Effect of Preharvest Application of Sodium Benzoate and Potassium Sorbate on Fungal Decay Incidence and Postharvest Quality of Cold-Stored Fino Lemon Fruit
Abstract
1. Introduction
2. Materials and Methods
2.1. Plant Material and Experimental Design
2.2. Physiological and Quality Parameters
2.3. Total Phenolic Content
2.4. Total Antioxidant Activity
2.5. Statistical Analysis
3. Results
3.1. Effect of Preharvest Treatments with Sodium Benzoate and Potassium Silicate (2021–2022 Experiment)
3.1.1. Fungal Decay Incidence
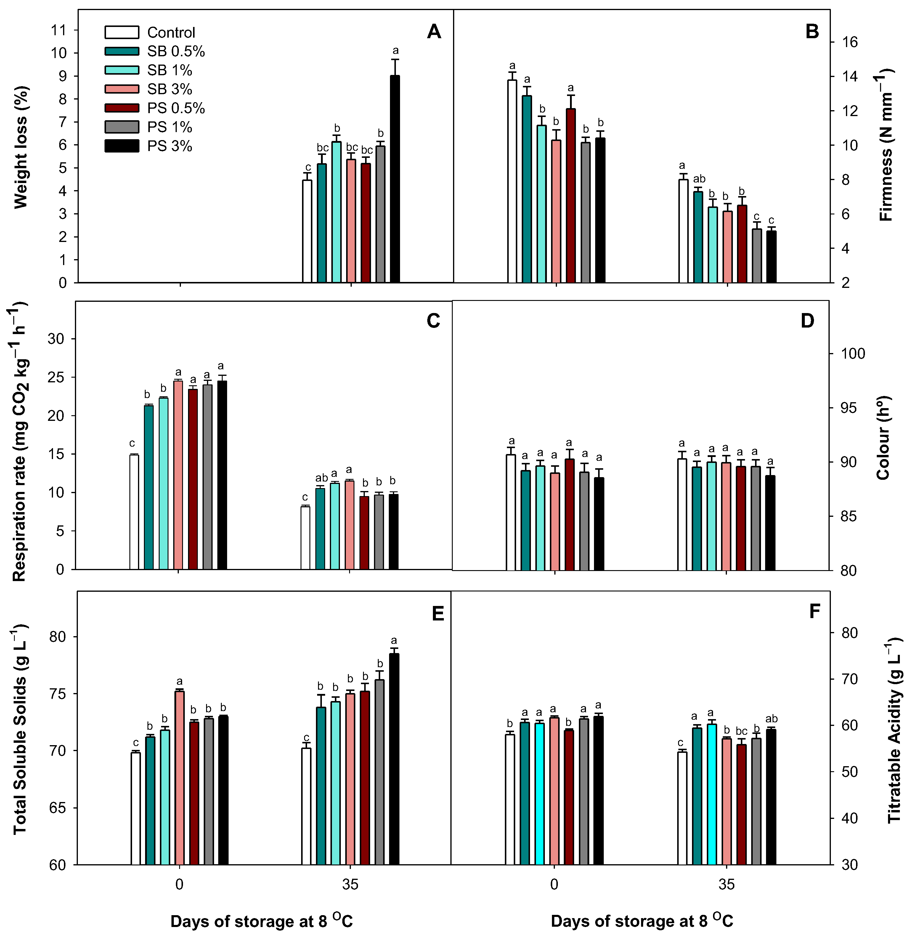
3.1.2. Physicochemical Parameters of Lemon Fruit Quality
3.1.3. Phenolic Content and Total Antioxidant Activity
3.1.4. Principal Component Analysis
3.2. Effect of Preharvest Treatments with Sodium Benzoate (2022–2023 Experiment)
3.2.1. Fungal Decay Incidence
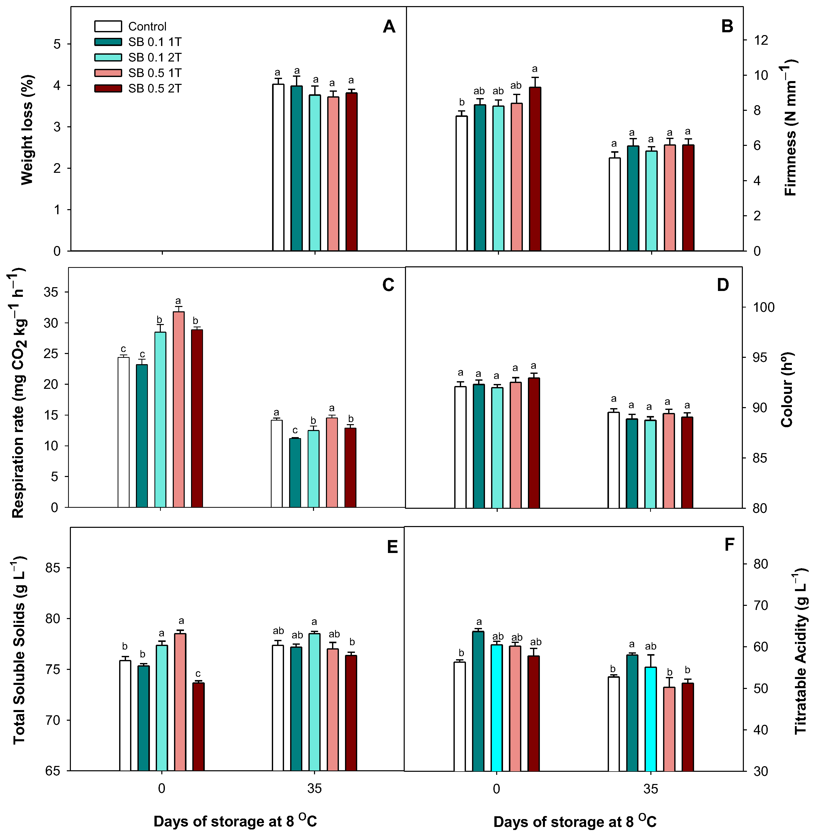
3.2.2. Physicochemical Parameters of Lemon Fruit Quality
3.2.3. Phenolic Content and Total Antioxidant Activity
3.2.4. Principal Component Analysis
4. Discussion
5. Conclusions
Author Contributions
Funding
Data Availability Statement
Conflicts of Interest
References
- FAOSTAT. Food and Agriculture Data 2023. Available online: https://www.fao.org/statistics/en/ (accessed on 23 October 2025).
- Strano, M.C.; Altieri, G.; Admane, N.; Genovese, F.; Di Renzo, G.C. Advance in citrus postharvest management: Diseases, cold Storage and quality evaluation. In Citrus Pathology; IntechOpen: London, UK, 2017; pp. 139–159. [Google Scholar] [CrossRef]
- Palou, L. Penicillium digitatum, Penicillium italicum (green mold, blue mold). In Postharvest Decay: Control Strategies; Bautista-Baños, S., Ed.; Academic Press: Amsterdam, The Netherlands, 2014; pp. 45–102. ISBN 978-0-12-411552-1. [Google Scholar] [CrossRef]
- Palou, L. Postharvest treatments with gras salts to control fresh fruit decay. Horticulturae 2018, 4, 46. [Google Scholar] [CrossRef]
- Wisniewski, M.; Droby, S.; Norelli, J.; Liu, J.; Schena, L. Alternative management technologies for postharvest disease control: The journey from simplicity to complexity. Postharvest Biol. Technol. 2016, 122, 3–10. [Google Scholar] [CrossRef]
- Palou, L.; Ali, A.; Fallik, E.; Romanazzi, G. GRAS, plant- and animal-derived compounds as alternatives to conventional fungicides for the control of postharvest diseases of fresh horticultural produce. Postharvest Biol. Technol. 2016, 122, 41–52. [Google Scholar] [CrossRef]
