In Vitro Phytochemical Profiling, and Antioxidant Activity Analysis of Callus and Cell Suspension Cultures of Washingtonia filifera Elicited with Chitosan
Abstract
1. Introduction
2. Materials and Methods
2.1. Plant Seed Sterilization and Germination
2.2. Callus Establishment
2.3. Establishment of Cell Suspension Culture and Growth Curve
2.4. Establishment of Callus and Cell Suspension with Elicitor
2.4.1. Preparation of Chitosan Elicitor
2.4.2. Establishment of Callus with Chitosan
2.4.3. Establishment of Cell Suspension with Chitosan
2.5. Extraction of Plant Materials
2.6. Total Flavonoid and Phenolic Content (TFC and TPC) Determination
2.7. Antioxidant Activity
2.8. Statistical Analysis
3. Results
3.1. Seed Germination
3.2. Callus Induction Under Different PGR Treatments
3.3. Multiple Regression Analysis for Callus Induction Under Different PGR Treatments
3.4. Cell Suspension Culture Growth Curve
3.5. Multiple Regression Analysis for FW of Cell Suspension Cultures During the 12 Weekly Culture Intervals
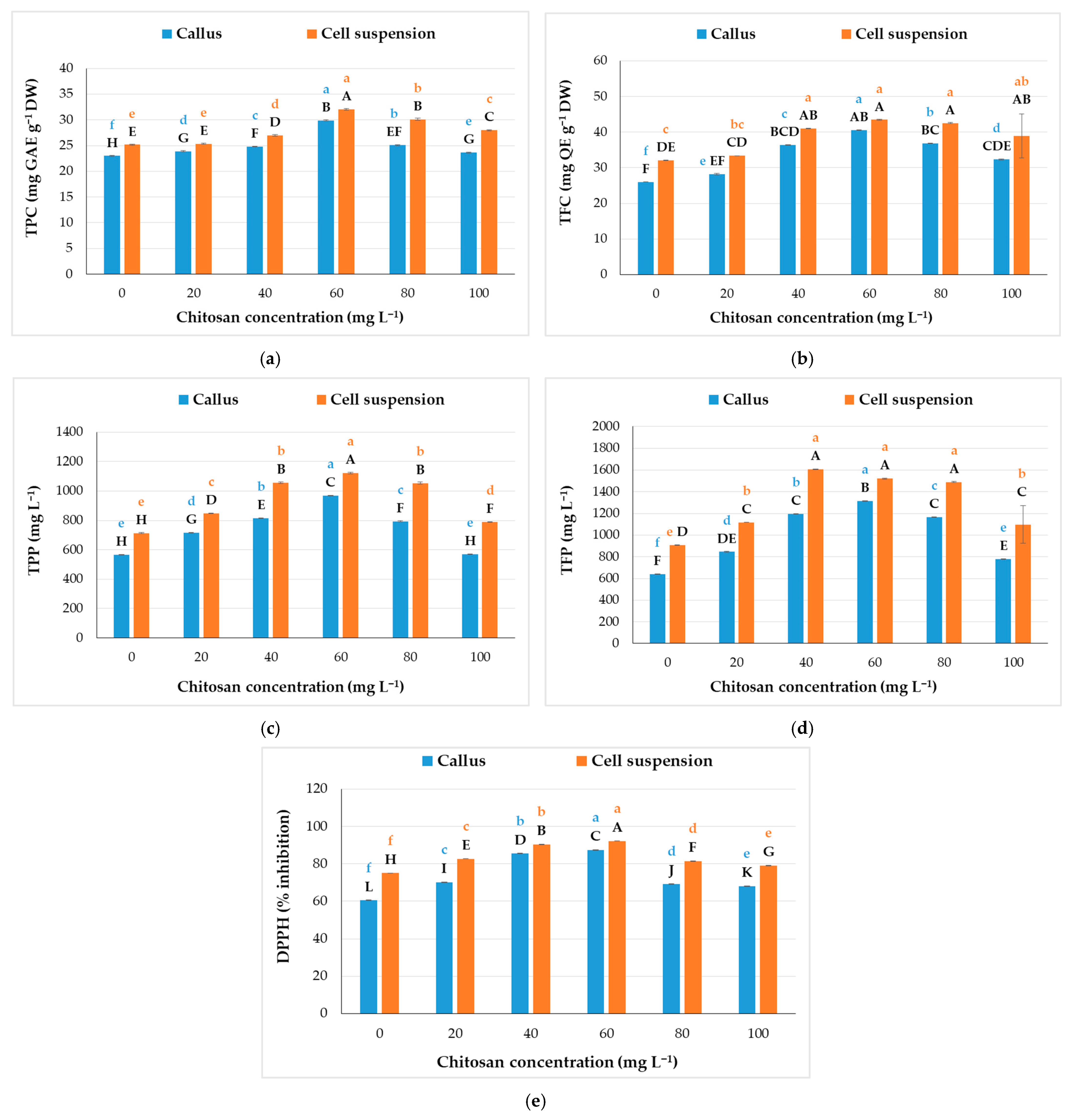
3.6. Biomass Growth and Phytochemical Profile of Chitosan-Elicited Callus/Cell Suspension Cultures
3.7. Multiple Pearson Correlation Analysis in Chitosan-Elicited Callus and Cell Suspension Cultures
3.8. Multiple Regression Analysis in Callus/Cell Suspension Cultures Elicited with Chitosan
3.9. PCA in Callus and Cell Suspension Cultures Elicited with Chitosan
3.10. Hierarchical Cluster Analysis in Callus and Cell Suspension Cultures Elicited with Chitosan
4. Discussion
4.1. Seed Germination
4.2. Callus Morphology (Color, Texture) Under Different PGRs in Medium
4.3. Callus Induction
4.4. Cell Suspension Growth Curve
4.5. Biomass Growth and Phytochemical Profile of In Vitro Cultures Elicited with Chitosan
5. Conclusions
Supplementary Materials
Author Contributions
Funding
Data Availability Statement
Acknowledgments
Conflicts of Interest
Abbreviations
| FW | Fresh Weight |
| DW | Dry Weight |
| TPC | Total Phenolic Content |
| TFC | Total Flavonoid Content |
| TPP | Total Phenolic Productivity |
| TFP | Total Flavonoid Productivity |
| DPPH | 1,1-DiPhenyl-2-PicrylHydrazyl |
| PGRs | Plant Growth Regulators |
| 2,4-D | 2,4-Dichlorophenoxy Acetic Acid |
| IAA | Indole-3-acetic Acid |
| NAA | α-Naphthalene Acetic Acid |
| Kin | Kinetin |
| BAP | 6-Benzylaminopourine |
| 2ip | N6-[A2 isopentyl] adenine |
| MS | Murashige–Skoog |
| SMs | Secondary Metabolites |
| DMSO | Dimethyl Sulfoxide |
| GAE | Gallic Acid Equivalent |
| QE | Quercetin Equivalent |
| HCL | Hydrochloric Acid |
| ANOVA | Analysis of Variance |
| PCA | Principal Component Analysis |
| R | Multiple Correlation Coefficient |
| R2 | Coefficient of Determination |
| r | Pearson Correlation Coefficient |
| min | Minutes |
| % | Percentage |
| mg | Milligram |
| mm | Millimeters |
| rpm | Rotations Per Minute |
| LED | Light Emitting Diodes |
| NaOH | Sodium Hydroxide |
| AlCl3 | Aluminum Trichloride |
References
- Ahmad, I.; Saeed, H.A.U.R.; Khan, M.A.S. Ornamental horticulture: Economic importance, current scenario and future prospects. In Etiology And Integrated Management of Economically Important Fungal Diseases of Ornamental Palms. Sustainability in Plant and Crop Protection; Ul Haq, I., Ijaz, S., Eds.; Springer: Cham, Switzerland, 2020; Volume 16, pp. 3–40. [Google Scholar] [CrossRef]
- Villanueva-Almanza, L.; Landis, J.B.; Koenig, D.; Ezcurra, E. Genetic and morphological differentiation in Washingtonia (Arecaceae): Solving a century-old palm mystery. Bot. J. Linn. Soc. 2021, 196, 506–523. [Google Scholar] [CrossRef]
- Pittenger, D.R.; Downer, A.J.; Hodel, D.R.; Mochizuki, M. Estimating water needs of landscape palms in Mediterranean climates. HortTechnology 2009, 19, 700–704. [Google Scholar] [CrossRef]
