Silicon and the Association with an Arbuscular-Mycorrhizal Fungus (Rhizophagus clarus) Mitigate the Adverse Effects of Drought Stress on Strawberry
Abstract
:1. Introduction
2. Materials and Methods
2.1. Preparation of Plant and Fungus Materials
2.2. Plant Treatments
2.3. Plant Harvest
2.4. Leaf Osmotic Potential and Relative Water Content
2.5. Measurements of Photosynthetic Gas Exchange
2.6. Biochemical Determinations
2.7. Determination of Enzyme Activities and Concentration Of Oxidants
2.8. Mineral Nutrient Analysis
2.9. Silicon Determination
2.10. Statistical Analyses
3. Results
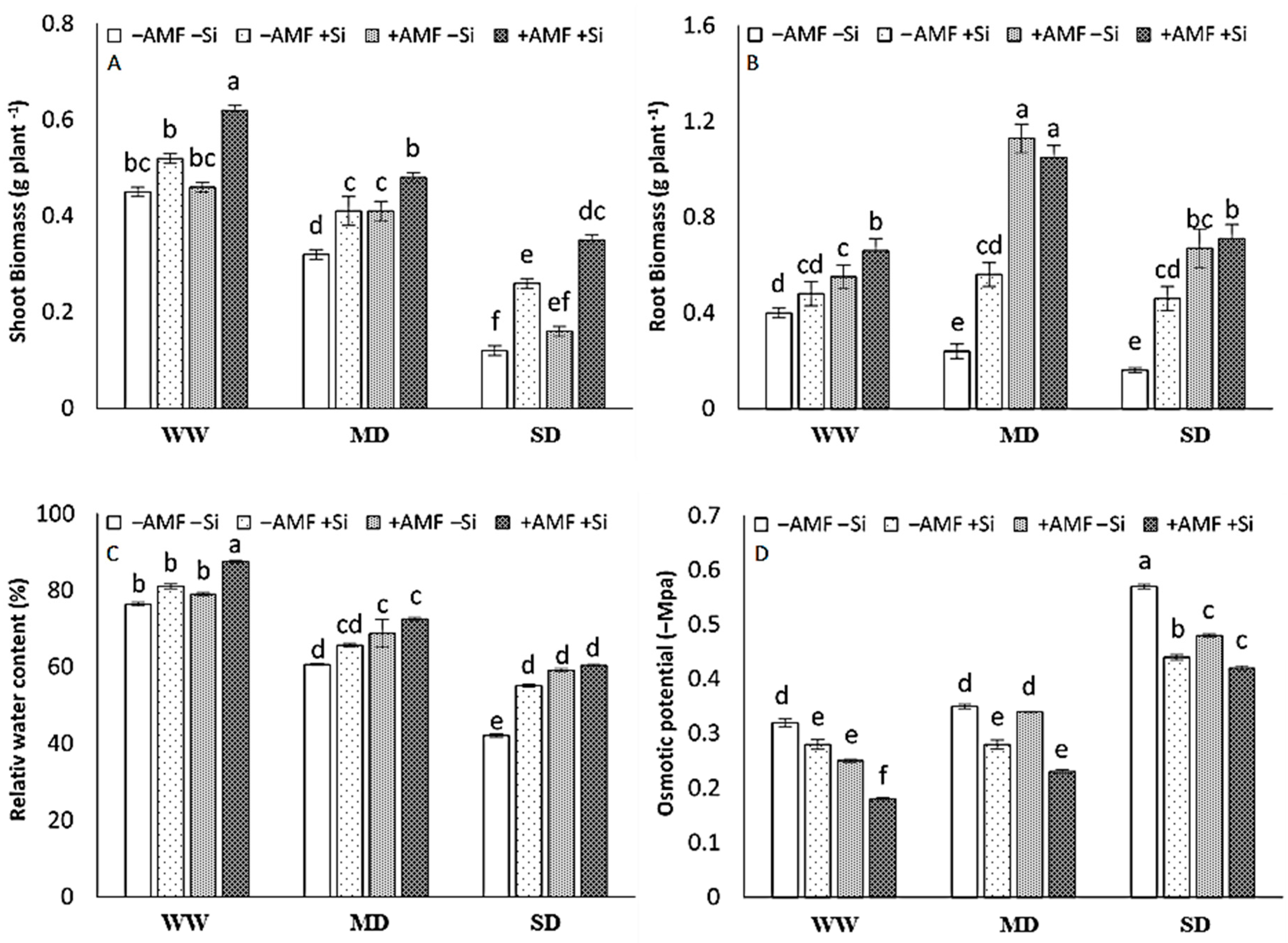
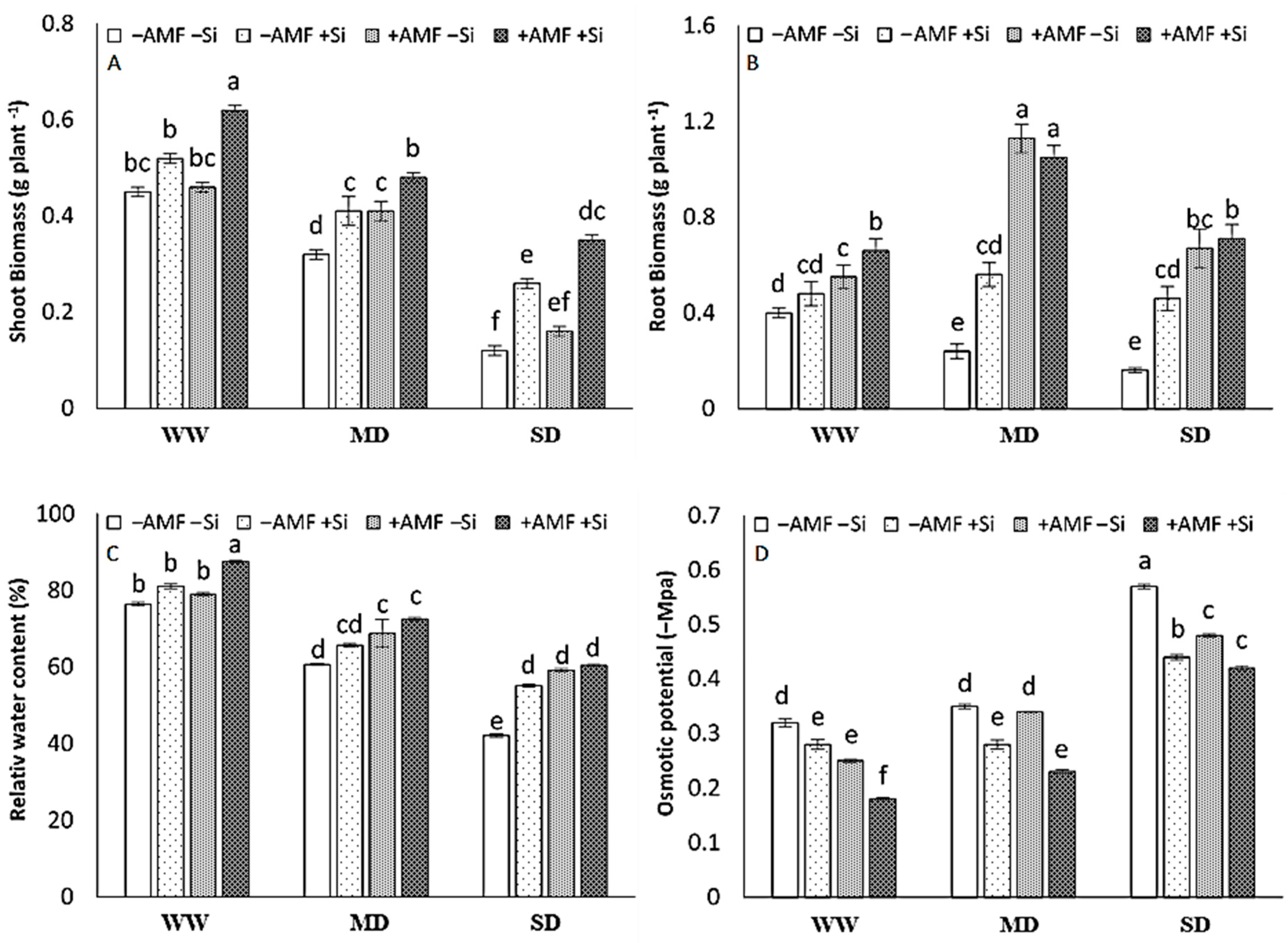
3.1. Effect of Si and Inoculation with AMF on Plants Biomass And Root Colonization
3.2. Effect of Si and Inoculation with AMF on the Leaf Gas Exchange Parameters
3.3. Effect of Si and Inoculation with AMF on the Concentrations of Osmolytes
3.4. Effect of Si and Inoculation with AMF on the Function of Enzymatic Antioxidant Defense
3.5. Effect of Si and Inoculation with AMF on the Leaf Concentrations of Nutrients and Si
4. Discussion
4.1. Effect of Si and AMF on Growth and Photosynthesis of Plants under Water Stress
4.2. Effect of Si and AMF on the Water Status and Concentration of Organic Osmolytes
4.3. Effect of Si and AMF on the Antioxidative Defense System
4.4. Effect of Si and AMF on Plants Nutrients Uptake
4.5. A Synergistic Effect of Si and AMF
4.6. Effect of Si and AMF on Plants Growth in the Absence of Stress
5. Conclusions
Author Contributions
Funding
Acknowledgments
Conflicts of Interest
References
- Etesami, H.; Jeong, B.R. Silicon (Si) Review and Future Prospects on the Action Mechanisms in Alleviating Biotic and Abiotic Stresses in Plants. Ecotoxicol. Environ. Saf. 2018, 147, 881–896. [Google Scholar] [CrossRef] [PubMed]
- Broadley, M.; Brown, P.; Cakmak, I.; Ma, J.F.; Rengel, Z.; Zhao, F. Chapter 8—Beneficial Elements Marschner, Petra BT. In Marschner’s Mineral. Nutrition of Higher Plants, 3rd ed.; Academic Press: San Diego, CA, USA, 2012; pp. 249–269. ISBN 9780123849052. [Google Scholar]
- Liang, Y.; Sun, W.; Zhu, Y.G.; Christie, P. Mechanisms of Silicon–mediated Alleviation of Abiotic Stresses in Higher Plants: A Review. Environ. Pollut. 2007, 147, 4228. [Google Scholar] [CrossRef]
- Savvas, D.; Ntatsi, G. Biostimulant Activity of Silicon in Horticulture. Sci. Hort. 2015, 196, 66–81. [Google Scholar] [CrossRef]
- Basu, S.; Ramegoda, V.; Kumar, A.; Pereira, A. Plant Adaptation to Drought Stress. F1000Res 2016, 5, F1000 Faculty Rev-1554. [Google Scholar] [CrossRef] [PubMed]
- Hajiboland, R. Chapter 1—Reactive Oxygen Species and Photosynthesis. In Oxidative Damage to Plants, Antioxidant Networks and Signaling; Ahmad, P., Ed.; Elsevier: San Diego, CA, USA, 2014; pp. 1–63. ISBN 978-0-12-799963-0. [Google Scholar]
- Singh, R.; Parihar, P.; Singh, S.; Kumar, R. Redox Biology Reactive Oxygen Species Signaling and Stomatal Movement: Current Updates and Future Perspectives. Redox Biol. 2017, 11, 213–218. [Google Scholar] [CrossRef] [PubMed]
