Soil Nitrogen Prevails in Controlling Alpine Meadow Productivity Despite Medicago ruthenica Reseeding and Phosphorus Application
Abstract
1. Introduction
2. Materials and Methods
2.1. General Situation of the Study Site
2.2. Experimental Material and Design
2.3. Investigation of Plant Community Characteristics and Forage Sampling
2.4. Methods for Forage Nutrition Analysis
2.5. Soil Sampling and Chemical Analysis
2.6. Statistical Analyses
3. Results
3.1. The Effects on Biomass
3.1.1. The Effects of Reseeding and P Addition on the Biomass of Different Functional Groups
3.1.2. The Response Ratios of Biomass After Reseeding and Fertilization Under Each Treatment
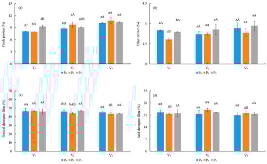
3.2. The Effects on Forage Nutritional Quality
3.2.1. The Effects of Reseeding and P Addition on Nutritional Quality
3.2.2. The Response Ratios of Forage Nutritional Quality Under Each Treatment
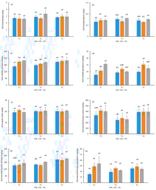
3.3. The Effects on Soil Chemical Properties
3.3.1. The Effects of Reseeding and P Addition on Soil Chemical Properties
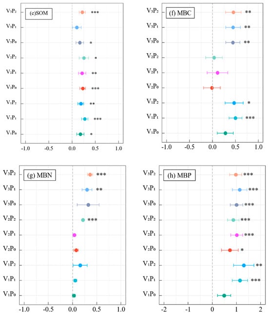
3.3.2. The Response Ratios of Soil Chemical Properties Under Each Treatment
3.4. Comprehensive Grey Relational Analysis
3.5. Hierarchical Partitioning Analysis
4. Discussion
4.1. Reseeding Coupled with Phosphorus Application Boosts Forage Biomass and Nutritional Value
4.2. Reseeding and Phosphorus Application Significantly Enhances Soil Nutrient Availability in Alpine Meadows
4.3. Soil Total Nitrogen Contributes the Most to the Biomass and Nutrient Quality of Forage
5. Conclusions
Author Contributions
Funding
Data Availability Statement
Acknowledgments
Conflicts of Interest
References
- Li, C.T.; Zhang, X.L.; Du, D.; Guo, Y.; Miao, P.F.; Wang, X.Z. Current situation of grassland utilization and its sustainable strategy in the Edge regions of Qinghai-Tibetan Plateau. Pratacultural Sci. 2011, 28, 1690–1694. [Google Scholar]
- Leal, V.N.; Santos, D.D.C.; Paim, T.D.P.; Santos, L.P.D.; Alves, E.M.; Claudio, F.L.; Calgaro Junior, G.; Fernandes, P.B. and Salviano, P.A.P. Economic Results of Forage Species Choice in Crop-Livestock Integrated Systems. Agriculture 2023, 13, 637. [Google Scholar] [CrossRef]
- Guo, N.; Liu, J.; Wang, L.Y.; Gao, M.; Aotegenbaiyin; Jiang, S.; Guan, Z.; Yuan, H.; Sun, G.; Gao, L.; et al. Effects of Reseeding Rates and Fertilization Levels on Nutritional Quality and Yield of Forage in a Degraded Grassland. Chin. J. Grassl. 2025, 47, 70–79. [Google Scholar]
- Yan, Z.M.; Zhang, Y.J.; Pan, L.; Tang, S.M.; Wang, K.; Huang, D. Research Progress of Reseeding Forage Legumes into Natural Grassland. Chin. Agric. Sci. Bull. 2014, 30, 1–7. [Google Scholar]
- Guo, M.; Guo, T.; Zhou, J.; Liang, J.; Yang, G.; Zhang, Y. Restored Legume acts as a “nurse” to facilitate plant compensatory growth and biomass production in mown grasslands. Agron. Sustain. Dev. 2024, 44, 60. [Google Scholar] [CrossRef]
- Shu, S.M.; Yang, C.H.; Chen, L.Z. Effects of overseeding Legumes on the forage yield and quality of whipgrass. Pratacultural Sci. 2011, 28, 1041–1043. [Google Scholar]
- O’Brien, M.J.; Carbonell, E.P.; Losapio, G.; Schlüter, P.M.; Schöb, C. Foundation Species Promote Local Adaptation and Fine-Scale Distribution of Herbaceous Plants. J. Ecol. 2021, 109, 191–203. [Google Scholar] [CrossRef]
