The Efficacy of Pre-Emergence Herbicides Against Dominant Soybean Weeds in Northeast Thailand
Abstract
1. Introduction
2. Materials and Methods
2.1. Experimental Site Description and Experimental Design
2.2. Data Collection
2.2.1. Studies on Weeds
2.2.2. Agronomic Trait
2.2.3. Yield and Yield Component
2.3. Statistical Analysis
3. Results
3.1. Effects of Pre-Emergence Herbicides in Weed Data
3.1.1. Weed Control Efficiency
3.1.2. Summed Dominance Ratio (%)
3.1.3. Weed Density and Weed Biomass
3.2. Effects of Pre-Emergence Herbicides on Agronomic Traits
3.2.1. Germination Rate on Soybean
3.2.2. Phytotoxicity on Soybean
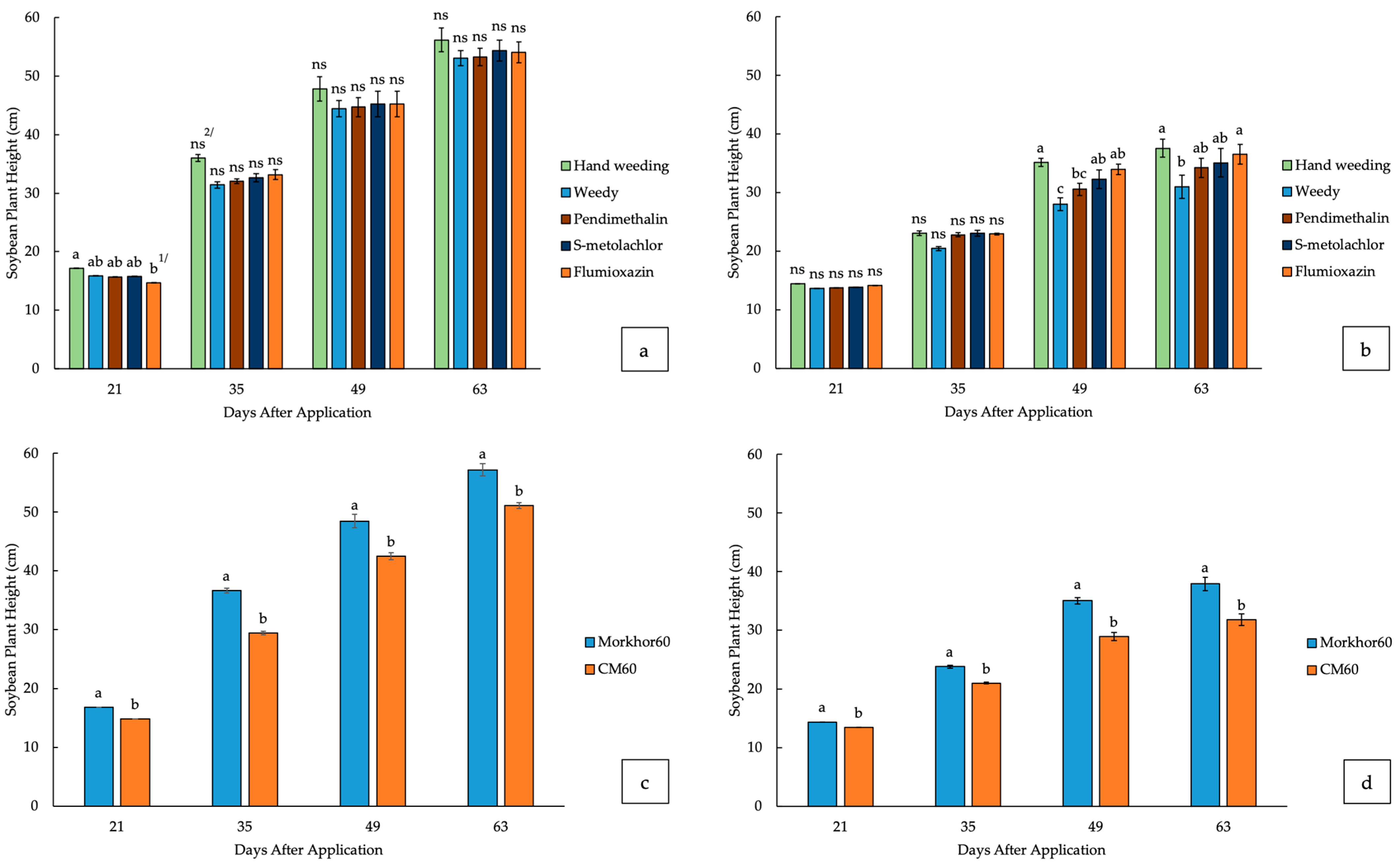
3.2.3. Soybean Plant Height
3.2.4. Number of Nodes
3.3. Effects of Pre-Emergence Herbicides on Yield and Yield Components
4. Discussion
5. Conclusions
Supplementary Materials
Author Contributions
Funding
Data Availability Statement
Acknowledgments
Conflicts of Interest
References
- Ciampitti, I.A.; Schapaugh, W.T.; Shoup, D.; Duncan, S.; Ruiz Diaz, D.; Peterson, D.; Rogers, D.H.; Whitworth, J.; Schwarting, H.; Jardine, D.; et al. Soybean Production Handbook; Kansas State University Agricultural Experiment Station and Cooperative Extension Service: Manhattan, KS, USA, 2016. [Google Scholar]
- European Commission. EU Agricultural Outlook for Markets and Income 2019–2030; Directorate-General for Agriculture and Rural Development, Publications Office: Luxembourg, 2019. [Google Scholar]
- Office of Agricultural Economics. The Study of Soybean Supply Chain in Chiang Mai, Thailand; Ministry of Agriculture and Cooperatives: Bangkok, Thailand, 2018. [Google Scholar]
- Sritongtae, C.; Monkham, T.; Sanitchon, J.; Lodthong, S.; Srisawangwong, S.; Chankaew, S. Identification of Superior Soybean Cultivars through the Indication of Specific Adaptabilities within Duo-Environments for Year-Round Soybean Production in Northeast Thailand. Agronomy 2021, 11, 585. [Google Scholar] [CrossRef]
- Prasertsri, P. Oilseeds and Products Annual: Thailand; USDA Foreign Agricultural Service: Bangkok, Thailand, 2025. [Google Scholar]
- Pacanoski, Z.; Mehmeti, A. Worldwide Complexity of Weeds. Acta Herbol. 2021, 30, 79–89. [Google Scholar] [CrossRef]
- Merga, B.; Alemu, N. Integrated Weed Management in Chickpea (Cicer arietinum L.). Cogent Food Agric. 2019, 5, 1620152. [Google Scholar] [CrossRef]
- Suryanto, P.T.; Sulistyani, E.; Putra, E.T.S.; Kastono, D.; Alam, T. Estimation of Critical Period for Weed Control in Soybean on Agro-Forestry System with Kayu Putih. Asian J. Crop Sci. 2017, 9, 82–91. [Google Scholar] [CrossRef]
- Vitorino, H.S.; da Silva Junior, A.C.; Gonçalves, C.G.; Martins, D. Interference of a Weed Community in the Soybean Crop in Functions of Sowing Spacing. Rev. Ciênc. Agronômica 2017, 48, 605–613. [Google Scholar] [CrossRef]
- Gesimba, R.M.; Langat, M.C. A Review on Weeds and Weed Control in Oil Crops with Special Reference to Soybeans (Glycine max L.) in Kenya. Agric. Trop. Subtrop. 2005, 38, 56–62. [Google Scholar]
- Jadhav, V.T.; Kashid, N.V. Integrated Weed Management in Soybean. Indian J. Weed Sci. 2019, 51, 81–82. [Google Scholar] [CrossRef]
- Ribeiro, V.H.V.; Oliveira, M.C.; Smith, D.H.; Santos, J.B.; Werle, R. Evaluating Efficacy of Preemergence Soybean Herbicides Using Field Treated Soil in Greenhouse Bioassays. Weed Technol. 2021, 35, 830–837. [Google Scholar] [CrossRef]
- Kniss, A.R. Genetically Engineered Herbicide-Resistant Crops and Herbicide-Resistant Weed Evolution in the United States. Weed Sci. 2018, 66, 260–273. [Google Scholar] [CrossRef]
- Norsworthy, J.K.; Ward, S.M.; Shaw, D.R.; Llewellyn, R.S.; Nichols, R.L.; Webster, T.M.; Bradley, K.W.; Frisvold, G.; Powles, S.B.; Burgos, N.R.; et al. Reducing the Risks of Herbicide Resistance: Best Management Practices and Recommendations. Weed Sci. 2012, 60, 31–62. [Google Scholar] [CrossRef]
- Zain, S.; Dafaallah, A.; Zaroug, M. Efficacy and Selectivity of Pendimethalin for Weed Control in Soybean (Glycine max (L.) Merr.), Gezira State, Sudan. Agric. Sci. Pract. 2020, 7, 59–68. [Google Scholar] [CrossRef]