- Noctor, G.; Lelarge–Trouverie, C.; Mhamdi, A. The Metabolomics of Oxidative Stress. Phytochemistry 2014, 112, 33–53. [Google Scholar] [CrossRef] [PubMed]
- Singh, M.; Kumar, J.; Singh, S.; Singh, V.P.; Prasad, S.M. Roles of Osmoprotectants in Improving Salinity and Drought Tolerance in Plants: A Review. Rev. Environ. Sci. Biol. 2015, 14, 407–426. [Google Scholar] [CrossRef]
- Anjum, S.A.; Xie, X.; Wang, L.; Saleem, M.F.; Man, C.; Lei, W. Morphological, Physiological and Biochemical Responses of Plants to Drought Stress. Afr. J. Agric Res. 2011, 6, 2026–2032. [Google Scholar] [CrossRef]
- Yin, L.; Wang, S.; Liu, P.; Wang, W.; Cao, D.; Deng, X.; Zhang, S. Silicon-mediated Changes in Polyamine and 1-aminocyclopropane-1-carboxylic Acid are Involved in Silicon-induced Drought Resistance in Sorghum bicolor L. Plant. Physiol. Biochem. 2014, 80, 268–277. [Google Scholar] [CrossRef] [PubMed]
- Shen, X.; Zhou, Y.; Duan, L.; Li, Z.; Eneji, E.; Li, J. Silicon Effects on Photosynthesis and Antioxidant Parameters of Soybean Seedlings under Drought and Ultraviolet-B Radiation. J. Plant Physiol. 2010, 167, 1248–1252. [Google Scholar] [CrossRef]
- Hajiboland, R.; Cheraghvareh, L.; Poschenrieder, C. Improvement of Drought Tolerance in Tobacco (Nicotiana rustica L.) Plants by Silicon. J. Plant Nutr. 2017, 40, 1661–1676. [Google Scholar] [CrossRef]
- Chen, W.; Yao, X.; Cai, K.; Chen, J. Silicon Alleviates Drought Stress of Rice Plants by Improving Plant Water Status, Photosynthesis and Mineral Nutrient Absorption. Biol. Trace Elem. Res. 2011, 142, 67–76. [Google Scholar] [CrossRef]
- Lux, A.; Luxová, M.; Hattori, T.; Inanaga, S.; Sugimoto, Y. Silicification in Sorghum (Sorghum bicolor) Cultivars with Different Drought Tolerance. J. Plant Physiol. 2002, 115, 87–92. [Google Scholar] [CrossRef]
- Ming, D.F.; Pei, Z.F.; Naeem, M.S.; Gong, H.J.; Zhou, W.J. Silicon alleviates PEG-induced Water-deficit Stress in Upland Rice Seedlings by Enhancing Osmotic Adjustment. J. Agron. Crop. Sci. 2012, 198, 14–26. [Google Scholar] [CrossRef]
- Rizwan, M.; Ali, S.; Rizwan, M.; Ali, S.; Ibrahim, M.; Farid, M. Mechanisms of Silicon–mediated Alleviation of Drought and Salt Stress in Plants: A Review. Environ. Sci. Pollut. Res. Int. 2015, 22, 15416–15431. [Google Scholar] [CrossRef]
- Willis, A.; Rodrigues, B.F.; Harris, P.J.C. The Ecology of Arbuscular Mycorrhizal Fungi. CRC Crit. Rev. Plant Sci. 2013, 32, 1–20. [Google Scholar] [CrossRef]
- Abdel, A.; Abdel, H.; Hashem, A.; Rasool, S.; Fathi, E.; Allah, A. Arbuscular Mycorrhizal Symbiosis and Abiotic Stress in Plants: A Review. J. Plant Biol. 2016, 59, 407. [Google Scholar] [CrossRef]
- Hajiboland, R.; Bahrami-Rad, S.; Bastani, S. Phenolics Metabolism in Boron Deficient Tea (Camellia sinensis (L.) O. Kuntze) Plants. Acta Biol. Hung. 2013, 64, 196–206. [Google Scholar] [CrossRef]
- Wu, Q.S.; Srivastava, A.K.; Zou, Y.N. AMF-induced Tolerance to Drought Stress in Citrus: A Review. Sci. Hort. 2013, 164, 77–87. [Google Scholar] [CrossRef]