- Wang, T.; Ren, L.; Li, C.; Zhang, D.; Zhang, X.; Zhou, G.; Gao, D.; Chen, R.; Chen, Y.; Wang, Z.; et al. The genome of a wild Medicago species provides insights into the tolerant mechanisms of Legume forage to environmental stress. BMC Biol. 2021, 19, 96. [Google Scholar] [CrossRef]
- Li, Q.; Huang, Y.X.; Zhou, D.W.; Cong, S. Mechanism of the trade-off between biological nitrogen fixation and phosphorus acquisition strategies of herbaceous legumes under nitrogen and phosphorus addition. Chin. J. Plant Ecol. 2021, 45, 286–297. [Google Scholar] [CrossRef]
- Nyfeler, D.; Huguenin-Elie, O.; Suter, M.; Frossard, E.; Lüscher, A. Grass–Legume mixtures can yield more nitrogen than Legume pure stands due to mutual stimulation of nitrogen uptake from symbiotic and non-symbiotic sources. Agric. Ecosyst. Environ. 2011, 140, 155–163. [Google Scholar] [CrossRef]
- Gogoi, N.; Baruah, K.K.; Meena, R.S. Grain Legumes: Impact on Soil Health and Agroecosystem. In Legumes for Soil Health and Sustainable Management; Springer: Singapore, 2018. [Google Scholar]
- Su, L.L.; Wang, Z.M.; Liu, Y.; Zhu, J.; Tong, Z.Y.; Qin, Y. Nitrogen and phosphorus co-application enhances productivity and fertilizer utilization rate of Oat-common vetch mixed grassland. Pratacultural Sci. 2025, 1–17. [Google Scholar] [CrossRef]
- Guo, J.B.; Zhao, G.Q.; Jia, S.G.; Dong, J.F.; Chen, L.; Wang, S.P. Comprehensive evaluation of effects of fertilization on grassland quality index and soil properties in alpine steppe. Acta Prataculturae Sin. 2020, 29, 85–93. [Google Scholar]
- Soons, M.B.; Hefting, M.M.; Dorland, E.; Lamers, L.P.; Versteeg, C.; Bobbink, R. Nitrogen effects on plant species richness in herbaceous communities are more widespread and stronger than those of phosphorus. Biol. Conserv. 2017, 212, 390–397. [Google Scholar] [CrossRef]
- Walie, M.; Tegegne, F.; Mekuriaw, Y.; Tsunekawa, A.; Kobayashi, N.; Ichinohe, T.; Haregeweyn, N.; Tassew, A.; Mekuriaw, S.; Masunaga, T.; et al. Biomass Yield, Quality, and Soil Nutrients of Pasture Influenced by Farmyard Manure and Enrichment Planting. Rangel. Ecol. Manag. 2023, 88, 174–181. [Google Scholar] [CrossRef]
- GB 19377-2003; Parameters for Degradation, Sandification and Salification of Rangelands. China Standard Press: Beijing, China, 2003.
- Zhang, L.Y.; Yan, S.M.; Zhao, G.X. Feed Analysis and Feed Quality Detection Technology; China Agricultural University Press: Beijing, China, 2016; pp. 53–94. [Google Scholar]
- Bao, S.D. Agrochemical Analysis of Soil; China Agriculture Press: Beijing, China, 2001. [Google Scholar]
- GB/T 39228-2020; Determination of Soil Microbial Biomass—Fumigation-Extraction Method. China Standard Press: Beijing, China, 2020.
- Liu, Y.; Zhao, X.; Liu, W.; Feng, B.; Lv, W.; Zhang, Z.; Yang, X.; Dong, Q. Plant biomass partitioning in alpine meadows under different herbivores as influenced by soil bulk density and available nutrients. Catena 2024, 240, 108017. [Google Scholar] [CrossRef]
- Liao, F.P.; Wu, Z.L.; Gao, P.H.; Zhou, H.Y.; Yu, S.H.; Yang, Y. The Comprehensive Evaluation of 23 Amomum tsao-ko Germplasm Resources was Carried out Based on Grey Correlation Analysis Method. Chin. J. Trop. Agric. 2025, 1–10. Available online: https://link.cnki.net/urlid/46.1038.S.20250613.1742.004 (accessed on 2 July 2025).