- Palou, L.; Usall, J.; Smilanick, J.L.; Aguilar, M.J.; Viñas, I. Evaluation of food additives and low-toxicity compounds as alternative chemicals for the control of Penicillium digitatum and Penicillium italicum on citrus fruit. Pest. Manag. Sci. 2002, 58, 459–466. [Google Scholar] [CrossRef] [PubMed]
- D’Aquino, S.; Fadda, A.; Barberis, A.; Palma, A.; Angioni, A.; Schirra, M. Combined effects of potassium sorbate, hot water and thiabendazole against green mould of citrus fruit and residue levels. Food Chem. 2013, 141, 858–864. [Google Scholar] [CrossRef]
- Smilanick, J.L.; Mansour, M.F.; Gabler, F.M.; Sorenson, D. Control of citrus postharvest green mold and sour rot by potassium sorbate combined with heat and fungicides. Postharvest Biol. Technol. 2008, 47, 226–238. [Google Scholar] [CrossRef]
- Sama, V.; Molua, E.L.; Nkongho, R.N.; Ngosong, C. Potential of sodium benzoate additive to control food-borne pathogens and spoilage microbes on cassava (Manihot esculenta) fufu and shelf-life extension. J. Agric. Food Res. 2023, 11, 100521. [Google Scholar] [CrossRef]
- Hussein, E.I.; Kanan, G.J.M.; Al-Batayneh, K.M.; Alhussaen, K.; Al Khateeb, W.; Qar, M.; Jacob, J.H.; Muhaidat, R.; Hegazy, M.I. Evaluation of food preservatives, low toxicity chemicals, liquid fractions of plant extracts and their combinations as alternative options for controlling citrus post-harvest green and blue moulds in vitro. Res. J. Med. Plant. 2012, 6, 551–573. [Google Scholar] [CrossRef]
- Palou, L.; Smilanick, J.L.; Crisosto, C.H. Evaluation of food additives as alternative or complementary chemicals to conventional fungicides for the control of major postharvest diseases of stone fruit. J. Food Prot. 2009, 72, 1037–1046. [Google Scholar] [CrossRef]
- Smilanick, J.L.; Margosan, D.A.; Mlikota, F.; Usall, J.; Michael, I.F. Control of citrus green mold by carbonate and bicarbonate salts and the influence of commercial postharvest practices on their efficacy. Plant Dis. 1999, 83, 139–145. [Google Scholar] [CrossRef]
- Yanlong, L.; Qiongyin, L.; Xiaoyu, L.; Tan, H.; Abdul-Nabi, J.; Caili, Z.; Hansheng, G. Effects of postharvest chitosan and potassium sorbate coating on the storage quality and fungal community of fresh jujube. Postharvest Biol. Technol. 2023, 205, 112503. [Google Scholar] [CrossRef]
- Molaei, S.; Soleimani, A.; Rabiei, V.; Razavi, F. Impact of chitosan in combination with potassium sorbate treatment on chilling injury and quality attributes of pomegranate fruit during cold storage. J. Food Biochem. 2021, 45, e13633. [Google Scholar] [CrossRef]
