Shifts in Fertilization Regime Alter Carbon Cycling in Paddy Soils: Linking the Roles of Microbial Community, Functional Genes, and Physicochemical Properties
Abstract
1. Introduction
2. Materials and Methods
2.1. Experimental Design and Fertilization Treatments
2.2. Soil Sampling and Physicochemical Analysis
2.3. DNA Extraction and Metagenomic Sequencing
2.4. Statistical Analysis
3. Results
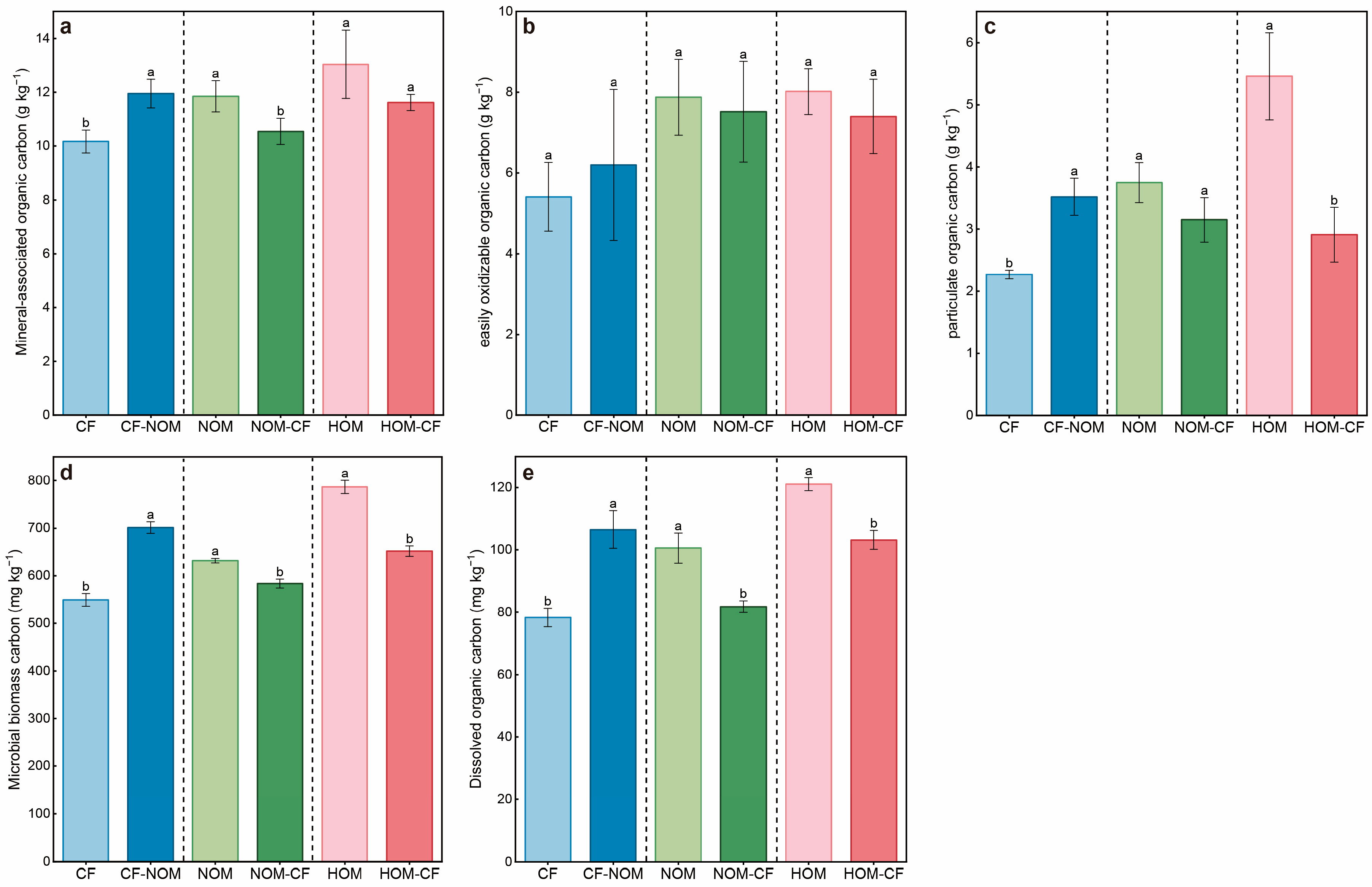
3.1. Basic Properties and Carbon Cycling-Related Chemical Indicators of Paddy Soil
3.2. Carbon Cycling Microbial Communities in Paddy Soil
3.3. Carbon Cycling Functional Genes in Paddy Soil
3.4. Associations Among Carbon Cycling Microorganisms, Functional Genes, and Environmental Factors
4. Discussion
4.1. Impacts of Fertilization Regime Shifts on Carbon Cycling Microbial Communities in Paddy Soil
4.2. Effects of Fertilization Regime Shifts on Carbon Cycling Functional Genes in Paddy Soil
4.3. Multidimensional Relationships Among Microorganisms, Functional Genes, and Environmental Factors in Paddy Soil
5. Conclusions
Supplementary Materials
Author Contributions
Funding
Data Availability Statement
Acknowledgments
Conflicts of Interest
References
- Franklin, L.; Limmer, M.A.; Ebling, A.M.; Seyfferth, A.L. Rice husk and husk biochar soil amendments store soil carbon while water management controls dissolved organic matter chemistry in well-weathered soil. J. Environ. Manag. 2023, 339, 117936. [Google Scholar] [CrossRef] [PubMed]
- Tang, H.; Liu, Y.; Li, X.; Muhammad, A.; Huang, G. Carbon sequestration of cropland and paddy soils in China: Potential, driving factors, and mechanisms. Greenh. Gases Sci. Technol. 2019, 9, 872–885. [Google Scholar] [CrossRef]
- Chen, Z.; Ma, J.; Wang, F.; Ma, J.; Zou, P.; Sun, W.; Yu, Q.; Wang, Q. Long-term phosphorus addition enhances the contributions of plant lignin and microbial necromass to soil organic carbon in a rice–wheat rotation. Appl. Soil Ecol. 2025, 209, 106010. [Google Scholar] [CrossRef]
- Lu, X.; Zhang, X.; Wang, Z.; Li, S. Carbon budget of paddy ecosystems in China simulated by denitrification-decomposition model. Ecosphere 2024, 15, e4926. [Google Scholar] [CrossRef]
- Schimel, J.P.; Schaeffer, S.M. Microbial control over carbon cycling in soil. Front. Microbiol. 2012, 3, 348. [Google Scholar] [CrossRef]
- Xiao, Q.; Huang, Y.; Wu, L.; Tian, Y.; Wang, Q.; Wang, B.; Xu, M.; Zhang, W. Long-term manuring increases microbial carbon use efficiency and mitigates priming effect via alleviated soil acidification and resource limitation. Biol. Fertil. Soils 2021, 57, 925–934. [Google Scholar] [CrossRef]
- Meiling, Z.; Ming, W.; Yantong, Z.; Ming, J.; Guodong, W. Variations in Concentration and Carbon Isotope Composition of Methanotroph Biomarkers in Sedge Peatlands Along the Altitude Gradient in the Changbai Mountain, China. Front. Microbiol. 2022, 13, 892430. [Google Scholar] [CrossRef]
