The Combined Effects of Irrigation, Tillage and N Management on Wheat Grain Yield and Quality in a Drought-Prone Region of China
Abstract
1. Introduction
2. Materials and Methods
2.1. Study Site Description
2.2. Experimental Design and Field Managements
2.3. Measurements and Methods
2.3.1. Grain Yield
2.3.2. Plant N Characteristics
2.3.3. Contents of Total Protein and Protein Components
2.3.4. Processing Quality
2.4. Statistical Analysis
3. Results
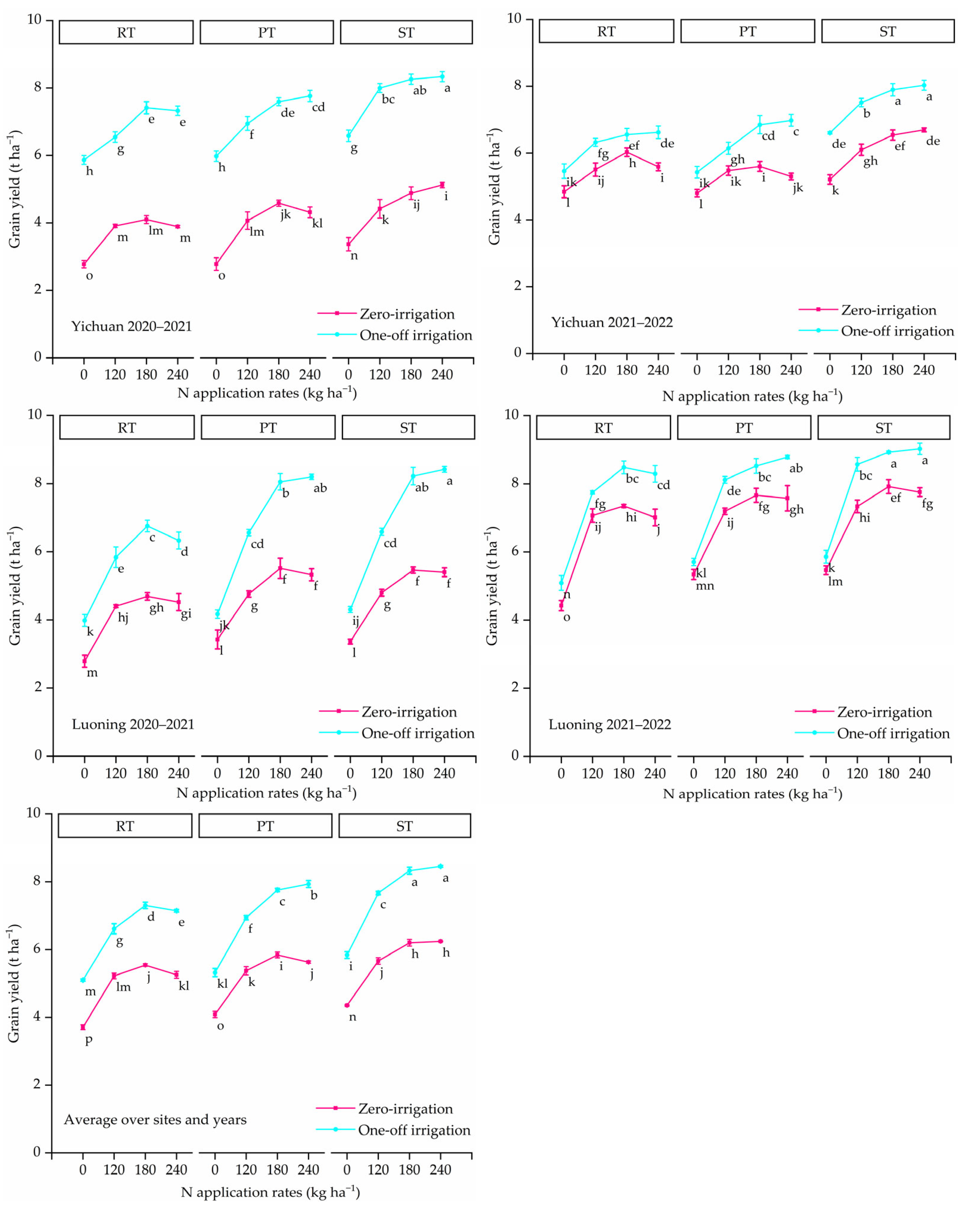
3.1. Grain Yield
3.2. Contents of Total Protein and Protein Components
3.3. Processing Quality
3.4. Above-Ground and Grain N Accumulation at Maturity
3.5. N Accumulation, Translocation, and Its Contribution to Grain N

| Source of Variance | ANA (kg ha−1) | GNA (kg ha−1) | PRNA (kg ha−1) | PRNT (kg ha−1) | CRPR (%) | PONA (kg ha−1) | CRPO (%) |
|---|---|---|---|---|---|---|---|
| S | 2.9 ns | 0.1 ns | 673.9 ** | 4.8 * | 5.8 * | 16.2 ** | 5.9 * |
| I | 493.3 ** | 8492.2 ** | 4502.9 ** | 2663.3 ** | 124.2 ** | 2.3 ns | 120.9 ** |
| T | 28.9 ** | 700.7 ** | 253.9 ** | 169.5 ** | 5.0 ** | 6.7 ns | 4.4 * |
| N | 152.9 ** | 2451.4 ** | 2839.9 ** | 1170.4 ** | 28.0 ** | 12.8 ** | 28.0 ** |
| S×I | 41.5 ** | 14.9 ** | 270.1 ** | 170.7 ** | 30.2 ** | 2.2 ns | 32.1 ** |
| S×T | 5.0 ** | 14.7 ** | 40.9 ** | 37.3 ** | 10.1 ** | 7.3 ** | 9.8 ** |
| S×N | 26.6 ** | 44.4 ** | 58.5 ** | 60.5 ** | 1.4 ns | 12.6 ** | 1.6 ns |
| I×T | 0.2 ns | 26.8 ** | 28.8 ** | 7.9 ** | 1.3 ns | 1.9 ns | 1.6 ns |
| I×N | 4.3 ** | 75.5 ** | 97.3 ** | 45.9 ** | 0.1 ns | 1.2 ns | 0.0 ns |
| T×N | 0.8 ns | 29.5 ** | 15.2 ** | 4.2 ** | 1.6 ns | 0.5 ns | 1.8 ns |
| S×I×T | 2.9 ns | 2.8 ns | 9.4 ** | 7.9 ** | 7.5 ** | 1.0 ns | 7.5 ** |
| S×I×N | 1.0 ns | 4.7 ** | 4.8 ** | 7.8 ** | 1.6 ns | 1.7 ns | 1.8 ns |
| S×T×N | 0.4 ns | 2.2 ns | 3.6 ** | 2.4 * | 1.8 ns | 0.7 ns | 1.9 ns |
| I×T×N | 0.2 ns | 2.3 ns | 3.7 ** | 2.3 ns | 1.1 ns | 0.6 ns | 1.0 ns |
| S×I×T×N | 0.2 ns | 0.8 ns | 1.3 ns | 0.4 ns | 0.3 ns | 0.9 ns | 1.4 ns |
3.6. Correlation Analysis of Grain Yield, Quality and Plant N Characteristics
4. Discussion
4.1. Wheat Yield Is Affected by Irrigation Practices, Tillage Methods, and N Management
4.2. One-Off Irrigation, Subsoiling and N180 Could Maintain the Contents of Protein and Protein Components in Wheat Grains in Drought-Prone Regions
4.3. Wheat Processing Quality Is Affected by Irrigation Practices, Tillage Methods and N Management and Their Interactions
5. Conclusions
Author Contributions
Funding
Data Availability Statement
Acknowledgments
Conflicts of Interest
References
- Sieling, K.; Kage, H. Apparent fertilizer N recovery and the relationship between grain yield and grain protein concentration of different winter wheat varieties in a long-term field trial. Eur. J. Agron. 2021, 124, 126246. [Google Scholar] [CrossRef]
