Proteomic Analysis of Circulating Extracellular Vesicles Identifies Potential Biomarkers for Lymph Node Metastasis in Oral Tongue Squamous Cell Carcinoma
Abstract
1. Introduction
2. Materials and Methods
2.1. Participants, Ethics, and Consent
2.2. Extracellular Vesicle Isolation
2.3. Transmission Electron Microscopy (TEM)
2.4. Nanoparticle Tracking Analysis (NTA)
2.5. Western Blot
2.6. Extracellular Vesicle Protein Digestion and Labelling
2.7. Liquid Chromatography Tandem Mass Spectrometry Analysis
2.8. Data Analysis
2.9. Statistical Analysis
3. Results
3.1. Patient and Clinical Characteristics
3.2. Validation of Isolated EVs
3.3. Quantitative Extracellular Vesicle Proteomic Profiling
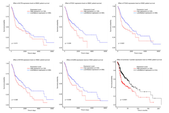
3.4. Analysis of EV-Associated Proteins of Interest
4. Discussion
Supplementary Materials
Author Contributions
Funding
Institutional Review Board Statement
Informed Consent Statement
Data Availability Statement
Acknowledgments
Conflicts of Interest
References
- Sung, H.; Ferlay, J.; Siegel, R.L.; Laversanne, M.; Soerjomataram, I.; Jemal, A.; Bray, F. Global cancer statistics 2020: GLOBOCAN estimates of incidence and mortality worldwide for 36 cancers in 185 countries. CA Cancer J. Clin. 2021, 71, 209–249. [Google Scholar] [CrossRef]
- Rubin, P.; McDonald, S.; Qazi, R. Clinical Oncology: A Multidisciplinary Approach for Physicians and Students; Saunders: Philadelphia, PA, USA, 1993. [Google Scholar]
- Kreeft, A.; Tan, I.B.; van den Brekel, M.W.; Hilgers, F.J.; Balm, A.J. The surgical dilemma of ‘functional inoperability’ in oral and oropharyngeal cancer: Current consensus on operability with regard to functional results. Clin. Otolaryngol. 2009, 34, 140–146. [Google Scholar] [CrossRef]
- Belcher, R.; Hayes, K.; Fedewa, S.; Chen, A.Y. Current treatment of head and neck squamous cell cancer. J. Surg. Oncol. 2014, 110, 551–574. [Google Scholar] [CrossRef]
- Pantel, K.; Brakenhoff, R.H. Dissecting the metastatic cascade. Nat. Rev. Cancer 2004, 4, 448–456. [Google Scholar] [CrossRef]
- Leung, L.L.; Riaz, M.K.; Qu, X.; Chan, J.; Meehan, K. Profiling of extracellular vesicles in oral cancer, from transcriptomics to proteomics. Semin. Cancer Biol. 2021, in press. [Google Scholar] [CrossRef]
- Qu, X.; Li, J.W.; Chan, J.; Meehan, K. Extracellular Vesicles in Head and Neck Cancer: A Potential New Trend in Diagnosis, Prognosis, and Treatment. Int. J. Mol. Sci. 2020, 21, 8260. [Google Scholar] [CrossRef] [PubMed]
- Thakur, A.; Qiu, G.; Xu, C.; Han, X.; Yang, T.; Ng, S.P.; Chan, K.W.Y.; Wu, C.M.L.; Lee, Y. Label-free sensing of exosomal MCT1 and CD147 for tracking metabolic reprogramming and malignant progression in glioma. Sci. Adv. 2020, 6, eaaz6119. [Google Scholar] [CrossRef]
- Zhang, H.; Deng, T.; Liu, R.; Bai, M.; Zhou, L.; Wang, X.; Li, S.; Wang, X.; Yang, H.; Li, J.; et al. Exosome-delivered EGFR regulates liver microenvironment to promote gastric cancer liver metastasis. Nat. Commun. 2017, 8, 15016. [Google Scholar] [CrossRef]