- Krishna, H.; Das, B.; Attri, B.L.; Grover, M.; Ahmed, N. Suppression of Botryosphaeria Canker of Apple by Arbuscular Mycorrhizal Fungi. Crop. Prot. 2010, 29, 1049–1054. [Google Scholar] [CrossRef]
- Boyer, L.R.; Brain, P.; Xu, X.M.; Jeffries, P. Inoculation of Drought-stressed Strawberry with a Mixed Inoculum of Two Arbuscular Mycorrhizal Fungi: Effects on Population Dynamics of Fungal Species in Roots and Consequential Plant Tolerance to Water Deficiency. Mycorrhiza 2015, 25, 215–227. [Google Scholar] [CrossRef] [PubMed]
- Augé, R.M.; Toler, H.D.; Saxton, A.M. Mycorrhizal Stimulation of Leaf Gas Exchange in Relation to Root Colonization, Shoot Size, Leaf Phosphorus and Nitrogen: A Quantitative Analysis of the Literature Using Meta-Regression. Front. Plant Sci. 2016, 7, 1084. [Google Scholar] [CrossRef] [PubMed]
- Smith, F.A.; Smith, S.E. What is the Significance of the Arbuscular Mycorrhizal Colonization of Many Economically Important Crop Plants? Plant Soil 2011, 348, 63–79. [Google Scholar] [CrossRef]
- Ouellette, S.; Goyette, M.H.; Labbé, C.; Laur, J.; Gaudreau, L.; Gosselin, A.; Dorais, M.; Deshmukh, R.K.; Bélanger, R.R. Silicon Transporters and Effects of Silicon Amendments in Strawberry under High Tunnel and Field Conditions. Front. Plant Sci. 2017, 8, 1–11. [Google Scholar] [CrossRef] [PubMed]
- Wang, S.Y.; Galletta, G.J. Foliar Application of Potassium Silicate Induces Metabolic Changes in Strawberry Plants. J. Plant Nutr. 1998, 21, 157–167. [Google Scholar] [CrossRef]
- Nicolson, T.H.; Schenck, N.C. Endogonaceous Mycorrhizal. Endophytes in Florida. Mycologia 1979, 71, 178–198. [Google Scholar] [CrossRef]
- Merryweather, J.W.; Fitter, A.H. A Modified Method for Elucidating the Structure of the Fungal Partner in a Vesicular Arbuscular Mycorrhiza. Mycol. Res. 1991, 95, 1435–1437. [Google Scholar] [CrossRef]
- Giovanetti, M.; Mosse, B. An Evaluation of Techniques for Measuring Vesicular Arbuscular Mycorrhizal Infection in Roots. New Phytol. 1980, 84, 489–500. [Google Scholar] [CrossRef]
- McGonigle, T.P.; Miller, M.H.; Evans, D.G.; Fairchild, G.L.; Swan, J.A. A New Method which Gives an Objective Measure of Colonization of Roots by Vesicular Arbuscular Mycorrhizal Fungi. New Phytol. 1990, 115, 495–501. [Google Scholar] [CrossRef]
- Yemm, E.W.; Willis, A.J. The Estimation of Carbohydrates in Plant Extracts by Anthrone. Biochem. J. 1954, 57, 508–514. [Google Scholar] [CrossRef]
- Yemm, E.W.; Cocking, E.C. The Determination of Amino Acids with Ninhydrin. Analyst 1955, 80, 209–213. [Google Scholar] [CrossRef]
- Bates, L.S.; Waldren, R.P.; Teare, I.D. Rapid Determination of Free Proline for Water–stress Studies. Plant Soil 1973, 39, 205–207. [Google Scholar] [CrossRef]
- Hajiboland, R.; Aliasgharzadeh, N.; Laiegh, S.F.; Poschenrieder, C. Colonization with Arbuscular Mycorrhizal Fungi Improves Salinity Tolerance of Tomato (Solanum lycopersicum L.) Plants. Plant Soil 2010, 1, 313–327. [Google Scholar] [CrossRef]
- VDLUFA Method Book VII Environmental Analysis; VDLUVA-Verlag: Darmstadt, Germany, 2011; p. 690. ISBN 978-3-941273-10-8.
