Can Faba Bean Physiological Responses Stem from Contrasting Traffic Management Regimes?
Abstract
1. Introduction
2. Materials and Methods
2.1. Experimental Design
2.2. Greenhouse Study
2.3. Measurements
2.4. Statistics
3. Results
3.1. Evapotranspiration and Water-Use Efficiency
3.2. Normalized Difference Vegetation Index
3.3. Stomatal Conductance
3.4. Plant Biomass
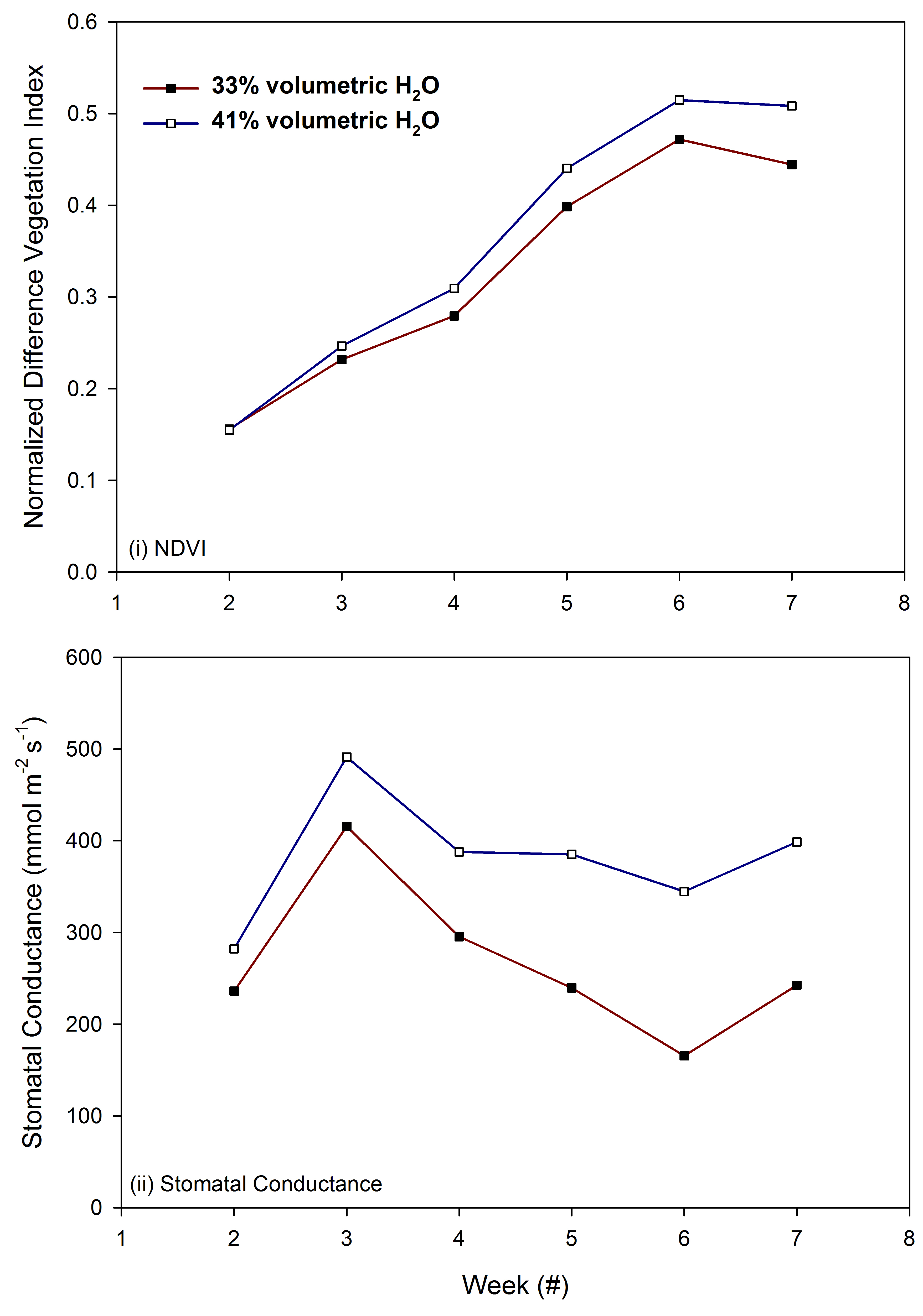
3.5. Temporal Variation of Plant Parameters
4. Discussion
4.1. Plant Dynamics Impacted by Varying Compactive Effort
4.2. Influences of Soil Water on Plant Responses
4.3. Sensor-Based Measurements in the Soil–Plant–Atmosphere Continuum
5. Conclusions
Author Contributions
Funding
Acknowledgments
Conflicts of Interest
Abbreviations
| CTF | controlled traffic farming |
| NDVI | normalized difference vegetation index |
References
- Congreves, K.A.; Hayes, A.; Verhallen, E.A.; Van Eerd, L.L. Long-term impact of tillage and crop rotation on soil health at four temperate agroecosystems. Soil Tillage Res. 2015, 152, 17–28. [Google Scholar] [CrossRef]
- Dias, T.; Dukes, A.; Antunes, P.M. Accounting for soil biotic effects on soil health and crop productivity in the design of crop rotations. J. Sci. Food Agric. 2015, 95, 447–454. [Google Scholar] [CrossRef] [PubMed]
- Jensen, E.S.; Peoples, M.B.; Hauggaard-Nielsen, H. Faba bean in cropping systems. Field Crop. Res. 2010, 115, 203–216. [Google Scholar] [CrossRef]
- Kröbel, R.; Lemke, R.; Campbell, C.A.; Zentner, R.; McConkey, B.; Steppuhn, H.; De Jong, R.; Wang, H. Water use efficiency of spring wheat in the semi-arid Canadian prairies: Effect of legume green manure, type of spring wheat, and cropping frequency. Can. J. Soil Sci. 2014, 94, 223–235. [Google Scholar] [CrossRef]
- Medrano, H.; Tomás, M.; Martorell, S.; Flexas, J.; Hernández, E.; Rosselló, J.; Pou, A.; Escalona, J.-M.; Bota, J. From leaf to whole-plant water use efficiency (WUE) in complex canopies: Limitations of leaf WUE as a selection target. Crop J. 2015, 3, 220–228. [Google Scholar] [CrossRef]
- Xu, L.K.; Hsiao, T.C. Predicted versus measured photosynthetic water-use efficiency of crop stands under dynamically changing field environments. J. Exp. Bot. 2004, 55, 2395–2411. [Google Scholar] [CrossRef] [PubMed]
- Federer, C.A. A soil-plant-atmosphere model for transpration and availability of soil water. Water Resour. Res. 1979, 15, 555–562. [Google Scholar] [CrossRef]