- Xu, W.; Liu, W.; Tang, S.; Yang, Q.; Meng, L.; Wu, Y.; Wang, J.; Wu, L.; Wu, M.; Xue, X.; et al. Long-term partial substitution of chemical nitrogen fertilizer with organic fertilizers increased SOC stability by mediating soil C mineralization and enzyme activities in a rubber plantation of Hainan Island, China. Appl. Soil Ecol. 2023, 182, 104691. [Google Scholar] [CrossRef]
- Song, H.; Yang, B.; Liang, Y.; Yang, L.; Song, J.; Li, T. Combined Application of Balanced Chemical and Organic Fertilizers on Improving Crop Yield by Affecting Soil Macroaggregation and Carbon Sequestration. Agronomy 2024, 14, 2813. [Google Scholar] [CrossRef]
- Hailu, F.; Hassen, S.; Hussen, S.; Belete, E.; Alemu, T. Evaluation of different fertilizer sources for sustainable carrot production in Tehuledere district, northern Ethiopia. Heliyon 2024, 10, e29693. [Google Scholar] [CrossRef] [PubMed]
- Zhu, W.; Yin, B.; Su, L.; Liu, C.; Zhang, L.; Wang, L. The improvement of soil properties in rice cropping systems using an integrated fertilization method to increase rice yield. Soil Use Manag. 2024, 40, e13073. [Google Scholar] [CrossRef]
- Rukun, L. Methods of Soil Agricultural Chemical Analysis; China Agricultural Science and Technology Press: Beijing, China, 2000. [Google Scholar]
- Zhao, S.; Qiu, S.; Xu, X.; Ciampitti, I.A.; Zhang, S.; He, P. Change in straw decomposition rate and soil microbial community composition after straw addition in different long-term fertilization soils. Appl. Soil Ecol. 2019, 138, 123–133. [Google Scholar] [CrossRef]
- Zhao, S.; Li, K.; Zhou, W.; Qiu, S.; Huang, S.; He, P. Changes in soil microbial community, enzyme activities and organic matter fractions under long-term straw return in north-central China. Agric. Ecosyst. Environ. 2016, 216, 82–88. [Google Scholar] [CrossRef]
- Nunan, N.; Schmidt, H.; Raynaud, X. The ecology of heterogeneity: Soil bacterial communities and C dynamics. Philos. Trans. R. Soc. London. Ser. B Biol. Sci. 2020, 375, 20190249. [Google Scholar] [CrossRef] [PubMed]
- Li, S.; Yang, S.; Wei, X.; Jiao, S.; Luo, W.; Chen, W.; Wei, G. Reduced trace gas oxidizers as a response to organic carbon availability linked to oligotrophs in desert fertile islands. ISME J. 2023, 17, 1257–1266. [Google Scholar] [CrossRef] [PubMed]
- Ding, J.; Yu, S. Impacts of Land Use on Soil Nitrogen-Cycling Microbial Communities: Insights from Community Structure, Functional Gene Abundance, and Network Complexity. Life 2025, 15, 466. [Google Scholar] [CrossRef]
- Biggs, C.R.; Yeager, L.A.; Bolser, D.G.; Bonsell, C.; Dichiera, A.M.; Hou, Z.; Keyser, S.R.; Khursigara, A.J.; Lu, K.; Muth, A.F.; et al. Does functional redundancy affect ecological stability and resilience? A review and meta-analysis. Ecosphere 2020, 11, e03184. [Google Scholar] [CrossRef]