- Huaiquiong, C.; Yue, Z.; Qixin, Z. Potential of acidified sodium benzoate as an alternative wash solution of cherry tomatoes: Changes of quality, background microbes, and inoculated pathogens during storage at 4 and 21°C post-washing. Food Microbiol. 2019, 82, 111–118. [Google Scholar] [CrossRef]
- Kaur, A.; Gill, P.P.S.; Jawandha, S.K. Effect of sodium benzoate application on quality and enzymatic changes of pear fruits during low temperature. J. Food Sci. Technol. 2019, 56, 3391–3398. [Google Scholar] [CrossRef]
- Olmedo, G.M.; Baigorria, C.G.; Ramallo, A.C.; Sepulveda, M.; Ramallo, J.; Volentini, S.I.; Rapisarda, V.A.; Cerioni, L. Inhibition of the lemon brown rot causal agent Phytophthora citrophthora by low-toxicity compounds. J. Sci. Food Agric. 2021, 101, 3613–3619. [Google Scholar] [CrossRef]
- Ramallo, A.C.; Cerioni, L.; Olmedo, G.M.; Volentini, S.I.; Ramallo, J.; Rapisarda, V.A. Control of Phytophthora sp. brown rot of lemons by pre- and postharvest applications of potassium phosphite. European J. Plant Pathol. 2019, 154, 975–982. [Google Scholar] [CrossRef]
- Serna-Escolano, V.; Gutiérrez-Pozo, M.; Dobón-Suárez, A.; Zapata, P.J.; Giménez, M.J. Effect of preharvest treatments with sodium bicarbonate and potassium silicate in ‘Navel’ and ‘Valencia’ oranges to control fungal decay and maintain quality traits during cold storage. Agronomy 2023, 13, 2925. [Google Scholar] [CrossRef]
- Youssef, K.; Ligorio, A.; Nigro, F.; Ippolito, A. Activity of salts incorporated in wax in controlling postharvest diseases of citrus fruit. Postharvest Biol. Technol. 2012, 65, 39–43. [Google Scholar] [CrossRef]
- Gutiérrez-Pozo, M.; Serna-Escolano, V.; Giménez-Berenguer, M.; Giménez, M.J.; Zapata, P.J. The Preharvest application of essential oils (Carvacrol, Eugenol, and Thymol) reduces fungal decay in lemons. Agriculture 2023, 13, 1437. [Google Scholar] [CrossRef]
- Martínez-Esplá, A.; Zapata, P.J.; Valero, D.; Martínez-Romero, D.; Díaz-Mula, H.M.; Serrano, M. Preharvest treatments with salicylates enhance nutrient and antioxidant compounds in plum at harvest and after storage. J. Sci. Food Agric. 2018, 98, 2742–2750. [Google Scholar] [CrossRef]
- Serna-Escolano, V.; Valverde, J.M.; García-Pastor, M.E.; Valero, D.; Castillo, S.; Guillén, F.; Martínez-Romero, D.; Zapata, P.J.; Serrano, M. Pre-harvest methyl jasmonate treatments increase antioxidant systems in lemon fruit without affecting yield or other fruit quality parameters. J. Sci. Food Agric. 2019, 99, 5035–5043. [Google Scholar] [CrossRef] [PubMed]
