Abstract
High temperatures significantly affect rice grain yield and quality. However, little information is known about the response of indica cultivars, especially Vietnamese cultivars, to high temperature. In this study, field experiments were conducted in 2015 and 2016 to evaluate the response of Vietnamese cultivars under high temperatures during the grain filling period. The high temperature was applied after the first cultivar started anthesis, by opening two sides of a plastic chamber that housed the cultivar when the temperature reached above 36 °C under field conditions. The difference in the maximum temperature between the control and the high temperature treatment was about 1.3 °C to 10.1 °C in 2015, and 0.73 °C to 10.2 °C in 2016. Decreases in crop growth rate (CGR) and yield were correlated with increased temperature conditions during the grain filling period. The grain yield of 14 Vietnamese cultivars fell to 81.5 and 79.4% of the control in 2015 and 2016, respectively. The variable with the greatest impact on grain yield was spikelet sterility induced by high temperature. Under high temperature conditions during the grain filling period, the percentage of grain chalkiness in the high temperature-treatment group increased compared to the control. Our study showed that Vietnamese rice yield and quality were significantly affected by high temperature.
1. Introduction
Rice is one of the most important crops in the world, especially in Asia, where approximately 90% of the global rice production is consumed [1]. Climate change is predicted to have negative impacts on food production, food quality, and food security [2]. High temperatures caused by climate change has exposed most of the world’s crops to heat stress during some stage of their life cycle. Global air temperature increased about 0.5 °C in the 20th century [3] and is predicted to increase by 2.0 to 4.5 °C during the 21st century [4]. Vietnam is considered as one of the counties expected to be severely affected by climate change, where rice cultivation accounts for more than three-quarters of the country’s total annual harvested agricultural area [3,5].
The optimum temperature range for the normal development of rice fluctuates between 27 and 32 °C [6]. Although the productivity of crops first increases with rising temperature, it declines due to heat stress when the temperature exceeds the optimal range [7]. Brief episodes of high temperature (>35 °C) can affect the growth and yield of rice. However, the temperature sensitivity differs between the vegetative and reproductive phases of its growth cycle [8]. A previous study of Oh-e et al. (2007) [6] revealed that the number of panicles decreased with rising temperature. In addition, the spikelet fertility of both IR64 (indica) and Azucena (japonica) cultivars has shown that less than one hour of exposure to temperatures at or above 33.7 °C during anthesis can cause sterility [9]. Sterility induced by high temperature was observed in dry season crops in Cambodia, Thailand, India, Pakistan, Iran, Iraq, Saudi Arabia, Egypt, Mauritania, Senegar, Niger, Sudan, and the United Stated [10].
Most previous studies of the effects of high temperature on crop plants are limited to controlling the elevated temperature in a small plant population and with little or no replications. The others have analyzed correlation and regression with historical data sets from yield records and long-term field experiments. These approaches are limited because they either do not necessarily reproduce field conditions or introduce possible confounding effects due to factors other than temperature. In addition, little information is known about the response of indica cultivars, especially Vietnamese cultivars, to high temperature during the grain filling period. The present study aimed to investigate the responses of 14 Vietnamese rice (Oryza sativa L.) cultivars to high temperature during the grain filling period under field conditions. It also aimed to screen breeding materials which are more tolerant to high temperatures, which may provide an efficient way to develop new cultivars for future climatic conditions in Vietnam.
2. Results
2.1. Air Temperature
The temperature before the first cultivar’s anthesis in the control and high temperature treatment seemed to be the same in both years (Figure 1). After the first cultivars’s anthesis, the maximum temperature in the high temperature treatment group (HT) was higher than that in the control temperature group (CT) by 1.3–10.1 °C in 2015 and 0.73–10.2 °C in 2016. The temperature in HT reached peaks of 36.6 and 38.8 °C in 2015 and 2016, respectively. On cloudy and rainy days, the temperature inside HT was unable to reach 36 °C. The maximum daily temperature in HT averaged 30.0–36.6 °C in 2015 and 34.7–38.8 °C in 2016. The minimum daily temperature in HT was higher than that in CT about 0–1.0 °C in 2015 and 0–1.3 °C in 2016.
Figure 1.
Changes in maximum and minimum temperature under control and high temperature treatments in 2015 and 2016. Arrows indicate the heading time.