- Zeng, Z.; Li, Y.; Pan, Y.; Lan, X.; Song, F.; Sun, J.; Zhou, K.; Liu, X.; Ren, X.; Wang, F.; et al. Cancer-derived exosomal miR-25-3p promotes pre-metastatic niche formation by inducing vascular permeability and angiogenesis. Nat. Commun. 2018, 9, 5395. [Google Scholar] [CrossRef] [PubMed]
- Hoshino, A.; Costa-Silva, B.; Shen, T.L.; Rodrigues, G.; Hashimoto, A.; Tesic Mark, M.; Molina, H.; Kohsaka, S.; Di Giannatale, A.; Ceder, S.; et al. Tumour exosome integrins determine organotropic metastasis. Nature 2015, 527, 329–335. [Google Scholar] [CrossRef] [PubMed]
- Luo, D.; Zhan, S.; Xia, W.; Huang, L.; Ge, W.; Wang, T. Proteomics study of serum exosomes from papillary thyroid cancer patients. Endocr.-Relat. Cancer 2018, 25, 879–891. [Google Scholar] [CrossRef] [PubMed]
- Li, C.; Zhou, Y.; Liu, J.; Su, X.; Qin, H.; Huang, S.; Huang, X.; Zhou, N. Potential Markers from Serum-Purified Exosomes for Detecting Oral Squamous Cell Carcinoma Metastasis. Cancer Epidemiol. Biomark. Prev. 2019, 28, 1668–1681. [Google Scholar] [CrossRef]
- Fonseka, P.; Pathan, M.; Chitti, S.V.; Kang, T.; Mathivanan, S. FunRich enables enrichment analysis of OMICs datasets. J. Mol. Biol. 2021, 433, 166747. [Google Scholar] [CrossRef] [PubMed]
- Snel, B.; Lehmann, G.; Bork, P.; Huynen, M.A. STRING: A web-server to retrieve and display the repeatedly occurring neighbourhood of a gene. Nucleic Acids Res. 2000, 28, 3442–3444. [Google Scholar] [CrossRef]
- Chandrashekar, D.S.; Bashel, B.; Balasubramanya, S.A.H.; Creighton, C.J.; Ponce-Rodriguez, I.; Chakravarthi, B.; Varambally, S. UALCAN: A Portal for Facilitating Tumor Subgroup Gene Expression and Survival Analyses. Neoplasia 2017, 19, 649–658. [Google Scholar] [CrossRef]
- Lawrence, M.S.; Sougnez, C.; Lichtenstein, L.; Cibulskis, K.; Lander, E.; Gabriel, S.B.; Getz, G.; Ally, A.; Balasundaram, M.; Birol, I.; et al. Comprehensive genomic characterization of head and neck squamous cell carcinomas. Nature 2015, 517, 576–582. [Google Scholar] [CrossRef]
- Nagy, A.; Munkacsy, G.; Gyorffy, B. Pancancer survival analysis of cancer hallmark genes. Sci. Rep. 2021, 11, 6047. [Google Scholar] [CrossRef]
- Rodrigues-Junior, D.M.; Tan, S.S.; de Souza Viana, L.; Carvalho, A.L.; Lim, S.K.; Iyer, N.G.; Vettore, A.L. A preliminary investigation of circulating extracellular vesicles and biomarker discovery associated with treatment response in head and neck squamous cell carcinoma. BMC Cancer 2019, 19, 373. [Google Scholar] [CrossRef]
- Théry, C.; Witwer, K.W.; Aikawa, E.; Alcaraz, M.J.; Anderson, J.D.; Andriantsitohaina, R.; Antoniou, A.; Arab, T.; Archer, F.; Atkin-Smith, G.K.; et al. Minimal information for studies of extracellular vesicles 2018 (MISEV2018): A position statement of the International Society for Extracellular Vesicles and update of the MISEV2014 guidelines. J. Extracell. Vesicles 2018, 8, 1535750. [Google Scholar] [CrossRef]