- Zhang, C.; Chen, J.; Hu, K.; He, Y. Enhancing wheat protein through low-water-fertility under climate change without yield penalty. Agric. Water Manag. 2024, 300, 108909. [Google Scholar] [CrossRef]
- Asif, M.; Tunc, C.E.; Yazici, M.A.; Tutus, Y.; Rehman, R.; Rehman, A.; Ozturk, L. Effect of predicted climate change on growth and yield performance of wheat under varied nitrogen and zinc supply. Plant Soil 2019, 434, 231–244. [Google Scholar] [CrossRef]
- Peng, Y.; Zhao, Y.; Yu, Z.; Zeng, J.; Xu, D.; Dong, J.; Ma, W. Wheat quality formation and its regulatory mechanism. Front. Plant Sci. 2022, 13, 834654. [Google Scholar] [CrossRef] [PubMed]
- Yao, C.; Ren, J.; Li, H.; Zhang, Z.; Wang, Z.; Sun, Z.; Zhang, Y. Can wheat yield, N use efficiency and processing quality be improved simultaneously? Agric. Water Manag. 2022, 275, 108006. [Google Scholar] [CrossRef]
- Hu, N.; Du, C.; Zhang, W.; Liu, Y.; Zhang, Y.; Zhao, Z.; Wang, Z. Did wheat breeding simultaneously improve grain yield and quality of wheat cultivars releasing over the past 20 years in China? Agronomy 2022, 12, 2109. [Google Scholar] [CrossRef]
- Larroque, O.R.; Calderini, D.F.; Angus, J.F. Managing dryland wheat to produce high-quality grain. Field Crops Res. 2022, 280, 108473. [Google Scholar] [CrossRef]
- Singh, J.; Skerritt, J.H. Chromosomal control of albumins and globulins in wheat grain sssessed using different fractionation procedures. J. Cereal Sci. 2001, 33, 163–181. [Google Scholar] [CrossRef]
- Plessis, A.; Ravel, C.; Bordes, J.; Balfourier, F.; Martre, P. Association study of wheat grain protein composition reveals that gliadin and glutenin composition are trans−regulated by different chromosome regions. J. Exp. Bot. 2013, 64, 3627–3644. [Google Scholar] [CrossRef]
- Thanhaeuser, S.M.; Wieser, H.; Koehler, P. Correlation of quality parameters with the baking performance of wheat flours. Cereal Chem. 2014, 91, 333–341. [Google Scholar] [CrossRef]
- Xue, C.; Erley, G.S.A.; Rücker, S.; Koehler, P.; Obenauf, U.; Mühling, K.H. Late nitrogen application increased protein concentration but not baking quality of wheat. J. Plant Nutr. Soil Sci. 2016, 179, 591–601. [Google Scholar] [CrossRef]
- Luo, L.; Wang, Z.; Huang, M.; Hui, X.; Wang, S.; Zhao, Y.; He, H.; Zhang, X.; Diao, C.; Cao, H.; et al. Plastic film mulch increased winter wheat grain yield but reduced its protein content in dryland of Northwest China. Field Crops Res. 2018, 218, 69–77. [Google Scholar] [CrossRef]
- AQSIQ GB/T, 2013 17320–2013; General Administration of Quality Supervision, Inspection and Quarantine of the People’s Republic of China. Standardization Administration of the People’s Republic of China (AQSIQ). Standards Press of China: Beijing, China, 2013. Available online: https://openstd.samr.gov.cn/bzgk/gb/newGbInfo?hcno=BA2618999FD025BFE3D9B82849E3BB4E&refer=outter (accessed on 19 July 2013).