- Rosenzweig, C.; Elliott, J.; Deryng, D.; Ruane, A.C.; Müller, C.; Arneth, A.; Boote, K.J.; Folberth, C.; Glotter, M.; Khabarov, N.; et al. Assessing agricultural risks of climate change in the 21st century in a global gridded crop model intercomparison. Proc. Natl. Acad. Sci. USA 2014, 111, 3268–3273. [Google Scholar] [CrossRef] [PubMed]
- Liang, Z.; Shao, M.; Zhang, J. The relations of stomatal conductance, water consumption, growth rate to leaf water potential during soil drying and rewatering cycle of wheat (Triticum aestivum). Bot. Bull. Acad. Sin. 2002, 43, 187–192. [Google Scholar]
- Sadras, V.O.; O’Leary, G.J.; Roget, D.K. Crop responses to compacted soil: Capture and efficiency in the use of water and radiation. Field Crop. Res. 2005, 91, 131–148. [Google Scholar] [CrossRef]
- Husain, M.M.; Reid, J.B.; Othman, H.; Gallagher, J.N. Growth and water use of faba beans (Vicia faba) in a sub-humid climate I. Root and shoot adaptations to drought stress. Field Crop. Res. 1990, 23, 1–17. [Google Scholar] [CrossRef]
- Loss, S.P.; Siddique, K.H.M. Adaptation of faba bean (Vicia faba L.) to dryland Mediterranean-type environments I. Seed yield and yield components. Field Crop. Res. 1997, 54, 153–162. [Google Scholar] [CrossRef]
- Campbell, C.A.; Zentner, R.P.; Basnyat, P.; Wang, H.; Selles, F.; McConkey, B.G.; Gan, Y.T.; Cutforth, H.W. Water use efficiency and water and nitrate distribution in soil in the semiarid prairie: Effect of crop type over 21 years. Can. J. Plant Sci. 2007, 87, 815–827. [Google Scholar] [CrossRef]
- Hatfield, J.L.; Sauer, T.J.; Prueger, J.H. Managing soils to achieve greater water use efficiency: A review. Agron. J. 2001, 93, 271–280. [Google Scholar] [CrossRef]
- Nielsen, D.C.; Unger, P.W.; Miller, P.R. Efficient Water Use in Dryland Cropping Systems in the Great Plains. Agron. J. 2005, 97, 364–372. [Google Scholar] [CrossRef]
- Li, Y.X.; Tullberg, J.N.; Freebairn, D.M. Wheel traffic and tillage effects on runoff and crop yield. Soil Tillage Res. 2007, 97, 282–292. [Google Scholar] [CrossRef]
- Li, Y.X.; Tullberg, J.N.; Freebairn, D.M.; Li, H.W. Functional relationships between soil water infiltration and wheeling and rainfall energy. Soil Tillage Res. 2009, 104, 156–163. [Google Scholar] [CrossRef]
- McHugh, A.D.; Tullberg, J.N.; Freebairn, D.M. Controlled traffic farming restores soil structure. Soil Tillage Res. 2009, 104, 164–172. [Google Scholar] [CrossRef]
