Water-Saving and Yield-Increasing Strategies for Maize Under Drip Irrigation and Straw Mulching in Semi-Arid Regions
Abstract
1. Introduction
2. Materials and Methods
2.1. Experimental Site Overview
2.2. Experimental Layout
2.3. Measurement Indicators and Methods
2.3.1. Agronomic Trait Measurement of Maize
2.3.2. Leaf Photosynthesis
2.3.3. Yield and Its Components
2.3.4. Water Utilization Characteristics
2.4. Statistical Analysis
3. Results
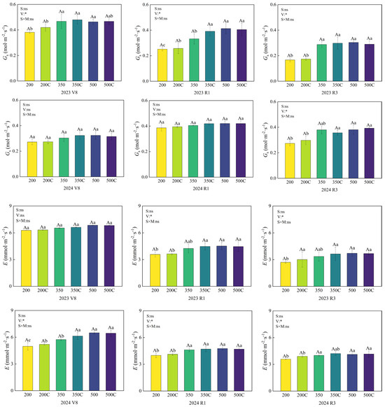
3.1. Photosynthesis-Related Parameters
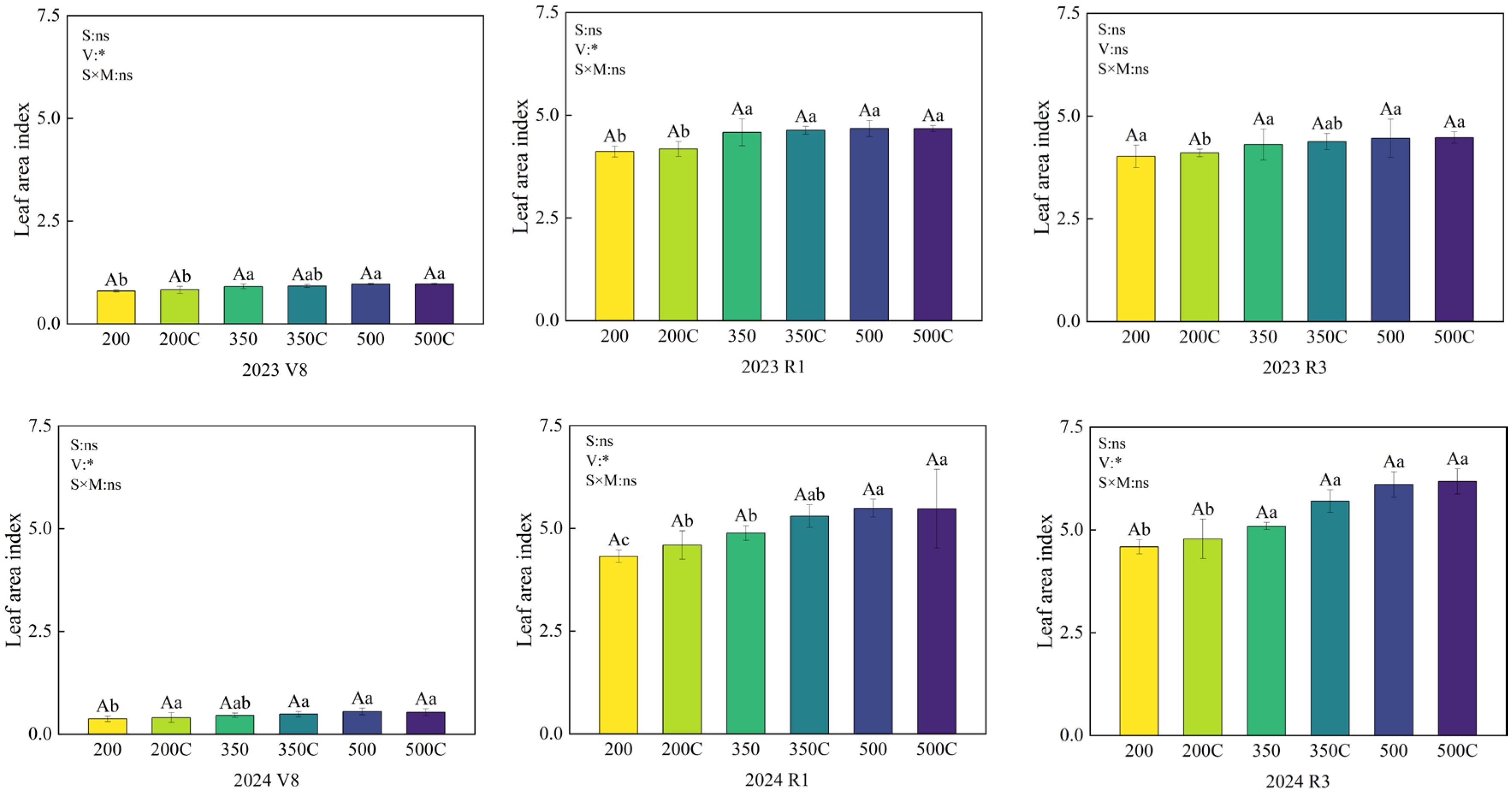
3.2. Plant Growth and Development
3.3. Yield and Its Components
3.4. Water-Use Characteristics
3.5. Correlation Analysis
4. Discussion
4.1. Effects of Drip Irrigation and Straw Return Interactions on Maize Photosynthesis-Related Parameters
4.2. Effects of Drip Irrigation and Straw Return Interactions on Maize Growth and Development Indexes
4.3. Effects of Drip Irrigation and Straw Returning on Maize Yield and Its Composition Factors
4.4. Effect of Drip Irrigation and Straw Return Interactions on Water-Use Characteristics of Maize
5. Conclusions
Supplementary Materials
Author Contributions
Funding
Data Availability Statement
Acknowledgments
Conflicts of Interest
References
- Cui, Z.L.; Zhang, H.Y.; Chen, X.P.; Zhang, C.C.; Ma, W.Q.; Huang, C.D.; Zhang, W.F.; Mi, G.H.; Miao, Y.X.; Li, X.L.; et al. Pursuing sustainable productivity with millions of smallholder farmers. Nature 2018, 555, 363–366. [Google Scholar] [CrossRef]
- Ali, S.; Xu, Y.Y.; Ma, X.C.; Ahmad, I.; Kamran, M.; Dong, Z.Y.; Cai, T.; Jia, Q.M.; Ren, X.L.; Zhang, P.; et al. Planting patterns and deficit irrigation strategies to improve wheat production and water use efficiency under simulated rainfall conditions. Front. Plant Sci. 2017, 8, 1408. [Google Scholar] [CrossRef]
- Amelung, W.; Bossio, D.; Vries, W.D.; Kögel-Knabner, I.; Lehmann, J.; Amundson, R.; Bol, R.; Collins, C.; Lal, R.; Leifeld, J.; et al. Towards a global-scale soil climate mitigation strategy. Nat. Commun. 2020, 11, 5427. [Google Scholar] [CrossRef] [PubMed]
- Battaglia, M.; Thomason, W.; Fike, J.H.; Evanylo, G.K.; Cossel, M.V.; Babur, E.; Iqbal, Y.; Diatta, A.A. The broad impacts of corn stover and wheat straw removal for biofuel production on crop productivity, soil health and greenhouse gas emissions: A review. GCB Bioenergy 2020, 13, 45–57. [Google Scholar] [CrossRef]
- Bauer, A.; Black, A.L. Organic carbon effects on available water capacity of three soil textural groups. Soil Sci. Soc. Am. J. 1992, 56, 248–254. [Google Scholar] [CrossRef]
- Deng, X.-P.; Shan, L.; Zhang, H.; Turner, N.C. Improving agricultural water use efficiency in arid and semiarid areas of China. Agric. Water Manag. 2006, 80, 23–40. [Google Scholar] [CrossRef]
