Uptake and Partitioning Characteristics of Calcium, Magnesium, and Sulfur in Young Dwarf ‘Fuji’ Apple Trees and Their Relations to the Uptake and Partitioning of Nitrogen, Phosphorus, and Potassium
Abstract
1. Introduction
2. Materials and Methods
2.1. Study Site
2.2. Experimental Design
2.3. Plant Sampling and Measurements
2.4. Data Calculation and Analysis
3. Results
3.1. Partitioning of Tree Biomass
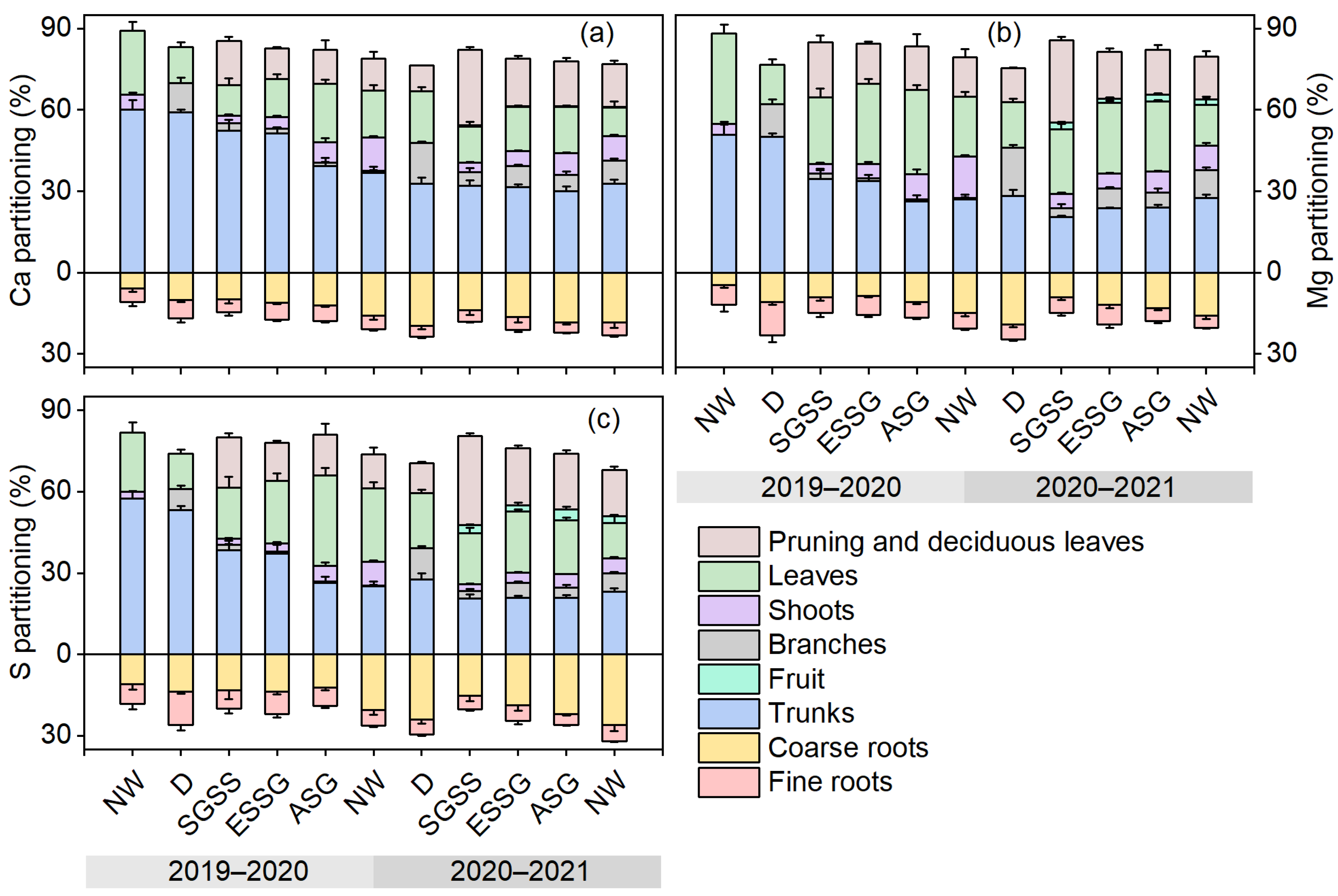
3.2. Contents and Partitioning Dynamics of Ca, Mg, and S in Trees
3.3. Accumulation of Ca, Mg, and S in New Organs
3.4. Relationship Between the Accumulation of Ca, Mg, and S with N, P, and K in Trees
3.5. Uptake of Ca, Mg, and S by the Tree and Their Relations to Uptake of N, P, and K
4. Discussion
4.1. Dwarf ‘Fuji’ Apple Trees Absorb More Ca than Other Macronutrients
4.2. Macronutrient Partitioning Within Dwarf ‘Fuji’ Apple Trees Reflects the Trade-Offs Among the Functions of Different Organs
5. Conclusions
Author Contributions
Funding
Data Availability Statement
Conflicts of Interest
References
- Gerendás, J.; Führs, H. The significance of magnesium for crop quality. Plant Soil 2013, 368, 101–128. [Google Scholar] [CrossRef]
- Jez, J.M. Structural biology of plant sulfur metabolism: From sulfate to glutathione. J. Exp. Bot. 2019, 70, 4089–4103. [Google Scholar] [CrossRef]
- Marschner, P. Marschner’s Mineral Nutrition of Higher Plants, 3rd ed.; Academic Press: Waltham, MA, USA, 2012. [Google Scholar]
- Qin, Y.F.; Liang, J.; Han, M.M.; He, X.X.; Zhao, Z.Y. A study on the relationship between occurrence of bitter pit and contents of main nutritional elements in ‘Ruiyang’ apple. J. Fruit Sci. 2020, 37, 1907–1913, (In Chinese with English abstract). [Google Scholar]
- Raese, J.T.; Staiff, D.C. Fruit calcium, quality and disorders of apples (Malus domestica) and pears (Pyrus communis) influenced by fertilizers. In Physiology and Applications, Proceedings of the Eleventh International Plant Nutrition Colloquium, Wageningen, The Netherlands, 30 July–4 August 1990; Springer: Wageningen, The Netherlands, 1990; pp. 619–623. [Google Scholar]
- Alva, A.K.; Mattos, D.; Paramasivam, S.; Patil, B.; Dou, H.; Sajwan, K.S. Potassium management for optimizing citrus production and quality. Int. J. Fruit Sci. 2006, 6, 3–43. [Google Scholar] [CrossRef]
- Shen, C.W.; Shi, X.Q.; Xie, C.Y.; Li, Y.; Yang, H.; Mei, X.L.; Xu, Y.C.; Dong, C.X. The change in microstructure of petioles and peduncles and transporter gene expression by potassium influences the distribution of nutrients and sugars in pear leaves and fruit. J. Plant Physiol. 2019, 232, 320–333. [Google Scholar] [CrossRef] [PubMed]