- DeMason, D.A. Endosperm structure and storage reserve histochemistry in the palm, Washingtonia filifera. Am. J. Bot. 1986, 73, 1332–1340. [Google Scholar] [CrossRef]
- Alpresem, W.F.; Al-Showily, A.K.N.; Alnajjar, M.A. Detection of medicinally effective compounds in two genera of ornamental palm leaves and roots (Washingtonia filifera and Phoenix sp.). IOP Conf. Ser. Earth Environ. Sci. 2025, 1487, 012047. [Google Scholar] [CrossRef]
- Abutaha, N.; Al-Mekhlafi, F.A.; Alsayadi, A.I.; Wadaan, M.A. ROS-dependent apoptotic effect of Washingtonia filifera H. Wendl. extracts on human breast cancer cell MCF-7. Appl. Biol. Res. 2022, 24, 175–183. [Google Scholar] [CrossRef]
- Abutaha, N.; Al-Mekhlafi, F.A.; Wadaan, M.A. Phytochemical analysis and antibacterial activity of Washingtonia filifera (Lindl.) H. Wendl. fruit extract from Saudi Arabia. J. King Saud. Univ. Sci. 2023, 35, 102899. [Google Scholar] [CrossRef]
- Dewir, Y.H.; El-Mahrouk, M.E.; Seliem, M.K.; Murthy, H.N. Bioactive compounds of California fan palm Washingtonia filifera (Linden ex André) H. Wendl. ex de Bary. In Bioactive Compounds in Underutilized Fruits and Nuts; Murthy, H., Bapat, V., Eds.; Springer: Cham, Switzerland, 2019; pp. 1–12. [Google Scholar] [CrossRef]
- Nehdi, I.A. Characteristics and composition of Washingtonia filifera (Linden ex André) H. Wendl. seed and seed oil. Food Chem. 2011, 126, 197–202. [Google Scholar] [CrossRef]
- El-Beeh, M.E.; El-Badawi, A.A.; Qari, S.H.; Ramadan, M.F.; Filfilan, W.M. Protective and health-promoting impact of Washingtonia filifera oil on the kidney of STZ-induced diabetic mice. Appl. Biol. Chem. 2022, 65, 41. [Google Scholar] [CrossRef]
- Wijerathna-Yapa, A.; Hiti-Bandaralage, J.; Pathirana, R. Harnessing metabolites from plant cell tissue and organ culture for sustainable biotechnology. Plant. Cell Tiss. Organ. Cult. 2025, 162, 55. [Google Scholar] [CrossRef]
- Hussain, M.S.; Fareed, S.; Ansari, S.; Rahman, M.A.; Ahmad, I.Z.; Saeed, M. Current approaches toward production of secondary plant metabolites. J. Pharm. Bioallied Sci. 2012, 4, 10–20. [Google Scholar] [CrossRef] [PubMed]
- Indu, B.K.; Balasubramanya, S.; Anuradha, M.; Shilpa, P. Callus and cell suspension cultures for secondary metabolite production. In In Vitro Production of Plant Secondary Metabolites: Theory and Practice; Anuradha, M., Balasubramanya, S., Eds.; Springer: Singapore, 2025; pp. 71–88. [Google Scholar] [CrossRef]
- Al-Khayri, J.M. Determination of the date palm cell suspension growth curve, optimum plating efficiency, and influence of liquid medium on somatic embryogenesis. Emir. J. Food Agric. 2012, 24, 444–455. [Google Scholar]
- Babu, R.S.H.; Srilatha, V.; Joshi, V. Plant growth regulators. In Plant Growth Regulators in Tropical and Sub-Tropical Fruit Crops, 1st ed.; Babu, R.S.H., Srilatha, V., Joshi, V., Eds.; CRC Press: London, UK, 2022; pp. 1–13. [Google Scholar] [CrossRef]
- El Hadrami, A.; Adam, L.R.; El Hadrami, I.; Daayf, F. Chitosan in plant protection. Mar. Drugs 2010, 8, 968–987. [Google Scholar] [CrossRef]
- Khalifa, A.M.; Eid, M.A.; Gaafar, R.M.; Saad-Allah, K.M.; Gad, D. Induction of bioactive constituents and antioxidant enzyme activities in Achillea fragrantissima (Forskal) callus cultures using ZnO nanoparticles. Vitr. Cell. Dev. Biol.-Plant 2023, 59, 808–824. [Google Scholar] [CrossRef]
- Talukder, P.; Talapatra, S.; Ghoshal, N.; Sen Raychaudhuri, S. Antioxidant activity and high-performance liquid chromatographic analysis of phenolic compounds during in vitro callus culture of Plantago ovata Forsk. and effect of exogenous additives on accumulation of phenolic compounds. J. Sci. Food Agric. 2016, 96, 232–244. [Google Scholar] [CrossRef] [PubMed]