- Piepho, H.P. A SAS Macro for Generating Letter Displays of Pairwise Mean Comparisons. Com. Biom. Crop. Sci. 2012, 7, 4–13. [Google Scholar]
- Ma, J.F. Role of Silicon in Enhancing the Resistance of Plants to Biotic and Abiotic Stresses. J. Soil Sci. Plant Nutr. 2004, 50, 11–18. [Google Scholar] [CrossRef]
- Pilon, C.; Soratto, R.P.; Moreno, L.A. Effects of Soil and Foliar Spplication of Soluble Silicon on Mineral Nutrition, Gas Exchange, and Growth of Potato Plants. J. Crop. Sci. 2013, 53, 1605–1614. [Google Scholar] [CrossRef]
- Wu, Q.S.; Xia, R.X. Arbuscular Mycorrhizal Fungi Influence Growth, Osmotic Adjustment and Photosynthesis of Citrus under Well–watered and Water Stress Conditions. J. Plant Physiol. 2006, 163, 417–425. [Google Scholar] [CrossRef]
- Zhu, X.Q.; Wang, C.Y.; Chen, H.; Tang, M. Effects of Arbuscular Mycorrhizal Fungi on Photosynthesis, Carbon Content, and Calorific Value of Black Locust Seedlings. Photosynthetica 2014, 52, 247–252. [Google Scholar] [CrossRef]
- McCormick, A.J.; Cramer, M.D.; Watt, D.A. Regulation of Photosynthesis by Sugars in Sugarcane Leaves. J. Plant Physiol. 2008, 165, 1817.e29. [Google Scholar] [CrossRef]
- Silva, E.N.; Ribeir, R.V.; Ferreira-Silva, S.L.; Vieira, S.; Ponte, L.F.; Silveira, J.G. Coordinate Changes in Photosynthesis, Sugar Accumulation and Antioxidative Enzymes Improve the Performance of Jatropha curcas Plants under Drought Stress. Biomass Bioenergy 2012, 45, 270–279. [Google Scholar] [CrossRef]
- Ashraf, M.; Akram, N.A.; Foolad, M.R. Drought Tolerance: Roles of Organic Osmolyts, Growth Regulators, and Mineral Nutrients. Adv. Agron. 2011, 111, 249–296. [Google Scholar] [CrossRef]
- Munns, R. Comparative Physiology of Salt and Water Stress. Plant Cell Environ. 2002, 25, 239–250. [Google Scholar] [CrossRef] [PubMed]
- Shi, Y.; Zhang, Y.; Han, W.; Feng, R.; Hu, Y.; Guo, J.; Gong, H. Silicon Enhances Water Stress Tolerance by Improving Root Hydraulic Conductance in Solanum lycopersicum L. Front. Plant Sci. 2016, 7, 196. [Google Scholar] [CrossRef]
- Zhu, Y.X.; Xu, X.B.; Hu, Y.H.; Han, W.H.; Yin, J.L.; Li, H.L.; Gong, H.J. Silicon Improves Salt Tolerance by Increasing Root Water Uptake in Cucumis sativus L. Plant Cell Rep. 2015, 34, 1629–1646. [Google Scholar] [CrossRef] [PubMed]
- Liu, P.; Yin, L.N.; Deng, X.P.; Wang, S.W.; Tanaka, K.; Zhang, S.Q. Aquaporin-mediated Increase in Root Hydraulic Conductance is Involved in Silicon-induced Improved Root Water Uptake under Osmotic Stress in Sorghum bicolor L. J. Exp. Bot. 2014, 65, 4747–4756. [Google Scholar] [CrossRef] [PubMed]
- Zou, Y.N.; Wu, Q.S.; Huang, Y.M.; Ni, Q.D.; He, X.H. Mycorrhizal Mediated Lower Proline Accumulation in Poncirus trifoliata under Drought Derives from the Integration of Inhibition of Proline Synthesis with Increase of Proline Degradation. PLoS ONE 2013, 8, e80568. [Google Scholar] [CrossRef] [PubMed]
- Crusciol, C.C.; Pulz, A.L.; Lemos, L.B.; Soratto, R.P.; Lima, G.P.P. Effects of Silicon and Drought Stress on Tuber Yield and Leaf Biochemical Characteristics in Potato. Crop. Sci. 2009, 49, 949–954. [Google Scholar] [CrossRef]
- Porcel, R.; Aroca, R.; Ruiz-Lozano, J.M. Salinity Stress Alleviation Using Arbuscular Mycorrhizal Fungi. Agron. Sustain. Dev. 2012, 32, 181–200. [Google Scholar] [CrossRef]
- Martinelli, T.; Whittaker, A.; Bochicchio, A.; Vazzana, C.; Suzuki, A.; Masclaux-Daubresse, C. Amino acid Pattern and Glutamate Metabolism during Dehydration Stress in the “Resurrection” Plant Sporobolus stapfianus: A Comparison Between Desiccation-sensitive and Desiccation-tolerant Leaves. J. Exp. Bot. 2007, 58, 3037–3046. [Google Scholar] [CrossRef] [PubMed]
- Zhu, Y.; Gong, H. Beneficial Effects of Silicon on Salt and Drought Tolerance in Plants. Agron. Sustain. Dev 2014, 34, 455–472. [Google Scholar] [CrossRef]
- Ma, J.F.; Yamaji, N. Silicon Uptake and Accumulation in Higher Plants. Trends Plant Sci. 2006, 11, 392–397. [Google Scholar] [CrossRef] [PubMed]
- Maksimović, J.D.; Mojović, M.; Maksimović, V.; Römheld, V.; Nikolic, M. Silicon Ameliorates Manganese Toxicity in Cucumber by Decreasing Hydroxylradical Accumulation in the Leaf Apoplast. J. Exp. Bot. 2012, 63, 2411–2420. [Google Scholar] [CrossRef] [PubMed]
- Pavlovic, J.; Samardzic, J.; Maksimović, V.; Timotijevic, G.; Stevic, N.; Laursen, K.H.; Hansen, T.H.; Husted, S.; Schjoerring, J.K.; Liang, Y.; et al. Silicon Alleviates Iron Deficiency in Cucumber by Promoting Mobilization of Iron in the Root Apoplast. New Phytol. 2013, 198, 1096–1107. [Google Scholar] [CrossRef] [PubMed]