- Xie, K.L.; Cakmak, I.; Wang, S.Y.; Zhang, F.S.; Guo, S.W. Synergistic and antagonistic interactions between potassium and magnesium in higher plants. Crop J. 2021, 9, 249–256. [Google Scholar] [CrossRef]
- Fismes, J.; Vong, P.C.; Guckert, A.; Frossard, E. Influence of sulfur on apparent N-use efficiency, yield and quality of oilseed rape (Brassica napus L.) grown on a calcareous soil. Eur. J. Agron. 2000, 12, 127–141. [Google Scholar] [CrossRef]
- Courbet, G.; Gallardo, K.; Vigani, G.; Brunel-Muguet, S.; Trouverie, J.; Salon, C.; Ourry, A. Disentangling the complexity and diversity of crosstalk between sulfur and other mineral nutrients in cultivated plants. J. Exp. Bot. 2019, 70, 4183–4196. [Google Scholar] [CrossRef] [PubMed]
- Dong, Z.F.; Wang, Y.Z.; Wang, L.; Liu, C.L.; Dong, X.Y.; Liu, G.S.; Yuan, Y.B. Effect of different bag treatments on the absorption of calcium in ‘Red Fuji’ apple fruit. Acta Hortic. Sin. 2007, 34, 835–840, (In Chinese with English abstract). [Google Scholar]
- Fan, H.Z.; Tong, Y.A.; Lv, S.H. Study on seasonal change of calcium concentration and accumulation in different organs of apple tree. Soil Fert. Sci. China 2009, 3, 51–54. (In Chinese) [Google Scholar]
- Kalcsits, L.; van der Heijden, G.; Reid, M.; Mullin, K. Calcium absorption during fruit development in ‘Honeycrisp’ apple measured using 44Ca as a stable isotope tracer. HortScience 2017, 52, 1804–1809. [Google Scholar] [CrossRef]
- Nachtigall, G.R.; Dechen, A.R. Seasonality of nutrients in leaves and fruits of apple trees. Sci. Agric. 2006, 63, 493–501. [Google Scholar] [CrossRef]
- Walton, E.F.; Wünsche, J.N.; Palmer, J.W. Estimation of the bioenergetic costs of fruit and other organ synthesis in apple. Physiol. Plant. 1999, 106, 129–134. [Google Scholar] [CrossRef]
- Chuntanaparb, N.; Cummings, G. Seasonal trends in concentration of nitrogen, phosphorus, potassium, calcium, and magnesium in leaf portions of apple, blueberry, grape, and peach. J. Am. Soc. Hortic. Sci. 1980, 105, 933–935. [Google Scholar] [CrossRef]
- Holb, I.J.; Nagy, P.T. Availability of calcium, magnesium, sulfur, copper, zinc, and manganese in the plant-soil system of integrated and organic apple orchards. Commun. Soil Sci. Plant Anal. 2009, 40, 682–693. [Google Scholar] [CrossRef]
- Nagy, P.T.; Holb, I.J. Study on the macronutrient content of apple leaves in an organic apple orchard. J. Cent. Eur. Agric. 2006, 7, 329–336. [Google Scholar]