- Chakraborty, M.; Hasanuzzaman, M.; Rahman, M.; Khan, M.A.R.; Bhowmik, P.; Mahmud, N.U.; Tanveer, M.; Islam, T. Mechanism of plant growth promotion and disease suppression by chitosan biopolymer. Agriculture 2020, 10, 624. [Google Scholar] [CrossRef]
- Al-Khayri, J.M.; Naik, P.M. Elicitor-induced production of biomass and pharmaceutical phenolic compounds in cell suspension culture of date palm (Phoenix dactylifera L.). Molecules 2020, 25, 4669. [Google Scholar] [CrossRef] [PubMed]
- Mahood, H.E.; Sarropoulou, V.; Tzatzani, T.T.; Javed, M.U.; Abbasi, B.A. Biomass and polyphenolic enhancement in date palm (Phoenix dactylifera L.) callus cultures through Fusarium oxysporum elicitation. Plant Cell Tissue Organ Cult. 2024, 159, 76. [Google Scholar] [CrossRef]
- Albushmainah, H.S.; Al-Rekaby, L.S.; Musa, A.J. Impact of jasmonic acid and selected grow regulators on the in vitro biosynthesis of secondary metabolic products in Phoenix dactylifera L. cv. Barhi assessed by GC-MS. IOP Conf. Ser. Earth Environ. Sci. 2025, 1538, 012039. [Google Scholar] [CrossRef]
- Murashige, T.; Skoog, F. A revised medium for rapid growth and bioassays with tobacco tissue cultures. Physiol. Plant 1962, 15, 473–497. [Google Scholar] [CrossRef]
- Vanda, H.; Verpoorte, R.; Klinkhamer, P.G.L.; Choi, Y.H. Natural deep eutectic solvents: From their discovery to their applications. In Deep Eutectic Solvents: Synthesis, Properties, and Applications, 1st ed.; Ramón, D.J., Guillena, G., Eds.; Wiley-VCH Verlag GmbH & Co., KGaA: Boschstr, Germany, 2019; pp. 61–81. [Google Scholar] [CrossRef]
- Selim, Y.A.; Azb, M.A.; Ragab, I.; Abd El-Azim, M.H.M. Green synthesis of zinc oxide nanoparticles using aqueous extract of Deverra tortuosa and their cytotoxic activities. Sci. Rep. 2020, 10, 3445. [Google Scholar] [CrossRef]
- Mahood, H.E.; Dahham, A.A.; Sarropoulou, V.; Tzatzani, T.T. Extraction of phenolic and flavonoid compounds and evaluation of their antioxidant activity in saffron anthers (Crocus sativus L.). Not. Sci. Biol. 2023, 15, 11640. [Google Scholar] [CrossRef]
- Mahood, H.E.; Sarropoulou, V. Growth, yield and phenolic compounds in okra (Abelmoschus esculentus) with culture condition and germination of seeds elicited by gamma radiation. Int. J. Veg. Sci. 2025, 31, 376–408. [Google Scholar] [CrossRef]
- Lamont, B.B.; Pausas, J.G. Seed dormancy revisited: Dormancy-release pathways and environmental interactions. Funct. Ecol. 2023, 37, 1106–1125. [Google Scholar] [CrossRef]
- Al Zoubi, O.M. Effect of mechanical and chemical scarifications of date palm seeds (Phoenix dactylifera L.) on in vitro germination. Bulg. J. Agric. Sci. 2020, 26, 105–113. [Google Scholar]
- Al-Ahmad, H. In vitro decoated seed germination and seedling development for propagation of wild mandrake (Mandragora autumnalis Bertol.). Plants 2020, 9, 1339. [Google Scholar] [CrossRef]
- Pérez, H. Promoting germination in ornamental palm seeds through dormancy alleviation. HortTechnology 2009, 19, 682–685. [Google Scholar] [CrossRef]
- Floris, S.; Fais, A.; Rosa, A.; Piras, A.; Marzouki, H.; Medda, R.; González-Paramás, A.M.; Kumar, A.; Santos-Buelga, C.; Era, B. Phytochemical composition and the cholinesterase and xanthine oxidase inhibitory properties of seed extracts from the Washingtonia filifera palm fruit. RSC Adv. 2019, 9, 21278–21287. [Google Scholar] [CrossRef]
- Upretee, P.; Bandara, M.S.; Tanino, K.K. The role of seed characteristics on water uptake preceding germination. Seeds 2024, 3, 559–574. [Google Scholar] [CrossRef]