- Carroll, J.; Altman, M.C.; Fearnley, I.M.; Walker, J.E. Identification of membrane proteins by tandem mass spectrometry of protein ions. Proc. Natl. Acad. Sci. USA 2007, 104, 14330–14335. [Google Scholar] [CrossRef]
- Zhong, Z.; Rosenow, M.; Xiao, N.; Spetzler, D. Profiling plasma extracellular vesicle by pluronic block-copolymer based enrichment method unveils features associated with breast cancer aggression, metastasis and invasion. J. Extracell. Vesicles 2018, 7, 1458574. [Google Scholar] [CrossRef] [PubMed]
- Melo, S.A.; Luecke, L.B.; Kahlert, C.; Fernandez, A.F.; Gammon, S.T.; Kaye, J.; LeBleu, V.S.; Mittendorf, E.A.; Weitz, J.; Rahbari, N.; et al. Glypican-1 identifies cancer exosomes and detects early pancreatic cancer. Nature 2015, 523, 177–182. [Google Scholar] [CrossRef] [PubMed]
- Wang, X.; Cheng, K.; Zhang, G.; Jia, Z.; Yu, Y.; Guo, J.; Hua, Y.; Guo, F.; Li, X.; Zou, W.; et al. Enrichment of CD44 in Exosomes From Breast Cancer Cells Treated With Doxorubicin Promotes Chemoresistance. Front. Oncol. 2020, 10, 960. [Google Scholar] [CrossRef] [PubMed]
- Badimon, L.; Suades, R.; Fuentes, E.; Palomo, I.; Padro, T. Role of Platelet-Derived Microvesicles As Crosstalk Mediators in Atherothrombosis and Future Pharmacology Targets: A Link between Inflammation, Atherosclerosis, and Thrombosis. Front. Pharmacol. 2016, 7, 293. [Google Scholar] [CrossRef]
- Ge, R.; Tan, E.; Sharghi-Namini, S.; Asada, H.H. Exosomes in Cancer Microenvironment and Beyond: Have we Overlooked these Extracellular Messengers? Cancer Microenviron. 2012, 5, 323–332. [Google Scholar] [CrossRef]
- Smolarz, M.; Pietrowska, M.; Matysiak, N.; Mielanczyk, L.; Widlak, P. Proteome Profiling of Exosomes Purified from a Small Amount of Human Serum: The Problem of Co-Purified Serum Components. Proteomes 2019, 7, 18. [Google Scholar] [CrossRef]
- Ono, K.; Eguchi, T.; Sogawa, C.; Calderwood, S.K.; Futagawa, J.; Kasai, T.; Seno, M.; Okamoto, K.; Sasaki, A.; Kozaki, K.I. HSP-enriched properties of extracellular vesicles involve survival of metastatic oral cancer cells. J. Cell Biochem. 2018, 119, 7350–7362. [Google Scholar] [CrossRef]
- Hoshino, A.; Kim, H.S.; Bojmar, L.; Gyan, K.E.; Cioffi, M.; Hernandez, J.; Zambirinis, C.P.; Rodrigues, G.; Molina, H.; Heissel, S.; et al. Extracellular Vesicle and Particle Biomarkers Define Multiple Human Cancers. Cell 2020, 182, 1044–1061.e1018. [Google Scholar] [CrossRef]
- Sa, J.O.; Trino, L.D.; Oliveira, A.K.; Lopes, A.F.B.; Granato, D.C.; Normando, A.G.C.; Santos, E.S.; Neves, L.X.; Carnielli, C.M.; Paes Leme, A.F. Proteomic approaches to assist in diagnosis and prognosis of oral cancer. Expert Rev. Proteom. 2021, 18, 1–24. [Google Scholar] [CrossRef]
- Hortin, G.L.; Sviridov, D. The dynamic range problem in the analysis of the plasma proteome. J. Proteom. 2010, 73, 629–636. [Google Scholar] [CrossRef] [PubMed]