- Ma, M.; Li, Y.; Xue, C.; Xiong, W.; Peng, Z.; Han, X.; Ju, H.; He, Y. Current situation and key parameters for improving wheat quality in China. Front. Plant Sci. 2021, 12, 638525. [Google Scholar] [CrossRef]
- Zhang, X.; Li, X.; Luo, L.; Ma, Q.; Ma, Q.; Hui, X.; Wang, S.; Liu, J.; Wang, Z. Monitoring wheat nitrogen requirement and top soil nitrate for nitrate residue controlling in drylands. J. Clean. Prod. 2019, 241, 118372. [Google Scholar] [CrossRef]
- Huang, M.; Li, W.; Hu, C.; Wu, J.; Wang, H.; Fu, G.; Shaaban, M.; Li, Y.; Li, G. Coupled one-off alternate furrow irrigation with nitrogen topdressing at jointing optimizes soil nitrate-N distribution and wheat nitrogen productivity in dryland. Front. Plant Sci. 2024, 15, 1372385. [Google Scholar] [CrossRef]
- Ren, X.; Chen, X.; Jia, Z. Effect of rainfall collecting with ridge and furrow on soil moisture and root growth of corn in semiarid Northwest China. J. Agron. Crop Sci. 2010, 196, 109–122. [Google Scholar] [CrossRef]
- Zhao, K.; Wang, H.; Wu, J.; Liu, A.; Huang, X.; Li, G.; Wu, S.; Zhang, J.; Zhang, Z.; Hou, Y.; et al. One-off irrigation improves water and nitrogen use efficiency and productivity of wheat as mediated by nitrogen rate and tillage in drought-prone areas. Field Crops Res. 2023, 295, 108898. [Google Scholar] [CrossRef]
- Liu, W.; Ma, G.; Wang, C.; Wang, J.; Lu, H.; Li, S.; Feng, W.; Xie, Y.; Ma, D.; Kang, G. Irrigation and nitrogen regimes promote the use of soil water and nitrate nitrogen from deep soil layers by regulating root growth in wheat. Front. Plant Sci. 2018, 10, 181. [Google Scholar] [CrossRef]
- Luo, W.; Shi, Z.; Wang, X.; Li, J.; Wang, R. Effects of water saving and nitrogen reduction on soil nitrate nitrogen distribution, water and nitrogen use efficiencies of winter wheat. Acta Agron. Sin. 2020, 46, 924–936. [Google Scholar] [CrossRef]
- Mosleth, E.F.; Lillehammer, M.; Pellny, T.K.; Wood, A.J.; Riche, A.B.; Hussain, A.; Griffiths, S.; Hawkesford, M.J.; Shewry, P.R. Genetic variation and heritability of grain protein deviation in European wheat genotypes. Field Crops Res. 2020, 255, 107896. [Google Scholar] [CrossRef]
- Yue, S.; Meng, Q.; Zhao, R.; Ye, Y.; Zhang, F.; Cui, Z.; Chen, X. Change in nitrogen requirement with increasing grain yield for winter wheat. Agron. J. 2012, 104, 1687–1693. [Google Scholar] [CrossRef]
- Mehrabi, F.; Sepaskhah, A.R. Partial root zone drying irrigation, planting methods and nitrogen fertilization influence on physiologic and agronomic parameters of winter wheat. Agric. Water Manag. 2019, 223, 105688. [Google Scholar] [CrossRef]
- Abdollah, B.; Hosein, H.S.A.; Amir, A. Nitrogen remobilization in wheat as influenced by nitrogen application and post−anthesis water deficit during grain filling. Afr. J. Biotechnol. 2011, 10, 10585–10594. [Google Scholar] [CrossRef]