- Bebber, D.P.; Richards, V.R. A meta-analysis of the effect of organic and mineral fertilizers on soil microbial diversity. Appl. Soil Ecol. 2022, 175, 104450. [Google Scholar] [CrossRef]
- Tian, W.; Wang, L.; Li, Y.; Zhuang, K.; Li, G.; Zhang, J.; Xiao, X.; Xi, Y. Responses of microbial activity, abundance, and community in wheat soil after three years of heavy fertilization with manure-based compost and inorganic nitrogen. Agric. Ecosyst. Environ. 2015, 213, 219–227. [Google Scholar] [CrossRef]
- Zhang, Y.; Luo, Z.; Li, L.; Nian, L.; Li, L.; Niu, Y.; He, R.; Liu, J. Nitrogen Fertilization Shapes Soil Microbial Diversity and Ecosystem Multifunctionality by Modulating Soil Nutrients. Microorganisms 2025, 13, 540. [Google Scholar] [CrossRef]
- Rafael, A.; Beatriz, M.; Martin, A.; Silvia, W.; Belén, R.A.; Eugenia, R.M.; Emilio, B. Role of Agricultural Management in the Provision of Ecosystem Services in Warm Climate Vineyards: Functional Prediction of Genes Involved in Nutrient Cycling and Carbon Sequestration. Plants 2023, 12, 527. [Google Scholar] [CrossRef]
- Ma, B.; Wang, H.; Dsouza, M.; Lou, J.; He, Y.; Dai, Z.; Brookes, P.C.; Xu, J.; Gilbert, J.A. Geographic patterns of co-occurrence network topological features for soil microbiota at continental scale in eastern China. ISME J. 2016, 10, 1891–1901. [Google Scholar] [CrossRef] [PubMed]
- Guseva, K.; Darcy, S.; Simon, E.; Alteio, L.V.; Montesinos-Navarro, A.; Kaiser, C. From diversity to complexity: Microbial networks in soils. Soil Biol. Biochem. 2022, 169, 108604. [Google Scholar] [CrossRef]
- Hernandez, D.J.; David, A.S.; Menges, E.S.; Searcy, C.A.; Afkhami, M.E. Environmental stress destabilizes microbial networks. ISME J. 2021, 15, 1722–1734. [Google Scholar] [CrossRef]
- Wu, W.; Zhang, Y.; Turner, B.L.; He, Y.; Chen, X.; Che, R.; Cui, X.; Liu, X.; Jiang, L.; Zhu, J. Organic amendments promote soil phosphorus related functional genes and microbial phosphorus cycling. Geoderma 2025, 456, 117247. [Google Scholar] [CrossRef]
- Zhao, H.; Jiang, Y.; Ning, P.; Liu, J.; Zheng, W.; Tian, X.; Shi, J.; Xu, M.; Liang, Z.; Shar, A.G. Effect of Different Straw Return Modes on Soil Bacterial Community, Enzyme Activities and Organic Carbon Fractions. Soil Sci. Soc. Am. J. 2019, 83, 638–648. [Google Scholar] [CrossRef]
- Chen, X.; Tang, Z.; Weng, Y.; Cai, H.; Wu, Y.; Zheng, B.; Li, J. Effects of 15-year straw incorporation on soil carbon composition and microbial community under wheat–maize rotation system in the Huang-Huai-Hai Plain. BMC Plant Biol. 2025, 25, 522. [Google Scholar] [CrossRef] [PubMed]
- Li, P.; He, C.; Li, G.; Ding, P.; Lan, M.; Gao, Z.; Jiao, Y. Biological pretreatment of corn straw for enhancing degradation efficiency and biogas production. Bioengineered 2020, 11, 251–260. [Google Scholar] [CrossRef]