- Qin, X.L.; Li, Y.Z.; Han, Y.L.; Hu, Y.C.; Li, Y.J.; Wen, X.X.; Liao, Y.C.; Siddique, K.H.M. Ridge-furrow mulching with black plastic film improves maize yield more than white plastic film in dry areas with adequate accumulated temperature. Agric. Forest Meteorol. 2018, 262, 206–214. [Google Scholar] [CrossRef]
- Gan, Y.T.; Siddique, K.H.M.; Turner, N.C.; Li, X.G.; Niu, J.Y.; Yang, C.; Liu, L.P.; Chai, Q. Ridge-furrow mulching systems—An innovative technique for boosting crop productivity in semiarid rain-fed environments. Adv. Agron. 2013, 118, 429–476. [Google Scholar] [CrossRef]
- Li, Y.Z.; Song, D.P.; Dang, P.F.; Wei, L.; Qin, X.L.; Siddique, K.H.M. The effect of tillage on nitrogen use efficiency in maize (Zea mays L.) in a ridge–furrow plastic film mulch system. Soil Tillage Res. 2019, 195, 104409. [Google Scholar] [CrossRef]
- Yao, P.W.; Li, X.S.; Liu, J.C.; Shen, Y.F.; Yue, S.C.; Li, S.Q. The role of maize plants in regulating soil profile dynamics and surface emissions of nitrous oxide in a semiarid environment. Biol. Fert. Soils 2018, 54, 119–135. [Google Scholar] [CrossRef]
- Guan, X.K.; Wei, L.; Turner, N.C.; Ma, S.C.; Yang, M.D.; Wang, T.C. Improved straw management practices promote in situ straw decomposition and nutrient release, and increase crop production. J. Clean. Prod. 2020, 250, 119514. [Google Scholar] [CrossRef]
- Fang, Q.; Wang, J.; Yu, S. Water-saving potential and irrigation strategies for wheat-maize double cropping system in the North China Plain. Trans. Chin. Soc. Agric. Eng. 2011, 27, 37–44. [Google Scholar]
- Prosdocimi, M.; Jordán, A.; Tarolli, P.; Keesstra, S.; Novara, A.; Cerdà, A. The immediate effectiveness of barley straw mulch in reducing soil erodibility and surface runoff generation in Mediterranean vineyards. Sci. Total Environ. 2016, 27, 323–330. [Google Scholar] [CrossRef]
- Stagnari, F.; Galieni, A.; Speca, S.; Cafiero, G.; Pisante, M. Effects of straw mulch on growth and yield of durum wheat during transition to conservation agriculture in Mediterranean environment. Field Crops Res. 2014, 167, 51–63. [Google Scholar] [CrossRef]
- Fernández, C.; Vega, J.A. Are erosion barriers and straw mulching effective for controlling soil erosion after a high severity wildfire in NW Spain? Ecol. Eng. 2016, 87, 132–138. [Google Scholar] [CrossRef]
- Zhang, Y.F.; Li, H.W.; He, J.; Wang, Q.J.; Li, W.Y.; Chen, W.Z.; Zhang, X.Y. Effects of maize straw mulching on runoff and sediment process of slope. Trans. Chin. Soc. Agric. Eng. 2015, 31, 118–124. [Google Scholar]