- Hattori, T.; Inanaga, S.; Tanimoto, E.; Lux, A.; Luxová, M.; Sugimoto, Y. Silicon-induced Changes in Viscoelastic Properties of Sorghum Root Cell Walls. Plant Cell Physiol. 2003, 44, 743–749. [Google Scholar] [CrossRef] [PubMed]
- Rengel, Z. Availability of Mn, Zn and Fe in the Rhizosphere. J. Soil. Sci. Plant Nutr. 2015, 15, 397–409. [Google Scholar] [CrossRef]
- Hernandez-apaolaza, L. Can Silicon Partially Alleviate Micronutrient Deficiency in Plants? A Review. Planta 2014, 240, 447–458. [Google Scholar] [CrossRef] [PubMed]
- Moradtalab, N.; Weinmann, M.; Walker, F.; Höglinger, B.; Ludewig, U.; Neumann, G. Silicon Improves Chilling Tolerance during Early Growth of Maize by Effects on Micronutrient Homeostasis and Hormonal Balances. Front. Plant Sci. 2018, 9, 420. [Google Scholar] [CrossRef]
- Cakmak, I.; Marschner, H.; Bangerth, F. Effect of Zinc Nutritional Status on Growth, Protein Metabolism and Levels of Indole-3-acetic Acid and Other Phytohormones in Bean (Phaseolus vulgaris L.). J. Exp. Bot. 1989, 40, 405–412. [Google Scholar] [CrossRef]
- Rouphael, Y.; Franken, P.; Schneider, C.; Schwarz, D.; Giovannetti, M.; Agnolucci, M.; De Pascale, S.; Bonini, P.; Colla, G. Arbuscular Mycorrhizal Fungi Act as Biostimulants in Horticultural Crops. Sci. Hortic. 2015, 196, 91–108. [Google Scholar] [CrossRef]
- Singh, L.P.; Gill, S.S.; Tuteja, N. Unraveling the Role of Fungal Symbionts in Plant Abiotic Stress Tolerance. Plant Signal. Behav. 2011, 6, 175–19164. [Google Scholar] [CrossRef]
- Clark, R.B.; Zeto, S.K. Mineral Acquisition by Arbuscular Mycorrhizal Plants. J. Plant Nutr. 2000, 23, 867–902. [Google Scholar] [CrossRef]
- Anda, O.C.C.; Opfergelt, S.; Declerck, S. Silicon Acquisition by Bananas (c.V. Grande Naine) is Increased in Presence of the Arbuscular Mycorrhizal Fungus Rhizophagus irregularis MUCL 41833. Plant Soil 2016, 409, 77–85. [Google Scholar] [CrossRef]
- Garg, N.; Bhandari, P. Silicon Nutrition and Mycorrhizal Inoculations Improve Growth, Nutrient Status, K+/Na+ Ratio and Yield of Cicer arietinum L. Genotypes under Salinity Stress. Plant Growth Regul. 2016, 78, 371–387. [Google Scholar] [CrossRef]
- Smith, S.E.; Read, D.J. Mycorrhizal Symbiosis, 3rd ed.; Academic Press: London, UK, 2008; p. 800. ISBN 9780123705266. [Google Scholar]
- Rodrigues, F.A.; McNally, D.J.; Datnoff, L.E.; Jones, J.B.; Labbé, C.; Benhamou, N.; Menzies, J.G.; Bélanger, R.R. Silicon Enhances the Accumulation of Diterpenoid Phytoalexins in Rice: A Potential Mechanism for Blast Resistance. Phytopathology 2004, 94, 177–183. [Google Scholar] [CrossRef]
- Mandal, S.M.; Chakraborty, D.; Dey, S. Phenolic Acids Act as Signalling Molecules in Plant-microbe Symbioses. Plant Signal. Behav. 2010, 5, 359–368. [Google Scholar] [CrossRef] [PubMed]
- Steinkellner, S.; Lendzemo, V.; Langer, I.; Schweiger, P.; Khaosaad, T.; Toussaint, J.P.; Vierheilig, H. Flavonoids and Strigolactones in Root Exudates as Signals in Symbiotic and Pathogenic Plant–Fungus Interactions. Molecules 2007, 12, 1290–1306. [Google Scholar] [CrossRef]
- Hassan, S.; Mathesius, U. The Tole of Flavonoids in Rootrhizosphere Signalling: Opportunities and Challenges for Improving Plant-microbe Interactions. J. Exp. Bot. 2012, 63, 3429–3444. [Google Scholar] [CrossRef]
- Abdel-Lateif, K.; Bogusz, D.; Hocher, V. The Role of Flavonoids in the Establishment of Plant Roots Endosymbioses with Arbuscular Mycorrhiza Fungi, Rhizobia and Frankia Bacteria. Plant Signal. Behav. 2012, 7, 636–641. [Google Scholar] [CrossRef]
- Botta, A.; Rodrigues, F.A.; Sierras, N.; Marin, C.; Cerda, J.M.; Brossa, R. Evaluation of Armurox® (cComplex of Peptides with Soluble Silicon) on Mechanical and Biotic Stresses in Gramineae. In Proceedings of the 6th International Conference on Silicon in Agriculture, Stockholm, Sweden, 26–30 August 2014. [Google Scholar]
- Coskun, D.; Deshmukh, R.; Sonah, H.; Menzies, J.G.; Reynolds, O.; Ma, J.F.; Kronzucker, H.J.; Bélanger, R.R. The Controversies of Silicon’s Role in Plant Biology. New Phytol. 2019, 221, 67–85. [Google Scholar] [CrossRef]
- Reddy, S. Time to Say Sí to Silicon—And Bring Back the Missing Element in Soilless Growing. Available online: http://www.sungro.com/time-say-si-silicon-bring-back-missing-element-soilless-growing (accessed on 12 May 2014).