- Prats, A.C.; Van den Berghe, L.; Rayssac, A.; Ainaoui, N.; Morfoisse, F.; Pujol, F.; Legonidec, S.; Bikfalvi, A.; Prats, H.; Pyronnet, S.; et al. CXCL4L1-fibstatin cooperation inhibits tumor angiogenesis, lymphangiogenesis and metastasis. Microvasc. Res. 2013, 89, 25–33. [Google Scholar] [CrossRef][Green Version]
- Struyf, S.; Burdick, M.D.; Peeters, E.; Van den Broeck, K.; Dillen, C.; Proost, P.; Van Damme, J.; Strieter, R.M. Platelet factor-4 variant chemokine CXCL4L1 inhibits melanoma and lung carcinoma growth and metastasis by preventing angiogenesis. Cancer Res. 2007, 67, 5940–5948. [Google Scholar] [CrossRef]
- Vandercappellen, J.; Van Damme, J.; Struyf, S. The role of the CXC chemokines platelet factor-4 (CXCL4/PF-4) and its variant (CXCL4L1/PF-4var) in inflammation, angiogenesis and cancer. Cytokine Growth Factor Rev. 2011, 22, 1–18. [Google Scholar] [CrossRef]
- Aragao, A.Z.; Belloni, M.; Simabuco, F.M.; Zanetti, M.R.; Yokoo, S.; Domingues, R.R.; Kawahara, R.; Pauletti, B.A.; Goncalves, A.; Agostini, M.; et al. Novel processed form of syndecan-1 shed from SCC-9 cells plays a role in cell migration. PLoS ONE 2012, 7, e43521. [Google Scholar] [CrossRef]
- Farnedi, A.; Rossi, S.; Bertani, N.; Gulli, M.; Silini, E.M.; Mucignat, M.T.; Poli, T.; Sesenna, E.; Lanfranco, D.; Montebugnoli, L.; et al. Proteoglycan-based diversification of disease outcome in head and neck cancer patients identifies NG2/CSPG4 and syndecan-2 as unique relapse and overall survival predicting factors. BMC Cancer 2015, 15, 352. [Google Scholar] [CrossRef]
- Kurokawa, H.; Zhang, M.; Matsumoto, S.; Yamashita, Y.; Tanaka, T.; Takamori, K.; Igawa, K.; Yoshida, M.; Fukuyama, H.; Takahashi, T.; et al. Reduced syndecan-1 expression is correlated with the histological grade of malignancy at the deep invasive front in oral squamous cell carcinoma. J. Oral Pathol. Med. 2006, 35, 301–306. [Google Scholar] [CrossRef]
- Martinez, A.; Spencer, M.L.; Brethauer, U.; Grez, P.; Marchesani, F.J.; Rojas, I.G. Reduction of syndecan-1 expression during lip carcinogenesis. J. Oral Pathol. Med. 2009, 38, 580–583. [Google Scholar] [CrossRef]
- Ro, Y.; Muramatsu, T.; Shima, K.; Yajima, Y.; Shibahara, T.; Noma, H.; Shimono, M. Correlation between reduction of syndecan-1 expression and clinico-pathological parameters in squamous cell carcinoma of tongue. Int. J. Oral Maxillofac. Surg. 2006, 35, 252–257. [Google Scholar] [CrossRef] [PubMed]
- Manon-Jensen, T.; Itoh, Y.; Couchman, J.R. Proteoglycans in health and disease: The multiple roles of syndecan shedding. FEBS J. 2010, 277, 3876–3889. [Google Scholar] [CrossRef]
- Zong, F.; Fthenou, E.; Mundt, F.; Szatmari, T.; Kovalszky, I.; Szilak, L.; Brodin, D.; Tzanakakis, G.; Hjerpe, A.; Dobra, K. Specific syndecan-1 domains regulate mesenchymal tumor cell adhesion, motility and migration. PLoS ONE 2011, 6, e14816. [Google Scholar] [CrossRef] [PubMed]