- Serna-Escolano, V.; Martínez-Romero, D.; Giménez, M.J.; Serrano, M.; García-Martínez, S.; Valero, D.; Valverde, J.M.; Zapata, P.J. Enhancing antioxidant systems by preharvest treatments with methyl jasmonate and salicylic acid leads to maintain lemon quality during cold storage. Food Chem. 2021, 338, 128044. [Google Scholar] [CrossRef] [PubMed]
- Valencia-Chamorro, S.A.; Palou, L.; del Río, M.Á.; Pérez-Gago, M.B. Performance of hydroxypropyl methylcellulose (HPMC)-lipid edible coatings with antifungal food additives during cold storage of ‘Clemenules’ mandarins. LWT 2011, 44, 2342–2348. [Google Scholar] [CrossRef]
- Yanlong, L.; Wenjing, Z.; Zhengkai, W.; Huabin, W.; Li, L.; Abdul-Nabi, J.; Caili, Z. Sodium benzoate and chitosan composite coating synergistically reduces jujube fruit decay by inhibiting pathogenic fungi and increasing fungal diversity. Food Biosci. 2025, 71, 107233. [Google Scholar] [CrossRef]
- Montesinos-Herrero, C.; Moscoso-Ramírez, P.A.; Palou, L. Evaluation of sodium benzoate and other food additives for the control of citrus postharvest green and blue molds. Postharvest Biol. Technol. 2016, 115, 72–80. [Google Scholar] [CrossRef]
- Valero, D.; Serrano, M. Postharvest Biology and Technology for Preserving Fruit Quality; CRC Press: Boca Raton, FL, USA, 2010; ISBN 9781439802670. [Google Scholar] [CrossRef]
- Parra, J.; Ripoll, G.; Orihuel-Iranzo, B. Potassium sorbate effects on citrus weight loss and decay control. Postharvest Biol. Technol. 2014, 96, 7–13. [Google Scholar] [CrossRef]
- Guimarães, J.E.R.; de la Fuente, B.; Pérez-Gago, M.B.; Andradas, C.; Carbó, R.; Mattiuz, B.H.; Palou, L. Antifungal activity of GRAS salts against Lasiodiplodia theobromae in vitro and as ingredients of hydroxypropyl methylcellulose-lipid composite edible coatings to control Diplodia sp. stem-end rot and maintain postharvest quality of citrus fruit. Int. J. Food Microbiol. 2019, 301, 9–18. [Google Scholar] [CrossRef]
- Youssef, K.; Hussien, A. Electrolysed water and salt solutions can reduce green and blue molds while maintain the quality properties of ‘Valencia’ late oranges. Postharvest Biol. Technol. 2020, 159, 111025. [Google Scholar] [CrossRef]
- Vilaplana, R.; Alba, P.; Valencia-Chamorro, S. Sodium bicarbonate salts for the control of postharvest black rot disease in yellow pitahaya (Selenicereus megalanthus). Crop Prot. 2018, 114, 90–96. [Google Scholar] [CrossRef]