- Sridhara, S.; Nandini, R.; Gopakkali, P.; Somavanshi, A.V. Weed Control Efficiency and Weed Index in Soybean as Influenced by Flumioxazin and Its Effect on Succeeding Green Gram. Int. J. Chem. Stud. 2019, 7, 872–875. [Google Scholar]
- Schelter, M.L.; Prates, A.A.; Fruet, D.L.; de Souza, M.P.; Guerra, N.; de Oliveira Neto, A.M. Response of Soybean Cultivars with Different Maturation Times to Pre-Emergence Herbicides. Semina Ciênc. Agrár. 2023, 44, 841–858. [Google Scholar] [CrossRef]
- Alonso, D.G.; Constantin, J.; Oliveira, R.S., Jr.; Biffe, D.F.; Raimondi, M.A.; Gemelli, A.; Blainski, E.; Carneiro, J.C. Selectivity of Glyphosate in Tank Mixtures for RR Soybean in Sequential Applications with Mixtures Only in the First or Second Application. Planta Daninha 2010, 28, 865–875. [Google Scholar] [CrossRef][Green Version]
- Belfry, K.D.; Soltani, N.; Brown, L.R.; Sikkema, P.H. Tolerance of Identity Preserved Soybean Cultivars to Preemergence Herbicides. Can. J. Plant Sci. 2015, 95, 719–726. [Google Scholar] [CrossRef]
- Taylor-Lovell, S.; Wax, L.M.; Nelson, R. Phytotoxic Response and Yield of Soybean (Glycine max) Varieties Treated with Sulfentrazone or Flumioxazin. Weed Technol. 2001, 15, 95–102. [Google Scholar] [CrossRef]
- Fornazza, F.G.F.; Constantin, J.; Machado, F.G.; Oliveira, R.S., Jr.; Silva, G.D.; Rios, F.A. Selectivity of pre- and post-emergence herbicides to very-early maturing soybean cultivars. Comun. Sci. 2018, 9, 649–658. [Google Scholar] [CrossRef]
- Lamego, F.P.; Fleck, N.G.; Bianchi, M.A.; Schaedler, C.E. Tolerância à interferência de plantas competidoras e habilidade de supressão por genótipos de soja: II. Resposta de variáveis de produtividade. Planta Daninha 2004, 22, 491–498. [Google Scholar] [CrossRef]
- Nordby, D.E.; Alderks, D.L.; Nafziger, E.D. Competitiveness with Weeds of Soybean Cultivars with Different Maturity and Canopy Width Characteristics. Weed Technol. 2007, 21, 1082–1088. [Google Scholar] [CrossRef]
- Raimondi, M.A.; Oliveira, R.S.; Constantin, J.; Franchini, L.H.M.; Blainski, É.; Raimondi, R.T. Weed interference in cotton plants grown with reduced spacing in the second harvest season. Rev. Caatinga 2017, 30, 1–12. [Google Scholar] [CrossRef]
- Zobiole, L.H.S.; Oliveira, R.S., Jr.; Huber, D.M.; Constantin, J.; Castro, C.; Oliveira, F.A.; Oliveira, A., Jr. Glyphosate reduces shoot concentrations of mineral nutrients in glyphosate-resistant soybeans. Plant Soil 2010, 328, 57–69. [Google Scholar] [CrossRef]
- Bell, R.W.; Seng, V. Rainfed lowland rice-growing soils of Cambodia, Laos, and North-East Thailand. In Proceedings of the CARDI International Conference on Research on Water in Agricultural Production in Asia for the 21st Century, Phnom Penh, Cambodia, 25–28 November 2003. [Google Scholar]
- Oshunsanya, S.O. Introductory Chapter: Relevance of Soil pH to Agriculture. In Soil pH for Nutrient Availability and Crop Performance; IntechOpen: London, UK, 2019. [Google Scholar] [CrossRef]
- Jandong, E.A. Evaluation of some soybean [Glycine max (L.) Merrill] genotypes for yield and agronomic performance under low pH stressed soils. J. Agric. Sci. 2021, 12, 45–56. [Google Scholar]
- Uguru, M.I. Determination of yield stability of seven soybean (Glycine max) genotypes across diverse soil pH levels using GGE biplot analysis. Afr. J. Biotechnol. 2011, 10, 12345–12356. [Google Scholar]
- Aekrathok, P.; Songsri, P.; Jongrungklang, N.; Gonkhamdee, S. Efficacy of post-emergence herbicides against important weeds of sugarcane in North-East Thailand. Agronomy 2021, 11, 429. [Google Scholar] [CrossRef]
- Janiya, J.D.; Moody, K. Weed populations in transplanted and wet-seeded rice as affected by weed control method. Trop. Pest Manag. 1989, 35, 8–11. [Google Scholar] [CrossRef]
- Hasan, M.; Mokhtar, A.S.; Rosli, A.M.; Hamdan, H.; Motmainna, M.; Ahmad-Hamdani, M.S. Weed control efficacy and crop-weed selectivity of a new bioherbicide WeedLock. Agronomy 2021, 11, 1488. [Google Scholar] [CrossRef]