- Zhou, H.; Gao, Y.; Jia, X.; Wang, M.; Ding, J.; Cheng, L.; Bao, F.; Wu, B. Network analysis reveals the strengthening of microbial interaction in biological soil crust development in the Mu Us Sandy Land, northwestern China. Soil Biol. Biochem. 2020, 144, 107782. [Google Scholar] [CrossRef]
- Xiao, Y.; Wang, J.; Wang, B.; Fan, B.; Zhou, G. Soil microbial network complexity predicts soil multifunctionality better than soil microbial diversity during grassland-farmland-shrubland conversion on the Qinghai-Tibetan Plateau. Agric. Ecosyst. Environ. 2025, 379, 109356. [Google Scholar] [CrossRef]
- Yu, T.; Yang, R.; Jie, X.; Lian, T.; Zang, H.; Zeng, Z.; Yang, Y. Organic management improved the multifunctionality in recolonization soil by increasing microbial diversity and function. Funct. Ecol. 2024, 38, 2207–2219. [Google Scholar] [CrossRef]
- Chen, H.; Ma, K.; Huang, Y.; Fu, Q.; Qiu, Y.; Lin, J.; Schadt, C.W.; Chen, H. Lower functional redundancy in “narrow” than “broad” functions in global soil metagenomics. SOIL 2022, 8, 297–308. [Google Scholar] [CrossRef]
- Hakemian, A.S.; Rosenzweig, A.C. The Biochemistry of Methane Oxidation. Annu. Rev. Biochem. 2007, 76, 223–241. [Google Scholar] [CrossRef] [PubMed]
- Lee, J.A.; Stolyar, S.; Marx, C.J. Aerobic Methoxydotrophy: Growth on Methoxylated Aromatic Compounds by Methylobacteriaceae. Front. Microbiol. 2022, 13, 849573. [Google Scholar] [CrossRef]
- Halder, M.; Islam, M.U.; Liu, S.; Guo, Z.; Zhang, Z.; Peng, X. Organic materials quality to control soil aggregation: A meta-analysis. J. Soil Sci. Plant Nutr. 2024, 24, 1857–1870. [Google Scholar] [CrossRef]
- Zhou, Z.; Liao, Y.; Zhang, Q.; Xiong, Z.; Tang, J.; Tian, J.; Chang, X.; Zhang, H.; Xiang, J.; Lin, Z.; et al. Insights into soil carbon metabolism and carbon sequestration capacity under organic fertilizer substitution model. Appl. Soil Ecol. 2025, 213, 106235. [Google Scholar] [CrossRef]
- Zhu, M.; Song, Y.; Gao, S.; Gong, C.; Liu, Z.; Ma, X.; Yuan, J.; Yang, X. Diversity Characteristics of Soil Microbial Carbon Source Metabolism in Wetlands with Different Vegetation Types in the Sanjiang Plain. Ecol. Environ. Sci. 2022, 31, 2310–2319. [Google Scholar] [CrossRef]
- Dong, W.; Zhang, Y.; Ma, H. Research advances in the role of central carbon metabolic pathways in plant growth, development and stress responses. Pratacultural Sci. 2025, 42, 1709–1720. [Google Scholar] [CrossRef]
- Manzoni, S.; Chakrawal, A.; Ledder, G. Decomposition rate as an emergent property of optimal microbial foraging. Front. Ecol. Evol. 2023, 11, 1094269. [Google Scholar] [CrossRef]
- Liew, F.; Henstra, A.M.; Winzer, K.; Köpke, M.; Simpson, S.D.; Minton, N.P. Insights into CO2 Fixation Pathway of Clostridium autoethanogenum by Targeted Mutagenesis. mBio 2016, 7, e00427-16. [Google Scholar] [CrossRef]
