation in Intervertebral Disc Degeneration: Therapeutic Perspectives of Phytochemicals. Front. Pharmacol. 2022, 13, 956355. [Google Scholar] [CrossRef]
- Qin, S.; Hou, D.X. Multiple regulations of Keap1/Nrf2 system by dietary phytochemicals. Mol. Nutr. Food Res. 2016, 60, 1731–1755. [Google Scholar] [CrossRef]
- He, W.-J.; Lv, C.-H.; Chen, Z.; Shi, M.; Zeng, C.-X.; Hou, D.-X.; Qin, S. The Regulatory Effect of Phytochemicals on Chronic Diseases by Targeting Nrf2-ARE Signaling Pathway. Antioxidants 2023, 12, 236. [Google Scholar] [CrossRef]
- Thiruvengadam, M.; Venkidasamy, B.; Subramanian, U.; Samynathan, R.; Shariati, M.A.; Rebezov, M.; Girish, S.; Thangavel, S.; Dhanapal, A.R.; Fedoseeva, N.; et al. Bioactive Compounds in Oxidative Stress-Mediated Diseases: Targeting the NRF2/ARE Signaling Pathway and Epigenetic Regulation. Antioxidants 2021, 10, 1859. [Google Scholar] [CrossRef]
- Ouyang, Z.-H.; Wang, W.-J.; Yan, Y.-G.; Wang, B.; Lv, G.-H. The PI3K/Akt pathway: A critical player in intervertebral disc degeneration. Oncotarget 2017, 8, 57870–57881. [Google Scholar] [CrossRef] [PubMed]
- Lawrence, T. The nuclear factor NF-kappaB pathway in inflammation. Cold Spring Harb. Perspect. Biol. 2009, 1, a001651. [Google Scholar] [CrossRef] [PubMed]
- Burt, K.G.; Kim, M.K.M.; Viola, D.C.; Abraham, A.C.; Chahine, N.O. Nuclear factor κB overactivation in the intervertebral disc leads to macrophage recruitment and severe disc degeneration. Sci. Adv. 2024, 10, eadj3194. [Google Scholar] [CrossRef] [PubMed]
- Dou, Y.; Zhang, Y.; Liu, Y.; Sun, X.; Liu, X.; Li, B.; Yang, Q. Role of macrophage in intervertebral disc degeneration. Bone Res. 2025, 13, 15. [Google Scholar] [CrossRef]
- Mitchell, S.; Vargas, J.; Hoffmann, A. Signaling via the NFκB system. Wiley Interdiscip. Rev. Syst. Biol. Med. 2016, 8, 227–241. [Google Scholar] [CrossRef]
- Israël, A. The IKK complex, a central regulator of NF-kappaB activation. Cold Spring Harb. Perspect. Biol. 2010, 2, a000158. [Google Scholar] [CrossRef]
- Häcker, H.; Karin, M. Regulation and function of IKK and IKK-related kinases. Sci. STKE 2006, 357, re13. [Google Scholar] [CrossRef]
- Kannan, G.; Paul, B.M.; Thangaraj, P. Stimulation, regulation, and inflammaging interventions of natural compounds on nuclear factor kappa B (NF-kB) pathway: A comprehensive review. Inflammopharmacology 2025, 33, 145–162. [Google Scholar] [CrossRef]
- Liang, H.; Luo, R.; Li, G.; Zhang, W.; Song, Y.; Yang, C. The Proteolysis of ECM in Intervertebral Disc Degeneration. Int. J. Mol. Sci. 2022, 23, 1715. [Google Scholar] [CrossRef]
- Vo, N.V.; Hartman, R.A.; Yurube, T.; Jacobs, L.J.; Sowa, G.A.; Kang, J.D. Expression and regulation of metalloproteinases and their inhibitors in intervertebral disc aging and degeneration. Spine J. 2013, 13, 331–341. [Google Scholar] [CrossRef]
- Wuertz, K.; Vo, N.; Kletsas, D.; Boos, N. Inflammatory and catabolic signalling in intervertebral discs: The roles of NF-κB and MAP kinases. Eur. Cell Mater. 2012, 23, 103–119. [Google Scholar] [CrossRef]
- Cui, J.; Zhang, M.; Zhang, Y.-Q.; Xu, Z.-H. JNK pathway: Diseases and therapeutic potential. Acta Pharmacol. Sin. 2007, 28, 601–608. [Google Scholar] [CrossRef]