- Wang, T.C.; Wei, L.; Wang, H.Z.; Ma, S.C.; Ma, B.L. Responses of rainwater conservation, precipitation-use efficiency and grain yield of summer maize to a furrow-planting and straw-mulching system in northern China. Field Crops Res. 2011, 124, 223–230. [Google Scholar] [CrossRef]
- Tao, Z.Q.; Li, C.F.; Li, J.J.; Ding, Z.S.; Xu, J.; Sun, X.F.; Zhou, P.L.; Zhao, M. Tillage and straw mulching impacts on grain yield and water use efficiency of spring maize in Northern Huang–Huai–Hai Valley. Crop J. 2015, 3, 445–450. [Google Scholar] [CrossRef]
- Qiao, Y.L.; Tie, J.Z.; Wang, X.H.; Wei, B.H.; Zhang, W.B.; Liu, Z.C.; Zhang, G.B.; Lyu, J.; Liao, W.B.; Hu, L.L.; et al. Comprehensive evaluation on effect of planting and breeding waste composts on the yield, nutrient utilization, and soil environment of baby cabbage. J. Environ. Manag. 2023, 341, 117941. [Google Scholar] [CrossRef]
- Zhang, Y.; Wang, G.S.; Liu, Y.W.; Xu, B.; Zheng, H.X.; Tian, D.L.; Guo, J.J.; Su, J.Z.; Ma, Z.W.; Zhou, F.X.; et al. Effects of Restricted Irrigation and Straw Mulching on Corn Quality, Soil Enzyme Activity, and Water Use Efficiency in West Ordos. Agronomy 2024, 14, 1691. [Google Scholar] [CrossRef]
- Kugedera, A.; Kokerai, L. A Review on the Effects of Mineral Fertilizer, Manure and Water Management in Improving Sorghum Grain Yields in Semi-Arid Areas. J. Plant Nutr. 2024, 47, 1175–1188. [Google Scholar] [CrossRef]
- Li, R.; Cui, R.M.; Jia, Z.K.; Han, Q.F.; Lu, W.T.; Hou, X.Q. Effects of different furrow-ridge mulching ways on soil moisture and water use efficiency of winter wheat. Sci. Agric. Sin. 2011, 44, 3312–3322. [Google Scholar] [CrossRef]
- Zhang, S.L.; Sadras, V.; Chen, X.P.; Zhang, F.S. Water use efficiency of dryland maize in the Loess Plateau of China in response to crop management. Field Crops Res. 2014, 163, 55–63. [Google Scholar] [CrossRef]
- Olesen, J.E.; Trnka, M.; Kersebaum, K.C.; Skjelvåg, A.O.; Seguin, B.; Peltonen-Sainio, P.; Rossi, F.; Kozyra, J.; Micale, F. Impacts and adaptation of European crop production systems to climate change. Eur. J. Agron. 2011, 34, 96–112. [Google Scholar] [CrossRef]
- Hann, E.C.; Overa, S.; Harland-Dunaway, M.; Narvaez, A.F.; Le, D.N.; Orozco-Cárdenas, M.L.; Jiao, F.; Jinkerson, R.E. A hybrid inorganic–biological artificial photosynthesis system for energy-efficient food production. Nat. Food 2022, 3, 461–471. [Google Scholar] [CrossRef]
- Zhang, P.; Wei, T.; Han, Q.F.; Ren, X.L.; Jia, Z.K. Effects of different film mulching methods on soil water productivity and maize yield in a semiarid area of China. Agric. Water Manag. 2020, 241, 106382. [Google Scholar] [CrossRef]
- Zhang, X.D.; Yang, L.C.; Xue, X.K.; Kamran, M.; Ahmad, I.; Dong, Z.Y.; Liu, T.N.; Jia, Z.K.; Zhang, P.; Han, Q.F. Plastic film mulching stimulates soil wet-dry alternation and stomatal behavior to improve maize yield and resource use efficiency in a semi-arid region. Field Crops Res. 2019, 233, 101–113. [Google Scholar] [CrossRef]
