Neurodevelopmental Processes in the Prefrontal Cortex Derailed by Chronic HIV-1 Viral Protein Exposure
Abstract
1. Introduction
2. Materials and Methods
2.1. Animals
2.2. Experimental Design
2.3. Experiment #1: Neurodevelopmental Alterations in the Medial Prefrontal Cortex (mPFC)
2.3.1. Body Weight
2.3.2. Estrous Cycle Tracking
2.3.3. Ballistic Labeling Technique
2.3.4. Confocal Imaging of Pyramidal Neurons
2.3.5. Neuronal Analysis and Spine Quantification
2.4. Experiment #2: Neuroinflammatory Markers in the Medial Prefrontal Cortex (mPFC)
2.4.1. Sacrifice
2.4.2. Real-Time Polymerase Chain Reaction (RT-PCR)
2.4.3. Enzyme-Linked Immunosorbent Assay (ELISA)
2.5. Statistical Analysis
3. Results
3.1. Experiment #1: Neurodevelopmental Alterations in the Medial Prefrontal Cortex (mPFC)
3.1.1. Presence of HIV-1 Viral Proteins Results in Abnormal Development and Patterning of Dendritic Branches
3.1.2. HIV-1 Tg Animals Exhibited a Linear Increase in the Number of Dendritic Spines, a Proxy for the Number of Excitatory Synapses, across Development
3.1.3. HIV-1 Tg Animals Exhibited a Prominent Rightward Shift in the Distribution of Dendritic Spines along the Apical Dendrite Relative to Control Animals
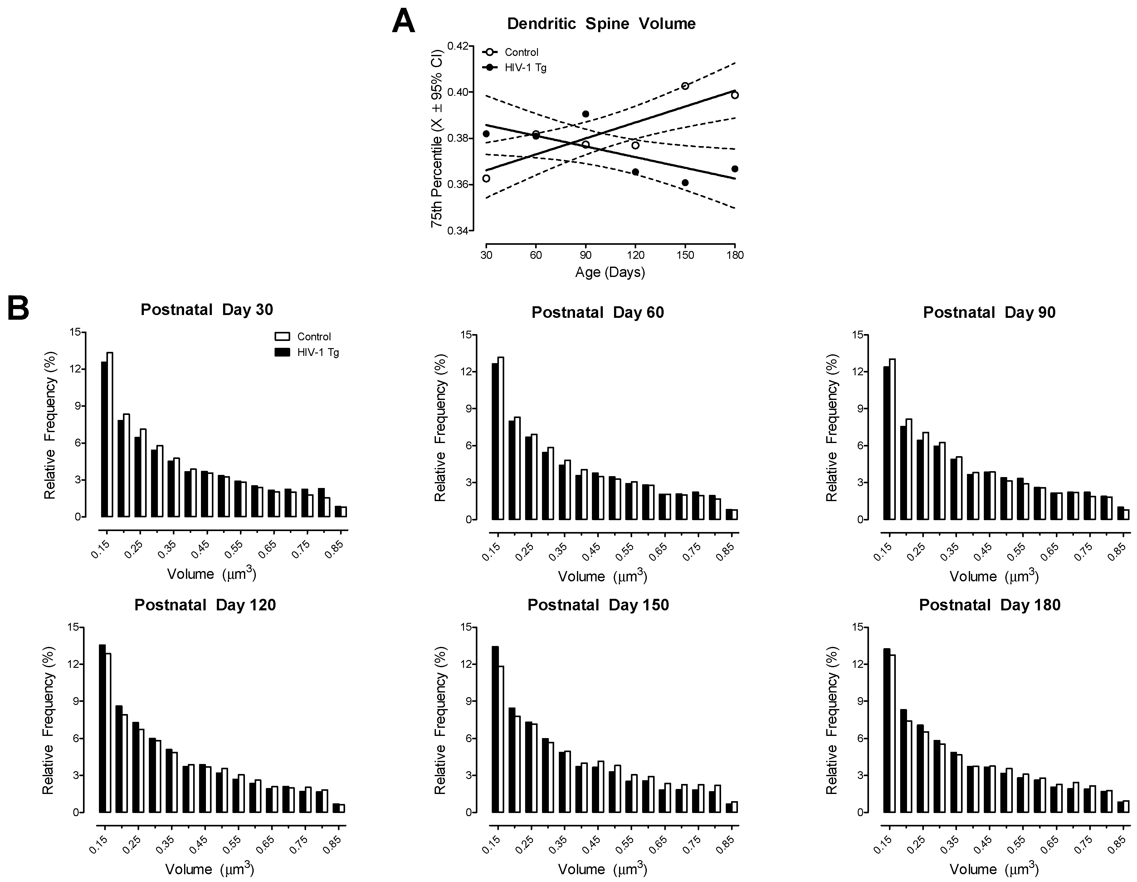
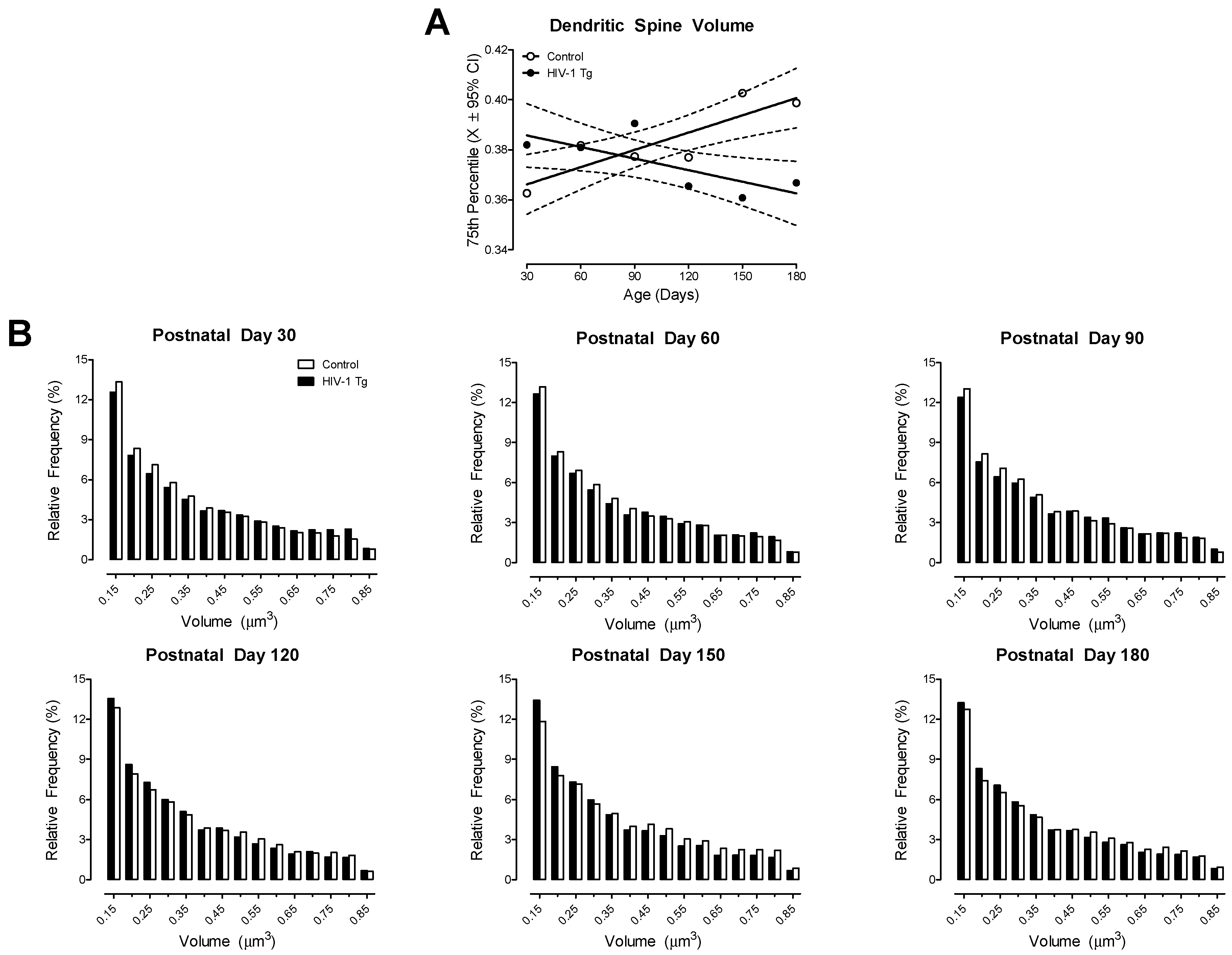
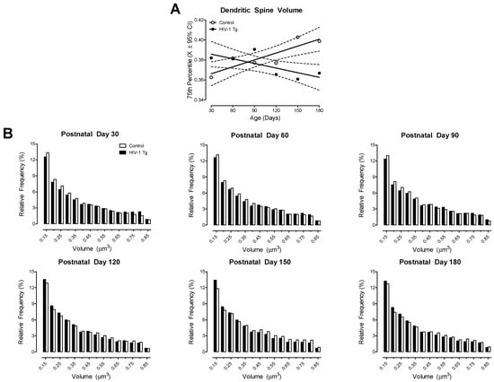
3.1.4. HIV-1 Tg Rats Exhibited Progressive Dendritic Spine Dysmorphology, Evidenced by Developmental Alterations in Dendritic Spine Volume, Backbone Length, and Head Diameter
3.2. Experiment #2: Neuroinflammatory Markers in the Medial Prefrontal Cortex
4. Discussion
Supplementary Materials
Author Contributions
Funding
Institutional Review Board Statement
Informed Consent Statement
Data Availability Statement
Conflicts of Interest
References
- Oleske, J.; Minnefor, A.; Cooper, R.; Thomas, K.; Cruz, A.D.; Ahdieh, H.; Guerrero, I.; Joshi, V.V.; Desposito, F. Immune deficiency syndrome in children. JAMA 1983, 249, 2345–2349. [Google Scholar] [CrossRef]
- Rubinstein, A.; Sicklick, M.; Gupta, A.; Bernstein, L.; Klein, N.; Rubinstein, E.; Spigland, I.; Fruchter, L.; Litman, N.; Lee, H.; et al. Acquired immunodeficiency with reversed T4/T8 ratios in infants born to promiscuous and drug-addicted mothers. JAMA 1983, 249, 2350–2356. [Google Scholar] [CrossRef]
- Dunn, D.; Woodburn, P.; Duong, T.; Peto, J.; Phillips, A.; Gibb, D.; Porter, K. Current CD4 cell count and the short-term risk of AIDS and death before the availability of effective antiretroviral therapy in HIV-infected children and adults. J. Infect. Dis. 2008, 197, 398–404. [Google Scholar] [CrossRef] [PubMed][Green Version]
- Viani, R.M.; Araneta, M.R.G.; Deville, J.G.; Spector, S.A. Decrease in hospitalization and mortality rates among children with perinatally acquired HIV type 1 infection receiving highly active antiretroviral therapy. Clin. Infect. Dis. 2004, 39, 725–731. [Google Scholar] [CrossRef]