- Gianinetti, A.A. Travel through landscapes of seed dormancy. Plants 2023, 12, 3963. [Google Scholar] [CrossRef] [PubMed]
- Nautiyal, P.C.; Sivasubramaniam, K.; Dadlani, M. Seed dormancy and regulation of germination. In Seed Science and Technology; Dadlani, M., Yadava, D.K., Eds.; Springer: Singapore, 2023; pp. 39–66. [Google Scholar] [CrossRef]
- Wen, Z.; Lu, X.; Wen, J.; Wang, Z.; Chai, M. Physical seed dormancy in legumes: Molecular advances and perspectives. Plants 2024, 13, 1473. [Google Scholar] [CrossRef]
- Byregowda, R.; Nagarajappa, N.; Madhusudan, K.; Nagarathna, T.K.; Kesaratagi, S.A. Probing the impact of seed coat removal on the germination performance of bitter gourd (Momordica charantia) using an image analyzer. Seeds 2025, 4, 3. [Google Scholar] [CrossRef]
- Wei, Q.; Shan, S.; Zhao, S.; Liu, C.; Ge, F.; Cui, H.; Chen, F. Analysis of the factors affecting germination of Cnidium monnieri seeds and its endogenous inhibitory substances. Plants 2025, 14, 3801. [Google Scholar] [CrossRef]
- Suhartanto, B.; Astutik, M.; Umami, N.; Suseno, N.; Haq, M. The effect of explants and light conditions on callus induction of srikandi putih maize (Zea mays L.). IOP Conf. Ser. Earth Environ. Sci. 2022, 1001, 012006. [Google Scholar] [CrossRef]
- Shukla, R.; Dube, A.; Koshy, E. Production of high quality embryogenic callus of rice. Bioscan 2014, 9, 1077–1080. [Google Scholar]
- Echternacht-Ribeiro, I.G.; Castro, T.; Coelho, M.; Albarello, N. Effects of different factors on friable callus induction and establishment of cell suspension culture of Hovenia dulcis (Rhamnaceae). Rodriguésia 2021, 72, e00102020. [Google Scholar] [CrossRef]
- Mosoh, D.A.; Khandel, A.K.; Verma, S.K.; Vendrame, W.A. Optimizing callus induction and indirect organogenesis in nondormant corm explants of Gloriosa superba (L.) via media priming. Front. Hortic. 2024, 3, 1378098. [Google Scholar] [CrossRef]
- Fu, R.; Deng, Q.; Wang, J.; Li, Y.; Xu, L.; Tang, G.; Li, W.; Yu, X.; Xiang, L. Induction and transformation of friable callus in chrysanthemum ‘Jimba’. Horticulturae 2025, 11, 1267. [Google Scholar] [CrossRef]
- Kaňuková, Š.; Lenkavská, K.; Gubišová, M.; Kraic, J. Suspension culture of stem cells established of Calendula officinalis L. Sci. Rep. 2024, 14, 441. [Google Scholar] [CrossRef]
- Rakhimol, K.R. Casein stabilized metal and metal oxide nanoparticles for the efficient in vitro culturing of Scoparia dulcis L. J. Sib. Fed. Univ. Biol. 2022, 14, 498–509. [Google Scholar] [CrossRef]
- Ali, A.; Mashwani, Z.-U.-R.; Raja, N.I.; Mohammad, S.; Luna-Arias, J.P.; Ahmad, A.; Kaushik, P. Phytomediated selenium nanoparticles and light regimes elicited in vitro callus cultures for biomass accumulation and secondary metabolite production in Caralluma tuberculata. Front. Plant Sci. 2023, 14, 1253193. [Google Scholar] [CrossRef]
- Khan, S.; Al-Hashimi, A.; Nadeem, M.; Tarroum, M.; Salih, A.M.; Alsharif, N.A.; Al-Qurainy, F. Effect of biofabricated zinc oxide nanoparticles on callus and in vitro regenerated shoots of Reseda lutea, and assessment of biochemical responses, polyphenolic content, and genetic stability. Plant Signal. Behav. 2025, 20, 2558871. [Google Scholar] [CrossRef] [PubMed]
- Cheng, J.; Guo, F.; Liang, W.; Wang, H.; Chen, Y.; Dong, P. Callus culture system from Lonicera japonica Thunb anthers: Light quality effects on callus quality evaluation. Int. J. Mol. Sci. 2025, 26, 2351. [Google Scholar] [CrossRef]
- Huong, L.T.L.; Baiocco, M.; Huy, B.P.; Mezzetti, B.; Santilocchi, R.; Rosati, P. Somatic embryogenesis in Canary Island date palm. Plant Cell Tissue Organ Cult. 1999, 56, 1–7. [Google Scholar] [CrossRef]