2.2. Dry Weight and Crop Growth Rate
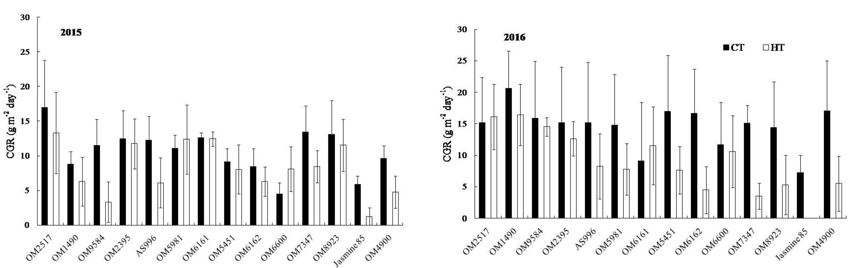
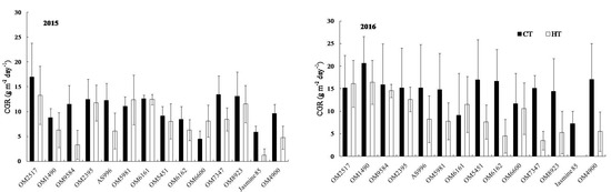
To identify the factors affecting the difference in dry matter production, we compared the crop growth rate (CGR) between the two treatments (Figure 2). A difference between CT and HT was observed in most of the cultivars in both years. Under the high temperature treatment, the CGR of most cultivars strongly decreased. The largest differences between CT and HT were observed in OM9584 with 8.1 g m−2 day−1 in 2015 and in OM5451 with 9.3 g m−2 day−1 in 2016. In both years, the late-heading cultivars tended to present greater differences in the CGR between CT and HT, compared with the early-heading cultivars.
Figure 2.
Effect of high temperature on the crop growth rate (CGR) during the ripening period in 2015 and 2016. Vertical bars indicate SD of means (n = 4).
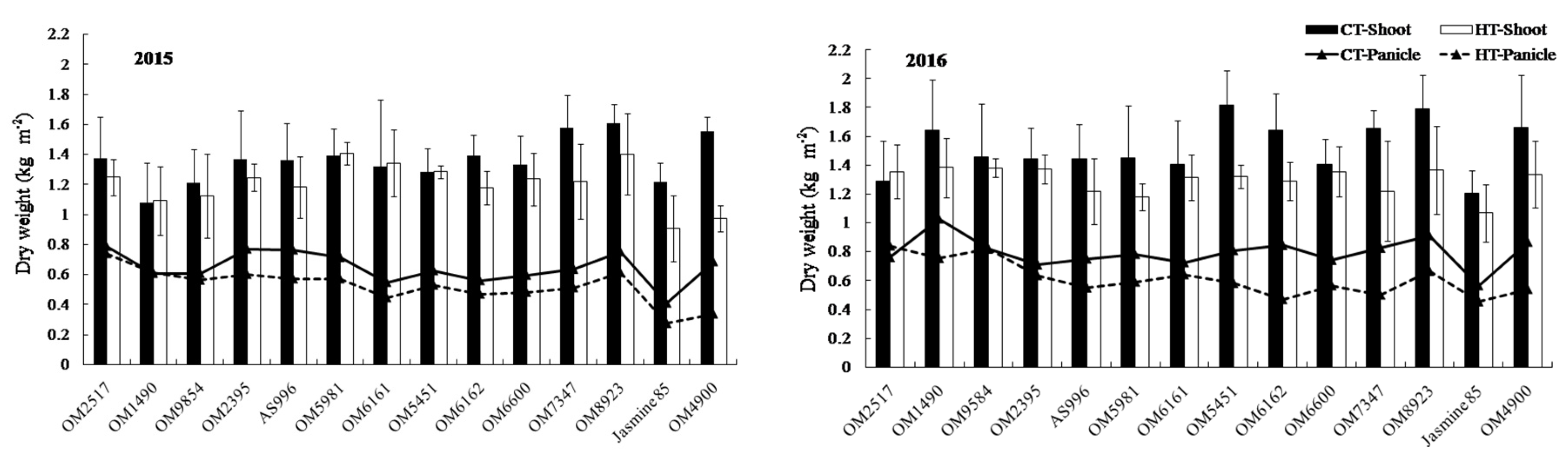
High temperature had a strong impact on the dry mass in the shoot (panicle plus straw) of almost all cultivars in both years (Figure 3). Under the high temperature conditions, the dry weight of shoots in both years decreased drastically in most cultivars, especially the late-heading ones. Among the 14 cultivars tested, the shoot dry mass of OM4900 in 2015 and OM5451 in 2016 considerably decreased under the high temperature treatment. The overall difference in dry mass between CT and HT was about 0.08–0.58 and 0.07–0.49 kg m−2 in 2015 and 2016, respectively. The dry mass of panicle reduced dramatically in most cultivars under the high temperature treatment. The dry mass of panicle in OM4900 was particularly affected, with differences between CT and HT of 0.35 and 0.33 g m−2 in 2015 and 2016, respectively.