- Mani, V.S.; Malla, M.L.; Gautam, K.C.; Bhagwandas. Weed-killing chemicals in potato cultivation. Indian Farming 1973, 23, 17–18. [Google Scholar]
- Li, Q.; Lu, Y.; Shi, Y.; Wang, T.; Ni, K.; Xu, L.; Liu, S.; Wang, L.; Xiong, Q.; Giesy, J.P. Combined effects of cadmium and fluoranthene on germination, growth and photosynthesis of soybean seedlings. J. Environ. Sci. 2013, 25, 1936–1946. [Google Scholar] [CrossRef] [PubMed]
- Meseldžija, M.; Rajković, M.; Dudić, M.; Vranešević, M.; Bezdan, A.; Jurišić, A.; Ljevnaić-Mašić, B. Economic feasibility of chemical weed control in soybean production in Serbia. Agronomy 2020, 10, 291. [Google Scholar] [CrossRef]
- Chauhan, B.S.; Awan, T.H.; Abugho, S.B.; Evengelista, G.; Sudhir-Yadav. Effect of crop establishment methods and weed control treatments on weed management, and rice yield. Field Crops Res. 2015, 172, 72–84. [Google Scholar] [CrossRef]
- Rao, A.N.; Wani, S.P.; Ahmed, S.; Haider Ali, H.; Marambe, B. An overview of weeds and weed management in rice of South Asia. In Weed Management in Rice in the Asian-Pacific Region; Asian-Pacific Weed Science Society: Hyderabad, India, 2017; pp. 247–281. [Google Scholar]
- Jha, P.; Kumar, V.; Godara, R.K.; Chauhan, B.S. Weed management using crop competition in the United States: A review. Crop Prot. 2017, 95, 31–37. [Google Scholar] [CrossRef]
- Chauhan, B.S.; Johnson, D.E. The role of seed ecology in improving weed management strategies in the tropics. Adv. Agron. 2010, 105, 221–262. [Google Scholar] [CrossRef]
- Oliveira, M.C.; Feist, D.; Eskelsen, S.; Scott, J.E.; Knezevic, S.Z. Weed control in soybean with preemergence- and postemergence-applied herbicides. Crop Forage Turfgrass Manag. 2017, 3, 1–7. [Google Scholar] [CrossRef]
- Safdar, M.E.; Nadeem, M.A.; Rehman, A.; Ali, A.; Iqbal, N.; Mumtaz, Q.; Javed, A. The screening of herbicides for effective control of weeds in soybean (Glycine max L.). J. Weed Sci. Res. 2020, 27, 251–266. [Google Scholar] [CrossRef]
- Gazola, T.; Gomes, D.M.; Belapart, D.; Dias, M.F.; Carbonari, C.A.; Velini, E.D. Selectivity and residual weed control of pre-emergent herbicides in soybean crop. Rev. Ceres 2021, 68, 219–229. [Google Scholar] [CrossRef]
- Qadeer, A.; Ali, Z.; Ahmad, H.; Qasam, M.; Toor, S. Invasion of different weeds on gladiolus and their control by herbicides. Plant Gene Trait 2016, 7, 1–9. [Google Scholar] [CrossRef]
- Lakra, K. Effect of irrigation and herbicides on most tenacious weed Cyperus rotundus in wheat. Int. J. Environ. Clim. Chang. 2021, 11, 29–37. [Google Scholar] [CrossRef]
- Kaur, P.; Bhullar, M.S. Effect of repeated application of pendimethalin on its persistence and dissipation kinetics in soil under field and laboratory conditions. Environ. Technol. 2017, 40, 997–1005. [Google Scholar] [CrossRef] [PubMed]
- Arsenijevic, N.; De Avellar, M.; Butts, L.; Arneson, N.J.; Werle, R. Influence of sulfentrazone and metribuzin applied preemergence on soybean development and yield. Weed Technol. 2021, 35, 210–215. [Google Scholar] [CrossRef]
- Moomaw, R.S.; Martin, A.R. Interaction of metribuzin and trifluralin with soil type on soybean (Glycine max) growth. Weed Sci. 1978, 26, 327–331. [Google Scholar] [CrossRef]
- Niekamp, J.W.; Johnson, W.G.; Smeda, R.J. Broadleaf weed control with sulfentrazone and flumioxazin in no-tillage soybean (Glycine max). Weed Technol. 1999, 13, 233–238. [Google Scholar] [CrossRef]
- Osborne, B.T.; Shaw, D.R.; Ratliff, R.L. Soybean (Glycine max) cultivar tolerance to SAN 582H and metolachlor as influenced by soil moisture. Weed Sci. 1995, 43, 288–292. [Google Scholar] [CrossRef]
- Wise, K.; Mueller, D.; Kandel, Y.; Young, B.; Johnson, B.; Legleiter, T. Soybean Seedling Damage: Is There an Interaction Between the ILeVO Seed Treatment and Pre-Emergence Herbicides? Available online: https://crops.extension.iastate.edu/cropnews/2015/05/soybean-seedling-damage-there-interaction-between-ilevo-seed-treatment-and-pre (accessed on 16 July 2025).