- Abdalla, M.; Ahmed, M.A.; Cai, G.C.; Wankmüller, F.; Schwartz, N.; Litig, O.; Javaux, M.; Carminati, A. Stomatal closure during water deficit is controlled by below-ground hydraulics. Ann. Bot. 2022, 129, 161–170. [Google Scholar] [CrossRef]
- Wang, H.; Biswas, S.; Han, Y.S.; Tomar, V. A phase field modeling based study of microstructure evolution and its influence on thermal conductivity in polycrystalline tungsten under irradiation. Comput. Mater. Sci. 2018, 150, 169–179. [Google Scholar] [CrossRef]
- Yan, S.C.; Wu, Y.; Fan, J.L.; Zhang, F.C.; Qiang, S.C.; Zheng, J.; Xiang, Y.Z.; Guo, J.J.; Zou, H.Y. Effects of water and fertilizer management on grain filling characteristics, grain weight and productivity of drip-fertigated winter wheat. Agric. Water Manag. 2019, 213, 983–995. [Google Scholar] [CrossRef]
- Kresović, B.; Tapanarova, A.; Tomić, Z.; Životić, L.; Vujović, D.; Sredojević, Z.; Gajić, B. Grain yield and water use efficiency of maize as influenced by different irrigation regimes through sprinkler irrigation under temperate climate. Agric. Water Manag. 2016, 169, 34–43. [Google Scholar] [CrossRef]
- Wang, Y.S.; Janz, B.; Engedal, T.; Neergaard, A.D. Effect of irrigation regimes and nitrogen rates on water use efficiency and nitrogen uptake in maize. Agric. Water Manag. 2017, 179, 271–276. [Google Scholar] [CrossRef]
- Fu, Y.X.; Xiao, W.X.; Tian, L.; Guo, L.X.; Ma, G.J.; Chen, J.; Huang, Y.C.; Wang, H.H.; Wu, X.G.; Yang, T.; et al. Spatial transcriptomics uncover sucrose post-phloem transport during maize kernel development. Nat. Commun. 2023, 14, 7191. [Google Scholar] [CrossRef] [PubMed]
- Wu, F.Q.; Yang, B.F.; Guo, S.M.; Huang, W.B.; Lei, Y.P.; Xiong, S.W.; Han, Y.C.; Wang, Z.B.; Feng, L.; Li, X.F.; et al. Products. Adopting different cotton cropping systems may regulate the spatiotemporal variation in soil moisture and affect the growth, WUE and yield of cotton. Ind. Crop Prod. 2022, 186, 115259. [Google Scholar] [CrossRef]
- Zribi, W.; Aragüés, R.; Medina, E.; Faci, J.M. Efficiency of inorganic and organic mulching materials for soil evaporation control. Soil Tillage Res. 2015, 148, 40–45. [Google Scholar] [CrossRef]
- Xu, J.; Han, H.F.; Ning, T.Y.; Li, Z.J.; Lal, R. Long-term effects of tillage and straw management on soil organic carbon, crop yield, and yield stability in a wheat-maize system. Field Crops Res. 2019, 233, 33–40. [Google Scholar] [CrossRef]
- Mansouri-Far, C.; Sanavy, S.A.M.M.; Saberali, S.F. Maize yield response to deficit irrigation during low-sensitive growth stages and nitrogen rate under semi-arid climatic conditions. Agric. Water Manag. 2010, 97, 12–22. [Google Scholar] [CrossRef]