Figure 3.
Dry mass production at the ripening stage under control and high temperature treatments of 14 Vietnamese cultivars in 2015 and 2016. Vertical bars indicate SD of means (n = 4).
2.3. Yield and Yield Components
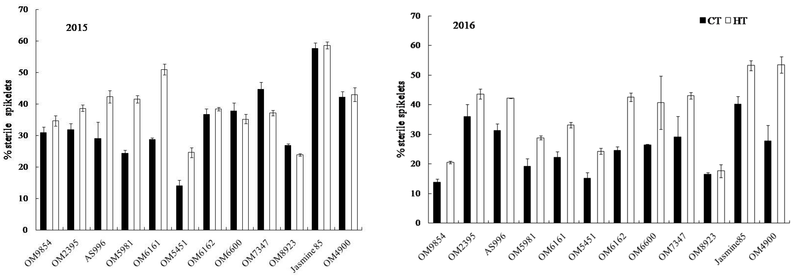
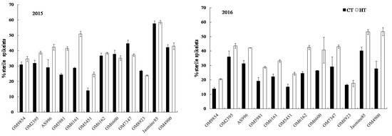
High temperatures increased the percentage of sterile spikelets in almost all cultivars (Figure 4). Corresponding to different temperature conditions, the rate of increase varied by year and cultivar. The difference in the percentage of spikelet sterility between CT and HT was highest in OM6161 (22.3%) in 2015 and OM4900 (25.7%) in 2016. The percentage of spikelet sterility of OM1490, OM598, AS996, and OM6162 also increased drastically under high temperatures. In both years, OM8923 was the least affected cultivar, with differences of 2.9% in 2015 and 1.1% in 2016.
Figure 4.
Effect of high temperature on the percentage of sterile spikelets in 2015 and 2016. Vertical bars indicate SD of means (n = 3).
A positive correlation was observed between the percentage of sterile spikelets and the maximum temperature during the flowering period (Figure 5). The rate of correlation was higher in 2016 (R2 = 0.244) than 2015 (R2 = 0.185).
Figure 5.
The correlation between the percentage of sterile spikelets and the maximum temperature at the flowering period. The maximum temperature at the flowering period was recorded between two days before and after heading in 2015 and 2016.
A significant difference in grain yield between CT and HT was observed in both years (Table 1). Cultivar and treatment difference in grain yield was significant (Table 2 and Table 3). The average grain yields in CT were 568 and 636 g m−2 in 2015 and 2016, respectively; in HT, these averages were 463 and 505 g m−2. This amounts to average decreases of 105 g m−2 in 2015 and 131 g m−2 in 2016. Thus, high temperatures had a significant effect on spikelet sterility. Spikelets per panicle was also strongly affected by high temperatures, with average reductions of 4.1 and 4.5% in 2015 and 2016, respectively. In both years, the yield of Jasmine85 in HT was lowest. The grain yield of OM6161, OM6162, Jasmine85, and OM4900 decreased more than 30% from CT to HT in both years.
Table 1.
Mean yields and yield components of Vietnamese cultivars under control and high temperature treatments in 2015 and 2016.
Table 2.
Yields and yield components of 14 Vietnamese cultivars under control and high temperature treatments in 2015.
Table 3.
Yields and yield components of 14 Vietnamese cultivars under control and high temperature treatments in 2016.
2.4. Grain Appearance Quality
The percentage of grain chalkiness in most cultivars increased drastically in both years under the high temperature treatment (Figure 6). The difference in the percentage of grain chalkiness between CT and HT varied widely among the 14 cultivars. The percentage of grain chalkiness in HT ranged between 0.72 and 10.1% higher than CT in 2015. In 2016, the difference in grain chalkiness between HT and CT was higher, with a range between 0.1% and 10.8%. As shown in Figure 6, the largest increases in percentage of grain chalkiness under high temperatures were for OM8923 (10.1%) and OM5981 (10.8%) in 2015 and 2016, respectively. The percentage of grain chalkiness in OM2517, AS996, and OM6161 also increased markedly.
