A Flow Cytometry-Based Examination of the Mouse White Blood Cell Differential in the Context of Age and Sex
Abstract
1. Introduction
2. Materials and Methods
2.1. Animals
2.2. Reagents, Material, and Equipment
2.3. Blood Collection and Reprocessing
2.4. Antibody Staining and Analysis at the MacsQuant 16
2.5. Statistical Evaluation and the Handling of Outliers
3. Results
3.1. Gating Strategies


3.1.1. T Cells

3.1.2. B Cells

3.1.3. Natural Killer (NK) Cells

3.1.4. Monocytes and Macrophages

3.1.5. Granulocytes

3.1.6. Dendritic Cells (DCs)

3.1.7. Mast Cells
3.2. Orientation Values

3.3. Appearance of the FSC/SSC and CD45/SSC Plots
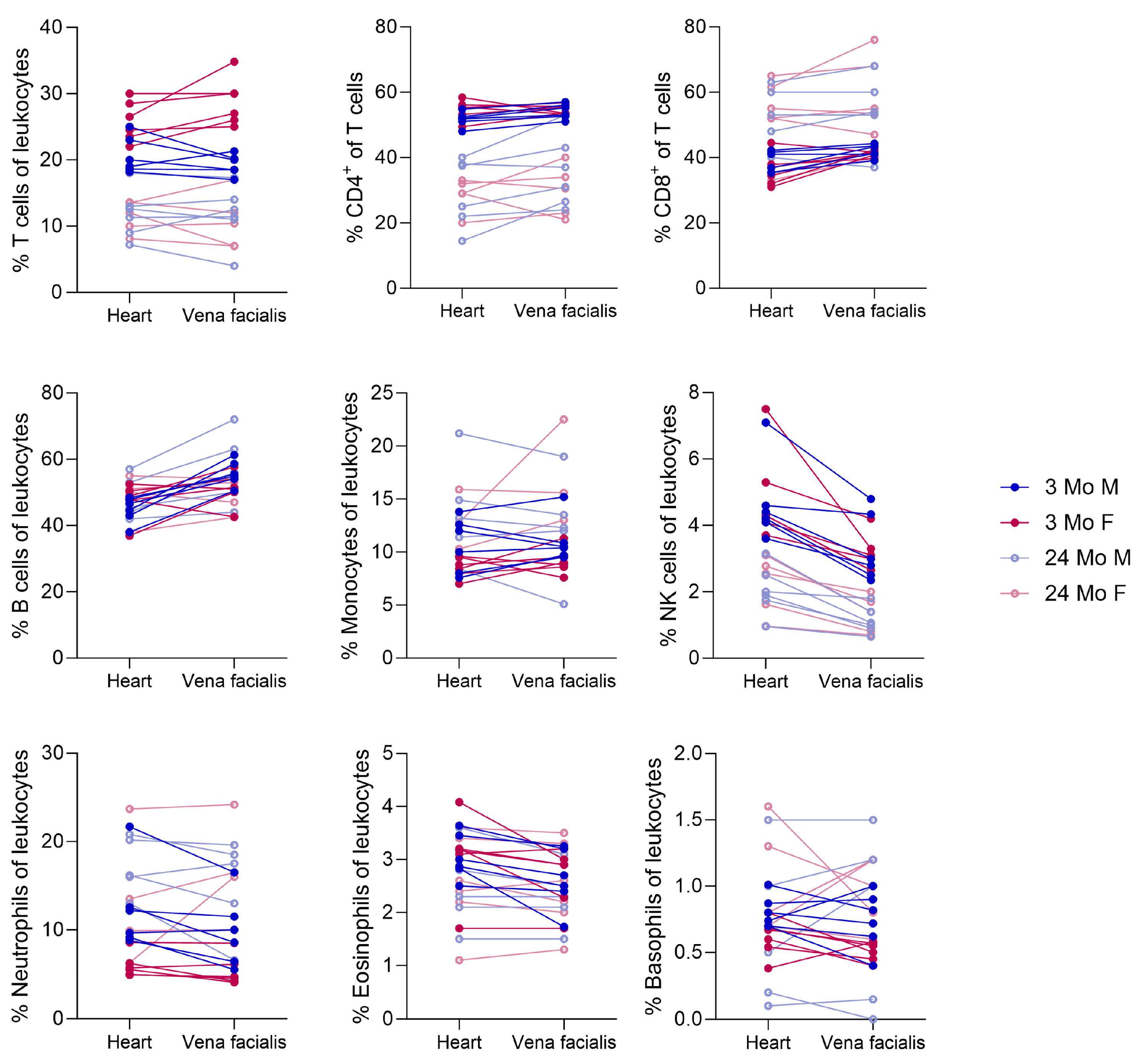
3.4. Comparison of Cardiac and Facial Vein Blood Collection


3.5. Validation Approaches
3.5.1. Stress Handling and Blood Glucose Measurements
3.5.2. Blood Smears

3.5.3. Reproducibility of the Results
4. Discussion
Supplementary Materials
Author Contributions
Funding
Institutional Review Board Statement
Data Availability Statement
Acknowledgments
Conflicts of Interest
References
- Theml, H.; Diem, H.; Haferlach, T. Taschenatlas der Hämatologie: Morphologische und klinische Diagnostik für die Praxis; 32 Tabellen, 5., vollst. überarb. Aufl.; Thieme: Stuttgart, NY, USA, 2002; ISBN 3136316053. [Google Scholar]
- Christen, U. Pathogen infection and autoimmune disease. Clin. Exp. Immunol. 2019, 195, 10–14. [Google Scholar] [CrossRef] [PubMed]
- Rico, L.G.; Salvia, R.; Ward, M.D.; Bradford, J.A.; Petriz, J. Flow-cytometry-based protocols for human blood/marrow immunophenotyping with minimal sample perturbation. STAR Protoc. 2021, 2, 100883. [Google Scholar] [CrossRef] [PubMed]
- Dagur, P.K.; McCoy, J.P. Collection, Storage, and Preparation of Human Blood Cells. Curr. Protoc. Cytom. 2015, 73, 5.1.1–5.1.16. [Google Scholar] [CrossRef] [PubMed]