- Ragsdale, S.W. Enzymology of the wood-Ljungdahl pathway of acetogenesis. Ann. N. Y. Acad. Sci. 2008, 1125, 129–136. [Google Scholar] [CrossRef]
- Borrel, G.; Adam, P.S.; Gribaldo, S. Methanogenesis and the Wood–Ljungdahl Pathway: An Ancient, Versatile, and Fragile Association. Genome Biol. Evol. 2016, 8, 1706–1711. [Google Scholar] [CrossRef] [PubMed]
- PerlaMunguia-Fragozo, P.; Alatorre-Jacome, O.; Rico-Garcia, E.; Torres-Pacheco, I.; Cruz-Hernandez, A.; Ocampo-Velazquez, R.V.; Garcia-Trejo, J.F.; Guevara-Gonzalez, R.G. Perspective for Aquaponic Systems: “Omic” Technologies for Microbial Community Analysis. BioMed Res. Int. 2015, 2015, 480386. [Google Scholar] [CrossRef] [PubMed]
- Al-Ani, S.; Kim, Y. Carbon preference by Cupriavidus necator for growth and accumulation phases: Heterotrophic vs. autotrophic metabolisms. J. Power Sources 2025, 626, 235797. [Google Scholar] [CrossRef]
- Jain, S.; Katsyv, A.; Basen, M.; Müller, V. The monofunctional CO dehydrogenase CooS is essential for growth of Thermoanaerobacter kivui on carbon monoxide. Extremophiles 2021, 26, 4. [Google Scholar] [CrossRef]
- Liu, A.; Yin, W.; Ma, D.; Wang, X.; Kan, S. Vertical distribution patterns and potential activities of methanogenic and methanotrophic communities in permafrost peatlands of Greater Khingan Mountains. Ecol. Indic. 2025, 175, 113539. [Google Scholar] [CrossRef]
- Nwokolo, N.L.; Enebe, M.C. Methane production and oxidation–-A review on the pmoA and mcrA gene abundances for understanding the functional potentials of agricultural soils. Pedosphere 2025, 35, 161–181. [Google Scholar] [CrossRef]
- Zheng, S.; Deng, S.; Ma, C.; Xia, Y.; Qiao, H.; Zhao, J.; Gao, W.; Tu, Q.; Zhang, Y.; Rui, Y.; et al. Type I methanotrophs dominated methane oxidation and assimilation in rice paddy fields by the consequence of niche differentiation. Biol. Fertil. Soils 2024, 60, 153–165. [Google Scholar] [CrossRef]
- Ding, Y.; Wang, M.; Du, X.; He, X.; Xu, T.; Liu, X.; Song, F. The impact of elevated CO2 on methanogen abundance and methane emissions in terrestrial ecosystems: A meta-analysis. iScience 2024, 27, 111504. [Google Scholar] [CrossRef] [PubMed]
- Wu, Y.; Mao, X.; Mao, X.; Xia, L.; Tang, W.; Yu, H.; Zhang, Z.; Xiao, F.; Ji, H.; Ma, Y. Controlling Methane Ebullition Flux in Cascade Reservoirs of the Upper Yellow River by the Ratio of mcrA to pmoA Genes. Water 2024, 16, 2565. [Google Scholar] [CrossRef]
- Huo, C.; Mao, J.; Zhang, J.; Yang, X.; Gao, S.; Li, J.; He, Q.; Tang, G.; Xie, X.; Chen, Z. Fertilization- and Irrigation-Modified Bacterial Community Composition and Stimulated Enzyme Activity of Eucalyptus Plantations Soil. Int. J. Mol. Sci. 2024, 25, 1385. [Google Scholar] [CrossRef]
- Sun, R.; Wang, F.; Hu, C.; Liu, B. Metagenomics reveals taxon-specific responses of the nitrogen-cycling microbial community to long-term nitrogen fertilization. Soil Biol. Biochem. 2021, 156, 108214. [Google Scholar] [CrossRef]