- Liu, G.; Gao, L.; Wang, Y.; Xie, X.; Gao, X.; Wu, X. The JNK signaling pathway in intervertebral disc degeneration. Front. Cell Dev. Biol. 2024, 12, 1423665. [Google Scholar] [CrossRef]
- Li, S.-T.; Dai, Q.; Zhang, S.-X.; Liu, Y.-J.; Yu, Q.-Q.; Tan, F.; Lu, S.-H.; Wang, Q.; Chen, J.-W.; Huang, H.-Q.; et al. Ulinastatin attenuates LPS-induced inflammation in mouse macrophage RAW264.7 cells by inhibiting the JNK/NF-κB signaling pathway and activating the PI3K/Akt/Nrf2 pathway. Acta Pharmacol. 2018, 39, 1294–1304. [Google Scholar] [CrossRef]
- Dong, Y.; Zheng, Y.; Zhu, L.; Li, T.; Guan, Y.; Zhao, S.; Wang, Q.; Wang, J.; Li, L. Hua-tan-sheng-jing decoction treats obesity with oligoasthenozoospermia by up-regulating the PI3K-AKT and down-regulating the JNK MAPK signaling pathways: At the crossroad of obesity and oligoasthenozoospermia. Front. Pharmacol. 2022, 13, 896434. [Google Scholar] [CrossRef]
- Kriehuber, E.; Bauer, W.; Charbonnier, A.-S.; Winter, D.; Amatschek, S.; Tamandl, D.; Schweifer, N.; Stingl, G.; Maurer, D. Balance between NF-kappaB and JNK/AP-1 activity controls dendritic cell life and death. Blood 2005, 106, 175–183. [Google Scholar] [CrossRef] [PubMed]
- Bai, X.; Yao, M.; Zhu, X.; Lian, Y.; Zhang, M. Baicalin suppresses interleukin-1β-induced apoptosis, inflammatory response, oxidative stress, and extracellular matrix degradation in human nucleus pulposus cells. Immunopharmacol. Immunotoxicol. 2023, 45, 433–442. [Google Scholar] [CrossRef] [PubMed]
- Liu, X.; Zhuang, J.; Wang, D.; Lv, L.; Zhu, F.; Yao, A.; Xu, T. Glycyrrhizin suppresses inflammation and cell apoptosis by inhibition of HMGB1 via p38/p-JUK signaling pathway in attenuating intervertebral disc degeneration. Am. J. Transl. 2019, 11, 5105–5113. [Google Scholar]
- Ahmed, A.S.; Berg, S.; Alkass, K.; Druid, H.; Hart, D.A.; Svensson, C.I.; Kosek, E. NF-κB-Associated Pain-Related Neuropeptide Expression in Patients with Degenerative Disc Disease. Int. J. Mol. Sci. 2019, 20, 658. [Google Scholar] [CrossRef]
- Zàaba, N.F.; Ogaili, R.H.; Ahmad, F.; Isa, I.L.M. Neuroinflammation and nociception in intervertebral disc degeneration: A review of precision medicine perspective. Spine J. 2025, 25, 1139–1153. [Google Scholar] [CrossRef] [PubMed]
- Lyu, F.J.; Cui, H.; Pan, H.; Mc Cheung, K.; Cao, X.; Iatridis, J.C.; Zheng, Z. Painful intervertebral disc degeneration and inflammation: From laboratory evidence to clinical interventions. Bone Res. 2021, 9, 7. [Google Scholar] [CrossRef] [PubMed]
- Kao, T.H.; Peng, Y.J.; Tsou, H.K.; Salter, D.M.; Lee, H.S. Nerve growth factor promotes expression of novel genes in intervertebral disc cells that regulate tissue degradation. J. Neurosurg. Spine 2014, 21, 653–661. [Google Scholar] [CrossRef] [PubMed]
- Arai, F.; Hiyama, A.; Sakai, D.; Yokoyama, K.; Mochida, J. The expression and role of non-canonical (PKC) signaling in nucleus pulposus cell metabolism. J. Orthop. Res. 2012, 30, 1478–1485. [Google Scholar] [CrossRef]
- Aatif, M. Current Understanding of Polyphenols to Enhance Bioavailability for Better Therapies. Biomedicine 2023, 11, 2078. [Google Scholar] [CrossRef]