- Kang, X.Y.; Ye, G.H.; Sun, S.S.; Wang, H.L.; Zhang, Z.L.; Li, Y.N.; Burenqiqige; Wang, Q.C.; Yuan, S.; Fu, H.P. The Relationship between Seasonal Dynamics and Vegetation Characteristics of Brandt’s Voles Population under Overgrazing in Typical Steppe. Acta Agrestia Sin. 2025, 1–22. Available online: https://link.cnki.net/urlid/11.3362.S.20250318.1842.018 (accessed on 2 July 2025).
- Wang, L.; Shi, J.; Shi, H.; Ou, W.; Wang, C.; Xing, Y. Effects of nitrogen and phosphorus addition on forage and soil nutrients in alpine grasslands around Qinghai Lake. Pratacultural Sci. 2019, 36, 3065–3075. [Google Scholar]
- Liu, Y.L.; Wang, D.P.; Zhang, H.B.; Wang, G.F.; Li, P.Z.; Rong, Y.P. Effects of Reseeding Time and Species on Plant Community of Meadow Steppe in Hulunbeir. Acta Agrestia Sin. 2022, 30, 3098–3105. [Google Scholar]
- Xia, G.Y.; Shi, C.X. Influences of irrigation methods and phosphorus application on yield, water and phosphorus use efficiency and soil phosphorus components of Medicago sativa. Jiangsu Agric. Sci. 2024, 52, 175–182. [Google Scholar]
- Zhang, D.; Long, H.Y.; Jin, J.; Fan, B.; Zhao, X.M.; Han, X.Q. Effects of growth interaction effect of Leguminous and Gramineous pasture intercropping and absorption of nutrient and phosphorus on pasture expression. Acta Prataculturae Sin. 2018, 27, 15–22. [Google Scholar]
- Hautier, Y.; Niklaus, A.P.; Hector, A. Competition for Light Causes Plant Biodiversity Loss After Eutrophication. Science 2009, 324, 636–638. [Google Scholar] [CrossRef]
- Zhang, D.S.; Li, H.B.; Shen, J.B. Strategies for root’s foraging and acquiring soil nutrient in high efficiency under intensive cropping systems. J. Plant Nutr. Fertil. 2017, 23, 1547–1555. [Google Scholar]
- Berendse, F. Competition between plant populations with different rooting depths. Oecologia 1979, 43, 19–26. [Google Scholar] [CrossRef] [PubMed]
- Jiang, Y.Y.; Zheng, Y.; Tang, L.; Xiao, J.X.; Zeng, J.; Zhang, K.X. Rhizosphere Biological Processes of Legume//Cereal Intercropping Systems: A Review. J. Agric. Resour. Environ. 2016, 33, 407–415. [Google Scholar]
- Sun, Y.; Hong, W.T.; Han, Y.; Xu, Z.J.; Cheng, L.Y. Targeting internal phosphorus re-utilization to improve plant phosphorus use efficiency. J. Plant Nutr. Fertil. 2021, 27, 2216–2228. [Google Scholar]
- Khan, F.; Siddique, A.B.; Shabala, S.; Zhou, M.; Zhao, C. Phosphorus Plays Key Roles in Regulating Plants’ Physiological Responses to Abiotic Stresses. Plants 2023, 12, 2861. [Google Scholar] [CrossRef]
- He, F.Q.; Chen, D.D.; Li, Q.; Chen, X.; Huo, L.L.; Zhao, L.; Zhao, X.Q. Temporal and spatial distribution of herbage nutrition in alpine grassland of Sanjiangyuan. Acta Ecol. Sin. 2020, 40, 6304–6313. [Google Scholar]
- Van Soest, P.J.; Robertson, J.B.; Lewis, B.A. Methods for dietary fiber, neutral detergent fiber, and Nonstarch polysaccharides in relation to animal nutrition. J. Dairy Sci. 1991, 74, 3583–3597. [Google Scholar] [CrossRef]
- Yao, M. Effects of Reseeding and Fertilization on Herbage Quality and Soil Nutrients in Desert Steppe. Master’s Thesis, Inner Mongolia Agricultural University, Hohhot, China, 2024. [Google Scholar]