- Palladino, C.; Climent, F.J.; De José, M.I.; De Ory, S.J.; Bellon, J.; Guillén, S.; Gurbindo, M.D.; González-Tomé, I.; Mellado, M.J.; Pérez, J.M.; et al. Causes of death in pediatric patients vertically infected by the human immunodeficiency virus type 1 in Madrid, Spain, from 1982 to mid-2009. Pediatr. Infect. Dis. J. 2011, 30, 495–500. [Google Scholar] [CrossRef] [PubMed]
- Adolescent HIV Prevention. Available online: https://data.unicef.org/topic/hivaids/adolescents-young-people/ (accessed on 26 August 2021).
- Laughton, B.; Cornell, M.; Boivin, M.; Van Rie, A. Neurodevelopment in perinatally HIV-infected children: A concern for adolescence. J. Int. AIDS Soc. 2013, 16, 18603. [Google Scholar] [CrossRef]
- Stiles, J.; Jernigan, T.L. The basics of brain development. Neuropsychol. Rev. 2010, 20, 327–348. [Google Scholar] [CrossRef] [PubMed]
- Hamburger, V.; Levi-Montalcini, R. Proliferation, differentiation and degeneration in the spinal ganglia of the chick embryo under normal and experimental conditions. J. Exp. Zool. 1949, 111, 457–501. [Google Scholar] [CrossRef]
- Heumann, D.; Leuba, G.; Rabinowicz, T. Postnatal development of the mouse cerebral neocortex. IV. Evolution of the total cortical volume, of the population of neurons and glia cells. J. Hirnforsch. 1978, 19, 385–393. [Google Scholar]
- Huttenlocher, P.R. Synaptic density in human frontal cortex-Developmental changes and effects of aging. Brain Res. 1979, 163, 195–205. [Google Scholar]
- Petanjek, Z.; Judaš, M.; Šimić, G.; Rašin, M.R.; Uylings, H.B.M.; Rakic, P.; Kostović, I. Extraordinary neoteny of synaptic spines in the human prefrontal cortex. Proc. Natl. Acad. Sci. USA 2011, 108, 13281–13286. [Google Scholar] [CrossRef]
- Cressman, V.L.; Balaban, J.; Steinfeld, S.; Shemyakin, A.; Graham, P.; Parisot, N.; Moore, H. Prefrontal cortical inputs to the basal amygdala undergo pruning during late adolescence in the rat. J. Comp. Neurol. 2010, 518, 2693–2709. [Google Scholar] [CrossRef] [PubMed]
- Fuster, J.M. The Prefrontal Cortex, 4th ed.; Elsevier Academic Press: London, UK, 2008. [Google Scholar]
- Van Eden, C.G.; Uylings, H.B.M. Cytoarchitectonic development of the prefrontal cortex in the rat. J. Comp. Neurol. 1985, 241, 253–267. [Google Scholar] [CrossRef]
- Eayrs, J.T.; Goodhead, B. Postnatal development of the cerebral cortex in the rat. J. Anat. 1959, 93, 385–402. [Google Scholar]
- McLaurin, K.A.; Booze, R.M.; Mactutus, C.F. Progression of temporal processing deficits in the HIV-1 transgenic rat. Sci. Rep. 2016, 6, 32831. [Google Scholar] [CrossRef] [PubMed]
- McLaurin, K.A.; Li, H.; Booze, R.M.; Mactutus, C.F. Disruption of timing: NeuroHIV progression in the post-cART era. Sci. Rep. 2019, 9, 827. [Google Scholar] [CrossRef] [PubMed]
- Phillips, N.; Amos, T.; Kuo, C.; Hoare, J.; Ipser, J.; Thomas, K.G.F.; Stein, D. HIV-associated cognitive impairment in perinatally infected children: A meta-analysis. Pediatrics 2016, 138, e20160893. [Google Scholar] [CrossRef]
- Paramesparan, Y.; Garvey, L.J.; Ashby, J.; Foster, C.J.; Fidler, S.; Winston, A. High rates of asymptomatic neurocognitive impairment in vertically acquired HIV-1–infected adolescents surviving into adulthood. J. Acquir. Immune Defic. Syndr. 2010, 55, 134–136. [Google Scholar] [CrossRef]