- Klikocka, H.; Cybulska, M.; Barczak, B.; Narolski, B.; Szostak, B.; Kobialka, A.; Nowak, A.; Wojcik, E. The effect of sulphur and nitrogen fertilization on grain yield and technological quality of spring wheat. Plant Soil Environ. 2016, 62, 230–236. [Google Scholar] [CrossRef]
- Yan, F.; Zhang, F.; Fan, J.; Hou, X.; Bai, W.; Liu, X.; Wang, Y.; Pan, X. Optimization of irrigation and nitrogen fertilization increases ash salt accumulation and ions absorption of drip-fertigated sugar beet in saline-alkali soils. Field Crops Res. 2021, 271, 108247. [Google Scholar] [CrossRef]
- Sun, M.; Ge, X.; Gao, Z.; Ren, A.; Deng, Y.; Zhao, W.; Zhao, H. Relationship between water storage conservation in fallow period and grains protein formation in dryland wheat in different precipitation years. Sci. Agric. Sin. 2014, 47, 1692–1704. [Google Scholar]
- Huang, M.; Wu, J.; Li, Y.; Fu, G.; Zhao, K.; Zhang, Z.; Yang, Z.; Hou, Y. Effects of tillage methods and nitrogen fertilizer application rates on grain yield, protein content in winter wheat and soil nitrate residue in dryland. Sci. Agric. Sin. 2021, 54, 5206–5219. [Google Scholar] [CrossRef]
- Wu, J.; Wang, R.; Zhao, W.; Zhao, K.; Wu, S.; Zhang, J.; Wang, H.; Fu, G.; Huang, M.; Li, Y. Combined subsoiling and ridge–furrow rainfall harvesting during the summer fallow season improves wheat yield, water and nutrient use efficiency, and quality and reduces soil nitrate-N residue in the dryland summer fallow-winter wheat rotation. Front. Plant Sci. 2024, 15, 1401287. [Google Scholar] [CrossRef]
- Wang, H.; Guo, Z.; Shi, Y.; Zhang, Y.; Yu, Z. Impact of tillage methods on nitrogen accumulation and translocation in wheat and soil nitrate−nitrogen leaching in dryland regions. Soil Till Res. 2015, 153, 20–27. [Google Scholar] [CrossRef]
- He, J.; Shi, Y.; Yu, Z. Subsoiling improves soil physical and microbial properties, and increases yield of winter wheat in the Huang-Huai-Hai Plain of China. Soil Till Res. 2019, 187, 182–193. [Google Scholar] [CrossRef]
- Chen, J.; Zheng, M.; Pang, D.; Yin, Y.; Han, M.; Li, Y. Straw return and appropriate tillage method improve grain yield and nitrogen efficiency of winter wheat. J. Integr. Agric. 2017, 16, 1708–1719. [Google Scholar] [CrossRef]
- Buczek, J.; Migut, D.; Janczak-Pieniazek, M. Effect of soil tillage practice on photosynthesis, grain yield and quality of hybrid winter wheat. Agriculture 2021, 11, 479. [Google Scholar] [CrossRef]
- Lv, G.; Han, W.; Wang, H.; Bai, W.; Song, J. Effect of subsoiling on tillers, root density and nitrogen use efficiency of winter wheat in Loessal soil. Plant Soil Environ. 2019, 65, 456–462. [Google Scholar] [CrossRef]
- Xue, L.; Khan, S.; Sun, M.; Anwar, S.; Ren, A.; Gao, Z.; Lin, W.; Xue, J.; Yang, Z.; Deng, Y. Effects of tillage methods on water consumption and grain yield of dryland winter wheat under different precipitation distribution in the Loess plateau of China. Soil Tillage Res. 2019, 191, 66–74. [Google Scholar] [CrossRef]