Figure 6.
Effect of high temperature on the percentage of chalky grains in Vietnamese cultivars. Vertical bars indicate SD of means (n = 3).
3. Discussion
The dry matter of rice grain mainly originates from the photosynthesis outcome of leaves after the heading stage [11]. The CGR index reflects the increment of dry weight per unit land. Thus, it shows the real growth rate of a canopy under a given condition. A report by Xie et al. (2011) [10] showed that the grain filling phase was shortened by high temperatures, leading to a reduction in dry matter accumulation. In this study, we observed a decrease in the CGR under high temperatures in the grain filling period, which suggests that the amount of dry matter accumulated per unit land area was diminished by heat stress. There are strong positive relationships between CGR and grain yield, attributable to the greater partitioning of dry matter to grain in cultivars with higher CGR [12]. The grain yield of different genotypes was closely related to the CGR during grain filling periods. Cultivars with higher CGR during the grain filling period produce a greater number of spikelets per unit land area [13]. In this study, the spikelets per panicle was higher in CT than in HT (Table 1). Decline in CGR is a major factor leading to lower grain yield in Vietnamese cultivars.
In Japan, the annual temperature has been increasing at rate of 1.1 °C per century since 1898. As the temperature rises, the number of days with a maximum temperature at or above 34 °C is increasing [14]. In this study, after the first cultivar heading, the maximum temperature in HT was higher than that in CT by about 1.3–10.1 °C and 0.7–10.2 °C in 2015 and 2016 (Figure 1). In the anthesis stage, poor anther dehiscence and sterility occur if the ambient temperature is above 33.7 °C [9]. Research by Duc et al. (2014), Jagadish et al. (2007) and Das et al. (2014) [9,15,16] showed that the pattern of flowering could vary among different genotypes. In general, rice anthesis begins at around 0900, peaks around 1000 to 1100, and ends around 1500. In our study, the peak daily temperature in HT depended on daily conditions such as rain or cloudiness, but was generally around 36 °C from 0830 to 1340. It was also the same time for these cultivars during the flowering period. Thus, fertility was affected by high temperatures in HT (Figure 4). Under high temperatures, the floret sterility occurs through the poor pollination, a decrease in the number of pollen grains on the stigma. Such temperatures also affect the process after pollen germination, and inhibit fertilization [17]. The loss of pollen viability depends on the genotype [16,17]. In addition, individual panicles were headed on different dates. Thus, the different cultivars experienced different temperatures during the flowering period. The adoption of high temperature-tolerant cultivars is one of the most effective countermeasures to maintain high productivity and stability of rice under the anticipated changes in climate. In this study, the difference in the percentage of sterile spikelets was entirely different in among the 14 cultivars. Among all of the cultivars, the fertility of OM6161, OM4900, OM1490, OM5981, AS996, and OM6162 was sensitive to high temperature.
The high temperatures strongly affected the grain yields of all cultivars in both years. Grain yield decreased in most cultivars under high temperature treatment in both years (Table 2 and Table 3). Although OM1490, OM5981, AS996, and OM6162 were strongly affected by high temperatures, the grain yield in OM6161, OM6162, Jasmine85 and OM4900 decreased the most dramatically in this study. The grain yield of rice is the product of many different yield components; e.g., the number of panicles per unit area, the number of grains per panicle, percentages of filled grains, and 1000 grains weight. In previous studies of Yoshida and Hara (1977) [18], rice grain weight declined strongly when an indica cultivar was grown at or above day temperatures of 34 °C and night temperatures of 25 °C during the grain filling period. Under high temperatures, grain weight is decreased by accelerating the panicle senescence and shortening the grain filling stage [19]. In this study, the percentages of filled grains, 1000 grains weight, and spikelets per panicle decreased under high temperatures, leading to a decrease in grain yield under high temperatures (Table 1). This is similar to the findings of Oh-e et al. (2007) [6], in which the brown rice yield of japonica cultivars declined when the air temperature increased.