- Veramendi, J.; Navarro, L. Influence of physical conditions of nutrient medium and sucrose on somatic embryogenesis of date palm. Plant Cell Tissue Organ Cult. 1996, 45, 159–164. [Google Scholar] [CrossRef]
- Riyadi, I.; Tahardi, J.S.T.; Sumaryono. The development of somatic embryos of sago palm (Metroxylon sagu Rottb.) on solid media. Menara Perkeb. 2016, 73, 35–43. [Google Scholar] [CrossRef]
- Mahood, H.E.; Sarropoulou, V.; Javed, M.U. Enhanced production of scopolamine and atropine alkaloids in in vitro cell suspension cultures of Atropa belladonna L. under 2-iP, 2,4-D, and ornithine. Biotechnol. Bioproc Eng. 2025, 30, 214–233. [Google Scholar] [CrossRef]
- Hoque, A.; Nahar, A.; Razvy, M.A.; Biswas, M.K.; Kabir, A.H. Micropropagation of water chestnut (Trapa sp.) through local varieties of Rajshahi division. Asian J. Plant Sci. 2006, 5, 409–413. [Google Scholar] [CrossRef]
- Noor, W.; Lone, R.; Kamili, A.N.; Husaini, A.M. Callus induction and regeneration in high-altitude Himalayan rice genotype SR4 via seed explant. Biotechnol. Rep. 2022, 36, e00762. [Google Scholar] [CrossRef] [PubMed]
- George, E.F.; Hall, M.A.; De Klerk, G. Plant Propagation by Tissue Culture, 3rd ed.; Springer: Berlin, Germany, 2008; pp. 1–6. [Google Scholar] [CrossRef]
- Coronel Montesdeoca, N.T.; Jácome Sarchi, G.A.; Martínez, R.; Hernández, F. In vitro techniques to domesticate mortiño (Vaccinium floribundum Kunth) and other Vaccinium species: A review. Plants 2025, 14, 1596. [Google Scholar] [CrossRef]
- Okello, D.; Yang, S.; Komakech, R.; Chung, Y.; Rahmat, E.; Gang, R.; Omujal, F.; Lamwaka, A.V.; Kang, Y. Indirect in vitro regeneration of the medicinal plant, Aspilia africana, and histological assessment at different developmental stages. Front. Plant Sci. 2021, 12, 797721. [Google Scholar] [CrossRef]
- Mathew, R.; Sankar, D.P. Effect of methyl jasmonate and chitosan on growth characteristics of Ocimum basilicum L., Ocimum sanctum L. and Ocimum gratissimum L. cell suspension cultures. Afr. J. Biotechnol. 2012, 11, 4759–4766. [Google Scholar] [CrossRef]
- Kaya, N. The effect of some plant growth regulators on cell biomass in the cell suspension culture of Calendula officinalis L. and Calendula arvensis L. species. Int. J. Sci. Res. 2019, 8, 1719–1728. [Google Scholar]
- Mahood, H.E.; Sarropoulou, V.; Tzatzani, T.T. Effect of explant type (leaf, stem) and 2,4-D concentration on callus induction: Influence of elicitor type (biotic, abiotic), elicitor concentration and elicitation time on biomass growth rate and costunolide biosynthesis in gazania (Gazania rigens) cell suspension cultures. Bioresour. Bioprocess. 2022, 9, 100. [Google Scholar] [CrossRef] [PubMed]
- Naik, P.M.; Al-Khayri, J.M. Extraction and estimation of secondary metabolites from date palm cell suspension cultures. In Date Palm Biotechnology Protocols Volume I. Methods in Molecular Biology; Al-Khayri, J., Jain, S., Johnson, D., Eds.; Humana Press: New York, NY, USA, 2017; Volume 1637, pp. 319–332. [Google Scholar] [CrossRef]
- Naik, P.; Al-Khayri, J. Cell suspension culture as a means to produce polyphenols from date palm (Phoenix dactylifera L.). Ciênc Agrotecnologia 2018, 42, 464–473. [Google Scholar] [CrossRef]
- Leventić, M.; Mišković Špoljarić, K.; Vojvodić, K.; Kovačević, N.; Obradović, M.; Opačak-Bernardi, T. The response of cell cultures to nutrient- and serum-induced changes in the medium. Sci 2025, 7, 105. [Google Scholar] [CrossRef]
- Menbari, A.; Bahramnejad, B.; Abuzaripoor, M.; Shahmansouri, E.; Zarei, M.A. Establishment of callus and cell suspension cultures of Granny Smith apple fruit and antityrosinase activity of their extracts. Sci. Hortic. 2022, 286, 110222. [Google Scholar] [CrossRef]