- Tullberg, J.N.; Yule, D.F.; McGarry, D. Controlled traffic farming—From research to adoption in Australia. Soil Tillage Res. 2007, 97, 272–281. [Google Scholar] [CrossRef]
- Radford, B.J.; Yule, D.F.; McGarry, D.; Playford, C. Crop responses to applied soil compaction and to compaction repair treatments. Soil Tillage Res. 2001, 61, 157–166. [Google Scholar] [CrossRef]
- Buttery, B.R.; Tan, C.S.; Drury, C.F.; Park, S.J.; Armstrong, R.J.; Park, K.Y. The effects of soil compaction, soil moisture and soil type on growth and nodulation of soybean and common bean. Can. J. Plant Sci. 1998, 78, 571–576. [Google Scholar] [CrossRef]
- Buttery, B.R.; Tan, C.S.; Park, S.J. The effects of soil compaction on nodulation and growth of common bean (Phaseolus vulgaris L.). Can. J. Plant Sci. 1994, 74, 287–292. [Google Scholar] [CrossRef]
- Holzapfel, C.B.; Lafond, G.P.; Brandt, S.A.; Bullock, P.R.; Irvine, R.B.; Morrison, M.J.; May, W.E.; James, D.C. Estimating canola (Brassica napus L.) yield potential using an active optical sensor. Can. J. Plant Sci. 2009, 89, 1149–1160. [Google Scholar] [CrossRef]
- Guenette, K.G.; Hernandez-Ramirez, G. Tracking the influence of controlled traffic regimes on field scale soil variability and geospatial modelling techniques. Geoderma 2018, 328, 66–78. [Google Scholar] [CrossRef]
- Schelle, H.; Heise, L.; Jänicke, K.; Durner, W. Water retention characteristics of soils over the whole moisture range: A comparison of laboratory methods. Eur. J. Soil Sci. 2013, 64, 814–821. [Google Scholar] [CrossRef]
- Schindler, U.; Durner, W.; von Unold, G.; Muller, L. Evaporation method for measuring unsaturated hydraulic properties of soils: Extending the measurement range. Soil Sci. Soc. Am. J. 2010, 74, 1071–1083. [Google Scholar] [CrossRef]
- Schindler, U.; Müller, L. Simplifying the evaporation method for quantifying soil hydraulic properties. J. Plant Nutr. Soil Sci. 2006, 169, 623–629. [Google Scholar] [CrossRef]
- Zadoks, J.C.; Chang, T.T.; Konzak, C.F. A decimal code for the growth stages of cereals. Weed Res. 1974, 14, 415–421. [Google Scholar] [CrossRef]
- McKenzie, R.H.; Bremer, E.; Middleton, A.B.; Pfiffner, P.G.; Woods, S.A. Optimum seeding date and rate for irrigated cereal and oilseed crops in southern Alberta. Can. J. Plant Sci. 2011, 91, 293–303. [Google Scholar] [CrossRef]
- Alberta Agriculture and Forestry. Cereal Seeding Depth. 2008. Available online: http://www1.agric.gov.ab.ca/$department/deptdocs.nsf/all/crop4690 (accessed on 17 July 2002).