- Hou, P.F.; Jiang, Y.; Yan, L.; Petropoulos, E.; Wang, J.Y.; Xue, L.H.; Yang, L.Z.; Chen, D. Effect of fertilization on nitrogen losses through surface runoffs in Chinese farmlands: A meta-analysis. Sci. Total Environ. 2021, 793, 148554. [Google Scholar] [CrossRef]
- Jia, Q.; Shi, H.B.; Li, R.P.; Miao, Q.F.; Feng, Y.Y.; Wang, N.; Li, J.W. Evaporation of maize crop under mulch film and soil covered drip irrigation: Field assessment and modelling on West Liaohe Plain, China. Agric. Water Manag. 2021, 253, 106894. [Google Scholar] [CrossRef]
- Li, Y.B.; Song, H.; Zhou, L.; Xu, Z.Z.; Zhou, G.S. Vertical distributions of chlorophyll and nitrogen and their associations with photosynthesis under drought and rewatering regimes in a maize field. Agric. Forest Meteorol. 2019, 272, 40–54. [Google Scholar] [CrossRef]
- Liu, F.Y.; Gao, M.L.; Zhang, H.Z.; Yuan, H.B.; Hu, B.; Zong, R.; Zhang, M.M.; Ma, Y.Z.; Li, Q.Q. Synergistic impact of various straw-return methods and irrigation regimes on winter wheat physiological growth and yield. Field Crops Res. 2024, 316, 109516. [Google Scholar] [CrossRef]
- Yan, Z.X.; Gao, C.; Ren, Y.J.; Zong, R.; Ma, Y.Z.; Li, Q.Q. Effects of pre-sowing irrigation and straw mulching on the grain yield and water use efficiency of summer maize in the North China Plain. Agric. Water Manag. 2017, 186, 21–28. [Google Scholar] [CrossRef]
- Çakir, R. Effect of water stress at different development stages on vegetative and reproductive growth of corn. Field Crops Res. 2004, 89, 1–16. [Google Scholar] [CrossRef]
- Adams, K.R.; Muenchrath, D.A.; Schwindt, D.M. Moisture effects on the morphology of ears, cobs and kernels of a south-western US maize (Zea mays L.) cultivar, and implications for the interpretation of archaeological maize. J. Archaeol. Sci. 1999, 26, 483–496. [Google Scholar] [CrossRef]
- Moosavi, S.G. The effect of water deficit stress and nitrogen fertilizer levels on morphology traits, yield and leaf area index in maize. Pak. J. Bot. 2012, 44, 1351–1355. [Google Scholar]
- Liu, Z.; Ma, F.Y.; Hu, T.X.; Zhao, K.G.; Gao, T.P.; Zhao, H.X.; Ning, T.Y. Using stable isotopes to quantify water uptake from different soil layers and water use efficiency of wheat under long-term tillage and straw return practices. Agric. Water Manag. 2020, 229, 105933. [Google Scholar] [CrossRef]
- Yin, W.; Yu, A.Z.; Chai, Q.; Hu, F.L.; Feng, F.X.; Gan, Y.T. Wheat and maize relay-planting with straw covering increases water use efficiency up to 46%. Agron. Sustain. Dev. 2015, 35, 815–825. [Google Scholar] [CrossRef]