- Bundesinstitut für Risikobewertung. Zahlen zu den 2021 in Deutschland Verwendeten Versuchstieren. 2022. Available online: https://www.bf3r.de/de/verwendung_von_versuchstieren_im_berichtsjahr_2022-313306.html (accessed on 15 September 2024).
- Cossarizza, A.; Chang, H.-D.; Radbruch, A.; Abrignani, S.; Addo, R.; Akdis, M.; Andrä, I.; Andreata, F.; Annunziato, F.; Arranz, E.; et al. Guidelines for the use of flow cytometry and cell sorting in immunological studies (third edition). Eur. J. Immunol. 2021, 51, 2708–3145. [Google Scholar] [CrossRef]
- Skordos, I.; Demeyer, A.; Beyaert, R. Analysis of T cells in mouse lymphoid tissue and blood with flow cytometry. STAR Protoc. 2021, 2, 100351. [Google Scholar] [CrossRef]
- Liu, Z.; Gu, Y.; Shin, A.; Zhang, S.; Ginhoux, F. Analysis of Myeloid Cells in Mouse Tissues with Flow Cytometry. STAR Protoc. 2020, 1, 100029. [Google Scholar] [CrossRef]
- Grundwissen Immunologie; Springer Spektrum: Berlin/Heidelberg, Germany, 2019.
- Mestas, J.; Hughes, C.C.W. Of mice and not men: Differences between mouse and human immunology. J. Immunol. (Baltimore, Md. 1950) 2004, 172, 2731–2738. [Google Scholar] [CrossRef]
- Amasheh, S.; Arnold, W.; Aschenbach, J.R.; Aurich, C.; Aurich, J.-E.; Breer, H.; Deeg, C.; Dengler, F.; Einspanier, A.; Elfers PhD, K.; et al. Physiologie der Haustiere; 6; vollständig überarbeitete und erweiterte Auflage; Georg Thieme Verlag KG: Stuttgart, Germany, 2022; ISBN 9783132438422. [Google Scholar]
- Beck, J.A.; Lloyd, S.; Hafezparast, M.; Lennon-Pierce, M.; Eppig, J.T.; Festing, M.F.; Fisher, E.M. Genealogies of mouse inbred strains. Nat. Genet. 2000, 24, 23–25. [Google Scholar] [CrossRef]
- The Trouble with Black-6 [Online], 17 November 2011. Available online: https://www.slate.com/articles/health_and_science/the_mouse_trap/2011/11/black_6_lab_mice_and_the_history_of_biomedical_research.html (accessed on 26 July 2023).