- Zhang, Y.Z.; Zhao, D.Y.; Zhou, J.T.; Chen, Y.H.; Xie, B.; Yang, A.; Zhang, H.T.; Chen, C.G. Comparative analysis of calcium dynamics and fruit quality in ‘Hanfu’ apples grafted on different intermediate rootstocks. China Fruits 2021, 3, 51–55, 62. [Google Scholar]
- Cheng, L.; Raba, R. Accumulation of macro- and micronutrients and nitrogen demand-supply relationship of ‘Gala’/‘Malling 26′ apple trees grown in sand culture. J. Am. Soc. Hortic. Sci. 2009, 134, 3–13. [Google Scholar] [CrossRef]
- Zheng, Z.X.; Shi, C.; Zhang, A.; Zhang, Q.; Zhao, Z.Y.; Sompouviset, T.; Cai, S.B.; Zheng, W.; Jakhro, M.I.; Zhai, B.N. Tracing the contribution and fate of synthetic nitrogen fertilizer in young apple orchard agrosystems. Sci. Total Environ. 2024, 932, 173103. [Google Scholar] [CrossRef] [PubMed]
- Tabatabai, M.A. Microwave digestion of plant tissue in a closed vessel. In Handbook of Reference Methods for Plant Analysis; Kalra, Y.P., Ed.; CRC Press: Boca Raton, FL, USA, 1998; pp. 69–73. [Google Scholar]
- Bao, S.D. Agrochemical Analysis of Soil, 1st ed.; China Light Industry Press: Beijing, China, 2011. [Google Scholar]
- Zheng, Z.X.; Zhang, Q.; Zhang, A.; Wang, T.T.; Zhao, Z.Y.; Sompouviset, T.; Cai, S.B.; Zheng, W.; Zhai, B.N. Distinguishing the contribution of nitrogen fertilizer and native soil nitrogen to young apple trees. Nutr. Cycl. Agroecosys. 2023, 126, 101–114. [Google Scholar] [CrossRef]
- Zheng, Z.X.; Shi, C.; Zhang, A.; Sukkaew, E.; Zhang, X.C.; Li, Z.Y.; Zheng, W.; Zhai, B.N. Optimizing phosphorus and potassium input based on phosphorus and potassium uptake characteristics in young dwarf apple trees. Sci. Hortic. 2025, 341, 113994. [Google Scholar] [CrossRef]
- Shear, C.B.; Faust, M. Horticultural Reviews; American Society for Horticultural Science: Alexandria, VA, USA; AVI Publishing Company: Westport, CT, USA, 1980; Volume 2. [Google Scholar]
- Scandellari, F.; Ventura, M.; Malaguti, D.; Ceccon, C.; Menarbin, G.; Tagliavini, M. Net primary productivity and partitioning of absorbed nutrients in field-grown apple trees. In VI International Symposium on Mineral Nutrition of Fruit Crops; ISHS: Faro, Portuga, 2008; pp. 115–122. [Google Scholar]
- Fan, H.Z. The Growth, Nutrients Uptake, Utilization and Accumulation in Apple Tree; Northwest A&F University: Yangling, China, 2006; (In Chinese with English abstract). [Google Scholar]
- Yan, Z.B.; Li, P.; Chen, Y.H.; Han, W.X.; Fang, J.Y. Nutrient allocation strategies of woody plants: An approach from the scaling of nitrogen and phosphorus between twig stems and leaves. Sci. Rep. 2016, 6, 20099. [Google Scholar] [CrossRef]