- Board, J.E.; Kahlon, C.S. Soybean yield formation: What controls it and how it can be improved. In Soybean Physiology and Biochemistry; InTech: Rijeka, Croatia, 2011; pp. 1–36. [Google Scholar]
- Thanacharoenchanaphas, K.; Rugchati, O. Simulation of climate variability for assessing impacts on yield and genetic change of Thai soybean. World Acad. Sci. Eng. Technol. 2011, 59, 1484–1487. [Google Scholar]
- Madhu, M.; Hatfield, J.L. Interaction of carbon dioxide enrichment and soil moisture on photosynthesis, transpiration, and water use efficiency of soybean. Agric. Sci. 2014, 5, 410–429. [Google Scholar] [CrossRef]
- Madhu, M.; Hatfield, J.L. Elevated carbon dioxide and soil moisture on early growth response of soybean. Agric. Sci. 2015, 6, 263–278. [Google Scholar] [CrossRef]
- Bianchi, M.A.; Fleck, N.G.; Federizzi, L.C. Características de plantas de soja que conferem habilidade competitiva com plantas daninhas. Bragantia 2006, 65, 623–632. [Google Scholar] [CrossRef][Green Version]
- Bastiani, M.O.; Lamego, F.P.; Agostinetto, D.; Langaro, A.C.; Silva, D.C. Relative competitiveness of soybean cultivars with barnyardgrass. Bragantia 2016, 75, 435–445. [Google Scholar] [CrossRef]





| Soil Properties | Rainy Season of 2023 | Dry Season of 2024/2025 |
|---|---|---|
| Physical Characteristics | ||
| Sand (%) | 73.36 | 73.90 |
| Silt (%) | 20.87 | 17.40 |
| Clay (%) | 5.77 | 8.70 |
| Soil Texture | Sandy Loam | Sandy Loam |
| Chemical Characteristics | ||
| pH (1:1) | 6.19 | 5.40 |
| EC (1:5) (dS/m) | 0.04 | 0.04 |
| OM (%) | 0.44 | 0.61 |
| Total N (%) | 0.04 | 0.03 |
| Available P (mg/kg) | 15.00 | 70.00 |
| K (mg/kg) | 103.96 | 71.56 |
| Ca (mg/kg) | 590.34 | 225.18 |
| Mg (mg/kg) | 62.39 | 40.05 |
| CEC (c mol/kg) | 3.00 | 3.36 |
| Treatment | Class | Active Ingredient | Trade Name | Doses |
|---|---|---|---|---|
| Manufacturer | (g a.i. ha−1) */ | |||
| Hand Weeding | − | − | − | − |
| Weedy | − | − | − | − |
| Pendimethalin | K1 | 45.5% w/v CS | Prowl CS/BASF (Bangkok, Thailand) | 1875 |
| S-metolachlor | K3 | 96% w/v EC | Dualgold/Syngenta (Samut Prakan, Thailand) | 900 |
| Flumioxazin | E | 50% WP | Zumizoya/TJC (Samut Prakan, Thailand) | 125 |
| Categories | Scientific Name | Common Name | Family |
|---|---|---|---|
| Broad-leaved weeds | Trianthema portulacastrum L. | Horse purslane | Aizoaceae |
| Oldenlandia corymbosa L. | Diamond flower | Rubiaceae | |
| Grassy weeds | Dactyloctenium aegyptium (L.) P. B. | Crowfoot grass | Gramineae |
| Digitaria ciliaris (Retz.) Koeler. | Summer grass | Gramineae | |
| Sedge weeds | Cyperus rotundus L. | Purple nutsedge | Cyperaceae |
| Variable | Weed Control Efficiency (%) | |||||||
|---|---|---|---|---|---|---|---|---|
| Rainy Season of 2023 | Dry Season of 2024/2025 | |||||||
| 21 DAA 1/ | 35 DAA | 49 DAA | 63 DAA | 21 DAA | 35 DAA | 49 DAA | 63 DAA | |
| Weed Control (WC) | ||||||||
| Hand weeding | 100.00 ± 0.00 a 2/ | 100.00 ± 0.00 a | 100.00 ± 0.00 a | 100.00 ± 0.00 a | 100.00 ± 0.00 a | 100.00 ± 0.00 a | 100.00 ± 0.00 a | 100.00 ± 0.00 a |
| Weedy | 0.00 ± 0.00 */ d | 0.00 ± 0.00 d | 0.00 ± 0.00 c | 0.00 ± 0.00 d | 0.00 ± 0.00 d | 0.00 ± 0.00 d | 0.00 ± 0.00 c | 0.00 ± 0.00 d |
| Pendimethalin | 54.54 ± 8.26 c | 41.48 ± 12.37 c | 20.22 ± 12.86 c | 10.03 ± 13.39 d | 65.50 ± 4.80 c | 65.94 ± 5.24 c | 77.41 ± 7.66 b | 81.49 ± 5.90 b |
| S-metolachlor | 87.21 ± 3.96 ab | 79.75 ± 2.35 ab | 48.30 ± 11.04 b | 61.54 ± 6.78 b | 85.32 ± 2.14 b | 82.59 ± 4.07 b | 72.79 ± 3.64 b | 64.88 ± 3.92 c |