- Bauer, N.; Beelitz, P.; Bostedt, H.; Dick, M.; Fey, K.; Fischer, A.; Fürll, M.; Grabner, A.; Griebsch, C.; Hamel, D.; et al. Klinische Labordiagnostik in der Tiermedizin; 7; vollständig aktualisierte und erweiterte Auflage; Thieme Verlagsgruppe: Stuttgart, Gremany, 2014; ISBN 9783132427952. [Google Scholar]
- Jain, N.C. Essentials of Veterinary Hematology; 1. pr; Lea & Febiger: Philadelphia, PA, USA, 1993; ISBN 081211437X. [Google Scholar]
- Feldman, B.F.; Zinkl, J.G.; Jain, N.C.; Schalm, O.W. (Eds.) Schalm’s Veterinary Hematology, 5th ed.; Blackwell Publishing: Ames, IA, USA; Oxford, UK, 2006; ISBN 0683306928. [Google Scholar]
- Rüsse, I.; Sinowatz, F. Lehrbuch der Embryologie der Haustiere; 3., durchgesehene Ausg; Lehmanns: München, Germany, 2010; ISBN 9783000252679. [Google Scholar]
- Lotter, H.; Altfeld, M. Sex differences in immunity. Semin. Immunopathol. 2019, 41, 133–135. [Google Scholar] [CrossRef]
- Nowotny, B.; Cavka, M.; Herder, C.; Löffler, H.; Poschen, U.; Joksimovic, L.; Kempf, K.; Krug, A.W.; Koenig, W.; Martin, S.; et al. Effects of acute psychological stress on glucose metabolism and subclinical inflammation in patients with post-traumatic stress disorder. Horm. Metab. Res. = Horm.-Und Stoffwechselforschung = Horm. Metab. 2010, 42, 746–753. [Google Scholar] [CrossRef]
- Marik, P.E.; Bellomo, R. Stress hyperglycemia: An essential survival response! Crit. Care 2013, 17, 305. [Google Scholar] [CrossRef] [PubMed]
- Recombinant Antibodies for Flow Cytometry–Miltenyi Biotec|Miltenyi Biotec|Deutschland. Available online: https://www.miltenyibiotec.com/DE-en/products/macs-antibodies/hybridomas/reafinity-recombinant-antibodies.html?query=:relevance:allCategoriesOR:10000737%23OnJlbGV2YW5jZTphbGxDYXRlZ29yaWVzT1I6MTAwMDA3Mzc%3D (accessed on 28 July 2023).
- Thomas, M.L. The leukocyte common antigen family. Annu. Rev. Immunol. 1989, 7, 339–369. [Google Scholar] [CrossRef] [PubMed]
- Bio-Rad. Flow Cytometry Analysis-Gates & Regions|Bio-Rad. Available online: https://www.bio-rad-antibodies.com/flow-cytometry-gates-regions.html?JSESSIONID_STERLING=F3F7DFFCA85323D9CAAACB45766F3F4A.ecommerce1&&evCntryLang=DE-dethirdPartyCookieEnabled=false (accessed on 1 August 2023).
- Del Zotto, G.; Principi, E.; Antonini, F.; Baratto, S.; Panicucci, C.; Bruno, C.; Raffaghello, L. Comprehensive Phenotyping of Peripheral Blood T Lymphocytes in Healthy Mice. Cytom. Part A 2021, 99, 243–250. [Google Scholar] [CrossRef] [PubMed]
- Wu, Z.; Zheng, Y.; Sheng, J.; Han, Y.; Yang, Y.; Pan, H.; Yao, J. CD3+CD4-CD8- (Double-Negative) T Cells in Inflammation, Immune Disorders and Cancer. Front. Immunol. 2022, 13, 816005. [Google Scholar] [CrossRef]
- Gattinoni, L.; E Speiser, D.; Lichterfeld, M.; Bonini, C. T memory stem cells in health and disease. Nat. Med. 2017, 23, 18–27. [Google Scholar] [CrossRef] [PubMed]
- Ziegler, S.F.; Ramsdell, F.; Alderson, M.R. The activation antigen CD69. Stem Cells 1994, 12, 456–465. [Google Scholar] [CrossRef]
- Yan, H.; Ding, C.; Tian, P.; Ge, G.; Jin, Z.; Jia, L.; Ding, X.; Pan, X.; Xue, W. Magnetic cell sorting and flow cytometry sorting methods for the isolation and function analysis of mouse CD4+ CD25+ Treg cells. J. Zhejiang Univ. Sci. B 2009, 10, 928–932. [Google Scholar] [CrossRef]
- Jones, E.; Golgher, D.; Simon, A.K.; Dahm-Vicker, M.; Screaton, G.; Elliott, T.; Gallimore, A. The influence of CD25+ cells on the generation of immunity to tumour cell lines in mice. Novartis Found. Symp. 2004, 256, 149–152; discussion 152–7, 259–269. [Google Scholar]