- Fan, H.Z.; Tong, Y.A.; Zhao, Y.; Liu, R.L. Phosphorus dynamics and fertilization management of apple tree. Agric. Res. Arid Area. 2007, 25, 73–77. (In Chinese) [Google Scholar]
- Fan, H.Z.; Tong, Y.A.; Lv, S.H.; Liu, R.L. Annual change of potassium content and accumulation in apple tree. J. Northwest A&F Univ. (Nat. Sci. Ed.) 2007, 35, 169–172, (In Chinese with English abstract). [Google Scholar]
- Fan, H.Z.; Tong, Y.A.; Lv, S.H.; Liu, R.L. Annual change of nitrogen content and accumulation in apple tree. Soil Fert. Sci. China 2008, 4, 15–17, 25. (In Chinese) [Google Scholar]
- Bhatla, S.C.; Lal, M.A. Plant Physiology, Development and Metabolism; Springer Nature: Singapore, 2018. [Google Scholar]
- Palmer, J.W.; Dryden, G. Fruit mineral removal rates from new zealand apple (Malus domestica) orchards in the nelson region. N. Z. J. Crop Hortic. Sci. 2006, 34, 27–32. [Google Scholar] [CrossRef]
- Dražeta, L.; Lang, A.; Hall, A.J.; Volz, R.K.; Jameson, P.E. Causes and effects of changes in xylem functionality in apple fruit. Ann. Bot. 2004, 93, 275–282. [Google Scholar] [CrossRef]
- Himelrick, D.G.; McDuffie, R.F. The calcium cycle: Uptake and distribution in apple trees. HortScience 1983, 18, 147–151. [Google Scholar] [CrossRef]
- Miqueloto, A.; do Amarante, C.V.T.; Steffens, C.A.; dos Santos, A.; Mitcham, E. Relationship between xylem functionality, calcium content and the incidence of bitter pit in apple fruit. Sci. Hortic. 2014, 165, 319–323. [Google Scholar] [CrossRef]
- Wang, Y.F.; Ye, Z.; Liu, H.; Liu, Q.L.; Zhang, B.; Hao, Y.Y. Changes of vascular bundles structure and water transport of apple fruit in different development period. Plant Physiol. J. 2015, 51, 1414–1418, (In Chinese with English abstract). [Google Scholar]
- Cline, J.A.; Hanson, E.J.; Bramlage, W.J.; Cline, R.A.; Kushad, M.M. Calcium accumulation in delicious apple fruit. J. Plant Nutr. 1991, 14, 1213–1222. [Google Scholar] [CrossRef]
- Wilkinson, B.G. Mineral composition of apples IX.—Uptake of calcium by the fruit. J. Sci. Food Agric. 1968, 19, 646–647. [Google Scholar] [CrossRef]
- Lang, A. Xylem, phloem and transpiration flows in developing apple fruits. J. Exp. Bot. 1990, 41, 645–651. [Google Scholar] [CrossRef]
- Vang-Petersen, O. Calcium nutrition of apple trees: A review. Sci. Hortic. 1980, 12, 1–9. [Google Scholar] [CrossRef]








| Growing Season | Growth Phase | N:P:K:Ca:Mg:S |
|---|---|---|
| 2019–2020 | Nutrient withdrawal–dormancy | 1:0.23:0.56:1.26:0.17:0.12 |
| Dormancy–slow growth of spring shoot | 1:0.11:1.55:1.80:0.17:0.035 | |