- Abidi, W.; Akrimi, R.; Hajlaoui, H.; Rejeb, H.; Gogorcena, Y. Foliar fertilization of potassium silicon improved postharvest fruit quality of peach and nectarine [Prunus persica (L.) Batsch] cultivars. Agriculture 2023, 13, 195. [Google Scholar] [CrossRef]








| Applications | T1 | T2 | T3 | T4 |
|---|---|---|---|---|
| 1st | 10 October 2022 | |||
| 2nd | 8 November 2022 | 8 November 2022 | ||
| 3rd | 7 December 2022 | 7 December 2022 | 7 December 2022 | |
| 4th | 4 January 2023 | 4 January 2023 | 4 January 2023 | 4 January 2023 |
| Harvest | 8 January 2023 | |||
Disclaimer/Publisher’s Note: The statements, opinions and data contained in all publications are solely those of the individual author(s) and contributor(s) and not of MDPI and/or the editor(s). MDPI and/or the editor(s) disclaim responsibility for any injury to people or property resulting from any ideas, methods, instructions or products referred to in the content. |
© 2025 by the authors. Licensee MDPI, Basel, Switzerland. This article is an open access article distributed under the terms and conditions of the Creative Commons Attribution (CC BY) license.
Share and Cite
Gutiérrez-Pozo, M.; Serna-Escolano, V.; Giménez-Berenguer, M.; Botella, M.Á.; Zapata, P.J.; Giménez, M.J. Effect of Preharvest Application of Sodium Benzoate and Potassium Sorbate on Fungal Decay Incidence and Postharvest Quality of Cold-Stored Fino Lemon Fruit. Agronomy 2026, 16, 105. https://doi.org/10.3390/agronomy16010105
Gutiérrez-Pozo M, Serna-Escolano V, Giménez-Berenguer M, Botella MÁ, Zapata PJ, Giménez MJ. Effect of Preharvest Application of Sodium Benzoate and Potassium Sorbate on Fungal Decay Incidence and Postharvest Quality of Cold-Stored Fino Lemon Fruit. Agronomy. 2026; 16(1):105. https://doi.org/10.3390/agronomy16010105
Chicago/Turabian StyleGutiérrez-Pozo, María, Vicente Serna-Escolano, Marina Giménez-Berenguer, María Á. Botella, Pedro J. Zapata, and María J. Giménez. 2026. "Effect of Preharvest Application of Sodium Benzoate and Potassium Sorbate on Fungal Decay Incidence and Postharvest Quality of Cold-Stored Fino Lemon Fruit" Agronomy 16, no. 1: 105. https://doi.org/10.3390/agronomy16010105
APA StyleGutiérrez-Pozo, M., Serna-Escolano, V., Giménez-Berenguer, M., Botella, M. Á., Zapata, P. J., & Giménez, M. J. (2026). Effect of Preharvest Application of Sodium Benzoate and Potassium Sorbate on Fungal Decay Incidence and Postharvest Quality of Cold-Stored Fino Lemon Fruit. Agronomy, 16(1), 105. https://doi.org/10.3390/agronomy16010105