| Flumioxazin | 76.44 ± 12.55 b | 65.17 ± 8.18 b | 55.06 ± 8.37 b | 29.96 ± 11.59 c | 66.30 ± 6.98 c | 80.16 ± 5.33 b | 78.50 ± 6.83 b | 64.32 ± 9.93 c |
| Variety (Var) | ||||||||
| Morkhor60 | 60.27 ± 9.24 | 54.63 ± 8.41 | 33.49 ± 9.72 b | 32.15 ± 10.76 b | 63.65 ± 8.43 | 67.40 ± 8.40 | 63.47 ± 8.45 | 55.77 ± 8.35 b |
| CM60 | 67.01 ± 8.89 | 59.93 ± 9.30 | 55.94 ± 8.16 a | 48.46 ± 8.39 a | 63.20 ± 7.97 | 64.08 ± 8.12 | 68.01 ± 8.28 | 68.51 ± 8.22 a |
| F-test | ||||||||
| Weed Control (WC) | ** 4/ | ** | ** | ** | ** | ** | ** | ** |
| Variety (Var) | ns | ns | ** | * 3/ | ns | ns | ns | ** |
| WC × Var | ns | ns | ** | ns 5/ | ns | ns | ns | ns |
| CV WC | 30.94 | 32.71 | 51.91 | 43.10 | 18.33 | 16.96 | 25.20 | 19.04 |
| CV WC × Var | 25.14 | 31.52 | 25.60 | 59.76 | 16.18 | 17.55 | 18.84 | 22.47 |
| Weed Species | Summed Dominance Ratio of Weed Species (%) | |||||||
|---|---|---|---|---|---|---|---|---|
| Rainy Season of 2023 | Dry Season of 2024/2025 | |||||||
| 21 DAA 1/ | 35 DAA | 49 DAA | 63 DAA | 21 DAA | 35 DAA | 49 DAA | 63 DAA | |
| Broad-Leaved | ||||||||
| Oldenlandia corymbosa L. | - 2/ | 2.19 | 11.72 | 6.51 | 0.03 | 4.16 | 9.53 | 12.03 |
| Trianthema portulacastrum L. | 49.65 | 34.88 | 11.46 | 4.18 | 2.88 | 1.7 | 1.38 | 1.55 |
| Lindernia ciliate (Colsm.) Pennell | - | - | 0.37 | 0.98 | 0.11 | - | 0.93 | 0.19 |
| Cleome rutidosperma | 0.23 | 0.15 | 0.00 | 0.00 | 0.08 | 0.09 | 0.25 | 0.03 |
| Praxelis clematidea R.M.King & H.Rob. | 4.80 | 0.75 | 2.47 | 1.66 | - | 0.04 | 0.24 | 0.00 |
| Indigofera hirsuta L. | - | - | - | - | - | 0.00 | 0.14 | 0.04 |
| Alternanthera sessilis | 0.55 | 0.35 | 0.27 | 1.02 | 0.05 | 0.23 | 0.09 | 0.13 |
| Ipomoea gracillis R.Br. | - | - | - | 0.04 | 0.00 | 0.04 | 0.03 | |
| Amaranthus viridis L. | 1.14 | 0.46 | 0.29 | 0.37 | - | 0.00 | 0.00 | 0.00 |
| Xanthium strumarium L. | - | - | - | - | 0.00 | 0.00 | 0.00 | - |
| Wrighia arborea (Dennst.) Mabb. | - | - | - | - | 0.03 | - | 0.00 | - |
| Borreria alata (Aubl.) DC. | - | - | - | - | - | - | 0.00 | - |
| Ipomoea pestigridis L. | - | - | - | - | 0.03 | 0.04 | - | - |
| Sida cordifolia L. | - | - | - | - | 0.00 | - | - | |
| Phyllanthus amarus Schumach. & Thonn. | - | - | 0.00 | - | - | - | - | - |
| Grasses | ||||||||
| Digitaria ciliaris (Retz.) Koeler | 29.09 | 38.28 | 38.19 | 37.04 | 88.51 | 88.28 | 81.58 | 81.24 |
| Dactyloctenium aegyptium (L.) P. B. | 0.43 | 6.02 | 23.61 | 32.39 | 0.00 | 0.08 | 0.86 | 1.65 |
| Eleusine indica (L.) Gaertn. | - | 0.67 | - | 0.00 | 0.55 | 0.19 | 0.21 | 0.10 |
| Cynodon dactylon (L.) Pers. | - | - | - | - | 0.00 | 1.68 | 0.00 | 0.12 |
| Eragrostis pectinacea (Michx.) Nees | - | - | - | - | - | - | 0.08 | - |
| Sedges | ||||||||
| Cyperus rotundus L. | 14.11 | 16.26 | 6.44 | 12.9 | 7.70 | 3.53 | 3.60 | 2.48 |
| Cyperus compressus L. | - | - | 5.17 | 2.98 | - | - | - | - |
| Cyperus esculentus L. | - | - | - | - | - | - | 0.46 | 0.22 |
| Cyperus difformis L. | - | - | - | - | - | - | 0.60 | 0.21 |
| Total | 100.00 | 100.00 | 100.00 | 100.00 | 100.00 | 100.00 | 100.00 | 100.00 |
| Variable | Weed Density (plants m−2) | |||||||||||||||||||
|---|---|---|---|---|---|---|---|---|---|---|---|---|---|---|---|---|---|---|---|---|
| Broad-Leaved | Grasses | Sedges | ||||||||||||||||||
| Trianthema portulacastrum L. | Oldenlandia corymbosa L. | Digitaria ciliaris (Retz.) Koeler. | Dactyloctenium aegyptium (L.) P.B. | Cyperus rotundus L. | ||||||||||||||||
| 21 DAA 1/ | 35 DAA | 49 DAA | 63 DAA | 21 DAA | 35 DAA | 49 DAA | 63 DAA | 21 DAA | 35 DAA | 49 DAA | 63 DAA | 21 DAA | 35 DAA | 49 DAA | 63 DAA | 21 DAA | 35 DAA | 49 DAA | 63 DAA | |