- Uchiyama, Y.; Sasai, T.; Nakatani, A.; Shimamoto, H.; Tsujimoto, T.; Kreiborg, S.; Murakami, S. Distant metastasis from oral cavity-correlation between histopathology results and primary site. Oral Radiol. 2021, 37, 167–179. [Google Scholar] [CrossRef]
- Agostinis, C.; Vidergar, R.; Belmonte, B.; Mangogna, A.; Amadio, L.; Geri, P.; Borelli, V.; Zanconati, F.; Tedesco, F.; Confalonieri, M.; et al. Complement Protein C1q Binds to Hyaluronic Acid in the Malignant Pleural Mesothelioma Microenvironment and Promotes Tumor Growth. Front. Immunol. 2017, 8, 1559. [Google Scholar] [CrossRef] [PubMed]
- Bandini, S.; Macagno, M.; Hysi, A.; Lanzardo, S.; Conti, L.; Bello, A.; Riccardo, F.; Ruiu, R.; Merighi, I.F.; Forni, G.; et al. The non-inflammatory role of C1q during Her2/neu-driven mammary carcinogenesis. Oncoimmunology 2016, 5, e1253653. [Google Scholar] [CrossRef] [PubMed]
- Bulla, R.; Tripodo, C.; Rami, D.; Ling, G.S.; Agostinis, C.; Guarnotta, C.; Zorzet, S.; Durigutto, P.; Botto, M.; Tedesco, F. C1q acts in the tumour microenvironment as a cancer-promoting factor independently of complement activation. Nat. Commun. 2016, 7, 10346. [Google Scholar] [CrossRef] [PubMed]
- Hong, Q.; Sze, C.I.; Lin, S.R.; Lee, M.H.; He, R.Y.; Schultz, L.; Chang, J.Y.; Chen, S.J.; Boackle, R.J.; Hsu, L.J.; et al. Complement C1q activates tumor suppressor WWOX to induce apoptosis in prostate cancer cells. PLoS ONE 2009, 4, e5755. [Google Scholar] [CrossRef]
- Adhikari, S.; Nice, E.C.; Deutsch, E.W.; Lane, L.; Omenn, G.S.; Pennington, S.R.; Paik, Y.K.; Overall, C.M.; Corrales, F.J.; Cristea, I.M.; et al. A high-stringency blueprint of the human proteome. Nat. Commun. 2020, 11, 5301. [Google Scholar] [CrossRef]
- Lázaro-Ibáñez, E.; Lässer, C.; Shelke, G.V.; Crescitelli, R.; Jang, S.C.; Cvjetkovic, A.; García-Rodríguez, A.; Lötvall, J. DNA analysis of low- and high-density fractions defines heterogeneous subpopulations of small extracellular vesicles based on their DNA cargo and topology. J. Extracell. Vesicles 2019, 8, 1656993. [Google Scholar] [CrossRef]
- Ortiz, A. Not all extracellular vesicles were created equal: Clinical implications. Ann. Transl. Med. 2017, 5, 111. [Google Scholar] [CrossRef]
- Ghiraldini, F.G.; Filipescu, D.; Bernstein, E. Solid tumours hijack the histone variant network. Nat. Rev. Cancer 2021, 21, 257–275. [Google Scholar] [CrossRef]
- Lucien, F.; Lac, V.; Billadeau, D.D.; Borgida, A.; Gallinger, S.; Leong, H.S. Glypican-1 and glycoprotein 2 bearing extracellular vesicles do not discern pancreatic cancer from benign pancreatic diseases. Oncotarget 2019, 10, 1045–1055. [Google Scholar] [CrossRef]
- Meehan, K.; Leslie, C.; Lucas, M.; Jacques, A.; Mirzai, B.; Lim, J.; Bulsara, M.; Khan, Y.; Wong, N.C.; Solomon, B.; et al. Characterization of the immune profile of oral tongue squamous cell carcinomas with advancing disease. Cancer Med. 2020, 9, 4791–4807. [Google Scholar] [CrossRef]