- Law, J.P.; Hirschkorn, D.F.; Owen, R.E.; Biswas, H.H.; Norris, P.J.; Lanteri, M.C. The importance of Foxp3 antibody and fixation/permeabilization buffer combinations in identifying CD4+CD25+Foxp3+ regulatory T cells. Cytometry. Part A J. Int. Soc. Anal. Cytol. 2009, 75, 1040–1050. [Google Scholar] [CrossRef]
- Ito, M.; Anan, K.; Misawa, M.; Kai, S.; Hara, H. In vitro differentiation of murine Sca-1+Lin- cells into myeloid, B cell and T cell lineages. Stem Cells 1996, 14, 412–418. [Google Scholar] [CrossRef]
- Whitmire, J.K.; Eam, B.; Whitton, J.L. Mice deficient in stem cell antigen-1 (Sca1, Ly-6A/E) develop normal primary and memory CD4+ and CD8+ T-cell responses to virus infection. Eur. J. Immunol. 2009, 39, 1494–1504. [Google Scholar] [CrossRef] [PubMed]
- Holmes, C.; Stanford, W.L. Concise review: Stem cell antigen-1: Expression, function, and enigma. Stem Cells 2007, 25, 1339–1347. [Google Scholar] [CrossRef] [PubMed]
- Kansal, R.; Richardson, N.; Neeli, I.; Khawaja, S.; Chamberlain, D.; Ghani, M.; Ghani, Q.-U.-A.; Balazs, L.; Beranova-Giorgianni, S.; Giorgianni, F.; et al. Sustained B cell depletion by CD19-targeted CAR T cells is a highly effective treatment for murine lupus. Sci. Transl. Med. 2019, 11, eaav1648. [Google Scholar] [CrossRef]
- Kochenderfer, J.N.; Yu, Z.; Frasheri, D.; Restifo, N.P.; Rosenberg, S.A. Adoptive transfer of syngeneic T cells transduced with a chimeric antigen receptor that recognizes murine CD19 can eradicate lymphoma and normal B cells. Blood 2010, 116, 3875–3886. [Google Scholar] [CrossRef]
- Rolink, A.G.; Schaniel, C.; Busslinger, M.; Nutt, S.L.; Melchers, F. Fidelity and infidelity in commitment to B-lymphocyte lineage development. Immunol. Rev. 2000, 175, 104–111. [Google Scholar]
- Nikolic, T.; Dingjan, G.M.; Leenen, P.J.M.; Hendriks, R.W. A subfraction of B220+ cells in murine bone marrow and spleen does not belong to the B cell lineage but has dendritic cell characteristics. Eur. J. Immunol. 2002, 32, 686. [Google Scholar] [CrossRef]
- Merad, M.; Sathe, P.; Helft, J.; Miller, J.; Mortha, A. The dendritic cell lineage: Ontogeny and function of dendritic cells and their subsets in the steady state and the inflamed setting. Annu. Rev. Immunol. 2013, 31, 563–604. [Google Scholar] [CrossRef] [PubMed]
- Übelhart, R.; Hug, E.; Bach, M.P.; Wossning, T.; Dühren-von Minden, M.; Horn, A.H.C.; Tsiantoulas, D.; Kometani, K.; Kurosaki, T.; Binder, C.J.; et al. Responsiveness of B cells is regulated by the hinge region of IgD. Nat. Immunol. 2015, 16, 534–543. [Google Scholar] [CrossRef]
- Noviski, M.; Mueller, J.L.; Satterthwaite, A.; Garrett-Sinha, L.A.; Brombacher, F.; Zikherman, J. IgM and IgD B cell receptors differentially respond to endogenous antigens and control B cell fate. Elife 2018, 7, e35074. [Google Scholar] [CrossRef]
- Roche, P.A.; Furuta, K. The ins and outs of MHC class II-mediated antigen processing and presentation. Nat. Rev. Immunol. 2015, 15, 203–216. [Google Scholar] [CrossRef]
- Nojima, T.; Haniuda, K.; Moutai, T.; Matsudaira, M.; Mizokawa, S.; Shiratori, I.; Azuma, T.; Kitamura, D. In-vitro derived germinal centre B cells differentially generate memory B or plasma cells in vivo. Nat. Commun. 2011, 2, 465. [Google Scholar] [CrossRef] [PubMed]
- Biedermann, T.; Heppt, W.; Renz, H.; Röcken, M. (Eds.) Allergologie; Springer: Berlin/Heidelberg, Germany, 2016; ISBN 978-3-642-37202-5. [Google Scholar]
- Brink, R.; Goodnow, C.C.; Crosbie, J.; Adams, E.; Eris, J.; Mason, D.Y.; Hartley, S.B.; Basten, A. Immunoglobulin M and D antigen receptors are both capable of mediating B lymphocyte activation, deletion, or anergy after interaction with specific antigen. J. Exp. Med. 1992, 176, 991–1005. [Google Scholar] [CrossRef] [PubMed]