- Lancashire, P.D.; Bleiholder, H.; Vandenboom, T.; Langeluddeke, P.; Stauss, R.; Weber, E.; Witzenberger, A. A uniform decimal code for growth-stages of crops and weeds. Ann. Appl. Biol. 1991, 119, 561–601. [Google Scholar] [CrossRef]
- Alberta Agriculture and Forestry. Using 1,000 Kernal Weight for Calculating Seeding Rates and Harvest Losses. 2007. Available online: http://www1.agric.gov.ab.ca/$department/deptdocs.nsf/all/agdex81 (accessed on 1 September 2001).
- Douglas, L.; Laviolette-Brown, D.; Ma, X.; Shapka, B.; Yu, Z. Alberta Fababean Producers Manual: Ver. 1.0.; University of Alberta: Edmonton, AB, Canada, 2013; Available online: https://albertapulse.com/wp-content/uploads/2017/05/FABABEAN_PRODUCER_MANUAL_-Final_Copy-1.pdf (accessed on 9 February 2014).
- Fischer, R.A. After-effect of water stress on stomatal opening potential: II. Possible causes. J. Exp. Bot. 1970, 21, 386–404. [Google Scholar] [CrossRef]
- Raun, W.R.; Solie, J.B.; Johnson, G.V.; Stone, M.L.; Mullen, R.W.; Freeman, K.W.; Thomason, W.E.; Lukina, E.V. Variable rate application. Agron. J. 2002, 94, 815–820. [Google Scholar] [CrossRef]
- Tubaña, B.S.; Arnall, D.B.; Walsh, O.; Chung, B.; Solie, J.B.; Girma, K.; Raun, W.R. Adjusting Midseason Nitrogen Rate Using a Sensor-Based Optimization Algorithm to Increase Use Efficiency in Corn. J. Plant Nutr. 2008, 31, 1393–1419. [Google Scholar] [CrossRef]
- Filella, I.; Serrano, L.; Serra, J.; Peñuelas, J. Evaluating Wheat Nitrogen Status with Canopy Reflectance Indexes and Discriminant-Analysis. Crop Sci. 1995, 35, 1400–1405. [Google Scholar] [CrossRef]
- De Jong, R.; Rennie, D.A. Effect of soil profile type and fertilizer on moisture use by wheat grown on fallow or stubble land. Can. J. Soil Sci. 1969, 49, 189–197. [Google Scholar] [CrossRef][Green Version]
- Holzapfel, C.B.; Lafond, G.P.; Brandt, S.A.; Bullock, P.R.; Irvine, R.B.; James, D.C.; Morrison, M.J.; May, W.E. Optical sensors have potential for determining nitrogen fertilizer topdressing requirements of canola in Saskatchewan. Can. J. Plant Sci. 2009, 89, 411–425. [Google Scholar] [CrossRef]
- Mikhabela, M.S.; Bullock, P.; Raj, S.; Wang, S.; Yang, Y. Crop yield forecasting on the Canadian Prairies using MODIS NDVI data. Agric. For. Meteorol. 2011, 151, 385–393. [Google Scholar] [CrossRef]
- Chen, G.; Weil, R.R. Root growth and yield of maize as affected by soil compaction and cover crops. Soil Tillage Res. 2011, 117, 17–27. [Google Scholar] [CrossRef]
- Hernandez-Ramirez, G.; Lawrence-Smith, E.J.; Sinton, S.M.; Schwen, A.; Brown, H.E. Root Responses to Alterations in Macroporosity and Penetrability in a Silt Loam Soil. Soil Sci. Soc. Am. J. 2014, 78, 1392–1403. [Google Scholar] [CrossRef]
- Hamza, M.A.; Anderson, W.K. Soil compaction in cropping systems: A review of the nature, causes and possible solutions. Soil Tillage Res. 2005, 82, 121–145. [Google Scholar] [CrossRef]