| Characteristics | Total | Non-Nodal OTSCC | Nodal OTSCC |
|---|---|---|---|
| (n = 14) | (n = 8) | (n = 6) | |
| Age | |||
| Median (range) years | 61 (52–74) | 62 (58–74) | 60 (53–65) |
| Gender | |||
| Female | 5 (36%) | 4 (50%) | 1 (17%) |
| Male | 9 (64%) | 4 (50%) | 5 (83%) |
| T Stage | |||
| 1 | 7 (50%) | 7 (87.5%) | 0 (0%) |
| 2 | 3 (21.5%) | 1 (12.5%) | 2 (33%) |
| 3 | 0 (0%) | 0 (0%) | 0 (0%) |
| 4 | 1 (7%) | 0 (0%) | 1 (17%) |
| 4a | 3 (21.5%) | 0 (0%) | 3 (50%) |
| N Stage | |||
| 0 | 8 (57%) | 8 (100%) | 0 (0%) |
| 1 | 1 (7%) | 0 (0%) | 1 (17%) |
| 2b | 5 (36%) | 0 (0%) | 5 (83%) |
| Alcohol consumption | |||
| Drinker | 5 (36%) | 3 (38%) | 2 (33%) |
| Non-drinker | 9 (64%) | 5 (62%) | 4 (67%) |
| Smoking or tobacco use | |||
| Ex-smoker | 3 (21.5%) | 2 (25%) | 1 (17%) |
| Current smoker | 3 (21.5%) | 1 (12.5%) | 2 (33%) |
| Non-smoker | 8 (57%) | 5 (62%) | 3 (50%) |
| Accession | Description | Raw Abundance | Fold Change | ||||
|---|---|---|---|---|---|---|---|
| HC | NN-OTSCC | N-OTSCC | NN-OTSCC Relative to HC | N-OTSCC Relative to HC | N Relative to NN-OTSCC | ||
| Potential markers of OTSCC, may also be informative of nodal status | |||||||
| P10720 | Platelet factor 4 variant * | 103.9 | 177.2 | 54.1 | 1.7 * | 0.5 * | 0.3 * |
| P04350 | Tubulin beta-4A chain | 66.9 | 109.7 | 36.2 | 1.6 | 0.5 | 0.3 |
| Q16778 | Histone H2B type 2-E *,^ | 41.4 | 85.7 | 21.6 | 2.1 * | 0.5 | 0.3 |
| P02452 | Collagen alpha-1(I) *,^ | 78.8 | 181.1 | 41.8 | 2.3 * | 0.5 | 0.2 |
| Potential markers of OTSCC but not informative on nodal status | |||||||
| P18827 | Syndecan-1 *,^ | 53.8 | 85.5 | 78.2 | 1.6 * | 1.5 * | 0.9 |
| P08865 | 40S ribosomal protein SA *,^ | 141.8 | 77 | 70.4 | 0.5 * | 0.5 | 0.9 |
| Potential markers of nodal OTSCC but not non-nodal disease | |||||||
| P16144-1 | Integrin beta-4 ^ | 83.4 | 85.2 | 44.3 | 1.0 | 0.5 | 0.5 |
| P49913 | Cathelicidin antimicrobial peptide | 110.8 | 115.3 | 34.7 | 1.0 | 0.3 | 0.3 |
| Q13201 | Multimerin-1 * | 116.1 | 135.2 | 49.3 | 1.2 | 0.4 * | 0.4 |
| P02786 | Transferrin receptor protein 1 ^ | 111 | 93.4 | 55.7 | 0.8 | 0.5 | 0.6 |
| P04003 | C4b-binding protein alpha | 128.2 | 74.4 | 122.2 | 0.6 | 1.0 | 1.6 |
| P05556-1 | Integrin beta-1 ^ | 76.7 | 91 | 49.5 | 1.2 | 0.6 | 0.5 |
| P35579-1 | Myosin-9 ^ | 61.7 | 88.4 | 45.2 | 1.4 | 0.7 | 0.5 |
| Q99459 | Cell division cycle 5-like Protein ^ | 124.8 | 141.4 | 73.4 | 1.1 | 0.6 | 0.5 |
| O00468 | Agrin ^ | 50.7 | 69.6 | 32.5 | 1.4 | 0.6 | 0.5 |
| P26006 | Integrin alpha-3 ^ | 46.1 | 58.7 | 31.3 | 1.3 | 0.7 | 0.5 |
| P16070 | CD44 antigen ^ | 68.2 | 98 | 45.8 | 1.4 | 0.7 | 0.5 |
| Potential markers of non-nodal OTSCC but not nodal disease | |||||||
| P35542 | Serum amyloid A-4 protein * | 87 | 164.6 | 72.5 | 1.9 | 0.8 | 0.4 * |
| P27169 | Serum paraoxonase/ arylesterase 1 *,^ | 80.5 | 178.9 | 75 | 2.2 | 0.9 | 0.4 * |
| P09758 | Tumour-associated calcium signal transducer 2 | 61.1 | 115.1 | 51.6 | 1.9 | 0.8 | 0.4 |