The primary cause for chalky grain is an imbalance between the sink and source abilities of carbohydrate metabolism, as a result of high temperatures at the ripening stage [20]. The report of Copper et al. (2008) [2] showed that high ambient temperature from anthesis (R4) to the single grain maturity stage (R8) in reproductive development induced increases in chalky kernels. In this study, the mean daily temperature from R4 to R8 in HT was higher than that in CT with increases from about 0.3–2.9 °C in 2015 and 0.3–3.3 °C in 2016. Thus, the percentage of chalky grains observed the same trend as the previous report (Figure 6); the percentage of chalky grains increased under high temperature. In late-heading cultivars, the highest ambient temperature was usually less than 30 °C in the grain filling stage (Figure 1), after two sides of the HT chamber opened to allow the temperature to cool down more quickly. Thus, the chalky grain in long duration cultivars was less prominent than in early-heading cultivars, and the difference in chalkiness between CT and HT was not significant (Figure 6).
4. Materials and Methods
4.1. Rice Cultivation
Fourteen rice cultivars, belonging to the indica germplasm group, which are popularly grown in Mekong Delta, Vietnam, were used in this experiment (Table 4). Cultivars were provided by Cuu Long Delta Rice Research Institute, Can Tho, Vietnam.
Table 4.
Details on the pedigree and heading date of Vietnamese cultivars in 2015 and 2016 at Okayama, Japan.
Pre-germinated seeds were sown in seedling trays to produce uniform seedlings on 4 June 2015 and 12 May 2016. Maturing seedling from all 14 cultivars were transplanted to an side-opened plastic chamber with hill spacing of 15 cm and row spacing of 30 cm (22 hill m−2) on 29 June 2015 and 16 June 2016 in the paddy field of Field Science Center, Okayama University, Okayama Japan (34°40′ N, 133°55′ E). Basal fertilizer was applied at the rate of 8 g N per m2 with slow release fertilizers (LP100D-80, N-P2O5-K2O=14-14-14).
4.2. Temperature Treatment
The side-opened plastic chamber (30 m in length, 2.1 m in width, and 2.1 m in height) was covered with transparent plastic film (Sky-leader80E, Tokyo, Japan), with radiation transmissivity of 93%. It was divided into two units in the center by the transparent plastic film. One half (15 m in length, 31.5 m2) was used for the control plot (CT) because the air temperature was almost same as that outside. The other half was used for the high temperature plot (HT) and equipped automatic film rolling motors on both sides. These sides gradually opened and closed the windows when the air temperature inside reached 36 °C and 25 °C, respectively. In the former case, when the temperature reached 36 °C, the two side windows opened about 25 cm to maintain the heat inside. The high temperature treatment was applied after the first cultivar showed the onset of anthesis. A temperature of 36 °C was chosen as the upper bound based on the well-documented physiological effects of high temperature on sterility and grain yield when the temperature exceeded 35 °C [6,15], and on the fact that this temperature was higher than the temperature in the field where these cultivars were cultivated.
4.3. Measurement of Air Temperature
The air temperature in the transparent chamber was measured with Ondotori thermo-recorders (TR-55i-Pt, T AND D, Matsumoto, Japan). The temperature sensors were installed in a force-ventilated radiation shield [21] and placed every 5 m along the chamber at a height of 1.5 m above the ground. The diurnal air temperature was recorded every 10 min from transplanting to maturity.
4.4. Growth and Dry Weight
For the monitoring of dry weight, four standard plants were sampled at the heading and maturity stages. Plants were divided into four parts, i.e., culm plus leaf sheath, leaf blade, dead leaf, and panicle. All samples were oven-dried at 80 °C for 48 h, and then their dry weights were measured. From these dry weights, the CGR was calculated as follows:
- W1: The dry weight at the corresponding date t1.
- W2: The dry weight at the corresponding date t2.
4.5. Yield and Yield Components
At physiological maturity, 20 hills were sampled diagonally from each treatment to determine grain yield (g m−2) and yield components; i.e., the number of panicles per m−2, number of spikelets per panicle−1, percentage of filled grains (%), and 1000-grains weight (g). The grain yield was adjusted to standard moisture (14%).
Three replications (20–30 g) of spikelets were obtained from 20 hills and used for sterility analysis. The percentage of sterile spikelets was determined as follows; panicles were threshed and the filled and sterile spikelets were separated by submerging in a specific gravity solution. The spikelets which sank with specific gravity ≥1.06 g cm−3, ≥1.0 g cm−3, and <1.0 g cm−3 were defined as filled grains, partially filled grains, and sterile spikelets, respectively [22].