- Häkkinen, S.T.; Legay, S.; Rischer, H.; Renaut, J.; Guerriero, G. Editorial: Plant cell factories: Current and future uses of plant cell cultures. Front. Plant Sci. 2024, 15, 1439261. [Google Scholar] [CrossRef]
- Khan, T.; Khan, T.; Hano, C.; Abbasi, B.H. Effects of chitosan and salicylic acid on the production of pharmacologically attractive secondary metabolites in callus cultures of Fagonia indica. Ind. Crops Prod. 2019, 129, 525–535. [Google Scholar] [CrossRef]
- Elbouzidi, A.; Taibi, M.; Baraich, A.; Haddou, M.; Mothana, R.A.; Alsufyani, S.A.; Darwish, H.W.; Molinié, R.; Fontaine, J.X.; Fliniaux, O.; et al. Elicitor-driven enhancement of phenolic compounds in geranium callus cultures: Phytochemical profiling via LC-MS/MS and biological activities. Front. Chem. 2025, 13, 1537877. [Google Scholar] [CrossRef]
- Elateeq, A.A.; Saad, Z.H.; Eissa, M.A.; Ullah, S. Effect of chitosan and light conditions on the production of callus biomass, total flavonoids and total phenolics in Ginkgo biloba L. Al-Azhar J. Agric. Res. 2021, 46, 28–42. [Google Scholar] [CrossRef]
- Javed, M.U.; Mahmood, T.; Khan, U.A.; Alvi, Z.A.; Zaman, G.; Khurshid, R.; Giglioli-Guivarch, N.; Williams, C.B.; Courdavault, V.; Abbasi, B.H. Chitosan-mediated elicitation of secondary metabolism in Rhazya stricta and the in-silico exploration of phytochemicals as potential drug candidates against H1299-NSLC cell lines. Ind. Crops Prod. 2025, 224, 120180. [Google Scholar] [CrossRef]
- Shah, M.; Jan, H.; Drouet, S.; Tungmunnithum, D.; Shirazi, J.H.; Hano, C.; Abbasi, B.H. Chitosan elicitation impacts flavonolignan biosynthesis in Silybum marianum (L.) Gaertn cell suspension and enhances antioxidant and anti-inflammatory activities of cell extracts. Molecules 2021, 26, 791. [Google Scholar] [CrossRef]
- Ahmad, W.; Zahir, A.; Nadeem, M.; Garros, L.; Drouet, S.; Renouard, S.; Doussot, J.; Giglioli-Guivarćh, N.; Hano, C.; Abbasi, B.H. Enhanced production of lignans and neolignans in chitosan-treated flax (Linum usitatissimum L.) cell cultures. Process Biochem. 2019, 79, 155–165. [Google Scholar] [CrossRef]
- Zhao, J.L.; Zhou, L.G.; Wu, J.Y. Effects of biotic and abiotic elicitors on cell growth and tanshinone accumulation in Salvia miltiorrhiza cell cultures. Appl. Microbiol. Biotechnol. 2010, 87, 137–144. [Google Scholar] [CrossRef]
- Abdollahpoor, M.; Kalantari, S.; Azizi, M.; Saadat, Y.A. Effects of methyl jasmonate and chitosan on shoot and callus growth of Iranian Hypericum perforatum L. in vitro cultures. J. Med. By-Prod. 2017, 2, 165–172. [Google Scholar]
- Roy Chowdhury, M.; Mehmet, M.; Mukherjee, J.; Debnath, A.J.; Ražná, K. Chitosan as an elicitor in plant tissue cultures: Methodological challenges. Molecules 2025, 30, 3476. [Google Scholar] [CrossRef]
- Humbal, A.; Pathak, B. Influence of exogenous elicitors on the production of secondary metabolite in plants: A review (“VSI: Secondary metabolites”). Plant Stress 2023, 8, 100166. [Google Scholar] [CrossRef]
- Salimgandomi, S.; Shabrangy, A. The effect of chitosan on antioxidant activity and some secondary metabolites of Mentha piperita L. J. Pharm. Health Sci. 2016, 4, 135–142. [Google Scholar]
- Udomsin, O.; Yusakul, G.; Kraithong, W.; Udomsuk, L.; Kitisripanya, T.; Juengwatanatrakul, T.; Putalun, W. Enhanced accumulation of high-value deoxymiroestrol and isoflavonoids using hairy root as a sustainable source of Pueraria candollei var. mirifica. Plant Cell Tissue Organ Cult. 2019, 13, 141–151. [Google Scholar] [CrossRef]
- Strzemski, M.; Dresler, S.; Hawrylak-Nowak, B.; Tkaczyk, P.; Kulinowska, M.; Feldo, M.; Maggi, F.; Hanaka, A. Chitosan elicitation enhances biomass and secondary metabolite production in Carlina acaulis L. Sci. Rep. 2025, 15, 23411. [Google Scholar] [CrossRef]