| Weed Control | Rainy Season of 2023 | |||||||||||||||||||
| Hand weeding | 0.00 b 2/ | 0.00 c | 0.00 b | 0.00 b | 0.00 | 0.00 | 0.00 b | 0.00 b | 0.00 b | 0.00 b | 0.00 b | 0.00 b | 0.00 | 0.00 b | 0.00 b | 0.00 b | 0.00 c | 0.00 c | 0.00 b | 0.00 b |
| Weedy | 141.13 a | 87.50 a | 20.37 a | 3.75 b | 0.00 | 7.50 | 33.50 a | 7.50 a | 88.62 a | 78.00 a | 47.12 a | 29.12 a | 1.25 | 10.00 a | 18.50 a | 16.12 a | 36.87 b | 43.75 bc | 14.12 b | 11.87 b |
| Pendimethalin | 0.87 b | 0.62 c | 0.00 b | 0.75 b | 0.00 | 0.00 | 0.00 b | 0.75 b | 0.12 b | 1.37 b | 4.25 b | 2.75 b | 0.00 | 0.25 b | 0.12 b | 0.12 b | 73.50 a | 109.12 a | 83.87 a | 94.24 a |
| S-metolachlor | 26.50 b | 35.12 b | 26.37 a | 12.12 a | 0.00 | 0.00 | 0.25 b | 0.12 b | 4.00 b | 0.50 b | 1.87 b | 2.75 b | 0.00 | 0.00 b | 0.00 b | 2.00 b | 5.87 c | 9.25 c | 20.37 b | 18.00 b |
| Flumioxazin | 2.00 b | 1.12 c | 6.00 b | 3.00 b | 0.00 | 0.00 | 0.00 b | 0.00 b | 8.50 b | 2.37 b | 9.87 b | 7.37 b | 0.00 | 0.75 b | 1.37 b | 2.87 b | 22.00 bc | 61.75 ab | 71.75 a | 73.87 a |
| Variety | ||||||||||||||||||||
| Morkhor60 | 24.4 | 21.55 | 9.60 | 4.75 | 0.00 | 3.00 | 6.65 | 1.85 | 23.50 | 13.95 | 12.80 | 10.95 | 0.25 | 3.85 a | 3.40 | 3.30 | 26.25 | 46.40 | 39.60 | 46.15 |
| CM60 | 43.75 | 28.20 | 11.45 | 3.10 | 0.00 | 0.00 | 6.85 | 1.50 | 17.00 | 18.95 | 12.45 | 7.60 | 0.25 | 0.50 b | 4.60 | 5.15 | 29.05 | 43.15 | 37.25 | 33.05 |
| Weed Control | Dry Season of 2024/2025 | |||||||||||||||||||
| Hand weeding | 0.00 b | 0.00 b | 0.00 b | 0.00 b | 0.00 | 0.00 b | 0.00 b | 0.00 b | 0.00 b | 0.00 b | 0.00 c | 0.00 c | 0.00 | 0.00 | 0.00 | 0.00 | 0.00 d | 0.00 c | 0.00 b | 0.00 c |
| Weedy | 19.88 a | 8.63 b | 5.88 b | 5.00 b | 0.13 | 21.75 a | 57.50 a | 55.25 a | 363.88 a | 301.75 a | 200.12 a | 151.50 a | 0.00 | 0.25 | 2.00 | 4.25 | 14.13 bc | 11.38 bc | 13.75 b | 8.50 bc |
| Pendimethalin | 0.00 b | 0.63 b | 0.00 b | 0.50 b | 0.00 | 0.00 b | 0.13 b | 0.00 b | 5.50 b | 5.25 b | 12.63 c | 18.00 c | 0.13 | 0.00 | 0.38 | 0.00 | 25.88 a | 53.88 a | 51.75 a | 32.63 a |
| S-metolachlor | 7.88 b | 22.63 a | 16.38 a | 12.25 a | 0.00 | 5.00 b | 14.88 b | 12.75 b | 14.50 b | 48.75 b | 78.00 b | 69.88 b | 0.00 | 0.00 | 1.50 | 3.25 | 6.00 cd | 3.75 bc | 9.75 b | 3.13 c |
| Flumioxazin | 0.38 b | 0.25 b | 0.63 b | 1.38 b | 0.00 | 0.00 b | 0.00 b | 0.00 b | 15.75 b | 33.00 b | 65.00 b | 56.00 b | 1.63 | 0.00 | 3.50 | 2.63 | 20.50 ab | 19.75 b | 25.38 ab | 16.88 b |
| Variety | ||||||||||||||||||||
| Morkhor60 | 5.25 | 8.50 | 5.10 | 4.85 a | 0.05 | 4.05 | 19.70 | 22.15 a | 79.15 | 80.70 | 74.60 | 45.35 b | 0.20 | 0.00 | 0.15 b | 0.00 b | 13.65 | 16.60 | 15.40 | 10.30 |
| CM60 | 6.00 | 4.35 | 4.05 | 2.80 a | 0.00 | 6.65 | 9.30 | 5.05 b | 80.70 | 74.80 | 67.70 | 72.80 a | 0.50 | 0.10 | 2.80 a | 4.05 a | 12.95 | 18.90 | 24.85 | 14.15 |
| Variable | Weed Density (plants m−2) | |||||||||||||||||||
|---|---|---|---|---|---|---|---|---|---|---|---|---|---|---|---|---|---|---|---|---|
| Broad-Leaved | Grasses | Sedges | ||||||||||||||||||
| Trianthema portulacastrum L. | Oldenlandia corymbosa L. | Digitaria ciliaris (Retz.) Koeler. | Dactyloctenium aegyptium (L.) P.B. | Cyperus rotundus L. | ||||||||||||||||
| 21 DAA 1/ | 35 DAA | 49 DAA | 63 DAA | 21 DAA | 35 DAA | 49 DAA | 63 DAA | 21 DAA | 35 DAA | 49 DAA | 63 DAA | 21 DAA | 35 DAA | 49 DAA | 63 DAA | 21 DAA | 35 DAA | 49 DAA | 63 DAA | |
| Weed Control | Rainy Season of 2023 | |||||||||||||||||||