4.6. Grain Appearance Quality
Three replications (20–30 g) of brown grains of each treatment were used for the determination of chalky grains. The appearance quality of brown grains was measured by a grain scanner (RSQI 10B; Satake Corp., Hiroshima, Japan) and expressed as the percentage of chalky grains per total brown grains. Grains with white parts covering more than 20% their total surface area, for example, a white belly, white center, or white back, were recorded as chalky grains.
4.7. Statistical Analysis
Data of dry matter production, yield, and yield components were analyzed via a two-way, completely randomized design. Tukey’s HSD at a probability level of 0.5% and 1.0% was used to compare the difference between treatment and genotype.
5. Conclusions
A significant difference in grain yield between CT and HT was observed in our study. The number of panicles per m−2, the number of spikelets per panicle, and the percentage of sterility in both 2015 and 2016 decreased significantly under high temperature conditions. Increasing spikelet sterility was the most important factor in the decreasing yield. The most sterile-sensitive cultivars under high temperatures were OM1490, OM4900, OM5981, AS996, OM6162, and OM6161. The most sterile-tolerant cultivars under high temperatures were OM8923 and OM2517. Under high temperatures, the grain yield decreased corresponding to the CGR decrease. The percentage of grain chalkiness in OM8923, OM5981, OM2517, AS996, and OM6161 increased significantly under high temperature conditions. In Vietnam, an average annual temperature rise of approximately 2.3 °C is expected by 2100 [23]. A report by Asian Development Bank (2013) [24] predicted that by the end of the 21 century, in many parts of Vietnam, there will be 10–20 more days each year with temperatures above 35 °C. These results provide a basic background on breeding materials with greater tolerances to high temperatures, and therefore provide an efficient way to develop new cultivars for future circumstances.
Acknowledgments
We thank Okayama University for funding the doctoral studies of the first author and MEXT (Ministry of Education, Culture, Sport, Science and Technology Japan) for their financial support.
Author Contributions
T.L.T. and K.S. conceived and designed the experiments; T.L.T. performed the experiments; T.L.T. analyzed the data.
Conflicts of Interest
The authors declare no conflict of interest.
References
- Food and Agriculture Organization (FAO). RICE: Food Outlook Global Market Analysis; FAO: Rome, Italy, 2008. [Google Scholar]
- Cooper, N.T.W.; Siebenmorgen, T.J.; Counce, P.A. Effects of Nighttime Temperature during Kernel Development on Rice Physicochemical Properties. Cereal Chem. J. 2008, 85, 276–282. [Google Scholar] [CrossRef]
- Intergovernmental Panel on Climate Change (IPCC). Climate Change 2001: The Scientific Basis: Contribution of Working Group I to the Third Assessment Report of the Intergovernmental Panel on Climate Change; Cambridge University Press: Cambridge, UK; New York, NY, USA, 2001; ISBN 978-0-521-80767-8. [Google Scholar]
- Intergovernmental Panel on Climate Change (IPCC). Climate Change 2007: The Physical Science Basis: Contribution of Working Group I to the Fourth Assessment Report of the Intergovernmental Panel on Climate Change; Cambridge University Press: Cambridge, UK; New York, NY, USA, 2007; ISBN 978-0-521-88009-1. [Google Scholar]
- Thang, N.; Trung, L.D.; Dat, V.H.; Phuong, N.T. Poverty, Poverty Reduction and Poverty Dynamics in Vietnam; Background Paper for the Chronic Poverty Report; Chronic Poverty Research Center: Manchester, UK, 2006. [Google Scholar]
- Yin, X.; Kropff, M.J.; Goudriaan, J. Differential Effects of Day and Night Temperature on Development to Flowering in Rice. Ann. Bot. 1996, 77, 203–213. [Google Scholar] [CrossRef]