| F | Shoot Biomass | Root Biomass | Leaf RWC | Leaf Osmotic Potential | |
| p | |||||
| IR | WW MD SD | <0.001 *** | <0.001 *** | <0.001 *** | <0.001 *** |
| AMF | −AMF +AMF | <0.001 *** | <0.001 *** | <0.001 *** | <0.001 *** |
| Si | −Si +Si | <0.001 *** | <0.001 *** | <0.001 *** | <0.001 *** |
| IR×AMF | 0.47 ns | <0.001 *** | <0.001 *** | <0.001 *** | |
| IR×Si | <0.001 *** | 0.62 ns | 0.21 ns | 0.002 ** | |
| AMF×Si | 0.01 * | <0.001 *** | 0.02 * | 0.04 * | |
| IR×AMF×Si | 0.01 * | 0.01 * | <0.001 *** | <0.001 *** | |

| F | Net Photosynthesis Rate | Transpiration Rate | Stomatal Conductance | Water Use Efficiency | |
| p | |||||
| IR | WW MD SD | <0.001 *** | <0.001 *** | <0.001 *** | <0.001 *** |
| AMF | –AMF +AMF | <0.001 *** | <0.001 *** | <0.001 *** | 0.02 * |
| Si | –Si +Si | <0.001 *** | <0.001 *** | <0.001 *** | <0.001 *** |
| IR×AMF | <0.001 *** | 0.005 ** | 0.03 * | 0.09 ns | |
| IR×Si | <0.001 *** | 0.1 ns | 0.003 ** | 0.008 ** | |
| AMF×Si | <0.001 *** | 0.3 ns | 0.09 ns | 0.9 ns | |
| IR×AMF×Si | <0.001 *** | 0.004 ** | 0.01 * | 0.2 ns | |

| Hyphae | Arbuscules | Vesicles | |||
|---|---|---|---|---|---|
| WW | −AMF | −Si | 1.1 ± 0.1 c | 2.0 ± 0.1 cd | 0.4 ± 0.0 c |
| +Si | 1.1 ± 0.1 c | 2.4 ± 0.1 c | 0.4 ± 0.0 c | ||
| +AMF | −Si | 1.6 ± 0.1 b | 4.9 ± 0.2 b | 0.2 ± 0.1 d | |
| +Si | 2.6 ± 0.1 a | 7.3 ± 0.3 a | 0.2 ± 0.1 d | ||
| MD | −AMF | −Si | 0.1 ± 0.0 d | 1.1 ± 0.1 e | 0.4 ± 0.0 c |
| +Si | 0.1 ± 0.0 d | 1.7 ± 0.1 d | 0.4 ± 0.0 c | ||
| +AMF | −Si | 2.4 ± 0.1 b | 6.3 ± 0.3 b | 1.0 ± 0.1 b | |
| +Si | 2.6 ± 0.1 a | 8.1 ± 0.4 a | 1.0 ± 0.1 b | ||
| SD | −AMF | −Si | 0.1 ± 0.0 d | 0.0 ± 0.0 f | 0.9 ± 0.0 b |
| +Si | 0.1 ± 0.0 d | 1.2 ± 0.1 e | 0.9 ± 0.0 b | ||
| +AMF | −Si | 2.4 ± 0.1 b | 2.8 ± 0.1 c | 1.9 ± 0.1 a | |
| +Si | 2.7 ± 0.1 a | 3.8 ± 0.2 b | 2.1 ± 0.1 a | ||
| p | |||||
| IR | WW MD SD | 0.72 ns | 0.02 * | 0.01 * | |
| AMF | −AMF +AMF | <0.001 *** | <0.001 *** | 0.04 * | |
| Si | −Si +Si | 0.20 ns | 0.05 * | 0.87 ns | |
| IR×AMF | 0.001 ** | <0.001 *** | 0.05 * | ||
| IR×Si | 0.12 ns | <0.001 *** | 0.06 ns | ||
| AMF×Si | 0.06 ns | 0.01 * | 0.12 ns | ||
| IR×AMF×Si | 0.14 ns | <0.001 *** | 0.11 ns | ||
| Leaf | Root | |||||||||
|---|---|---|---|---|---|---|---|---|---|---|
| Proline | Free AA | Protein | Soluble Sugars | Proline | Free AA | Protein | Soluble Sugars | |||
| WW | −AMF | −Si | 1.4 ± 0.0 e | 2.6 ± 0.1 g | 9.0 ± 0.3 bc | 5.1 ± 0.0 d | 2.9 ± 0.4 ab | 1.9 ± 0.3 df | 2.9 ± 0.3 ab | 1.5 ± 0.0 f |
| +Si | 1.3 ± 0.0 e | 2.5 ± 0.0 g | 10.3 ± 0.3 b | 4.5 ± 0.0 d | 3.0 ± 0.3 ab | 1.4 ± 0.4 f | 3.0 ± 0.3 ab | 2.8 ± 0.1 ef | ||
| +AMF | −Si | 1.4 ± 0.0 e | 2.5 ± 0.0 g | 9.1 ± 0.2 bc | 4.3 ± 0.1 d | 3.4 ± 0.4 ab | 1.4 ± 0.4 f | 3.4 ± 0.3 ab | 2.3 ± 0.2 e | |
| +Si | 1.3 ± 0.0 e | 2.9 ± 0.0 g | 12.5 ± 0.3 a | 2.0 ± 0.0 e | 3.7 ± 0.2 a | 1.4 ± 0.3 f | 3.7 ± 0.1 a | 2.6 ± 0.1 e | ||
| MD | −AMF | −Si | 39.5 ± 0.0 b | 8.2 ± 0.1 c | 6.4 ± 0.1 d | 9.8 ± 0.0 b | 1.7 ± 0.1 bc | 4.8 ± 0.5 d | 1.7 ± 0.0 bc | 3.7 ± 0.3 ed |
| +Si | 7.4 ± 0.2 d | 5.1 ± 0.1 e | 8.2 ± 0.5 c | 6.5 ± 0.0 c | 2.4 ± 0.3 b | 5.8 ± 0.3 cd | 2.4 ± 0.0 b | 5.9 ± 0.1 d | ||
| +AMF | −Si | 7.7 ± 0.1 d | 4.8 ± 0.1 e | 8.2 ± 0.4 c | 6.3 ± 0.0 c | 2.3 ± 0.1 b | 6.2 ± 0.3 cd | 2.3 ± 0.2 b | 4.5 ± 0.1 d | |
| +Si | 5.1 ± 0.0 de | 3.3 ± 0.1 f | 9.5 ± 0.1 b | 6.0 ± 0.0 cd | 2.0 ± 0.2 b | 8.9 ± 0.8 c | 2.0 ± 0.2 b | 5.7 ± 0.4 d | ||