- Koekkoek, S.; de Sonneville, L.M.; Wolfs, T.F.; Licht, R.; Geelen, S.P. Neurocognitive function profile in HIV-infected school-age children. Eur. J. Paediatr. Neurol. 2008, 12, 290–297. [Google Scholar] [CrossRef] [PubMed]
- Nagarajan, R.; Sarma, M.K.; Thomas, M.A.; Chang, L.; Natha, U.; Wright, M.; Hayes, J.; Nielsen-Saines, K.; Michalik, D.E.; Deville, J.; et al. Neuropsychological function and cerebral metabolites in HIV-infected youth. J. Neuroimmune Pharmacol. 2012, 7, 981–990. [Google Scholar] [CrossRef]
- Ezeamama, A.E.; Kizza, F.N.; Zalwango, S.K.; Nkwata, A.K.; Zhang, M.; Rivera, M.L.; Whalen, C.C. Perinatal HIV status and executive function during school-age and adolescence: A comparative study of long-term cognitive capacity among children from a high HIV prevalence setting. Medicine (Baltimore) 2016, 95, e3438. [Google Scholar] [CrossRef]
- Kraemer, H.C.; Yesavage, J.A.; Taylor, J.L.; Kupfer, D. How can we learn about developmental processes from cross-sectional studies, or can we? Am. J. Psychiatry 2000, 157, 163–171. [Google Scholar] [CrossRef]
- Van den Hof, M.; Ter Haar, A.M.; Scherpbier, H.J.; van der Lee, J.H.; Reiss, P.; Wit, F.W.; Pajkrt, D. Neurocognitive development in perinatally human immunodeficiency virus-infected adolescents on long-term treatment, compared to healthy matched controls: A longitudinal study. Clin. Infect. Dis. 2020, 70, 1364–1371. [Google Scholar] [CrossRef]
- Casas, R.; Muthusamy, S.; Wakim, P.G.; Sinharay, S.; Lentz, M.R.; Reid, W.C.; Hammoud, D.A. MR brain volumetric measurements are predictive of neurobehavioral impairment in the HIV-1 transgenic rat. NeuroImage Clin. 2018, 17, 659–666. [Google Scholar] [CrossRef]
- Gelman, B.B.; Nguyen, T.P. Synaptic proteins linked to HIV-1 infection and immunoproteasome induction: Proteomic analysis of human synaptosomes. J. Neuroimmune Pharmacol. 2010, 5, 92–102. [Google Scholar] [CrossRef]
- Desplats, P.; Dumaop, W.; Smith, D.; Adame, A.; Everall, I.; Letendre, S.; Ellis, R.; Cherner, M.; Grant, I.; Masliah, E. Molecular and pathologic insights from latent HIV-1 infection in the human brain. Neurology 2013, 80, 1415–1423. [Google Scholar] [CrossRef]
- Fitting, S.; Ignatowska-Jankowska, B.M.; Bull, C.; Skoff, R.P.; Lichtman, A.H.; Wise, L.E.; Fox, M.A.; Su, J.; Medina, A.E.; Krahe, T.E.; et al. Synaptic dysfunction in the hippocampus accompanies learning and memory deficits in human immunodeficiency virus type-1 Tat transgenic mice. Biol. Psychiatry 2013, 73, 443–453. [Google Scholar] [CrossRef]
- Roscoe, R.F.; Mactutus, C.F.; Booze, R.M. HIV-1 Transgenic female rat: Synaptodendritic alterations of medium spiny neurons in the nucleus accumbens. J. Neuroimmune Pharmacol. 2014, 9, 642–653. [Google Scholar] [CrossRef]
- Mahajan, D.S.; Desiraju, T. Alterations of dendritic branching and spine densities of hippocampal CA3 pyramidal neurons induced by operant conditioning in the phase of brain growth spurt. Exp. Neurol. 1988, 100, 1–15. [Google Scholar] [CrossRef]