- Oh-e, I.; Saitoh, K.; Kuroda, T. Effects of High Temperature on Growth, Yield and Dry-Matter Production of Rice Grown in the Paddy Field. Plant Prod. Sci. 2007, 10, 412–422. [Google Scholar] [CrossRef]
- Baker, J.T.; Allen, L.H.; Boote, K.J. Response of rice to carbon dioxide and temperature. Agric. For. Meteorol. 1992, 60, 153–166. [Google Scholar] [CrossRef]
- Jagadish, S.V.K.; Craufurd, P.Q.; Wheeler, T.R. High temperature stress and spikelet fertility in rice (Oryza sativa L.). J. Exp. Bot. 2007, 58, 1627–1635. [Google Scholar] [CrossRef] [PubMed]
- Matsuo, T.; Hoshikawa, K. Science of the Rice Plant: Physiology; Food and Agriculture Policy Research Center: Tokyo, Japan, 1993. [Google Scholar]
- Xie, X.J.; Shen, S.H.H.; Li, Y.X.; Zhao, X.Y.; Li, B.B.; Xu, D.F. Effect of photosynthetic characteristic and dry matter accumulation of rice under high temperature at heading stage. Afr. J. Agric. Res. 2011, 6, 1931–1940. [Google Scholar]
- Karimi, M.M.; Siddique, K.H.M. Crop growth and relative growth rates of old and modern wheat cultivars. Aust. J. Agric. Res. 1991, 42, 13–20. [Google Scholar] [CrossRef]
- Takai, T.; Matsuura, S.; Nishio, T.; Ohsumi, A.; Shiraiwa, T.; Horie, T. Rice yield potential is closely related to crop growth rate during late reproductive period. Field Crops Res. 2006, 96, 328–335. [Google Scholar] [CrossRef]
- Ministry of Education, Culture, Sports, Science and Technology (MEXT); Japan Meteorological Agency (JMA) and Ministry of the Environment (MOE). Climate Change and Its Impact in Japan: Synthetic Report on Observations, Projections and Impact Assessments of Climate Change; MEXT; JMA; MOE: Tokyo, Japan, 2009.
- Nguyen, D.-N.; Lee, K.-J.; Kim, D.-I.; Anh, N.T.; Lee, B.-W. Modeling and validation of high-temperature induced spikelet sterility in rice. Field Crops Res. 2014, 156, 293–302. [Google Scholar] [CrossRef]
- Das, S.; Krishnan, P.; Nayak, M.; Ramakrishnan, B. High temperature stress effects on pollens of rice (Oryza sativa L.) genotypes. Environ. Exp. Bot. 2014, 101, 36–46. [Google Scholar] [CrossRef]
- Matsui, T.; Omasa, K.; Horie, T. Comparison between Anthers of two Rice (Oryza saliva L.) Cultivars with Tolerance to High Temperatures at Flowering or Susceptibility. Plant Prod. Sci. 2001, 4, 36–40. [Google Scholar] [CrossRef]
- Yoshida, S.; Hara, T. Effects of air temperature and light on grain filling of an indica and a japonica rice (Oryza sativa L.) under controlled environmental conditions. Soil Sci. Plant Nutr. 1977, 23, 93–107. [Google Scholar] [CrossRef]
- Kim, H.R.; Young, Y.H. The Effects of the Elevated CO2 Concentration and Increased Temperature on Growth, Yield and Physiological Responses of Rice (Oryza sativa L. cv. Junam). Adv. Biores. 2010, 1, 46–50. [Google Scholar]
- Wang, F.; Chen, S.; Cheng, F.; Liu, Y.; Zhang, G. The Differences in Grain Weight and Quality Within a Rice (Oryza sativa L.) Panicle as Affected by Panicle Type and Source-sink Relation. J. Agron. Crop Sci. 2007, 193, 63–73. [Google Scholar] [CrossRef]
- Murakami, M.K.M. Manual of handmade field-portable forced ventilation thermometer. Bull. Terr. Environ. Res. Cent. Univ. Tsukuba 2010, 11, 29–33. [Google Scholar]
- Zakaria, S.; Matsuda, T.; Tajima, S.; Nitta, Y. Effect of High Temperature at Ripening Stage on the Reserve Accumulation in Seed in Some Rice Cultivars. Plant Prod. Sci. 2002, 5, 160–168. [Google Scholar] [CrossRef]
- MONRE (Ministry of Natural Resourse and Environment of Vietnam). Climate Change, Sea Level Rise Scenarios for Vietnam; MONRE: Ha Noi, Vietnam, 2009.
- Asian Development Bank (ADB). Viet Nam: Environment and Climate Change Assessment; ADB: Manila, Philippine, 2013; ISBN 978-92-9254-132-3. [Google Scholar]
© 2017 by the authors. Licensee MDPI, Basel, Switzerland. This article is an open access article distributed under the terms and conditions of the Creative Commons Attribution (CC BY) license (http://creativecommons.org/licenses/by/4.0/).