- Horn, R.; Domial, H.; Slowihka-Jurkiewiczb, A.; Van Ouwerkerkct, C. Soil compaction processes and their effects on the structure of arable soils and the environment. Soil Tillage Res. 1995, 35, 23–36. [Google Scholar] [CrossRef]
- Lipiec, J.; Kuś, J.; Słowińska-Jurkiewicz, A.; Nosalewicz, A. Soil porosity and water infiltration as influenced by tillage methods. Soil Tillage Res. 2006, 89, 210–220. [Google Scholar] [CrossRef]
- Shein, E.V.; Pachepsky, Y.A. Influence of root density on the critical soil water potential. Plant Soil 1995, 171, 351–357. [Google Scholar] [CrossRef]
- Munoz-Romero, V.; Lopez-Bellido, L.; Lopez-Bellido, R.J. Faba bean root growth in a Vertisol: Tillage effects. Field Crop. Res. 2011, 120, 338–344. [Google Scholar] [CrossRef]
- Smit, A.L.; Groenwold, J. Root characteristics of selected field crops: Data from the Wageningen Rhizolab (1990–2002). Plant Soil 2005, 272, 365–384. [Google Scholar] [CrossRef]
- Salama, A.M.; Sinclair, T.R. Soybean nitrogen fixation and growth as affected by drought stress and potassium fertilization. J. Plant Nutr. 1994, 17, 1193–1203. [Google Scholar] [CrossRef]
- Taylor, H.M.; Brar, G.S. Effect of soil compaction on root development. Soil Tillage Res. 1991, 19, 111–119. [Google Scholar] [CrossRef]
- De Costa, W.A.J.M.; Dennett, M.D.; Ratnaweera, U.; Nyalemegbe, K. Effects of different water regimes on field-grown determinate and indeterminate faba bean (Vicia faba L.). I. Canopy growth and biomass production. Field Crop. Res. 1997, 49, 83–93. [Google Scholar] [CrossRef]
- Khan, H.R.; Paull, J.G.; Siddique, K.H.M.; Stoddard, F.L. Faba bean breeding for drought-affected environments: A physiological and agronomic perspective. Field Crop. Res. 2010, 115, 279–286. [Google Scholar] [CrossRef]
- Xia, M.Z. Effects of soil drought during the generative development phase on seed yield and nutrient uptake of faba bean (Vicia faba). J. Agric. Sci. 1994, 122, 67–72. [Google Scholar] [CrossRef]
- Mwanamwenge, J.; Loss, S.P.; Siddique, K.H.M.; Cocks, P.S. Effect of water stress during floral initiation, flowering and podding on the growth and yield of faba bean (Vicia faba L.). Eur. J. Agron. 1999, 11, 1–11. [Google Scholar] [CrossRef]






| Site | Texture | Soil Order | Trafficked (g cm−3) | Un-Trafficked (g cm−3) | NH4+ (mg N kg−1) | NO3− (mg N kg−1) | pH | STN (%) | SOC (%) |
|---|---|---|---|---|---|---|---|---|---|
| Dapp | Sandy Clay Loam | Dark Grey Luvisol | 1.36 | 1.18 | 1.8 | 24.0 | 7.0 | 0.38 | 4.95 |
| Lacombe | Sandy Loam | Black Chernozem | 1.39 | 1.24 | 3.1 | 24.0 | 6.2 | 0.37 | 4.19 |
| Soil | Bulk Density | Water Content | Treatment |
|---|---|---|---|
| (g cm−3) | (% volume) | ||
| Dark Grey Luvisol (Dapp) | 1.1 | 33 | 1a |
| 41 | 1b | ||
| 1.2 | 33 | 2a | |
| 41 | 2b | ||
| 1.2/1.4 | 33 | 3a | |
| 41 | 3b | ||
| 1.4 | 33 | 4a | |