- Ziheng, P.; Xun, Q.; Yu, L.; Xiaomeng, L.; Hang, G.; Yining, A.; Jiejun, Q.; Lan, J.; Yiran, Z.; Shi, C.; et al. Land conversion to agriculture induces taxonomic homogenization of soil microbial communities globally. Nat. Commun. 2024, 15, 3624. [Google Scholar] [CrossRef]
- Li, Z.; Zhao, C.; Mao, Z.; Zhang, F.; Dong, L.; Song, C.; Chen, Y.; Fu, X.; Ao, Z.; Xiong, Y.; et al. Structure and metabolic function of spatiotemporal pit mud microbiome. Environ. Microbiome 2025, 20, 10. [Google Scholar] [CrossRef] [PubMed]
- Rana, M.S.; Alshehri, D.; Wang, R.; Imran, M.; Abdellah, Y.A.Y.; Rahman, F.U.; Alatawy, M.; Ghabban, H.; Abeed, A.H.A.; Hu, C. Effect of molybdenum supply on crop performance through rhizosphere soil microbial diversity and metabolite variation. Front. Plant Sci. 2024, 15, 1519540. [Google Scholar] [CrossRef]
- Vuillemin, A.; Friese, A.; Alawi, M.; Henny, C.; Nomosatryo, S.; Wagner, D.; Crowe, S.A.; Kallmeyer, J. Geomicrobiological Features of Ferruginous Sediments from Lake Towuti, Indonesia. Front. Microbiol. 2016, 7, 1007. [Google Scholar] [CrossRef] [PubMed]
- Du, M.; Zhang, J.; Wang, G.; Liu, C.; Wang, Z. Response of bacterial community composition and co-occurrence network to straw and straw biochar incorporation. Front. Microbiol. 2022, 13, 999399. [Google Scholar] [CrossRef]
- Kadnikov, V.V.; Mardanov, A.V.; Beletsky, A.V.; Karnachuk, O.V.; Ravin, N.V. Microbial Life in the Deep Subsurface Aquifer Illuminated by Metagenomics. Front. Microbiol. 2020, 11, 572252. [Google Scholar] [CrossRef] [PubMed]
- Hartmann, M.; Six, J. Soil structure and microbiome functions in agroecosystems. Nat. Rev. Earth Environ. 2023, 4, 4–18. [Google Scholar] [CrossRef]
- Bankole, O.O.; Danso, F.; Zhang, N.; Zhang, J.; Zhang, K.; Dong, W.; Lu, C.; Zhang, X.; Li, G.; Raheem, A.; et al. Integrated Effects of Straw Incorporation and N Application on Rice Yield and Greenhouse Gas Emissions in Three Rice-Based Cropping Systems. Agronomy 2024, 14, 490. [Google Scholar] [CrossRef]
- Zhang, L.; Xue, W.; Sun, H.; Hu, Y.; Wu, R.; Tian, Y.; Chen, Y.; Ma, L.; Chen, Q.; Du, Y.; et al. Can the Blended Application of Controlled-Release and Common Urea Effectively Replace the Common Urea in a Wheat–Maize Rotation System? A Case Study Based on a Long–Term Experiment. Plants 2023, 12, 4085. [Google Scholar] [CrossRef] [PubMed]










| Treatment | Maize Straw/ (kg·ha−1) | Urea Fertilizer/ (kg·ha−1) | CaH2PO4/ (kg·ha−1) | KCl/ (kg·ha−1) | Experimental Period |
|---|---|---|---|---|---|
| CF | / | 321.53 | 322.92 | 193.75 | 42 |
| CF-NOM | 4861.11 | 213.89 | 200.69 | 149.31 | 12 |
| NOM | 4861.11 | 213.89 | 200.69 | 149.31 | 42 |
| NOM-CF | / | 321.53 | 322.92 | 193.75 | 12 |