| Hand weeding | 0.00 b 2/ | 0.00 c | 0.00 b | 0.00 b | 0.00 | 0.00 | 0.00 b | 0.00 | 0.00 b | 0.00 b | 0.00 c | 0.00 c | 0.00 | 0.00.b | 0.00 b | 0.00 b | 0.00 b | 0.00 c | 0.00 c | 0.00 c |
| Weedy | 17.34 a | 35.25 a | 13.16 b | 4.46 b | 0.00 | 0.25 | 2.20 a | 2.45 | 7.27 a | 49.16 a | 68.21 a | 78.02 a | 0.10 | 8.46 a | 56.05 a | 92.83 b | 3.85 b | 16.01 c | 4.77 c | 21.83 c |
| Pendimethalin | 0.03 b | 0.97 c | 0.00 b | 4.38 b | 0.00 | 0.00 | 0.00 b | 0.15 | 6.25 b | 1.47 b | 25.68 b | 9.00 bc | 0.00 | 0.36 b | 0.17 b | 0.37 b | 13.47 a | 53.68 a | 58.36 a | 148.10 a |
| S-metolachlor | 2.47 b | 15.67 b | 48.16 a | 35.52 a | 0.00 | 0.00 | 0.67 b | 0.01 | 0.20 b | 0.22 b | 2.76 bc | 9.66 bc | 0.00 | 0.00 b | 0.00 b | 0.37 b | 0.76 b | 2.50 c | 5.71 c | 14.76 c |
| Flumioxazin | 0.18 b | 1.20 c | 5.31 b | 7.08 b | 0.00 | 0.00 | 0.00 b | 0.00 | 0.66 b | 1.73 b | 9.77 bc | 23.55 b | 0.00 | 0.71 b | 7.53 b | 7.91 b | 4.27 b | 34.61 b | 40.28 b | 98.86 b |
| Variety | ||||||||||||||||||||
| Morkhor60 | 3.24 | 10.13 | 14.65 | 11.29 | 0.00 | 0.10 | 0.84 | 0.17 | 1.90 | 9.48 | 22.01 | 27.80 a | 0.03 | 3.06 a | 9.05 | 17.71 | 4.28 | 23.19 | 25.37 | 70.79 |
| CM60 | 4.77 | 11.10 | 12.00 | 9.29 | 0.00 | 0.00 | 0.31 | 0.87 | 1.35 | 11.55 | 20.56 | 20.29 b | 0.00 | 0.75 b | 16.45 | 22.87 | 4.66 | 19.53 | 18.28 | 42.63 |
| Weed Control | Dry Season of 2024/2025 | |||||||||||||||||||
| Hand weeding | 0.00 b | 0.00 | 0.00 b | 0.00 b | 0.00 | 0.00 b | 0.00 b | 0.00 b | 0.00 b | 0.00 b | 0.00 d | 0.00 c | 0.00 b | 0.00 | 0.00 | 0.00 b | 0.00 c | 0.00 c | 0.00 b | 0.00 c |
| Weedy | 0.79 a | 0.81 | 0.79 b | 0.57 b | 0.01 | 1.32 a | 2.79 a | 2.34 a | 48.09 a | 164.90 a | 238.59 a | 194.22 a | 0.00 b | 0.10 | 2.01 | 4.15 a | 6.21 bc | 4.94 bc | 4.72 b | 2.64 bc |
| Pendimethalin | 0.00 b | 2.09 | 0.00 b | 0.03 b | 0.00 | 0.00 b | 0.01 b | 0.00 b | 3.43 b | 11.27 b | 9.05 cd | 15.77 c | 0.05 ab | 0.00 | 4.22 | 0.00 b | 15.41 a | 40.31 a | 28.63 a | 11.32 a |
| S-metolachlor | 0.33 ab | 3.88 | 4.91 a | 3.74 a | 0.00 | 0.26 b | 0.75 b | 0.51 b | 4.04 b | 20.11 b | 57.94 b | 59.93 b | 0.00 b | 0.00 | 0.29 | 1.83 ab | 3.40 c | 1.70 bc | 3.81 b | 0.83 c |
| Flumioxazin | 0.03 b | 0.11 | 0.05 b | 0.15 b | 0.00 | 0.00 b | 0.00 b | 0.00 b | 4.01 b | 20.17 b | 34.41 bc | 53.88 b | 0.95 a | 0.00 | 1.13 | 1.47 b | 12.88 ab | 11.85 b | 9.94 b | 5.07 b |
| Variety | ||||||||||||||||||||
| Morkhor60 | 0.17 | 1.53 | 1.02 | 1.36 | 0.01 | 0.29 | 0.60 | 0.91 a | 12.49 | 49.30 | 46.64 b | 56.79 b | 0.13 | 0.00 | 1.69 | 0.00 b | 7.75 | 12.25 | 5.75 | 3.90 |
| CM60 | 0.29 | 1.22 | 1.28 | 0.44 | 0.00 | 0.34 | 0.82 | 0.23 b | 11.34 | 37.27 | 89.36 a | 72.73 a | 0.28 | 0.04 | 1.37 | 2.98 a | 7.41 | 11.27 | 13.09 | 4.05 |
| Variable | Germination Rate (%) at 14 DAA 1/ | |
|---|---|---|
| Rainy Season | Dry Season | |
| Weed Control (WC) | ||
| Hand weeding | 93.43 a 2/ | 95.13 |
| Weedy | 84.41 ab | 96.25 |
| Pendimethalin | 80.00 ab | 95.88 |
| S-metolachlor | 73.04 b | 95.50 |
| Flumioxazin | 33.65 c | 92.13 |
| Variety (Var) | ||
| Morkhor60 | 63.21 b | 92.10 b |
| CM60 | 83.00 a | 97.85 a |
| F-test | ||
| Weed Control (WC) | ** 4/ | ns 5/ |
| Variety (Var) | * 3/ | ** |
| WC × Var | ns | ns |
| CV WC | 24.17 | 3.49 |
| CV WC × Var | 23.33 | 3.26 |
| Variable | Soybean Yield and Yield Component | |||||||||||||
|---|---|---|---|---|---|---|---|---|---|---|---|---|---|---|
| Rainy Season of 2023 | Dry Season of 2024/2025 | |||||||||||||