- Long, H.Y.; Zhang, D.; Zeng, L.P.; Jin, J.; He, G.X. Herbage accumulation, and nitrogen and phosphorus absorption responses of three forage species following addition of nitrogen and phosphorus fertilizer. Acta Prataculturae Sin. 2019, 28, 171–177. [Google Scholar]
- Qu, H.B. Effects of Phosphorus Application on Tillering Occurrence and Yield of Wheat with Different Panicle Types. Master’s Thesis, Shandong Agricultural University, Tai’an, China, 2020. [Google Scholar]
- Duan, C.W.; Li, X.L.; Chai, Y.; Xu, W.Y.; Su, L.L.; Ma, P.P.; Yang, X. Effects of different rehabilitation measures on plant community and soil nutrient of degraded alpine meadow in the Yellow River Source. Acta Ecol. Sin. 2022, 42, 7652–7662. [Google Scholar] [CrossRef]
- Jiang, Z.M.; Wang, W.; Chu, C.C. Towards understanding of nitrogen use efficiency in plants. Chin. Bull. Life Sci. 2018, 30, 1060–1071. [Google Scholar]
- Zhao, W.; Huang, L.M. Stoichiometric characteristics and influencing factors of soil nutrients under different land use types in an alpine mountain region. Acta Ecol. Sin. 2022, 42, 4415–4427. [Google Scholar] [CrossRef]
- Ren, F.; Song, W.; Chen, L.; Mi, Z.; Zhang, Z.; Zhu, W.; Zhou, H.; Cao, G.; He, J.S. Phosphorus does not alleviate the negative effect of nitrogen enrichment on legume performance in an alpine grassland. J. Plant Ecol. 2017, 10, 822–830. [Google Scholar] [CrossRef]
- Ke, X.; Xiao, H.; Peng, Y.; Wang, J.; Lv, Q.; Wang, X. Phosphoenolpyruvate reallocation links nitrogen fixation rates to root nodule energy state. Science 2022, 378, 971–977. [Google Scholar] [CrossRef]
- Wang, F. Effect of Organic Materials on Soil Fertility Characteristics in WeiBei Rainfed Highland. Master’s Thesis, Northwest A&F University, Xianyang, China, 2010. [Google Scholar]
- Shi, T.S.; Collins, S.L.; Yu, K.; Peñuelas, J.; Sardans, J.; Li, H.; Ye, J.S. A global meta-analysis on the effects of organic and inorganic fertilization on grasslands and croplands. Nat. Commun. 2024, 15, 3411. [Google Scholar] [CrossRef]
- Ren, J.; Wang, C.; Wang, Q.; Song, W.; Sun, W. Nitrogen addition regulates the effects of variation in precipitation patterns on plant biomass formation and allocation in a Leymus chinensis grassland of northeast China. Front. Plant Sci. 2024, 14, 1323766. [Google Scholar] [CrossRef] [PubMed]
- Tong, Y.S.; Zhang, C.P.; Dong, Q.M.; Yv, Y.; Cao, Q.; Yang, X.X.; Liu, W.T.; Zhang, Z.S.; Zhang, Z.X. Effects of nitrogen addition on forage production performance and nutritional quality of perennial alpine cultivated grassland. Plant Sci. J. 2025, 43, 102–110. [Google Scholar]










| Treatment | Reseeding Rates (kg/hm2) | P Levels (kg/hm2) |
|---|---|---|
| CK | 0 | 0 |
| V1P0 | 9 (Low rate) | 0 (No P) |
| V1P1 | 9 (Low rate) | 75 (Low level) |
| V1P2 | 9 (Low rate) | 200 (High level) |
| V2P0 | 15 (Medium rate) | 0 (No P) |
| V2P1 | 15 (Medium rate) | 75 (Low level) |
| V1P2 | 15 (Medium rate) | 200 (High level) |
| V3P0 | 22.5 (High rate) | 0 (No P) |
| V3P1 | 22.5 (High rate) | 75 (Low level) |
| V3P2 | 22.5 (High rate) | 200 (High level) |
| Factor | Significance | |||
|---|---|---|---|---|
| Legume (M. ruthenica) | Grasses | Forbs | Aboveground Biomass | |
| V | ns | ns | ns | * |
| P | ns | ns | ns | ns |
| V × P | *** | ns | * | * |