| Slow growth of spring shoot–end of spring shoot growth | 1:0.14:0.98:2.76:0.16:0.12 | |
| End of spring shoot growth–autumn shoot growth | 1:0.14:0.84:0.99:0.14:0.078 | |
| Autumn shoot growth–nutrient withdrawal | 1:0.19:0.73:0.89:0.13:0.11 | |
| 2020–2021 | Dormancy–slow growth of spring shoot | 1:0.044:1.36:1.42:0.17:0.062 |
| Slow growth of spring shoot–end of spring shoot growth | 1:0.16:0.72:1.43:0.20:0.084 | |
| End of spring shoot growth–autumn shoot growth | 0:0:0.57:1:0.15:0.062 | |
| Autumn shoot growth–nutrient withdrawal | 1:0.46:0:0.93:0.10:0.19 |
Disclaimer/Publisher’s Note: The statements, opinions and data contained in all publications are solely those of the individual author(s) and contributor(s) and not of MDPI and/or the editor(s). MDPI and/or the editor(s) disclaim responsibility for any injury to people or property resulting from any ideas, methods, instructions or products referred to in the content. |
© 2026 by the authors. Licensee MDPI, Basel, Switzerland. This article is an open access article distributed under the terms and conditions of the Creative Commons Attribution (CC BY) license.
Share and Cite
Zheng, Z.; Shi, C.; Zhang, A.; Zhang, Q.; Zheng, W.; Li, Z.; Zhai, B. Uptake and Partitioning Characteristics of Calcium, Magnesium, and Sulfur in Young Dwarf ‘Fuji’ Apple Trees and Their Relations to the Uptake and Partitioning of Nitrogen, Phosphorus, and Potassium. Agronomy 2026, 16, 442. https://doi.org/10.3390/agronomy16040442
Zheng Z, Shi C, Zhang A, Zhang Q, Zheng W, Li Z, Zhai B. Uptake and Partitioning Characteristics of Calcium, Magnesium, and Sulfur in Young Dwarf ‘Fuji’ Apple Trees and Their Relations to the Uptake and Partitioning of Nitrogen, Phosphorus, and Potassium. Agronomy. 2026; 16(4):442. https://doi.org/10.3390/agronomy16040442
Chicago/Turabian StyleZheng, Zhaoxia, Chao Shi, Ai Zhang, Qian Zhang, Wei Zheng, Ziyan Li, and Bingnian Zhai. 2026. "Uptake and Partitioning Characteristics of Calcium, Magnesium, and Sulfur in Young Dwarf ‘Fuji’ Apple Trees and Their Relations to the Uptake and Partitioning of Nitrogen, Phosphorus, and Potassium" Agronomy 16, no. 4: 442. https://doi.org/10.3390/agronomy16040442
APA StyleZheng, Z., Shi, C., Zhang, A., Zhang, Q., Zheng, W., Li, Z., & Zhai, B. (2026). Uptake and Partitioning Characteristics of Calcium, Magnesium, and Sulfur in Young Dwarf ‘Fuji’ Apple Trees and Their Relations to the Uptake and Partitioning of Nitrogen, Phosphorus, and Potassium. Agronomy, 16(4), 442. https://doi.org/10.3390/agronomy16040442