- Albin, K.J.; Noble, P.N.N.; Kumar, N.P.; Imran, K. The Nexus Between Polyphenols and Gut Microbiota and Their Interplay in Human Health: A Brief Review. J. Nat. Remedies 2024, 24, 1895–1908. [Google Scholar] [CrossRef]
- Na, G.; He, C.; Zhang, S.; Tian, S.; Bao, Y.; Shan, Y. Dietary Isothiocyanates: Novel Insights Into the Potential for Cancer Prevention and Therapy. Int. J. Mol. Sci. 2023, 24, 1962. [Google Scholar] [CrossRef]
- Kim, Y.; Lim, J.; Oh, J. Taming Neuroinflammation in Alzheimer’s Disease: The Protective Role of Phytochemicals Through the Gut−Brain Axis. Biomed. Pharmacother. 2024, 178, 117277. [Google Scholar] [CrossRef]
- Ayaz, M.; Mosa, O.F.; Nawaz, A.; Hamdoon, A.A.E.; Elkhalifa, M.E.M.; Sadiq, A.; Ullah, F.; Ahmed, A.; Kabra, A.; Khan, H.; et al. Neuroprotective Potentials of Lead Phytochemicals Against Alzheimer’s Disease with Focus on Oxidative Stress-Mediated Signaling Pathways: Pharmacokinetic Challenges, Target Specificity, Clinical Trials and Future Perspectives. Phytomedicine 2024, 124, 155272. [Google Scholar] [CrossRef]
- Zenjanab, M.K.; Hashemzadeh, N.; Alimohammadvand, S.; Sharifi-Azad, M.; Abdolahinia, E.D.; Jahanban-Esfahlan, R.; Mohamadvand, S. Notch Signaling Suppression by Golden Phytochemicals: Potential for Cancer Therapy. Adv. Pharm. Bull. 2024, 14, 302–313. [Google Scholar] [CrossRef]
- Murai, H.; Kuboniwa, M.; Kakiuchi, M.; Matsumura, R.; Hirata, Y.; Amano, A. Curcumin Inhibits Growth of Porphyromonas gingivalis by Arrest of Bacterial Dipeptidyl Peptidase Activity. J. Oral. Microbiol. 2024, 15, 2373040. [Google Scholar] [CrossRef] [PubMed]
- Li, W.; Lai, K.; Chopra, N.; Zheng, Z.; Das, A.; Diwan, A.D. Gut-disc axis: A cause of intervertebral disc degeneration and low back pain? Eur. Spine J. 2022, 31, 917–925. [Google Scholar] [CrossRef] [PubMed]
- Liu, W.; Ma, Z.; Wang, Y.; Yang, J. Multiple nano-drug delivery systems for intervertebral disc degeneration: Current status and future perspectives. Bioact. Mater. 2022, 23, 274–299. [Google Scholar] [CrossRef] [PubMed]
- Shi, S.; Ou, X.; Liu, C.; Li, R.; Zheng, Q.; Hu, L. Nanotechnology-Enhanced Pharmacotherapy for Intervertebral Disc Degeneration Treatment. Int. J. Nanomed. 2024, 19, 14043–14058. [Google Scholar] [CrossRef]
- Kamali, A.; Ziadlou, R.; Lang, G.; Pfannkuche, J.; Cui, S.; Li, Z.; Richards, R.G.; Alini, M.; Grad, S. Small molecule-based treatment approaches for intervertebral disc degeneration: Current options and future directions. Theranostics 2021, 11, 27–47. [Google Scholar] [CrossRef]
- Veeresham, C. Natural products derived from plants as a source of drugs. J. Adv. Pharm. Technol. Res. 2012, 3, 200–201. [Google Scholar] [CrossRef]
- Bertini, S.; Alekseeva, A.; Elli, S.; Pagani, I.; Zanzoni, S.; Eisele, G.; Krishnan, R.; Maag, K.P.; Reiter, C.; Lenhart, D.; et al. Pentosan Polysulfate Inhibits Attachment and Infection by SARS-CoV-2 In Vitro: Insights into Structural Requirements for Binding. Thromb. Haemost. 2022, 122, 984–997. [Google Scholar] [CrossRef]
- Smith, M.M.; Melrose, J. Pentosan Polysulfate Affords Pleotropic Protection to Multiple Cells and Tissues. Pharmaceuticals 2023, 16, 437. [Google Scholar] [CrossRef]