- Li, H.; Zhang, Y.; Zhang, Q.; Ahmad, N.; Liu, P.; Wang, R.; Li, J.; Wang, X. Converting continuous cropping to rotation including subsoiling improves crop yield and prevents soil water deficit: A 12-yr in-situ study in the Loess Plateau, China. Agric. Water Manag. 2021, 256, 107062. [Google Scholar] [CrossRef]
- Jia, M.; Huang, L.; LI, Q.; Zhao, J.; Zhang, Y.; Yang, D.; Wang, H. Effects of tillage methods on physico-chemical and microbial characteristics of farmland soil and nutritional quality of wheat. J. Plant Resour. Environ. 2022, 28, 1964–1976. [Google Scholar] [CrossRef]
- Xue, L.; Sun, M.; Gao, Z.; Wang, P.; Ren, A.; Lei, M.; Yang, Z. Effects of incremental seeding rate under sub−soiling during the fallow period on nitrogen absorption and utilization, yield and grain protein content in dryland wheat. Sci. Agric. Sin. 2017, 50, 2451–2462. [Google Scholar] [CrossRef]
- Cociu, A.I.; Alionte, E. Effect of different tillage systems on grain yield and its quality of winter wheat, maize, and soybean under different weather conditions. Rom. Agric. Res. 2017, 34, 59–67. [Google Scholar]
- Sun, M.; Gao, Z.; Zhao, W.; Deng, L.; Deng, Y.; Zhao, H.; Ren, A.; Li, G.; Yang, Z. Effect of subsoiling in fallow period on soil water storage and grain protein accumulation of dryland wheat and its regulatory effect by nitrogen application. PLoS ONE 2013, 8, e75191. [Google Scholar] [CrossRef]
- Campiglia, E.; Mancinelli, R.; Stefanis, E.D.; Pucciarmati, S.; Radicetti, E. The long−term effects of conventional and organic cropping systems, tillage managements and weather conditions on yield and grain quality of durum wheat (Triticum durum Desf.) in the Mediterranean environment of Central Italy. Field Crops Res. 2015, 17, 634–644. [Google Scholar] [CrossRef]
- Ekren, S.; Sönmez, C.; Özcakal, E.; Kurttas, Y.S.K.; Bayram, E.; Gürgülü, H. The effect of different irrigation water levels on yield and quality characteristics of purple basil (Ocimum basilicum L.). Agric. Water Manag. 2012, 109, 155–161. [Google Scholar] [CrossRef]
- Zhao, H.; Guo, B.; Wei, Y.; Zhang, B. Near infrared reflectance spectroscopy for determination of the geographical origin of wheat. Food Chem. 2013, 138, 1902–1907. [Google Scholar] [CrossRef]
- Zhong, C.; Zhang, Z.; Huang, M.; Li, Q.; Zhong, Y.; Wang, X.; Cai, J.; Dai, T.; Zhou, Q.; Jiang, D. Screening of superior wheat lines under nitrogen regulation and factors affecting grain quality improvement under high yield. J. Cereal Sci. 2024, 118, 103958. [Google Scholar] [CrossRef]
- Wang, Z.; Li, S. Nitrate N loss by leaching and surface runoff in agricultural land: A global issue (a review). Adv. Agron. 2019, 156, 159–217. [Google Scholar] [CrossRef]
- Sang, X.; Wang, D.; Lin, X. Effects of tillage methods on water consumption characteristics and grain yield of winter wheat under different soil moisture conditions. Soil Tillage Res. 2016, 163, 185–194. [Google Scholar] [CrossRef]