- Comery, T.A.; Stamoudis, C.X.; Irwin, S.A.; Greenough, W.T. Increased density of multiple-head dendritic spines on medium-sized spiny neurons of the striatum in rats reared in a complex environment. Neurobiol. Learn. Mem. 1996, 66, 93–96. [Google Scholar] [CrossRef][Green Version]
- Wei, H.; Chadman, K.K.; McCloskey, D.P.; Sheikh, A.M.; Malik, M.; Brown, W.T.; Li, X. Brain IL-6 elevation causes neuronal circuitry imbalances and mediates autism-like behaviors. Biochim. Biophys. Acta 2012, 1822, 831–842. [Google Scholar] [CrossRef]
- Reid, W.; Sadowska, M.; Denaro, F.; Rao, S.; Foulke, J.; Hayes, N.; Jones, O.; Doodnauth, D.; Davis, H.; Sill, A.; et al. An HIV-1 transgenic rat that develops HIV-related pathology and immunologic dysfunction. Proc. Natl. Acad. Sci. USA 2001, 98, 9271–9276. [Google Scholar] [CrossRef]
- Peng, J.; Vigorito, M.; Liu, X.; Zhou, D.; Wu, X.; Chang, S.L. The HIV-1 transgenic rat as a model for HIV-1 infected individuals on HAART. J. Neuroimmunol. 2010, 218, 94–101. [Google Scholar] [CrossRef] [PubMed]
- Li, H.; McLaurin, K.; Illenberger, J.; Mactutus, C.; Booze, R. Microglial HIV-1 expression: Role in HIV-1 associated neurocognitive disorders. Viruses 2021, 13, 924. [Google Scholar] [CrossRef]
- Moran, L.M.; Booze, R.M.; Mactutus, C.F. Time and time again: Temporal processing demands implicate perceptual and gating deficits in the HIV-1 transgenic rat. J. Neuroimmune Pharmacol. 2013, 8, 988–997. [Google Scholar] [CrossRef][Green Version]
- Moran, L.M.; Booze, R.M.; Mactutus, C.F. modeling deficits in attention, inhibition, and flexibility in HAND. J. Neuroimmune Pharmacol. 2014, 9, 508–521. [Google Scholar] [CrossRef]
- Booze, R.M.; Wood, M.L.; Welch, M.; Berry, S.; Mactutus, C.F. Estrous cyclicity and behavioral sensitization in female rats following repeated intravenous cocaine administration. Pharmacol. Biochem. Behav. 1999, 64, 605–610. [Google Scholar] [CrossRef]
- Marcondes, F.K.; Bianchi, F.J.; Tanno, A.P. Determination of the estrous cycle phases of rats: Some helpful considerations. Braz. J. Biol. 2002, 62, 609–614. [Google Scholar] [CrossRef]
- Seabold, G.K.; Daunais, J.B.; Rau, A.; Grant, K.A.; Alvarez, V.A. DiOLISTIC labeling of neurons from rodent and non-human primate brain slices. J. Vis. Exp. 2010, 41, e2081. [Google Scholar] [CrossRef] [PubMed]
- Li, H.; McLaurin, K.A.; Mactutus, C.F.; Booze, R.M. Ballistic labeling of pyramidal neurons in brain slices and in primary cell culture. J. Vis. Exp. 2020, 158, e60989. [Google Scholar] [CrossRef]
- Paxinos, G.; Watson, C. The Rat Brain in Stereotaxic Coordinates, 7th ed.; Elsevier Academic Press: London, UK, 2014. [Google Scholar]
- Sholl, D.A. Dendritic organization in the neurons of the visual and motor cortices of the cat. J. Anat. 1953, 87, 387–406. [Google Scholar]
- Radley, J.J.; Rocher, A.B.; Rodriguez, A.; Ehlenberger, D.B.; Dammann, M.; McEwen, B.S.; Morrison, J.H.; Wearne, S.L.; Hof, P.R. Repeated stress alters dendritic spine morphology in the rat medial prefrontal cortex. J. Comp. Neurol. 2008, 507, 1141–1150. [Google Scholar] [CrossRef] [PubMed]