| P11047 | Laminin subunit gamma-1 *,^ | 56.7 | 90.6 | 41.1 | 1.6 * | 0.7 | 0.5 |
| P01116 | GTPase Kras ^ | 51.1 | 93.7 | 51.3 | 1.8 * | 1.0 | 0.5 |
| P12111 | Collagen alpha-3(VI) * | 74 | 196.7 | 54.7 | 2.7 * | 0.7 | 0.3 |
| P68104 | Elongation factor 1 alpha 1 ^ | 40 | 137.9 | 34.1 | 3.4 | 0.9 | 0.2 |
| O15230 | Laminin subunit alpha-5 * | 62.9 | 95.3 | 47.5 | 1.5 * | 0.8 | 0.5 |
| P11226 | Mannose-binding protein C | 78.9 | 138.6 | 73.8 | 1.8 | 0.9 | 0.5 |
| P06396 | Gelsolin ^ | 73.6 | 142.3 | 67.1 | 1.9 | 0.9 | 0.5 |
| P02746 | Complement C1q subcomponent subunit B * | 58.2 | 327.9 | 40.3 | 5.6 * | 0.7 | 0.1 |
| A1L4H1-1 | Soluble scavenger receptor cysteine-rich domain-containing protein SSC5D ^ | 79.9 | 154.3 | 66.1 | 1.9 | 0.8 | 0.4 |
| P55268 | Laminin subunit beta-2 ^ | 53.4 | 79.3 | 38.8 | 1.5 | 0.7 | 0.5 |
| P02748 | Complement component C9 * | 75.8 | 168.8 | 75.1 | 2.2 * | 1.0 | 0.4 |
| P02747 | Complement C1q subcomponent subunit C *,^ | 100.6 | 206.1 | 75.1 | 2.0 * | 0.7 | 0.4 |
| Q16777 | Histone H2A type 2-C *,^ | 42.9 | 83 | 26.3 | 1.9 * | 0.6 | 0.3 |
| P60709 | Actin, cytoplasmic 1 * | 45.1 | 110.3 | 30.7 | 2.4 * | 0.7 | 0.3 |
| P0DJI9 | Serum amyloid A-2 protein * | 74.7 | 149.3 | 46.3 | 2.0 | 0.6 | 0.3 * |
| P20851 | C4b-binding protein beta *,^ | 132.8 | 56.7 | 127.8 | 0.4 | 1.0 | 2.3 * |
| P33981 | Dual specificity protein kinase TTK *,^ | 180.3 | 58.1 | 124.5 | 0.3 | 0.7 | 2.1 * |
| Q15485-1 | Ficolin-2 | 73.1 | 120.3 | 85.6 | 1.6 | 1.2 | 0.7 |
| Q9Y4F5 | Centrosomal protein of 170 kDa protein B | 67.2 | 108.8 | 79.5 | 1.6 | 1.2 | 0.7 |
| P04275 | Von Willebrand factor | 66 | 105 | 69.5 | 1.6 | 1.1 | 0.7 |
| P62937 | Peptidyl-prolyl cis-trans isomerase A *,^ | 50.7 | 80.3 | 50.8 | 1.6 * | 1.0 | 0.6 |
| P02751 | Fibronectin * | 71.6 | 109.8 | 86.8 | 1.5 * | 1.2 | 0.8 |
| P27105 | Erythrocyte band 7 integral membrane protein *,^ | 54 | 78.5 | 62.5 | 1.5 * | 1.2 | 0.8 |
| Accession | Description | Raw Abundance | Fold Change | ||||
|---|---|---|---|---|---|---|---|
| HC | NN-OTSCC | N-OTSCC | NN-OTSCC Relative to HC | N-OTSCC Relative to HC | N Relative to NN-OTSCC | ||
| De-regulated in all comparison groups | |||||||
| P02652 | Apolipoprotein A-II | 75.6 | 126.3 | 69.4 | 1.7 | 0.9 | 0.5 |
| P06727 | Apolipoprotein A-IV | 87.3 | 185.2 | 53.6 | 2.1 | 0.6 | 0.3 |
| P01859 | Immunoglobulin heavy constant gamma 2 | 79.5 | 143.4 | 46.4 | 1.8 | 0.6 | 0.3 |
| A0A0C4DH29 | Immunoglobulin heavy variable 1-3 | 42.9 | 157.9 | 61.1 | 3.7 | 1.4 | 0.4 |
| P01591 | Immunoglobulin J chain | 106.7 | 164.2 | 79.5 | 1.5 | 0.7 | 0.5 |
| P01601 | Immunoglobulin kappa variable 1D-16 | 95.1 | 181.3 | 65.1 | 1.9 | 0.7 | 0.4 |
| P06312 | immunoglobulin kappa variable 4-1 | 93.3 | 143.8 | 62.3 | 1.5 | 0.7 | 0.4 |
| A0A075B6J9 | immunoglobulin lambda variable 2-18 | 84.1 | 156.3 | 50.1 | 1.9 | 0.6 | 0.3 |
| P01709 | Immunoglobulin lambda variable 2-8 | 100 | 162.5 | 70.7 | 1.6 | 0.7 | 0.4 |