- Wang, Y.L.; Xu, Z.H.; Li, S.; Liang, Z.M.; Xue, X.R.; Bai, J.; Yang, Z.P. Straw returning and Post-Silking irrigating improve the grain yield and utilization of water and nitrogen of spring maize. Sci. Agric. Sin. 2023, 56, 3599–3614. [Google Scholar]







| Soil Organic Matter Content (g·kg−1) | Water Soluble Nitrogen Content (mg·kg−1) | Quick-Acting Phosphorus Content (mg·kg−1) | Quick-Acting Potassium Content (mg·kg−1) | pH | Profile Water Holding Capacity (cm3·cm−3) |
|---|---|---|---|---|---|
| 15.6 | 65.9 | 25.4 | 103.5 | 7.9 | 0.23 |
| Irrigation Amount (mm) | Growing Stage | Irrigation Interval (Days) | Single Irrigation Amount (mm) | Frequency of Drip Irrigation |
|---|---|---|---|---|
| 500 | Seedling stage | 15 | 35 | 2 |
| Seedling stage to jointing stage | 10 | 35 | 3 | |
| Jointing stage to early grouting stage | 10 | 40 | 4 | |
| Early grouting stage to mature stage | 7 | 27.5 | 6 | |
| 350 | Seedling stage | 15 | 25 | 2 |
| Seedling stage to jointing stage | 10 | 25 | 3 | |
| Jointing stage to early grouting stage | 10 | 27 | 4 | |
| Early grouting stage to mature stage | 7 | 19.5 | 6 | |
| 200 | Seedling stage | 15 | 16 | 2 |
| Seedling stage to jointing stage | 10 | 16 | 3 | |
| Jointing stage to early grouting stage | 10 | 18 | 4 | |
| Early grouting stage to mature stage | 7 | 8 | 6 |
| Items | Yield (kg·hm−2) | |
|---|---|---|
| F Values | p Values | |
| Y | 129.28 | 0.00 |
| S | 15.94 | 0.00 |
| V | 404.12 | 0.00 |
| Y × S | 0.03 | 0.88 |
| Y × V | 1.5 | 0.24 |
| S × V | 5.88 | 0.01 |
| Y × S × V | 2.55 | 0.10 |
| Year | Treatments | 100-Grain Mass (g) | Bald Tip Length (cm) | Spike Length (cm) | Spike Diameter (cm) |
|---|---|---|---|---|---|
| 2023 | 200 | 27.11 ± 0.45 Bb | 1.58 ± 0.15 Aa | 15.68 ± 0.64 Ab | 4.44 ± 0.14 Ab |
| 200C | 27.57 ± 0.60 Aa | 1.32 ± 0.12 Aa | 16.02 ± 0.58 Aa | 4.55 ± 0.15 Aa | |
| 350 | 29.79 ± 1.07 Bb | 1.03 ± 0.12 Ab | 16.64 ± 0.42 Aa | 4.86 ± 0.20 Aa | |
| 350C | 30.03 ± 0.34 Aa | 0.53 ± 0.02 Bb | 16.73 ± 0.42 Aa | 4.97 ± 0.13 Aa | |
| 500 | 30.23 ± 0.44 Aa | 0.33 ± 0.05 Ac | 16.80 ± 0.24 Aa | 5.04 ± 0.05 Aa | |
| 500C | 30.12 ± 0.43 Aa | 0.27 ± 0.05 Ac | 16.98 ± 0.39 Aa | 5.04 ± 0.03 Aa | |
| 2024 | 200 | 28.13 ± 1.05 Ab | 1.63 ± 0.03 Aa | 14.30 ± 0.44 Ab | 4.84 ± 0.06 Ab |
| 200C | 29.25 ± 0.40 Ab | 1.53 ± 0.04 Aa | 14.33 ± 0.32 Ab | 4.91 ± 0.12 Ab | |
| 350 | 30.17 ± 1.14 Aa | 1.47 ± 0.08 Aa | 15.37 ± 0.40 Aa | 5.22 ± 0.10 Aa | |
| 350C | 30.66 ± 1.07 Aa | 1.27 ± 0.15 Aa | 15.60 ± 0.53 Aa | 5.23 ± 0.11 Aa | |
| 500 | 30.26 ± 0.47 Aa | 0.70 ± 0.07 Ab | 15.63 ± 0.15 Aa | 5.27 ± 0.09 Aa | |
| 500C | 30.84 ± 0.35 Aa | 0.90 ± 0.05 Ab | 15.53 ± 0.15 Aa | 5.22 ± 0.10 Aa |
| Year | Treatments | Soil Water Storage Before Sowing (mm) | Soil Water Storage After Harvest (mm) | Water Consumption (mm) | WUE (kg·m−3) | Irrigation Water Use Efficiency (kg·m−3) |