- Latifmanesh, H.; Deng, A.; Nawaz, M.M.; Li, L.; Chen, Z.; Zheng, Y.; Wang, P.; Song, Z.; Zhang, J.; Zheng, C.; et al. Integrative impacts of rotational tillage on wheat yield and dry matter accumulation under corn−wheat cropping system. Soil Tillage Res. 2018, 184, 100–108. [Google Scholar] [CrossRef]
- Ali, S.; Ma, X.; Jia, Q.; Ahmad, I.; Ahmad, S.; Ahmad, S.; Sha, Z.; Yun, B.; Muhammad, A.; Ren, X.; et al. Supplemental irrigation strategy for improving grain filling, economic return, and production in winter wheat under the ridge and furrow rainwater harvesting system. Agric. Water Manag. 2019, 226, 105842. [Google Scholar] [CrossRef]
- Yu, J.; Zhao, C.; Shuang, L.; Fan, L.; Song, Z.; Yang, S.; Zhang, X.; Xia, Q.; Gao, Z.; Yang, Z. Effect of irrigation on grain yield and nutritional quality of strong gluten wheat. J. Triticeae Crops. 2020, 40, 1514–1523. [Google Scholar]
- Ma, G.; Zhang, P.; Wang, C.; Liu, W.; Zhang, M.; Ma, D.; Xie, Y.; Zhu, Y.; Guo, T. Regulation effect of irrigation and nitrogen on post-anthesis nitrogen accumulation, translocation and grain yield of high-yield wheat. J. Triticeae Crops. 2015, 35, 798–805. [Google Scholar]
- Ali, S.; Xu, Y.; Ahmad, I.; Jia, Q.; Ma, X.; Ullah, H.; Alam, M.; Daur, I.; Ren, X.; Cai, T.; et al. Tillage and deficit irrigation strategies to improve winter wheat production through regulating root development under simulated rainfall conditions. Agric. Water Manag. 2018, 209, 44–54. [Google Scholar] [CrossRef]
- Zhang, J.; Chen, Q.; Lv, L.; Shen, H.; Jia, X.; Liang, S. Optimum combination of irrigation and nitrogen for high yield and nitrogen use efficiency in winter wheat and summer maize rotation system. J. Plant Nutri. Ferti. 2016, 22, 886–896. [Google Scholar] [CrossRef]
- Araya, A.; Prasad, P.V.V.; Gowda, P.H.; Afewerk, A.; Abadi, B.; Foster, A.J. Modeling irrigation and nitrogen management of wheat in northern Ethiopia. Agric. Water Manag. 2019, 216, 264–272. [Google Scholar] [CrossRef]
- Jia, D.; Dai, X.; Xie, Y.; He, M. Alternate furrow irrigation improves grain yield and nitrogen use efficiency in winter wheat. Agric. Water Manag. 2021, 244, 106606. [Google Scholar] [CrossRef]
- Zheng, X.; Yu, Z.; Zhang, Y.; Shi, Y. Nitrogen supply modulates nitrogen remobilization and nitrogen use of wheat under supplemental irrigation in the North China Plain. Sci. Rep. 2020, 10, 3305. [Google Scholar] [CrossRef] [PubMed]
- Li, Y.; Yin, Y.; Zhao, Q.; Wang, Z. Changes of glutenin subunits due to water−nitrogen interaction influence size and distribution of glutenin macropolymer particles and flour quality. Crop Sci. 2011, 51, 2809–2819. [Google Scholar] [CrossRef]
- Zhang, R.; Hou, Y.; Li, F.; Sun, X.; Wang, Y.; Wang, K.; Liu, M.; Zhang, J.; Hou, F.; Wang, Z. Effect of sprinkler irrigation on yield and quality of dryland wheat in the north foot of Qinling mountains. J. Triticeae Crops 2017, 37, 815–819. [Google Scholar]