| SD | −AMF | −Si | 62.1 ± 2.9 a | 12.3 ± 0.1 a | 2.4 ± 0.2 f | 14.8 ± 0.1 a | 1.3 ± 0.2 c | 11.0 ± 0.8 c | 1.3 ± 0.3 c | 8.2 ± 0.4 c |
| +Si | 16.2 ± 0.1 c | 9.1 ± 0.0 b | 5.3 ± 0.1 e | 9.2 ± 0.0 b | 2.8 ± 0.1 ab | 20.6 ± 1.1 a | 2.8 ± 0.2 ab | 12.7 ± 0.5 b | ||
| +AMF | −Si | 18.1 ± 0.0 c | 6.3 ± 0.0 d | 3.2 ± 0.1 f | 10.1 ± 0.0 b | 2.6 ± 0.2 ab | 15.7 ± 0.6 b | 2.6 ± 0.4 ab | 12.0 ± 0.4 b | |
| +Si | 9.2 ± 0.0 d | 6.1 ± 0.0 d | 7.0 ± 0.2 d | 7.2 ± 0.1 c | 2.9 ± 0.3 ab | 23.3 ± 1.6 a | 2.9 ± 0.2 ab | 15.1 ± 0.6 a | ||
| p | ||||||||||
| IR | WW MD SD | <0.001 *** | <0.001 *** | <0.001 *** | <0.001 *** | <0.001 *** | <0.001 *** | <0.001 *** | <0.001 *** | |
| AMF | −AMF +AMF | <0.001 *** | <0.001 *** | <0.001 *** | <0.001 *** | 0.004 ** | 0.151 ns | 0.001 ** | <0.001 *** | |
| Si | −Si +Si | <0.001 *** | <0.001 *** | <0.001 *** | <0.001 *** | 0.006 ** | 0.061 ns | 0.002 ** | <0.001 *** | |
| IR×AMF | <0.001 *** | <0.001 *** | 0.5 ns | <0.001 *** | 0.2 ns | 0.1 ns | 0.2 ns | 0.01 * | ||
| IR×Si | <0.001 *** | <0.001 *** | <0.001 *** | <0.001 *** | 0.1 ns | 0.02 * | 0.09 ns | 0.6 ns | ||
| AMF×Si | 0.05 ns | 0.01 * | 0.01 * | <0.001 *** | 0.05 ns | 0.4 ns | 0.03 * | <0.001 *** | ||
| IR×AMF×Si | <0.001 *** | <0.001 *** | 0.01 * | <0.001 *** | 0.1 ns | 0.3 ns | 0.08 ns | 0.04 * | ||
| Leaf | Root | ||||||||
|---|---|---|---|---|---|---|---|---|---|
| CAT | SOD | POD | MDA | CAT | SOD | H2O2 | |||
| WW | −AMF | −Si | 36.7 ± 1.7 g | 4.5 ± 0.5 d | 1.7 ± 0.3 f | 0.2 ± 0.0 i | 2.8 ± 0.1 e | 3.7 ± 0.2 e | 0.5 ± 0.0 e |
| +Si | 50.0 ± 4.3 f | 8.1 ± 0.4 d | 3.8 ± 0.2 f | 0.2 ± 0.0 i | 3.8 ± 0.3 e | 4.5 ± 0.3 e | 0.3 ± 0.0 e | ||
| +AMF | −Si | 54.1 ± 1.6 f | 5.2 ± 0.5 d | 3.8 ± 0.4 f | 0.1 ± 0.0 i | 4.0 ± 0.1 e | 4.7 ± 0.4 e | 0.5 ± 0.0 e | |
| +Si | 61.2 ± 0.9 df | 9.2 ± 0.7 d | 4.5 ± 0.6 df | 0.1 ± 0.0 i | 4.5 ± 0.1 ed | 5.1 ± 0.4 ed | 0.3 ± 0.0 e | ||
| MD | −AMF | −Si | 66.1 ± 1.2 e | 18.0 ± 0.8 c | 7.1 ± 0.3 d | 25.2 ± 0.1 b | 7.2 ± 0.2 d | 8.2 ± 0.4 de | 2.5 ± 0.2 c |
| +Si | 84.1 ± 1.9 d | 34.2 ± 2.8 b | 9.8 ± 0.9 d | 10.2 ± 0.0 e | 8.4 ± 0.2 cd | 9.4 ± 0.5 dc | 1.5 ± 0.1 d | ||
| +AMF | −Si | 86.0 ± 1.0 d | 35.4 ± 3.1 b | 9.9 ± 1.0 d | 7.2 ± 0.0 g | 14.1 ± 0.7 c | 13.5 ± 0.4 c | 2.1 ± 0.0 c | |
| +Si | 111.6 ± 4.1 c | 37.1 ± 3.6 b | 10.8 ± 0.7 d | 6.3 ± 0.1 h | 17.1 ± 1.3 c | 17.3 ± 0.6 c | 1.0 ± 0.0 d | ||
| SD | −AMF | −Si | 113.1 ± 1.2 c | 23.0 ± 1.7 c | 30.0 ± 3.5 c | 49.5 ± 0.2 a | 18.3 ± 1.1 c | 19.0 ± 1.1 c | 3.9 ± 0.1 a |
| +Si | 132.9 ± 1.0 b | 45.1 ± 1.6 a | 37.8 ± 6.1 b | 17.5 ± 0.1 c | 26.3 ± 2.0 b | 26.3 ± 3.0 b | 2.7 ± 0.1 b | ||
| +AMF | −Si | 126.0 ± 2.0 b | 43.0 ± 1.7 b | 37.1 ± 4.6 b | 12.3 ± 0.2 d | 36.7 ± 2.0 a | 36.7 ± 4.0 a | 2.2 ± 0.1 bc | |
| +Si | 151.0 ± 1.3 a | 50.5 ± 2.4 a | 41.3 ± 1.8 a | 9.2 ± 0.0 f | 38.0 ± 2.5 a | 38.8 ± 4.0 a | 2.5 ± 0.2 b | ||
| p | |||||||||
| IR | WW MD SD | <0.001 *** | <0.001 *** | <0.001 *** | <0.001 *** | <0.001 *** | <0.001 *** | <0.001 *** | |
| AMF | −AMF +AMF | 0.006 ** | <0.001 *** | 0.5 ns | <0.001 *** | 0.8 ns | <0.001 *** | <0.001 *** | |
| Si | −Si +Si | 0.6 ns | <0.001 *** | 0.7 ns | <0.001 *** | 0.02 * | <0.001 *** | 0.008 ** | |
| IR×AMF | <0.001 *** | 0.5 ns | 0.08 ns | <0.001 *** | <0.001 *** | 0.002 ** | 0.06 ns | ||
| IR×Si | <0.001 *** | <0.001 *** | 0.2 ns | <0.001 *** | <0.001 *** | 0.9 ns | <0.001 *** | ||