- Halka, J.; Saravanan, K.; Vidya, N.; Kowsalya, K.; Senthilvelan, T.; Gurusaravanan, P.; Vijaya Anand, A.V.; Arun, M. Current elicitation strategies for improving secondary metabolites in medicinal plants with antiallergy properties. In Biotechnology of Medicinal Plants with Anti-Allergy Properties; Gantait, S., Majumder, J., Sharangi, A.B., Eds.; Springer: Singapore, 2024; pp. 409–432. [Google Scholar] [CrossRef]
- Orcan, P.; Orcan, M.Y. Insights into total phenolic, flavonoid, and antioxidant activity of callus subculture frequency in rare endemic Ajuga xylorrhiza Kit Tan. Sci. Rep. 2024, 14, 31720. [Google Scholar] [CrossRef]
- Rybin, D.A.; Sukhova, A.A.; Syomin, A.A.; Zdobnova, T.A.; Berezina, E.V.; Brilkina, A.A. Characteristics of callus and cell suspension cultures of highbush blueberry (Vaccinium corymbosum L.) cultivated in the presence of different concentrations of 2,4-D and BAP in a nutrient medium. Plants 2024, 13, 3279. [Google Scholar] [CrossRef]
- Twaij, B.M.; Hasan, M.N. Bioactive secondary metabolites from plant sources: Types, synthesis, and their therapeutic uses. Int. J. Plant Biol. 2022, 13, 4–14. [Google Scholar] [CrossRef]
- Mamdouh, D.; Smetanska, I. Optimization of callus and cell suspension cultures of Lycium schweinfurthii for improved production of phenolics, flavonoids, and antioxidant activity. Horticulturae 2022, 8, 394. [Google Scholar] [CrossRef]
- Fazili, M.A.; Bashir, I.; Ahmad, M.; Yaqoob, U.; Geelani, S.N. In vitro strategies for the enhancement of secondary metabolite production in plants: A review. Bull. Natl. Res. Cent. 2022, 46, 35. [Google Scholar] [CrossRef]
- Shukla, P.K.; Pulamolu, R.K.; Misra, P.S.N. Integrative approaches for enhanced secondary metabolite production. In Ethnopharmacology and OMICS Advances in Medicinal Plants; Nandave, M., Joshi, R., Upadhyay, J., Eds.; Springer: Singapore, 2024; Volume 1, pp. 331–371. [Google Scholar] [CrossRef]
- Martínez-Chávez, L.A.; Hernández-Ramírez, M.Y.; Feregrino-Pérez, A.A.; Esquivel Escalante, K. Cutting-edge strategies to enhance bioactive compound production in plants: Potential value of integration of elicitation, metabolic engineering, and green nanotechnology. Agronomy 2024, 14, 2822. [Google Scholar] [CrossRef]
- Erb, M.; Kliebenstein, D.J. Plant secondary metabolites as defenses, regulators, and primary metabolites: The blurred functional trichotomy. Plant Physiol. 2020, 184, 39–52. [Google Scholar] [CrossRef]
- Anjum, S.; Abbasi, B.; Hano, C. Trends in accumulation of pharmacologically important antioxidant-secondary metabolites in callus cultures of Linum usitatissimum L. Plant Cell Tissue Organ Cult. 2017, 129, 73–87. [Google Scholar] [CrossRef]
- Nazir, M.; Ullah, M.A.; Younas, M.; Siddiquah, A.; Shah, M.; Giglioli-Guivarc’h, N.; Hano, C.; Abbasi, B. Light-mediated biosynthesis of phenylpropanoid metabolites and antioxidant potential in callus cultures of purple basil (Ocimum basilicum L. var purpurascens). Plant Cell Tissue Organ Cult. 2020, 142, 107–120. [Google Scholar] [CrossRef]
- Torres-Añorve, D.; Sandoval, G. Comparative analysis of the biomass production and nutritional profiles of two wild-type strains of Yarrowia lipolytica. Appl. Microbiol. 2025, 5, 77. [Google Scholar] [CrossRef]
- Wanyo, P.; Chamsai, T.; Toontom, N.; Nghiep, L.K.; Tudpor, K. Evaluation of in vitro digested mulberry leaf tea Kombucha: A functional fermented beverage with antioxidant, anti-inflammatory, antihyperglycemic, and antihypertensive potentials. Fermentation 2025, 11, 258. [Google Scholar] [CrossRef]