|---|---|---|---|---|---|---|
| 2023 | 200 | 145.39 Aa | 48.21 Ac | 297.18 Ac | 2.51 Bb | 3.73 Ba |
| 200C | 151.25 Aa | 53.71 Ac | 297.54 Ac | 2.63 Ab | 3.92 Aa | |
| 350 | 135.73 Aa | 149.48 Ab | 336.25 Ab | 2.73 Ba | 2.62 Bb | |
| 350C | 135.85 Ab | 150.85 Ab | 335.01 Ab | 2.82 Aa | 2.7 Ab | |
| 500 | 141.25 Aa | 193.24 Aa | 448.01 Aa | 2.13 Bc | 1.91 Ac | |
| 500C | 140.78 Aab | 209.73 Aa | 431.05 Aa | 2.23 Ac | 1.93 Ac | |
| 2024 | 200 | 145.78 Aab | 40.53 Ac | 305.25 Ab | 2.64 Bb | 4.03 Ba |
| 200C | 148.25 Aa | 45.63 Ac | 302.62 Ab | 2.77 Ab | 4.20 Aa | |
| 350 | 135.78 Ab | 155.57 Ab | 330.21 Ab | 2.95 Ba | 2.78 Bb | |
| 350C | 140.48 Aa | 160.93 Ab | 329.55 Ab | 3.15 Aa | 2.97 Ab | |
| 500 | 152.18 Aa | 207.57 Aa | 444.61 Aa | 2.37 Bc | 2.11 Ac | |
| 500C | 142.06 Aa | 219.69 Aa | 422.37 Aa | 2.45 Ac | 2.07 Ac |
Disclaimer/Publisher’s Note: The statements, opinions and data contained in all publications are solely those of the individual author(s) and contributor(s) and not of MDPI and/or the editor(s). MDPI and/or the editor(s) disclaim responsibility for any injury to people or property resulting from any ideas, methods, instructions or products referred to in the content. |
© 2025 by the authors. Licensee MDPI, Basel, Switzerland. This article is an open access article distributed under the terms and conditions of the Creative Commons Attribution (CC BY) license (https://creativecommons.org/licenses/by/4.0/).
Share and Cite
Qi, Z.; Xu, C.; Zhang, L.; Zhang, L.; Li, F.; Sun, N.; Zhao, R.; Ren, J.; Li, Q.; Bian, S.; et al. Water-Saving and Yield-Increasing Strategies for Maize Under Drip Irrigation and Straw Mulching in Semi-Arid Regions. Agronomy 2025, 15, 2056. https://doi.org/10.3390/agronomy15092056
Qi Z, Xu C, Zhang L, Zhang L, Li F, Sun N, Zhao R, Ren J, Li Q, Bian S, et al. Water-Saving and Yield-Increasing Strategies for Maize Under Drip Irrigation and Straw Mulching in Semi-Arid Regions. Agronomy. 2025; 15(9):2056. https://doi.org/10.3390/agronomy15092056
Chicago/Turabian StyleQi, Zexin, Chen Xu, Lizi Zhang, Lihua Zhang, Fei Li, Ning Sun, Renjie Zhao, Jingquan Ren, Qian Li, Shaofeng Bian, and et al. 2025. "Water-Saving and Yield-Increasing Strategies for Maize Under Drip Irrigation and Straw Mulching in Semi-Arid Regions" Agronomy 15, no. 9: 2056. https://doi.org/10.3390/agronomy15092056
APA StyleQi, Z., Xu, C., Zhang, L., Zhang, L., Li, F., Sun, N., Zhao, R., Ren, J., Li, Q., Bian, S., Zhang, Z., & Zhao, H. (2025). Water-Saving and Yield-Increasing Strategies for Maize Under Drip Irrigation and Straw Mulching in Semi-Arid Regions. Agronomy, 15(9), 2056. https://doi.org/10.3390/agronomy15092056