| Factor | Significance | |||
|---|---|---|---|---|
| Crude Protein | Ether Extract | Neutral Detergent Fiber | Acid Detergent Fiber | |
| V | *** | ns | * | ns |
| P | ns | ** | ns | ns |
| V × P | *** | ** | ns | ns |
| Factor | Significance | |||||||
|---|---|---|---|---|---|---|---|---|
| TN | TP | AN | AP | SOM | MBC | MBN | MBP | |
| V | ns | ns | * | ns | ns | *** | ** | ns |
| P | ns | ns | ** | ** | ns | ns | ns | ns |
| V × P | ns | ns | *** | *** | ns | * | ns | ns |
| Treatment | CP | EE | NDF | ADF | Grasses Biomass | Forbs Biomass | Legume Biomass | AGB | Score | Rank |
|---|---|---|---|---|---|---|---|---|---|---|
| V1P0 | 0.67 | 0.81 | 0.89 | 0.87 | 0.68 | 1.00 | 0.54 | 0.90 | 0.80 | 4 |
| V1P1 | 0.66 | 0.58 | 0.88 | 0.93 | 0.76 | 0.60 | 0.37 | 0.67 | 0.70 | 9 |
| V1P2 | 0.79 | 0.75 | 0.90 | 0.91 | 0.88 | 0.51 | 0.84 | 0.69 | 0.79 | 5 |
| V2P0 | 0.73 | 0.69 | 0.90 | 0.93 | 0.49 | 0.62 | 0.76 | 0.61 | 0.73 | 7 |
| V2P1 | 0.84 | 0.70 | 0.98 | 0.78 | 0.83 | 0.66 | 0.51 | 0.77 | 0.77 | 6 |
| V1P2 | 0.76 | 0.84 | 0.86 | 0.87 | 0.61 | 0.50 | 0.63 | 0.58 | 0.72 | 8 |
| V3P0 | 0.90 | 0.89 | 0.93 | 1.00 | 0.63 | 0.65 | 1.00 | 0.73 | 0.85 | 3 |
| V3P1 | 1.00 | 0.73 | 1.00 | 0.90 | 0.82 | 0.82 | 0.63 | 0.90 | 0.86 | 2 |
| V3P2 | 0.93 | 1.00 | 0.99 | 0.92 | 1.00 | 0.85 | 0.58 | 1.00 | 0.92 | 1 |
| CK | 0.63 | 0.56 | 0.69 | 0.74 | 0.47 | 0.61 | 0.33 | 0.54 | 0.58 | 10 |
| Correlation degree | 0.79 | 0.76 | 0.90 | 0.89 | 0.72 | 0.68 | 0.62 | 0.74 | 6.09 | |
| Weight | 0.13 | 0.12 | 0.15 | 0.15 | 0.12 | 0.11 | 0.10 | 0.12 | 1.00 |
Disclaimer/Publisher’s Note: The statements, opinions and data contained in all publications are solely those of the individual author(s) and contributor(s) and not of MDPI and/or the editor(s). MDPI and/or the editor(s) disclaim responsibility for any injury to people or property resulting from any ideas, methods, instructions or products referred to in the content. |
© 2025 by the authors. Licensee MDPI, Basel, Switzerland. This article is an open access article distributed under the terms and conditions of the Creative Commons Attribution (CC BY) license (https://creativecommons.org/licenses/by/4.0/).
Share and Cite
Li, M.; Qi, J.; Lu, X.; Zhang, T.; Yuan, Q. Soil Nitrogen Prevails in Controlling Alpine Meadow Productivity Despite Medicago ruthenica Reseeding and Phosphorus Application. Agronomy 2025, 15, 1988. https://doi.org/10.3390/agronomy15081988
Li M, Qi J, Lu X, Zhang T, Yuan Q. Soil Nitrogen Prevails in Controlling Alpine Meadow Productivity Despite Medicago ruthenica Reseeding and Phosphorus Application. Agronomy. 2025; 15(8):1988. https://doi.org/10.3390/agronomy15081988
Chicago/Turabian StyleLi, Mingjie, Juan Qi, Xin Lu, Tianyu Zhang, and Qi Yuan. 2025. "Soil Nitrogen Prevails in Controlling Alpine Meadow Productivity Despite Medicago ruthenica Reseeding and Phosphorus Application" Agronomy 15, no. 8: 1988. https://doi.org/10.3390/agronomy15081988
APA StyleLi, M., Qi, J., Lu, X., Zhang, T., & Yuan, Q. (2025). Soil Nitrogen Prevails in Controlling Alpine Meadow Productivity Despite Medicago ruthenica Reseeding and Phosphorus Application. Agronomy, 15(8), 1988. https://doi.org/10.3390/agronomy15081988