| Pods on Branches | Pods on Main Stem | Seed Number/ Pod | Weight of 100 Seeds (g) | Grain Yield (kg ha−1) | Grain Yield Loss (%) | Plant Population (Plant ha−1) | Pods on Branches | Pods on Main Stem | Seed Number/ Pod | Weight of 100 Seeds (g) | Grain Yield (kg ha−1) | Grain Yield Loss (%) | Plant Population (Plant ha−1) | |
| Weed Control (WC) | ||||||||||||||
| Hand weeding | 20.21 a | 18.31 ab | 2.40 | 17.15 a | 1090.50 a | 0.00 | 224,400 a | 11.46 a | 19.40 a | 2.26 | 17.62 a | 1366.50 a | 0.00 | 228,050 ab |
| Weedy | 8.95 d | 15.64 b | 2.30 | 16.43 ab | 481.30 b | 55.86 | 202,950 ab | 2.80 c | 8.56 c | 2.16 | 16.94 ab | 422.40 d | 69.09 | 230,550 a |
| Pendimethalin | 13.82 c | 15.44 b | 2.43 | 15.87 b | 365.50 c | 66.48 | 194,850 ab | 9.85 b | 18.13 a | 2.30 | 16.78 ab | 1129.40 bc | 17.35 | 228,350 ab |
| S-metolachlor | 16.50 b 1/ | 20.90 a | 2.48 | 16.94 a | 1036.30 a | 4.97 | 175,950 b | 9.84 b | 14.89 b | 2.28 | 15.61 c | 954.80 c | 30.13 | 227,750 ab |
| Flumioxazin | 17.59 b | 20.43 a | 2.50 | 16.93 a | 360.20 c | 66.97 | 82,350 c | 9.93 b | 17.37 a | 2.30 | 16.24 bc | 1242.60 ab | 9.07 | 219,850 b |
| Variety (Var) | ||||||||||||||
| Morkhor60 | 18.68 a | 19.10 a | 2.48 a | 15.48 b | 603.05 b | - | 152,580 b | 11.11 a | 14.98 b | 2.34 a | 15.94 b | 1028.7 | - | 219,980 b |
| CM60 | 12.15 b | 17.18 b | 2.36 b | 17.85 a | 730.48 a | - | 199,620 a | 6.44 b | 16.36 a | 2.17 b | 17.35 a | 1017.5 | - | 233,840 a |
| F-tests | ||||||||||||||
| Weed Control (WC) | ** 4/ | ** | ns 2/ | * | ** | - | ** | ** | ** | ns | ** | ** | - | ns |
| Variety (Var) | ** | * | * 3/ | ** | ** | - | ** | ** | * | ** | ** | ns | - | ** |
| WC × Var | ** | ** | ns | ns | ** | - | ns | ** | ** | ns | ** | ns | - | ns |
| CV WC | 15.53 | 14.51 | 6.75 | 4.21 | 13.55 | - | 23.84 | 13.05 | 14.39 | 5.44 | 4.76 | 17.70 | - | 3.48 |
| CV WC × Var | 11.75 | 13.45 | 5.84 | 7.57 | 17.93 | - | 23.01 | 13.99 | 10.96 | 4.54 | 4.77 | 16.5 | - | 3.35 |
Disclaimer/Publisher’s Note: The statements, opinions and data contained in all publications are solely those of the individual author(s) and contributor(s) and not of MDPI and/or the editor(s). MDPI and/or the editor(s) disclaim responsibility for any injury to people or property resulting from any ideas, methods, instructions or products referred to in the content. |
© 2025 by the authors. Licensee MDPI, Basel, Switzerland. This article is an open access article distributed under the terms and conditions of the Creative Commons Attribution (CC BY) license (https://creativecommons.org/licenses/by/4.0/).
Share and Cite
Pamungkas, U.R.R.; Chankaew, S.; Jongrungklang, N.; Monkham, T.; Gonkhamdee, S. The Efficacy of Pre-Emergence Herbicides Against Dominant Soybean Weeds in Northeast Thailand. Agronomy 2025, 15, 1725. https://doi.org/10.3390/agronomy15071725
Pamungkas URR, Chankaew S, Jongrungklang N, Monkham T, Gonkhamdee S. The Efficacy of Pre-Emergence Herbicides Against Dominant Soybean Weeds in Northeast Thailand. Agronomy. 2025; 15(7):1725. https://doi.org/10.3390/agronomy15071725
Chicago/Turabian StylePamungkas, Ultra Rizqi Restu, Sompong Chankaew, Nakorn Jongrungklang, Tidarat Monkham, and Santimaitree Gonkhamdee. 2025. "The Efficacy of Pre-Emergence Herbicides Against Dominant Soybean Weeds in Northeast Thailand" Agronomy 15, no. 7: 1725. https://doi.org/10.3390/agronomy15071725
APA StylePamungkas, U. R. R., Chankaew, S., Jongrungklang, N., Monkham, T., & Gonkhamdee, S. (2025). The Efficacy of Pre-Emergence Herbicides Against Dominant Soybean Weeds in Northeast Thailand. Agronomy, 15(7), 1725. https://doi.org/10.3390/agronomy15071725