- Arellano, J.I.; Benavides-Piccione, R.; DeFelipe, J.; Yuste, R. Ultrastructure of dendritic spines: Correlation between synaptic and spine morphologies. Front. Neurosci. 2007, 1, 131–143. [Google Scholar] [CrossRef]
- Ruszczycki, B.; Szepesi, Z.; Wilczynski, G.M.; Bijata, M.; Kalita, K.; Kaczmarek, L.; Wlodarczyk, J. Sampling issues in quantitative analysis of dendritic spines morphology. BMC Bioinform. 2012, 13, 213. [Google Scholar] [CrossRef]
- Konur, S.; Rabinowitz, D.; Fenstermaker, V.L.; Yuste, R. Systematic regulation of spine sizes and densities in pyramidal neurons. J. Neurobiol. 2003, 56, 95–112. [Google Scholar] [CrossRef]
- Wilson, M.D.; Sethi, S.; Lein, P.; Keil, K.P. Valid statistical approaches for analyzing Sholl data: Mixed effects versus simple linear models. J. Neurosci. Methods 2017, 279, 33–43. [Google Scholar] [CrossRef]
- Berry, K.P.; Nedivi, E. Spine dynamics: Are they all the same? Neuron 2017, 96, 43–55. [Google Scholar] [CrossRef]
- Spear, L.P. Adolescent neurodevelopment. J. Adolesc. Health 2013, 52, S7–S13. [Google Scholar] [CrossRef]
- Drzewiecki, C.M.; Willing, J.; Juraska, J.M. Synaptic number changes in the medial prefrontal cortex across adolescence in male and female rats: A role for pubertal onset. Synapse 2016, 70, 361–368. [Google Scholar] [CrossRef] [PubMed]
- Thompson, K.A.; Cherry, C.L.; Bell, J.E.; McLean, C.A. Brain cell reservoirs of latent virus in presymptomatic HIV-infected individuals. Am. J. Pathol. 2011, 179, 1623–1629. [Google Scholar] [CrossRef]
- Ko, A.; Kang, G.; Hattler, J.B.; Galadima, H.; Zhang, J.; Li, Q.; Kim, W.-K. Macrophages but not Astrocytes Harbor HIV DNA in the Brains of HIV-1-Infected Aviremic Individuals on Suppressive Antiretroviral Therapy. J. Neuroimmune Pharmacol. 2019, 14, 110–119. [Google Scholar] [CrossRef]
- Cosenza, M.A.; Zhao, M.-L.; Si, Q.; Lee, S.C. Human brain parenchymal microglia express CD14 and CD 45 and are productively infected by HIV-1 in HIV-1 encephalitis. Brain Pathol. 2002, 12, 442–455. [Google Scholar] [CrossRef]
- Davalos, D.; Grutzendler, J.; Yang, G.; Kim, J.V.; Zuo, Y.; Jung, S.; Littman, D.R.; Dustin, M.L.; Gan, W.-B. ATP mediates rapid microglial response to local brain injury in vivo. Nat. Neurosci. 2005, 8, 752–758. [Google Scholar] [CrossRef] [PubMed]
- Nimmerjahn, A.; Kirchhoff, F.; Helmchen, F. Resting microglial cells are highly dynamic surveillants of brain parenchyma in vivo. Science 2005, 308, 1314–1318. [Google Scholar] [CrossRef] [PubMed]
- Wake, H.; Moorhouse, A.J.; Jinno, S.; Kohsaka, S.; Nabekura, J. Resting microglia directly monitor the functional state of synapses in vivo and determine the fate of ischemic terminals. J. Neurosci. 2009, 29, 3974–3980. [Google Scholar] [CrossRef]
- Tremblay, M.E.; Lowery, R.L.; Majewska, A.K. Microglial interactions with synapses are modulated by visual experience. PLoS Biol. 2010, 8, e1000527. [Google Scholar] [CrossRef]
- Pont-Lezica, L.; Beumer, W.; Colasse, S.; Drexhage, H.; Versnel, M.; Bessis, A. Microglia shape corpus callosum axon tract fasciculation: Functional impact of prenatal inflammation. Eur. J. Neurosci. 2014, 39, 1551–1557. [Google Scholar] [CrossRef]