| A0A075B6I9 | Immunoglobulin lambda variable 7-46 | 78.4 | 196.3 | 72.5 | 2.5 | 0.9 | 0.4 |
| P13645 | Keratin, type I cytoskeletal 10 | 72.7 | 136.5 | 71.6 | 1.9 | 1.0 | 0.5 |
| P04264 | Keratin, type II cytoskeletal 1 | 60.4 | 146.2 | 61.5 | 2.4 | 1.0 | 0.4 |
| P02787 | Serotransferrin | 77.6 | 119.4 | 62.8 | 1.5 | 0.8 | 0.5 |
| P68871 | Hemoglobin subunit beta | 74.6 | 117.8 | 89.1 | 1.6 | 1.2 | 0.8 |
| P01857 | Immunoglobulin heavy constant gamma 1 | 74.9 | 127.2 | 80.6 | 1.7 | 1.1 | 0.6 |
| A0A0C4DH31 | Immunoglobulin heavy variable 1-18 | 78.2 | 130.7 | 93.9 | 1.7 | 1.2 | 0.7 |
| P02671-1 | Fibrinogen alpha chain | 63.3 | 108.8 | 134.4 | 1.7 | 2.1 | 1.2 |
| P02675 | Fibrinogen beta chain | 73.1 | 114.7 | 136.9 | 1.6 | 1.9 | 1.2 |
| P00738 | Haptoglobin | 49.6 | 95.6 | 133.4 | 1.9 | 2.7 | 1.4 |
| P02679 | Fibrinogen gamma chain | 70.2 | 95.3 | 146.3 | 1.4 | 2.1 | 1.5 |
| O14791 | Apolipoprotein L1 | 91.2 | 128.8 | 68.1 | 1.4 | 0.7 | 0.5 |
| P01624 | Immunoglobulin kappa variable 3-15 | 137.4 | 141.2 | 67.4 | 1.0 | 0.5 | 0.5 |
Publisher’s Note: MDPI stays neutral with regard to jurisdictional claims in published maps and institutional affiliations. |
© 2021 by the authors. Licensee MDPI, Basel, Switzerland. This article is an open access article distributed under the terms and conditions of the Creative Commons Attribution (CC BY) license (https://creativecommons.org/licenses/by/4.0/).
Share and Cite
Qu, X.; Leung, T.C.N.; Ngai, S.-M.; Tsai, S.-N.; Thakur, A.; Li, W.-K.; Lee, Y.; Leung, L.; Ng, T.-H.; Yam, J.; et al. Proteomic Analysis of Circulating Extracellular Vesicles Identifies Potential Biomarkers for Lymph Node Metastasis in Oral Tongue Squamous Cell Carcinoma. Cells 2021, 10, 2179. https://doi.org/10.3390/cells10092179
Qu X, Leung TCN, Ngai S-M, Tsai S-N, Thakur A, Li W-K, Lee Y, Leung L, Ng T-H, Yam J, et al. Proteomic Analysis of Circulating Extracellular Vesicles Identifies Potential Biomarkers for Lymph Node Metastasis in Oral Tongue Squamous Cell Carcinoma. Cells. 2021; 10(9):2179. https://doi.org/10.3390/cells10092179
Chicago/Turabian StyleQu, Xinyu, Thomas C. N. Leung, Sai-Ming Ngai, Sau-Na Tsai, Abhimanyu Thakur, Wing-Kar Li, Youngjin Lee, Leanne Leung, Tung-Him Ng, Judy Yam, and et al. 2021. "Proteomic Analysis of Circulating Extracellular Vesicles Identifies Potential Biomarkers for Lymph Node Metastasis in Oral Tongue Squamous Cell Carcinoma" Cells 10, no. 9: 2179. https://doi.org/10.3390/cells10092179
APA StyleQu, X., Leung, T. C. N., Ngai, S.-M., Tsai, S.-N., Thakur, A., Li, W.-K., Lee, Y., Leung, L., Ng, T.-H., Yam, J., Lan, L., Lau, E. H. L., Wong, E. W. Y., Chan, J. Y. K., & Meehan, K. (2021). Proteomic Analysis of Circulating Extracellular Vesicles Identifies Potential Biomarkers for Lymph Node Metastasis in Oral Tongue Squamous Cell Carcinoma. Cells, 10(9), 2179. https://doi.org/10.3390/cells10092179