- Weisel, N.M.; Joachim, S.M.; Smita, S.; Callahan, D.; Elsner, R.A.; Conter, L.J.; Chikina, M.; Farber, D.L.; Weisel, F.J.; Shlomchik, M.J. Surface phenotypes of naive and memory B cells in mouse and human tissues. Nat. Immunol. 2022, 23, 135–145. [Google Scholar] [CrossRef]
- Sanderson, R.D.; Lalor, P.; Bernfield, M. B lymphocytes express and lose syndecan at specific stages of differentiation. Cell Regul. 1989, 1, 27–35. [Google Scholar] [CrossRef] [PubMed]
- Chilosi, M.; Adami, F.; Lestani, M.; Montagna, L.; Cimarosto, L.; Semenzato, G.; Pizzolo, G.; Menestrina, F. CD138/syndecan-1: A useful immunohistochemical marker of normal and neoplastic plasma cells on routine trephine bone marrow biopsies. Mod. Pathol. 1999, 12, 1101–1106. [Google Scholar]
- Giorda, R.; Weisberg, E.P.; Ip, T.K.; Trucco, M. Genomic structure and strain-specific expression of the natural killer cell receptor NKR-P1. J. Immunol. 1992, 149, 1957–1963. [Google Scholar] [CrossRef]
- Walzer, T.; Bléry, M.; Chaix, J.; Fuseri, N.; Chasson, L.; Robbins, S.H.; Jaeger, S.; André, P.; Gauthier, L.; Daniel, L.; et al. Identification, activation, and selective in vivo ablation of mouse NK cells via NKp46. Proc. Natl. Acad. Sci. USA 2007, 104, 3384–3389. [Google Scholar] [CrossRef]
- Campbell, K.S. Natural Killer Cell Protocols; Humana Press: Totowa, NJ, USA, 2010; ISBN 978-1-60761-361-9. [Google Scholar]
- Chiossone, L.; Chaix, J.; Fuseri, N.; Roth, C.; Vivier, E.; Walzer, T. Maturation of mouse NK cells is a 4-stage developmental program. Blood 2009, 113, 5488–5496. [Google Scholar] [CrossRef] [PubMed]
- Hayakawa, Y.; Andrews, D.M.; Smyth, M.J. Subset analysis of human and mouse mature NK cells. Methods Mol. Biol. 2010, 612, 27–38. [Google Scholar] [CrossRef]
- Hayakawa, Y.; Smyth, M.J. CD27 dissects mature NK cells into two subsets with distinct responsiveness and migratory capacity. J. Immunol. 2006, 176, 1517–1524. [Google Scholar] [CrossRef]
- Wensveen, F.M.; Jelenčić, V.; Polić, B. NKG2D: A Master Regulator of Immune Cell Responsiveness. Front. Immunol. 2018, 9, 441. [Google Scholar] [CrossRef] [PubMed]
- Abel, A.M.; Yang, C.; Thakar, M.S.; Malarkannan, S. Natural Killer Cells: Development, Maturation, and Clinical Utilization. Front. Immunol. 2018, 9, 1869. [Google Scholar] [CrossRef] [PubMed]
- Ma, S.; Caligiuri, M.A.; Yu, J. A four-stage model for murine natural killer cell development in vivo. J. Hematol. Oncol. 2022, 15, 31. [Google Scholar] [CrossRef] [PubMed]
- Hamey, F.K.; Lau, W.W.Y.; Kucinski, I.; Wang, X.; Diamanti, E.; Wilson, N.K.; Göttgens, B.; Dahlin, J.S. Single-cell molecular profiling provides a high-resolution map of basophil and mast cell development. Allergy 2021, 76, 1731–1742. [Google Scholar] [CrossRef] [PubMed]
- Wu, L.; Van Kaer, L. Natural killer T cells in health and disease. Front. Biosci. 2011, 236. [Google Scholar] [CrossRef]
- Vicari, A.P.; Zlotnik, A. Mouse NK1.1+ T cells: A new family of T cells. Immunol. Today 1996, 17, 71–76. [Google Scholar] [CrossRef]
- Rose, S.; Misharin, A.; Perlman, H. A novel Ly6C/Ly6G-based strategy to analyze the mouse splenic myeloid compartment. Cytom. Part A J. Int. Soc. Anal. Cytol. 2012, 81, 343–350. [Google Scholar] [CrossRef]
- Hey, Y.-Y.; Tan, J.K.H.; O’Neill, H.C. Redefining Myeloid Cell Subsets in Murine Spleen. Front. Immunol. 2015, 6, 652. [Google Scholar] [CrossRef]
- Dong, M.B.; Rahman, M.J.; Tarbell, K.V. Flow cytometric gating for spleen monocyte and DC subsets: Differences in autoimmune NOD mice and with acute inflammation. J. Immunol. Methods 2016, 432, 4–12. [Google Scholar] [CrossRef]