- Squarzoni, P.; Oller, G.; Hoeffel, G.; Pont-Lezica, L.; Rostaing, P.; Low, D.; Bessis, A.; Ginhoux, F.; Garel, S. Microglia modulate wiring of the embryonic forebrain. Cell. Rep. 2014, 8, 1271–1279. [Google Scholar] [CrossRef]
- Lim, T.K.; Ruthazer, E.S. Microglial trogocytosis and the complement system regulate axonal pruning in vivo. ELife 2021, 10, 62167. [Google Scholar] [CrossRef] [PubMed]
- Paolicelli, R.C.; Bolasco, G.; Pagani, F.; Maggi, L.; Scianni, M.; Panzanelli, P.; Giustetto, M.; Ferreira, T.A.; Guiducci, E.; Dumas, L.; et al. Synaptic pruning by microglia is necessary for normal brain development. Science 2011, 333, 1456–1458. [Google Scholar] [CrossRef]
- Schafer, D.P.; Lehrman, E.K.; Kautzman, A.G.; Koyama, R.; Mardinly, A.; Yamasaki, R.; Ransohoff, R.M.; Greenberg, M.E.; Barres, B.A.; Stevens, B. Microglia sculpt postnatal neural circuits in an activity and complement-dependent manner. Neuron 2012, 74, 691–705. [Google Scholar] [CrossRef] [PubMed]
- Mallya, A.P.; Wang, H.D.; Lee HN, R.; Deutch, A.Y. Microglia pruning of synapses in the prefrontal cortex during adolescence. Cereb. Cortex 2019, 29, 1634–1643. [Google Scholar] [CrossRef] [PubMed]
- Fonesca, M.I.; Chu, S.H.; Hernandez, M.X.; Fang, M.J.; Modarresi, L.; Selvan, P.; MacGregor, G.R.; Tenner, A.J. Cell-specific deletion of C1qa identifies microglia as the dominant source of C1q in mouse brain. J. Neuroinflammation 2017, 14, 48. [Google Scholar] [CrossRef]
- Reichert, F.; Slobodov, U.; Makranz, C.; Rotshenker, S. Modulation (inhibition and augmentation) of complement receptor-3-mediated myeling phagocytosis. Neurobiol. Dis. 2001, 8, 504–512. [Google Scholar] [CrossRef][Green Version]
- Nishiyori, A.; Minami, M.; Ohtani, Y.; Takami, S.; Yamamoto, J.; Kawaguchi, N.; Kume, T.; Akaike, A.; Satoh, M. Localization of fractalkine and CX3CR1 mRNAs in rat brain: Does fractalkine play a role in signaling from neuron to microglia? FEBS Lett. 1998, 429, 167–172. [Google Scholar] [CrossRef]
- Hughes, P.M.; Botham, M.S.; Frentzel, S.; Mir, A.; Perry, V.H. Expression of fractalkine (CX3CL1) and its receptor, CX3CR1, during acute and chronic inflammation in the rodent CNS. Glia 2002, 37, 314–327. [Google Scholar] [CrossRef] [PubMed]
- Stevens, B.; Allen, N.J.; Vazquez, L.E.; Howell, G.R.; Christopherson, K.S.; Nouri, N.; Micheva, K.; Mehalow, A.; Huberman, A.D.; Stafford, B.; et al. The classical complement cascade mediates CNS synapse elimination. Cell 2007, 131, 1164–1178. [Google Scholar] [CrossRef]
- Duan, M.; Yao, H.; Cai, Y.; Liao, K.; Seth, P.; Buch, S. HIV-1 Tat disrupts CX3CL1-CX3CR1 axis in microglia via the NF-ΚBYY1 pathway. Curr. HIV Res. 2014, 12, 189–200. [Google Scholar] [CrossRef]
- Mishra, N.; Mohata, M.; Aggarwal, H.; Chaudhary, O.; Das, B.K.; Sinha, S.; Hazarika, A.; Luthra, K. Expression of complement receptor 3 (CR3) and regulatory protein CD46 on dendritic cells of antiretroviral naïve and treated HIV-1 infected individuals: Correlation with immune activation status. Mol. Immunol. 2018, 96, 83–87. [Google Scholar] [CrossRef]