| AMF×Si | <0.001 *** | <0.001 *** | 0.08 ns | <0.001 *** | 0.03 * | 0.4 ns | 0.5 ns | ||
| IR×AMF×Si | 0.2 ns | <0.001 *** | 0.06 ns | 0.002 ** | <0.001 *** | 0.3 ns | 0.008 ** | ||
| Si | Zn | Mn | Fe | Cu | ||||
|---|---|---|---|---|---|---|---|---|
| WW | −AMF | −Si | 0.3 ± 0.0 c | 70.6 ± 4.0 a | 63.1 ± 9.4 a | 80.6 ± 14.9 a | 7.1 ± 0.4 a | |
| +Si | 1.4 ± 0.2 b | 75.3 ± 5.0 a | 65.1 ± 5.1 a | 102.5 ± 18.9 a | 8.0 ± 0.4 a | |||
| +AMF | −Si | 0.4 ± 0.1 bc | 78.0 ± 2.8 a | 74.2 ± 6.3 a | 92.2 ± 15.0 a | 7.8 ± 0.9 a | ||
| +Si | 1.9 ± 0.1 a | 79.4 ± 7.0 a | 79.4 ± 8.0 a | 99.4 ± 21.3 a | 8.7 ± 0.3 a | |||
| MD | −AMF | −Si | 0.2 ± 0.0 c | 31.5 ± 4.3 c | 37.5 ± 5.9 ab | 32.8 ± 13.0 ab | 3.9 ± 0.9 ab | |
| +Si | 1.1 ± 0.1 b | 58.1 ± 2.7 b | 57.9 ± 6.4 a | 47.6 ± 6.3 ab | 5.8 ± 0.3 a | |||
| +AMF | −Si | 0.5 ± 0.0 bc | 47.5 ± 2.5 bc | 57.5 ± 6.3 a | 50.0 ± 4.1 a | 6.0 ± 0.9 a | ||
| +Si | 0.8 ± 0.1 b | 61.7 ± 1.7 b | 64.8 ± 4.9 a | 69.8 ± 8.2 a | 6.2 ± 0.2 a | |||
| SD | −AMF | −Si | 0.1 ± 0.0 d | 13.4 ± 3.5 d | 32.2 ± 8.6 b | 12.2 ± 2.3 b | 3.5 ± 0.5 ab | |
| +Si | 0.5 ± 0.1 bc | 16.3 ± 4.0 dc | 26.8 ± 7.3 b | 19.3 ± 3.5 b | 3.4 ± 0.6 b | |||
| +AMF | −Si | 0.5 ± 0.0 bc | 21.0 ± 8.4 dc | 38.8 ± 6.6 b | 23.8 ± 5.5 b | 3.4 ± 0.6 b | ||
| +Si | 1.0 ± 0.1 b | 15.5 ± 8.3 dc | 35.0 ± 2.9 b | 22.5 ± 6.3 b | 4.8 ± 0.8 ab | |||
| p | ||||||||
| IR | WW MD SD | <0.001 *** | <0.001 *** | <0.001 *** | <0.001 *** | <0.001 *** | ||
| AMF | −AMF +AMF | <0.001 *** | 0.04 * | <0.007 ** | <0.01 ** | 0.02 * | ||
| Si | −Si +Si | <0.001 *** | 0.001 *** | 0.3 ns | 0.03 ** | <0.02 * | ||
| IR×AMF | 0.03 * | 0.5 ns | 0.8 ns | 0.4 ns | 0.7 ns | |||
| IR×Si | <0.001 *** | 0.02 * | 0.2 ns | 0.3 ns | 0.9 ns | |||
| AMF×Si | 0.03 * | 0.5 ns | 0.7 ns | 0.4 ns | 0.9 ns | |||
| IR×AMF×Si | <0.001 *** | 0.002 ** | 0.6 ns | 0.6 ns | 0.2 ns | |||
© 2019 by the authors. Licensee MDPI, Basel, Switzerland. This article is an open access article distributed under the terms and conditions of the Creative Commons Attribution (CC BY) license (http://creativecommons.org/licenses/by/4.0/).
Share and Cite
Moradtalab, N.; Hajiboland, R.; Aliasgharzad, N.; Hartmann, T.E.; Neumann, G. Silicon and the Association with an Arbuscular-Mycorrhizal Fungus (Rhizophagus clarus) Mitigate the Adverse Effects of Drought Stress on Strawberry. Agronomy 2019, 9, 41. https://doi.org/10.3390/agronomy9010041
Moradtalab N, Hajiboland R, Aliasgharzad N, Hartmann TE, Neumann G. Silicon and the Association with an Arbuscular-Mycorrhizal Fungus (Rhizophagus clarus) Mitigate the Adverse Effects of Drought Stress on Strawberry. Agronomy. 2019; 9(1):41. https://doi.org/10.3390/agronomy9010041
Chicago/Turabian StyleMoradtalab, Narges, Roghieh Hajiboland, Nasser Aliasgharzad, Tobias E. Hartmann, and Günter Neumann. 2019. "Silicon and the Association with an Arbuscular-Mycorrhizal Fungus (Rhizophagus clarus) Mitigate the Adverse Effects of Drought Stress on Strawberry" Agronomy 9, no. 1: 41. https://doi.org/10.3390/agronomy9010041
APA StyleMoradtalab, N., Hajiboland, R., Aliasgharzad, N., Hartmann, T. E., & Neumann, G. (2019). Silicon and the Association with an Arbuscular-Mycorrhizal Fungus (Rhizophagus clarus) Mitigate the Adverse Effects of Drought Stress on Strawberry. Agronomy, 9(1), 41. https://doi.org/10.3390/agronomy9010041