- Lin, Z.; Mai, L.; Luo, H.; Wang, Z.; Lin, Y.; Wang, H.; Chen, S.; Su, G.; Hu, X.; Chen, B.; et al. Smart responsive injectable hydrogel loaded with icariin inhibits ferroptosis and promotes nucleus pulposus repair in intervertebral disc degeneration. Biomater. Adv. 2026, 179, 214513. [Google Scholar] [CrossRef]










| PI3K/AKT/mTOR | [52,53,54,55,56,57] |
| ERK | [58] |
| MAPK | [43,59,60,61,62,63,64] |
| JAK/STAT | [65,66,67] |
| AMPK | [68,69,70] |
| PI3K/Akt | [40,52,57,71,72,73,74,75,76,77] |
| Nrf2/NFkB | [39,78,79,80,81,82,83] |
| Wnt | [84,85] |
| SIRT3/mitophagy | [86,87,88,89] |
| ER stress | [69] |
| TLR/M2 | [90] |
| TAK1-mediated PANoptosis | [91,92,93] |
| TLR4 | [63,94] |
| Nrf2/HO-1 | [42,95,96] |
| Compound | Main Cell Signaling Pathways Affected | Therapeutic Effects |
| Flavonoids | NF-kB | Inflammation ↓ |
| Terpenoids | NF-kB PI3K/Akt | Inflammation ↓ ECM stabilization ↑ |
| Glycosides | SIRT/Nrf2 | Apoptosis ↓ |
| Phenolics | SIRT/Nrf2 | Apoptosis ↓ |
| Alkaloids | MAPK (p38/JNK/ERK) AMPK/mTOR | Cell viability ↑ Autophagy ↑ |
Disclaimer/Publisher’s Note: The statements, opinions and data contained in all publications are solely those of the individual author(s) and contributor(s) and not of MDPI and/or the editor(s). MDPI and/or the editor(s) disclaim responsibility for any injury to people or property resulting from any ideas, methods, instructions or products referred to in the content. |
© 2025 by the author. Licensee MDPI, Basel, Switzerland. This article is an open access article distributed under the terms and conditions of the Creative Commons Attribution (CC BY) license (https://creativecommons.org/licenses/by/4.0/).
Share and Cite
Melrose, J. The Potential of Bioactive Plant Phytochemicals, Pro-Resolving Anti-Inflammatory Lipids, and Statins in the Inhibition of Intervertebral Disc Degeneration, Low Back Pain Resolution, Disc Functional Repair, and Promotion of Intervertebral Disc Regeneration. Cells 2025, 14, 1758. https://doi.org/10.3390/cells14221758
Melrose J. The Potential of Bioactive Plant Phytochemicals, Pro-Resolving Anti-Inflammatory Lipids, and Statins in the Inhibition of Intervertebral Disc Degeneration, Low Back Pain Resolution, Disc Functional Repair, and Promotion of Intervertebral Disc Regeneration. Cells. 2025; 14(22):1758. https://doi.org/10.3390/cells14221758
Chicago/Turabian StyleMelrose, James. 2025. "The Potential of Bioactive Plant Phytochemicals, Pro-Resolving Anti-Inflammatory Lipids, and Statins in the Inhibition of Intervertebral Disc Degeneration, Low Back Pain Resolution, Disc Functional Repair, and Promotion of Intervertebral Disc Regeneration" Cells 14, no. 22: 1758. https://doi.org/10.3390/cells14221758
APA StyleMelrose, J. (2025). The Potential of Bioactive Plant Phytochemicals, Pro-Resolving Anti-Inflammatory Lipids, and Statins in the Inhibition of Intervertebral Disc Degeneration, Low Back Pain Resolution, Disc Functional Repair, and Promotion of Intervertebral Disc Regeneration. Cells, 14(22), 1758. https://doi.org/10.3390/cells14221758