- McGuire, J.L.; Gill, A.J.; Douglas, S.D.; Kolson, D.L. The complement system, neuronal injury, and cognitive function in horizontally-acquired HIV-infected youth. J. Neurovirol. 2016, 22, 823–830. [Google Scholar] [CrossRef] [PubMed]
- Miller, E.K.; Cohen, J.D. An integrative theory of prefrontal cortex function. Annu. Rev. Neurosci. 2001, 24, 167–202. [Google Scholar] [CrossRef]
- Hersch, S.M.; White, E.L. Quantification of synapses formed with apical dendrites of Golgi-impregnated pyramidal cells: Variability in thalamocortical inputs, but consistency in the ratios of asymmetrical to symmetrical synapses. Neuroscience 1981, 6, 1043–1051. [Google Scholar] [CrossRef]
- Santana, N.; Artigas, F. Laminar and cellular distribution of monoamine receptors in rat medial prefrontal cortex. Front. Neuroanat. 2017, 11, 87. [Google Scholar] [CrossRef]
- McLaurin, K.A.; Harris, M.; Madormo, V.; Harrod, S.B.; Mactutus, C.F.; Booze, R.M. HIV-associated apathy/depression and neurocognitive impairments reflect persistent dopamine deficits. Cells 2021, 10, 2158. [Google Scholar] [CrossRef]
- Saloner, R.; Cherner, M.; Iudicello, J.E.; Heaton, R.K.; Letendre, S.L.; Ellis, R.J. Cerebrospinal fluid norepinephrine and neurocognition in HIV and methamphetamine dependence. JAIDS J. Acquir. Immune Defic. Syndr. 2020, 85, e12–e22. [Google Scholar] [CrossRef]
- Shah, S.; Sinharay, S.; Matsuda, K.; Schreiber-Stainthorp, W.; Muthusamy, S.; Lee, D.; Wakim, P.; Hirsch, V.; Nath, A.; Di Mascio, M.; et al. Potential mechanism for HIV-associated depression: Upregulation of serotonin transporters in SIV-Infected macaques detected by 11C-DASB PET. Front. Psychiatry 2019, 10, 362. [Google Scholar] [CrossRef]
- Denton, A.R.; Samaranayake, S.A.; Kirchner, K.N.; Roscoe, R.F.; Berger, S.N.; Harrod, S.B.; Mactutus, C.F.; Hashemi, P.; Booze, R.M. Selective monoaminergic and histaminergic circuit dysregulation following long-term HIV-1 protein exposure. J. Neurovirol. 2019, 25, 540–550. [Google Scholar] [CrossRef]
- Peters, A.; Kaiserman-Abramof, I.R. The small pyramidal neuron of the rat cerebral cortex. The perikaryon, dendrites and spines. Am. J. Anat. 1970, 127, 321–355. [Google Scholar] [CrossRef] [PubMed]
- Arellano, J.I.; Espinosa, A.; Fairén, A.; Yuste, R.; Defelipe, J. Non-synaptic dendritic spines in neocortex. Neuroscience 2007, 145, 464–469. [Google Scholar] [CrossRef]
- Harris, K.M.; Stevens, J.K. Dendritic spines of rat cerebellar Purkinje cells: Serial electron microscopy with reference to their biophysical characteristics. J. Neurosci. 1988, 8, 4455–4469. [Google Scholar] [CrossRef] [PubMed]
- Harris, K.M.; Stevens, J.K. Dendritic spines of CA 1 pyramidal cells in the rat hippocampus: Serial electron microscopy with reference to their biophysical characteristics. J. Neurosci. 1989, 9, 2982–2997. [Google Scholar] [CrossRef] [PubMed]
- Araya, R.; Vogels, T.P.; Yuste, R. Activity-dependent dendritic spine neck changes are correlated with synaptic strength. Proc. Natl. Acad. Sci. USA 2014, 111, E2895–E2904. [Google Scholar] [CrossRef]