| 41 | 4b | ||
| Black Chernozem (Lacombe) | 1.1 | 33 | 1a |
| 41 | 1b | ||
| 1.2 | 33 | 2a | |
| 41 | 2b | ||
| 1.2/1.4 | 33 | 3a | |
| 41 | 3b | ||
| 1.4 | 33 | 4a | |
| 41 | 4b |
| Soil | BD | WC | AG Biomass | R Biomass | ET | Height | NDVI | gs | WUE |
|---|---|---|---|---|---|---|---|---|---|
| (g cm−3) | (% vol) | (g plant−1) | (g plant−1) | (mm pot−1 d−1) | (cm) | (unitless) | (mmol m−2 s−1) | (mg g−1 H2O) | |
| Dark Grey Luvisol (Dapp) | 1.1 | 33 | 9.2ab | 0.125a | 3.9B | 77.2ab | 0.305ab | 345.8BCD | 2.02a |
| 41 | 15.3c | 0.184a | 5.6DE | 94.7c | 0.370c | 413.6D | 2.14a | ||
| 1.2 | 33 | 9.9abc | 0.195a | 4.6BC | 79.8abc | 0.333bc | 271.7B | 2.09a | |
| 41 | 14.2bc | 0.240a | 6.5E | 89.7bc | 0.367c | 388.1D | 2.03a | ||
| 1.2/1.4 | 33 | 8.6ab | 0.132a | 4.0B | 79.8abc | 0.302ab | 289.8BC | 2.12a | |
| 41 | 13.9bc | 0.162a | 5.3CD | 93.0bc | 0.352c | 341.9BCD | 2.15a | ||
| 1.4 | 33 | 5.8a | 0.266a | 2.7A | 69.0a | 0.287a | 158.7A | 1.98a | |
| 41 | 12.9bc | 0.121a | 5.7DE | 93.0bc | 0.352c | 367.8CD | 2.01a | ||
| Mean | 11.2 | 0.178 | 4.8 | 84.5 | 0.334 | 322.2 | 2.07 | ||
| Black Chernozem (Lacombe) | 1.1 | 33 | 13.5ABC | 0.236AB | 4.5B | 90.5AB | 0.366BC | 304.0abc | 2.34ab |
| 41 | 11.1AB | 0.105A | 5.2BC | 85.3AB | 0.345AB | 410.9d | 1.89a | ||
| 1.2 | 33 | 14.2ABC | 0.103A | 5.3BC | 92.8AB | 0.365ABC | 302.9abc | 2.21ab | |
| 41 | 18.2C | 0.329B | 6.8D | 99.5B | 0.403C | 433.4d | 2.16ab | ||
| 1.2/1.4 | 33 | 13.7ABC | 0.114A | 4.6B | 95.8BC | 0.362ABC | 237.9ab | 2.41b | |
| 41 | 11.4AB | 0.068A | 4.8BC | 91.3AB | 0.330AB | 382.8cd | 2.04ab | ||
| 1.4 | 33 | 10.2A | 0.101A | 3.1A | 78.3A | 0.323A | 215.8a | 2.50b | |
| 41 | 16.05BC | 0.247AB | 5.6C | 100.3B | 0.375BC | 314.4bc | 2.21ab | ||
| Mean | 13.5 | 0.163 | 5.0 | 91.8 | 0.359 | 325.3 | 2.22 | ||
© 2018 by the authors. Licensee MDPI, Basel, Switzerland. This article is an open access article distributed under the terms and conditions of the Creative Commons Attribution (CC BY) license (http://creativecommons.org/licenses/by/4.0/).
Share and Cite
Guenette, K.G.; Hernandez-Ramirez, G. Can Faba Bean Physiological Responses Stem from Contrasting Traffic Management Regimes? Agronomy 2018, 8, 200. https://doi.org/10.3390/agronomy8100200
Guenette KG, Hernandez-Ramirez G. Can Faba Bean Physiological Responses Stem from Contrasting Traffic Management Regimes? Agronomy. 2018; 8(10):200. https://doi.org/10.3390/agronomy8100200
Chicago/Turabian StyleGuenette, Kris G., and Guillermo Hernandez-Ramirez. 2018. "Can Faba Bean Physiological Responses Stem from Contrasting Traffic Management Regimes?" Agronomy 8, no. 10: 200. https://doi.org/10.3390/agronomy8100200
APA StyleGuenette, K. G., & Hernandez-Ramirez, G. (2018). Can Faba Bean Physiological Responses Stem from Contrasting Traffic Management Regimes? Agronomy, 8(10), 200. https://doi.org/10.3390/agronomy8100200