- Hazrati, R.; Zare, N.; Asghari-Zakaria, R.; Sheikhzadeh, P.; Johari-Ahar, M. Factors affecting the growth, antioxidant potential, and secondary metabolites production in hazel callus cultures. AMB Exp. 2022, 12, 109. [Google Scholar] [CrossRef] [PubMed]
- Vilvert, J.C.; de Freitas, S.T.; Ferreira, M.A.R.; Costa, C.d.S.R.; Leite, R.H.d.L.; dos Santos, F.K.G.; Aroucha, E.M.M. Preservation of quality and bioactive compounds in mangoes using chitosan-grapheneoxide-based biodegradable packaging. Horticulturae 2023, 9, 1145. [Google Scholar] [CrossRef]
- Li, R.; Ru, Y.; Feng, L.; Wang, Z.; He, X.; Zhang, X. A comparative study of nutrient composition, bioactive properties and phytochemical characteristics of Stauntonia obovatifoliola flesh and pericarp. Front Nutr. 2022, 9, 1013971. [Google Scholar] [CrossRef]
- Kolarević, T.; Milinčić, D.D.; Vujović, T.; Gašić, U.M.; Prokić, L.; Kostić, A.Ž.; Cerović, R.; Stanojevic, S.P.; Tešić, Ž.L.; Pešić, M.B. Phenolic compounds and antioxidant properties of field-grown and in vitro leaves, and calluses in blackberry and blueberry. Horticulturae 2021, 7, 420. [Google Scholar] [CrossRef]
- Woch, N.; Laha, S.; Gudipalli, P. Salicylic acid and jasmonic acid induced enhanced production of total phenolics, flavonoids, and antioxidant metabolism in callus cultures of Givotia moluccana (L.) Sreem. Vitr. Cell. Dev. Biol.-Plant 2023, 59, 227–248. [Google Scholar] [CrossRef]
- Era, B.; Floris, S.; Sogos, V.; Porcedda, C.; Piras, A.; Medda, R.; Fais, A.; Pintus, F. Anti-aging potential of extracts from Washingtonia filifera seeds. Plants 2021, 10, 151. [Google Scholar] [CrossRef]
- Aati, H.Y.; Anwar, M.; Al-Qahtani, J.; Al-Taweel, A.; Khan, K.U.; Aati, S.; Usman, F.; Ghalloo, B.A.; Asif, H.M.; Shirazi, J.H.; et al. Phytochemical profiling, in vitro biological activities, and in-silico studies of Ficus vasta Forssk.: An unexplored plant. Antibiotics 2022, 11, 1155. [Google Scholar] [CrossRef] [PubMed]











Disclaimer/Publisher’s Note: The statements, opinions and data contained in all publications are solely those of the individual author(s) and contributor(s) and not of MDPI and/or the editor(s). MDPI and/or the editor(s) disclaim responsibility for any injury to people or property resulting from any ideas, methods, instructions or products referred to in the content. |
© 2025 by the authors. Licensee MDPI, Basel, Switzerland. This article is an open access article distributed under the terms and conditions of the Creative Commons Attribution (CC BY) license.
Share and Cite
Mahood, H.E.; Sarropoulou, V.; Tsapraili, T.; Tzatzani, T.-T. In Vitro Phytochemical Profiling, and Antioxidant Activity Analysis of Callus and Cell Suspension Cultures of Washingtonia filifera Elicited with Chitosan. Agronomy 2026, 16, 106. https://doi.org/10.3390/agronomy16010106
Mahood HE, Sarropoulou V, Tsapraili T, Tzatzani T-T. In Vitro Phytochemical Profiling, and Antioxidant Activity Analysis of Callus and Cell Suspension Cultures of Washingtonia filifera Elicited with Chitosan. Agronomy. 2026; 16(1):106. https://doi.org/10.3390/agronomy16010106
Chicago/Turabian StyleMahood, Huda Enaya, Virginia Sarropoulou, Thalia Tsapraili, and Thiresia-Teresa Tzatzani. 2026. "In Vitro Phytochemical Profiling, and Antioxidant Activity Analysis of Callus and Cell Suspension Cultures of Washingtonia filifera Elicited with Chitosan" Agronomy 16, no. 1: 106. https://doi.org/10.3390/agronomy16010106
APA StyleMahood, H. E., Sarropoulou, V., Tsapraili, T., & Tzatzani, T.-T. (2026). In Vitro Phytochemical Profiling, and Antioxidant Activity Analysis of Callus and Cell Suspension Cultures of Washingtonia filifera Elicited with Chitosan. Agronomy, 16(1), 106. https://doi.org/10.3390/agronomy16010106