- Cirino, T.J.; Harden, S.W.; McLaughlin, J.P.; Frazier, C.J. Region-specific effects of HIV-1 Tat on intrinsic electrophysiological properties of pyramidal neurons in mouse prefrontal cortex and hippocampus. J. Neurophysiol. 2020, 123, 1332–1341. [Google Scholar] [CrossRef]
- Kim, H.J.; Martemyanov, K.A.; Thayer, S.A. Human immunodeficiency virus protein Tat induces synapse loss via a reversible process that is distinct from cell death. J. Neurosci. 2008, 28, 12604–12613. [Google Scholar] [CrossRef]
- Eckard, A.R.; Rosebush, J.C.; O’Riordan, M.A.; Graves, C.C.; Alexander, A.; Grover, A.K.; Lee, S.T.; Habib, J.G.; Ruff, J.H.; Chahroudi, A.; et al. Neurocognitive dysfunction in HIV-infected youth: Investigating the relationship with immune activation. Antivir. Ther. 2017, 22, 669–680. [Google Scholar] [CrossRef] [PubMed]
- Augustemak de Lima, L.R.; Petroski, E.L.; Petroski, E.L.; Moreno, Y.M.F.; Silva, D.A.S.; Trindade, E.B.D.M.S.; Carvalho, A.P.D.; Back, I.D.C. Dyslipidemia, chronic inflammation, and subclinical atherosclerosis in children and adolescents infected with HIV: The PositHIVe Health Study. PLoS ONE 2018, 13, e0190785. [Google Scholar] [CrossRef] [PubMed]
- Blokhuis, C.; Peeters, C.F.W.; Cohen, S.; Scherpbier, H.J.; Kuijpers, T.W.; Reiss, P.; Kootstra, N.A.; Teunissen, C.E.; Pajkrt, D. Systemic and intrathecal immune activation in association with cerebral and cognitive outcomes in paediatric HIV. Sci. Rep. 2019, 9, 8004. [Google Scholar] [CrossRef]
- McCoig, C.; Castrejón, M.M.; Saavedra-Lozano, J.; Castaño, E.; Báez, C.; Lanier, E.R.; Sáez-Llorens, X.; Ramilo, O. Cerebrospinal fluid and plasma concentrations of proinflammatory mediators in human immunodeficiency virus-infected children. Pediatr. Infect. Dis. J. 2004, 23, 114–118. [Google Scholar] [CrossRef]








Publisher’s Note: MDPI stays neutral with regard to jurisdictional claims in published maps and institutional affiliations. |
© 2021 by the authors. Licensee MDPI, Basel, Switzerland. This article is an open access article distributed under the terms and conditions of the Creative Commons Attribution (CC BY) license (https://creativecommons.org/licenses/by/4.0/).
Share and Cite
McLaurin, K.A.; Li, H.; Booze, R.M.; Mactutus, C.F. Neurodevelopmental Processes in the Prefrontal Cortex Derailed by Chronic HIV-1 Viral Protein Exposure. Cells 2021, 10, 3037. https://doi.org/10.3390/cells10113037
McLaurin KA, Li H, Booze RM, Mactutus CF. Neurodevelopmental Processes in the Prefrontal Cortex Derailed by Chronic HIV-1 Viral Protein Exposure. Cells. 2021; 10(11):3037. https://doi.org/10.3390/cells10113037
Chicago/Turabian StyleMcLaurin, Kristen A., Hailong Li, Rosemarie M. Booze, and Charles F. Mactutus. 2021. "Neurodevelopmental Processes in the Prefrontal Cortex Derailed by Chronic HIV-1 Viral Protein Exposure" Cells 10, no. 11: 3037. https://doi.org/10.3390/cells10113037
APA StyleMcLaurin, K. A., Li, H., Booze, R. M., & Mactutus, C. F. (2021). Neurodevelopmental Processes in the Prefrontal Cortex Derailed by Chronic HIV-1 Viral Protein Exposure. Cells, 10(11), 3037. https://doi.org/10.3390/cells10113037