| HOM | 9722.22 | 106.94 | 78.47 | 104.17 | 42 |
| HOM-CF | / | 321.53 | 322.92 | 193.75 | 12 |
| Treatment | pH | BD (g cm−3) | SOC (g kg−1) | TN (g kg−1) | NH4+-N (mg kg−1) | NO3−-N (mg kg−1) | AP (mg kg−1) | AK (mg kg−1) |
|---|---|---|---|---|---|---|---|---|
| CF | 5.06 ± 0.09 a | 1.06 ± 0.03 a | 12.43 ± 0.48 b | 1.36 ± 0.09 b | 10.74 ± 1.38 a | 0.45 ± 0.20 a | 26.77 ± 3.27 a | 169.67 ± 10.11 b |
| CF-NOM | 5.13 ± 0.05 a | 0.96 ± 0.03 b | 15.47 ± 0.61 a | 1.78 ± 0.07 a | 14.70 ± 2.81 a | 0.79 ± 0.26 a | 18.23 ± 3.46 b | 242.67 ± 23.02 a |
| NOM | 5.12 ± 0.01 a | 0.95 ± 0.03 a | 15.60 ± 0.89 a | 1.63 ± 0.06 a | 12.18 ± 1.70 a | 1.89 ± 0.20 a | 14.10 ± 2.47 b | 234.33 ± 26.14 a |
| NOM-CF | 5.10 ± 0.04 a | 1.01 ± 0.03 a | 13.70 ± 0.85 a | 1.55 ± 0.03 a | 12.06 ± 0.98 a | 0.62 ± 0.14 b | 26.20 ± 2.26 a | 150.00 ± 12.58 b |
| HOM | 5.22 ± 0.02 a | 0.85 ± 0.03 b | 19.37 ± 1.07 a | 2.02 ± 0.11 a | 21.57 ± 2.15 a | 1.49 ± 0.15 a | 6.70 ± 0.90 b | 359.33 ± 22.10 a |
| HOM-CF | 5.19 ± 0.06 a | 0.97 ± 0.03 a | 14.53 ± 0.35 b | 1.64 ± 0.06 b | 20.07 ± 3.56 a | 0.40 ± 0.09 b | 18.33 ± 2.87 a | 207.67 ± 18.02 b |
Disclaimer/Publisher’s Note: The statements, opinions and data contained in all publications are solely those of the individual author(s) and contributor(s) and not of MDPI and/or the editor(s). MDPI and/or the editor(s) disclaim responsibility for any injury to people or property resulting from any ideas, methods, instructions or products referred to in the content. |
© 2025 by the authors. Licensee MDPI, Basel, Switzerland. This article is an open access article distributed under the terms and conditions of the Creative Commons Attribution (CC BY) license.
Share and Cite
Wang, Y.; Gao, Q.; Wang, T.; Sun, G.; Nie, S. Shifts in Fertilization Regime Alter Carbon Cycling in Paddy Soils: Linking the Roles of Microbial Community, Functional Genes, and Physicochemical Properties. Agronomy 2026, 16, 104. https://doi.org/10.3390/agronomy16010104
Wang Y, Gao Q, Wang T, Sun G, Nie S. Shifts in Fertilization Regime Alter Carbon Cycling in Paddy Soils: Linking the Roles of Microbial Community, Functional Genes, and Physicochemical Properties. Agronomy. 2026; 16(1):104. https://doi.org/10.3390/agronomy16010104
Chicago/Turabian StyleWang, Yuxin, Qinghong Gao, Tao Wang, Geng Sun, and San’an Nie. 2026. "Shifts in Fertilization Regime Alter Carbon Cycling in Paddy Soils: Linking the Roles of Microbial Community, Functional Genes, and Physicochemical Properties" Agronomy 16, no. 1: 104. https://doi.org/10.3390/agronomy16010104
APA StyleWang, Y., Gao, Q., Wang, T., Sun, G., & Nie, S. (2026). Shifts in Fertilization Regime Alter Carbon Cycling in Paddy Soils: Linking the Roles of Microbial Community, Functional Genes, and Physicochemical Properties. Agronomy, 16(1), 104. https://doi.org/10.3390/agronomy16010104