- Fernandez-Figares, I.; Marinetto, J.; Royo, C.; Ramos, J.M.; Garcia Del Moral, L.F. Amino-acid composition and protein and carbohydrate accumulation in the grain of triticale grown under terminal water stress simulated by a senescing agent. J. Cereal Sci. 2000, 32, 249–258. [Google Scholar] [CrossRef]
- Liang, Y.; Khan, S.; Ren, A.; Lin, W.; Anwar, S.; Sun, M.; Gao, Z. Subsoiling and sowing time influence soil water content, nitrogen translocation and yield of dryland winter wheat. Agronomy 2019, 9, 37. [Google Scholar] [CrossRef]
- Zhang, Y.; Wang, R.; Wang, H.; Wang, S.; Wang, X.; Li, J. Soil water use and crop yield increase under different long-term fertilization practices incorporated with two-year tillage rotations. Agric. Water Manag. 2019, 221, 362–370. [Google Scholar] [CrossRef]
- Shi, Y.; Zhang, Y.; Yu, Z. Effects of nitrogen fertilization on protein component contents and processing quality of different wheat genotypes. J. Plant Nutr. Fert. 2010, 16, 33–40. [Google Scholar]
- Li, Q.; Wang, C.; Ma, D.; Xie, Y.; Liu, W.; Zhu, Y.; Guo, T. Effects of irrigation and nitrogen application on grain yield, protein content and quality traits of winter wheat in high-yielding area. J. Triticeae Crops. 2014, 34, 102–107. [Google Scholar] [CrossRef]







| Site | Soil Depth (cm) | Proportion of <0.01 mm Soil Particles (%) | OM Content (g kg−1) | TN Content (g kg−1) | OP Content (mg kg−1) | EK Content (mg kg−1) | pH | SBD (g·cm−3) | MFC (%) |
|---|---|---|---|---|---|---|---|---|---|
| Yichuan | 0–20 | 22.8 | 14.7 | 1.11 | 9.0 | 139.6 | 7.57 | 1.40 | 26.0 |
| 20–40 | 47.2 | 10.0 | 0.89 | 2.5 | 107.4 | 7.40 | |||
| Luoning | 0–20 | 35.6 | 13.2 | 0.83 | 5.9 | 91.5 | 7.98 | 1.26 | 25.3 |
| 20–40 | 36.7 | 9.2 | 0.69 | 1.6 | 75.6 | 7.82 |
| Year | Site | Seeding Rate (kg ha−1) | Sowing Date | Irrigation Date | Irrigation Amount (mm) | Harvest Date |
|---|---|---|---|---|---|---|
| 2020–2021 | Yichuan | 187.5 | 18 October 2020 | 23 February 2021 | 42.1 | 30 May 2021 |
| Luoning | 187.5 | 15 October 2020 | 21 February 2021 | 41.3 | 5 June 2021 | |
| 2021–2022 | Yichuan | 225.0 | 2 November 2021 | 4 March 2022 | 38.3 | 2 June 2022 |
| Luoning | 225.0 | 28 October 2021 | 5 March 2022 | 38.1 | 6 June 2022 |
| Source of Variance | Grain Yield (kg ha−1) | Albumin Content (%) | Globulin Content (%) | Gliadin Content (%) | Glutenin Content (%) | Total Protein Content (%) | Wet Gluten Content (%) | Stability Time (min) | Sedimentation Value (ml) | Extensibility (mm) |
|---|---|---|---|---|---|---|---|---|---|---|
| S | 802.9 ** | 67.8 ** | 4.7 * | 215.9 ** | 27.0 ** | 553.6 ** | 381.5 ** | 133.2 ** | 497.5 ** | 770.7 ** |
| I | 8202.7 ** | 24.1 ** | 37.0 ** | 331.5 ** | 480.2 ** | 97.2 ** | 48.0 ** | 191.2 ** | 125.1 ** | 144.0 ** |
| T | 651.2 ** | 37.8 ** | 41.9 ** | 30.0 ** | 189.8 ** | 5.2 * | 21.8 ** | 62.6 ** | 0.2 ns | 56.3 ** |