- Liu, X.; Jiang, X.; Liu, R.; Wang, L.; Qian, T.; Zheng, Y.; Deng, Y.; Huang, E.; Xu, F.; Wang, J.-Y.; et al. B cells expressing CD11b effectively inhibit CD4+ T-cell responses and ameliorate experimental autoimmune hepatitis in mice. Hepatology 2015, 62, 1563–1575. [Google Scholar] [CrossRef]
- Kawai, K.; Tsuno, N.H.; Matsuhashi, M.; Kitayama, J.; Osada, T.; Yamada, J.; Tsuchiya, T.; Yoneyama, S.; Watanabe, T.; Takahashi, K.; et al. CD11b-mediated migratory property of peripheral blood B cells. J. Allergy Clin. Immunol. 2005, 116, 192–197. [Google Scholar] [CrossRef] [PubMed]
- Pahl, H.L.; Rosmarin, A.G.; Tenen, D.G. Characterization of the myeloid-specific CD11b promoter. Blood 1992, 79, 865–870. [Google Scholar] [CrossRef] [PubMed]
- Daley, J.M.; Thomay, A.A.; Connolly, M.D.; Reichner, J.S.; Albina, J.E. Use of Ly6G-specific monoclonal antibody to deplete neutrophils in mice. J. Leukoc. Biol. 2008, 83, 64–70. [Google Scholar] [CrossRef] [PubMed]
- Iwamoto, H.; Matsubara, T.; Nakazato, Y.; Namba, K.; Takeda, Y. Decreased expression of CD200R3 on mouse basophils as a novel marker for IgG1-mediated anaphylaxis. Immun. Inflamm. Dis. 2015, 3, 280–288. [Google Scholar] [CrossRef] [PubMed]
- Kimball, A.; Schaller, M.; Joshi, A.; Davis, F.M.; denDekker, A.; Boniakowski, A.; Bermick, J.; Obi, A.; Moore, B.; Henke, P.K.; et al. Ly6CHi Blood Monocyte/Macrophage Drive Chronic Inflammation and Impair Wound Healing in Diabetes Mellitus. Arterioscler. Thromb. Vasc. Biol. 2018, 38, 1102–1114. [Google Scholar] [CrossRef]
- León, B.; López-Bravo, M.; Ardavín, C. Monocyte-derived dendritic cells. Semin. Immunol. 2005, 17, 313–318. [Google Scholar] [CrossRef]
- Austyn, J.M.; Gordon, S. F4/80, a monoclonal antibody directed specifically against the mouse macrophage. Eur. J. Immunol. 1981, 11, 805–815. [Google Scholar] [CrossRef]
- Rocha-Resende, C.; Pani, F.; Adamo, L. B cells modulate the expression of MHC-II on cardiac CCR2- macrophages. J. Mol. Cell. Cardiol. 2021, 157, 98–103. [Google Scholar] [CrossRef]
- Bochner, B.S. Siglec-8 on human eosinophils and mast cells, and Siglec-F on murine eosinophils, are functionally related inhibitory receptors. Clin. Exp. Allergy J. Br. Soc. Allergy Clin. Immunol. 2009, 39, 317–324. [Google Scholar] [CrossRef]
- Rubinstein, E.; Cho, J.Y.; Rosenthal, P.; Chao, J.; Miller, M.; Pham, A.; Aceves, S.S.; Varki, A.; Broide, D.H. Siglec-F inhibition reduces esophageal eosinophilia and angiogenesis in a mouse model of eosinophilic esophagitis. J. Pediatr. Gastroenterol. Nutr. 2011, 53, 409–416. [Google Scholar] [CrossRef]
- Feng, Y.; Mao, H. Expression and preliminary functional analysis of Siglec-F on mouse macrophages. J. Zhejiang Univ. Sci. B 2012, 13, 386–394. [Google Scholar] [CrossRef] [PubMed]
- McGarry, M.P.; Stewart, C.C. Murine eosinophil granulocytes bind the murine macrophage-monocyte specific monoclonal antibody F4/80. J. Leukoc. Biol. 1991, 50, 471–478. [Google Scholar] [CrossRef] [PubMed]
- Durai, V.; Murphy, K.M. Functions of Murine Dendritic Cells. Immunity 2016, 45, 719–736. [Google Scholar] [CrossRef] [PubMed]
- Wirtz, S.; Becker, C.; Fantini, M.C.; Nieuwenhuis, E.E.; Tubbe, I.; Galle, P.R.; Schild, H.-J.; Birkenbach, M.; Blumberg, R.S.; Neurath, M.F. EBV-induced gene 3 transcription is induced by TLR signaling in primary dendritic cells via NF-kappa B activation. J. Immunol. 2005, 174, 2814–2824. [Google Scholar] [CrossRef] [PubMed]
- Fallarino, F.; Orabona, C.; Vacca, C.; Bianchi, R.; Gizzi, S.; Asselin-Paturel, C.; Fioretti, M.C.; Trinchieri, G.; Grohmann, U.; Puccetti, P. Ligand and cytokine dependence of the immunosuppressive pathway of tryptophan catabolism in plasmacytoid dendritic cells. Int. Immunol. 2005, 17, 1429–1438. [Google Scholar] [CrossRef]
- Zhang, J.; Raper, A.; Sugita, N.; Hingorani, R.; Salio, M.; Palmowski, M.J.; Cerundolo, V.; Crocker, P.R. Characterization of Siglec-H as a novel endocytic receptor expressed on murine plasmacytoid dendritic cell precursors. Blood 2006, 107, 3600–3608. [Google Scholar] [CrossRef]
- Stone, K.D.; Prussin, C.; Metcalfe, D.D. IgE, mast cells, basophils, and eosinophils. J. Allergy Clin. Immunol. 2010, 125, S73–S80. [Google Scholar] [CrossRef]
- Derakhshan, T.; Dwyer, D.F. Detection and Isolation of Airway Mast Cell Subsets in Mouse and Human. Methods Mol. Biol. 2022, 2506, 223–235. [Google Scholar] [CrossRef]
- Tsai, M.; Valent, P.; Galli, S.J. KIT as a master regulator of the mast cell lineage. J. Allergy Clin. Immunol. 2022, 149, 1845–1854. [Google Scholar] [CrossRef]
- Dungan, K.M.; Braithwaite, S.S.; Preiser, J.-C. Stress hyperglycaemia. Lancet 2009, 373, 1798–1807. [Google Scholar] [CrossRef]
- Surwit, R.S.; McCubbin, J.A.; Livingston, E.G.; Feinglos, M.N. Classically conditioned hyperglycemia in the obese mouse. Psychosom. Med. 1985, 47, 565–568. [Google Scholar] [CrossRef] [PubMed]
- Parelman, M.A.; Storms, D.H.; Kirschke, C.P.; Huang, L.; Zunino, S.J. Dietary strawberry powder reduces blood glucose concentrations in obese and lean C57BL/6 mice, and selectively lowers plasma C-reactive protein in lean mice. Br. J. Nutr. 2012, 108, 1789–1799. [Google Scholar] [CrossRef] [PubMed]
- Glastras, S.J.; Chen, H.; Teh, R.; McGrath, R.T.; Chen, J.; Pollock, C.A.; Wong, M.G.; Saad, S. Mouse Models of Diabetes, Obesity and Related Kidney Disease. PLoS ONE 2016, 11, e0162131. [Google Scholar] [CrossRef] [PubMed]
- Dülsner, A.; Greweling-Pils, M.; Hack, R.; Krüger, C.; Scherer, K.; Schmelting, B.; Schmidt, M.; Weinert, H. Arbeitskreis 4 der TVT. Empfehlung zur Blutentnahme bei Versuchstieren, Insbesondere Kleinen Versuchstieren. 2017. Available online: https://www.gv-solas.de/wp-content/uploads/2021/08/tie_blutentnahme17.pdf (accessed on 15 September 2024).
- Weaver, J.L.; McKinnon, K.; Germolec, D.R. Phenotypic analysis using very small volumes of blood. Curr. Protoc. Cytom. 2010, 54, 6.30.1–6.30.8. [Google Scholar] [CrossRef]
- Kare, A.J.; Nichols, L.; Zermeno, R.; Raie, M.N.; Tumbale, S.K.; Ferrara, K.W. OMIP-095: 40-Color spectral flow cytometry delineates all major leukocyte populations in murine lymphoid tissues. Cytom. Part A 2023, 103, 839–850. [Google Scholar] [CrossRef]
- Novak, J.; Jaric, I.; Rosso, M.; Rufener, R.; Touma, C.; Würbel, H. Handling method affects measures of anxiety, but not chronic stress in mice. Sci. Rep. 2022, 12, 20938. [Google Scholar] [CrossRef]
- Leiter, E.H.; Premdas, F.; Harrison, D.E.; Lipson, L.G. Aging and glucose homeostasis in C57BL/6J male mice. FASEB J. Off. Publ. Fed. Am. Soc. Exp. Biol. 1988, 2, 2807–2811. [Google Scholar] [CrossRef]
- Palliyaguru, D.L.; Shiroma, E.J.; Nam, J.K.; Duregon, E.; Vieira Ligo Teixeira, C.; Price, N.L.; Bernier, M.; Camandola, S.; Vaughan, K.L.; Colman, R.J.; et al. Fasting blood glucose as a predictor of mortality: Lost in translation. Cell Metab. 2021, 33, 2189–2200.e3. [Google Scholar] [CrossRef]
- Scheiermann, C.; Kunisaki, Y.; Frenette, P.S. Circadian control of the immune system. Nat. Rev. Immunol. 2013, 13, 190–198. [Google Scholar] [CrossRef]
- Jutta Hein. Labordiagnostische Referenzwerte / Besonderheiten: Maus, Ratte, Hamster, Gerbil, Hörnchen, Europ. Igel, Weißbauchigel und Stinktier. Available online: https://www.heimtieraerztin.de/wp-content/uploads/2020/07/hein-blut-referenzbereiche-kleinnager-igel-skunk.pdf (accessed on 15 September 2024).
- Rosenberger, G.R. Analyse der Migration von Thrombozyten in vivo. Dissertation; Tierärztliche Fakultät der Ludwig Maximilians Universität: München, Germany, 2017. [Google Scholar]
- Stadinski, B.D.; Huseby, E.S. How to Prevent yourself from Seeing Double. Cytometry. Part A J. Int. Soc. Anal. Cytol. 2020, 97, 1102–1104. [Google Scholar] [CrossRef]
- Sadighi Akha, A.A. Aging and the immune system: An overview. J. Immunol. Methods 2018, 463, 21–26. [Google Scholar] [CrossRef] [PubMed]
- López-Otín, C.; Blasco, M.A.; Partridge, L.; Serrano, M.; Kroemer, G. The hallmarks of aging. Cell 2013, 153, 1194–1217. [Google Scholar] [CrossRef] [PubMed]
- Rossi, D.J.; Bryder, D.; Zahn, J.M.; Ahlenius, H.; Sonu, R.; Wagers, A.J.; Weissman, I.L. Cell intrinsic alterations underlie hematopoietic stem cell aging. Proc. Natl. Acad. Sci. USA 2005, 102, 9194–9199. [Google Scholar] [CrossRef] [PubMed]
- Pang, W.W.; Price, E.A.; Sahoo, D.; Beerman, I.; Maloney, W.J.; Rossi, D.J.; Schrier, S.L.; Weissman, I.L. Human bone marrow hematopoietic stem cells are increased in frequency and myeloid-biased with age. Proc. Natl. Acad. Sci. USA 2011, 108, 20012–20017. [Google Scholar] [CrossRef]
- Bucher, C.H.; Schlundt, C.; Wulsten, D.; Sass, F.A.; Wendler, S.; Ellinghaus, A.; Thiele, T.; Seemann, R.; Willie, B.M.; Volk, H.-D.; et al. Experience in the Adaptive Immunity Impacts Bone Homeostasis, Remodeling, and Healing. Front. Immunol. 2019, 10, 797. [Google Scholar] [CrossRef]
- Klein, S.L.; Flanagan, K.L. Sex differences in immune responses. Nat. Rev. Immunol. 2016, 16, 626–638. [Google Scholar] [CrossRef]
- Nakada, D.; Oguro, H.; Levi, B.P.; Ryan, N.; Kitano, A.; Saitoh, Y.; Takeichi, M.; Wendt, G.R.; Morrison, S.J. Oestrogen increases haematopoietic stem-cell self-renewal in females and during pregnancy. Nature 2014, 505, 555–558. [Google Scholar] [CrossRef]
- Spitzer, J.A. Gender differences in some host defense mechanisms. Lupus 1999, 8, 380–383. [Google Scholar] [CrossRef]
| VioBlue | VioGreen | FITC/VioBright | PE | PE-Vio770 | APC | APC-Vio770 | |
|---|---|---|---|---|---|---|---|
| Panel 1: Lymphocytes | CD45 | CD8b | CD3 | CD25 | Sca-1 | CD4 | CD19 |
| Panel 2: NK cells | CD45 | CD11b | CD3 | NCR1 | CD27 | NKG2D | NK1.1 |
| Panel 3: T cells | CD45 | CD8b | CD62L | CD95 | CD4 | CD3 | CD44 |
| Panel 4: Monocytes | CD45 | MHCII | Ly6C | CD11b | CD200R3 | Ly6G | CD3, CD19, NK1.1 |
| Panel 5: Dendritic cells/mast cells | CD45 | MHCII | FcεRIα (IgE) | PDCA-1 | CD11c | CD117 | CD3, CD19, NK1.1 |
| Panel 6: Granulocytes | CD45 | Ly6C | Siglec-F | CD11b | CD200R3 | Ly6G | CD3, CD19, NK1.1 |
| Panel 7: Peripheral overview | CD45 | CD8b | CD3 | CD11b | CD4 | NK1.1 | CD19 |
Disclaimer/Publisher’s Note: The statements, opinions and data contained in all publications are solely those of the individual author(s) and contributor(s) and not of MDPI and/or the editor(s). MDPI and/or the editor(s) disclaim responsibility for any injury to people or property resulting from any ideas, methods, instructions or products referred to in the content. |
© 2024 by the authors. Licensee MDPI, Basel, Switzerland. This article is an open access article distributed under the terms and conditions of the Creative Commons Attribution (CC BY) license (https://creativecommons.org/licenses/by/4.0/).
Share and Cite
Arlt, E.; Kindermann, A.; Fritsche, A.-K.; Navarrete Santos, A.; Kielstein, H.; Bazwinsky-Wutschke, I. A Flow Cytometry-Based Examination of the Mouse White Blood Cell Differential in the Context of Age and Sex. Cells 2024, 13, 1583. https://doi.org/10.3390/cells13181583
Arlt E, Kindermann A, Fritsche A-K, Navarrete Santos A, Kielstein H, Bazwinsky-Wutschke I. A Flow Cytometry-Based Examination of the Mouse White Blood Cell Differential in the Context of Age and Sex. Cells. 2024; 13(18):1583. https://doi.org/10.3390/cells13181583
Chicago/Turabian StyleArlt, Elise, Andrea Kindermann, Anne-Kristin Fritsche, Alexander Navarrete Santos, Heike Kielstein, and Ivonne Bazwinsky-Wutschke. 2024. "A Flow Cytometry-Based Examination of the Mouse White Blood Cell Differential in the Context of Age and Sex" Cells 13, no. 18: 1583. https://doi.org/10.3390/cells13181583
APA StyleArlt, E., Kindermann, A., Fritsche, A.-K., Navarrete Santos, A., Kielstein, H., & Bazwinsky-Wutschke, I. (2024). A Flow Cytometry-Based Examination of the Mouse White Blood Cell Differential in the Context of Age and Sex. Cells, 13(18), 1583. https://doi.org/10.3390/cells13181583