| N | 1899.6 ** | 29.7 ** | 36.7 ** | 109.9 ** | 158.8 ** | 198.5 ** | 149.1 ** | 69.7 ** | 183.8 ** | 181.8 ** |
| S×I | 278.8 ** | 0.9 ns | 0.3 ns | 4.8 * | 3.6 ** | 17.6 ** | 6.9 ** | 2.6 ns | 0.2 ns | 2.2 ns |
| S×T | 71.3 ** | 26.0 ** | 6.4 ns | 2.4 ns | 1.7 ns | 2.8 ns | 6.9 ** | 1.1 ns | 6.6 ** | 4.2 * |
| S×N | 220.5 ** | 1.8 ns | 0.2 ns | 3.0 * | 10.4 ** | 5.9 ** | 14.3 ** | 2.8 ** | 11.9 ** | 41.4 ** |
| I×T | 29.3 ** | 0.7 ns | 0.3 ns | 19.4 ** | 18.0 ** | 0.1 ns | 0.2 ns | 9.6 ** | 5.8 ** | 11.2 ** |
| I×N | 54.9 ** | 1.5 ns | 0.3 ns | 3.7 ** | 5.4 * | 2.7 ** | 2.1 ns | 2.9 * | 12.2 ** | 0.6 ns |
| T×N | 11.2 ** | 2.9 * | 4.0 ** | 7.9 ** | 14.3 * | 2.4 ** | 4.4 ** | 2.4 * | 3.3 ** | 11.4 ** |
| S×I×T | 1.7 ns | 0.3 ns | 0.2 ns | 1.0 ns | 2.2 ns | 3.0 ns | 1.4 ns | 0.3 ns | 1.7 ns | 0.6 ns |
| S×I×N | 21.0 ** | 0.3 ns | 0.0 ns | 0.7 ns | 2.1 ns | 1.2 ns | 0.0 ns | 0.2 ns | 0.5 ns | 0.7 ns |
| S×T×N | 1.9 ns | 0.9 ns | 0.1 ns | 1.2 ns | 0.4 ns | 0.8 ns | 0.4 ns | 0.7 ns | 1.5 ns | 3.4 ** |
| I×T×N | 3.4 ** | 1.1 ns | 1.8 ns | 1.6 ns | 2.4 ns | 0.8 ns | 0.3 ns | 0.9 ns | 1.6 ns | 0.4 ns |
| S×I×T×N | 5.5 ** | 0.2 ns | 0.4 ns | 0.6 ns | 1.1 ns | 1.2 ns | 0.4 ns | 0.2 ns | 1.0 ns | 1.8 ns |
Disclaimer/Publisher’s Note: The statements, opinions and data contained in all publications are solely those of the individual author(s) and contributor(s) and not of MDPI and/or the editor(s). MDPI and/or the editor(s) disclaim responsibility for any injury to people or property resulting from any ideas, methods, instructions or products referred to in the content. |
© 2025 by the authors. Licensee MDPI, Basel, Switzerland. This article is an open access article distributed under the terms and conditions of the Creative Commons Attribution (CC BY) license (https://creativecommons.org/licenses/by/4.0/).
Share and Cite
Huang, M.; Xu, N.; Zhao, K.; Huang, X.; Ren, K.; Jia, Y.; Wu, S.; Li, C.; Wang, H.; Fu, G.; et al. The Combined Effects of Irrigation, Tillage and N Management on Wheat Grain Yield and Quality in a Drought-Prone Region of China. Agronomy 2025, 15, 1727. https://doi.org/10.3390/agronomy15071727
Huang M, Xu N, Zhao K, Huang X, Ren K, Jia Y, Wu S, Li C, Wang H, Fu G, et al. The Combined Effects of Irrigation, Tillage and N Management on Wheat Grain Yield and Quality in a Drought-Prone Region of China. Agronomy. 2025; 15(7):1727. https://doi.org/10.3390/agronomy15071727
Chicago/Turabian StyleHuang, Ming, Ninglu Xu, Kainan Zhao, Xiuli Huang, Kaiming Ren, Yulin Jia, Shanwei Wu, Chunxia Li, Hezheng Wang, Guozhan Fu, and et al. 2025. "The Combined Effects of Irrigation, Tillage and N Management on Wheat Grain Yield and Quality in a Drought-Prone Region of China" Agronomy 15, no. 7: 1727. https://doi.org/10.3390/agronomy15071727
APA StyleHuang, M., Xu, N., Zhao, K., Huang, X., Ren, K., Jia, Y., Wu, S., Li, C., Wang, H., Fu, G., Li, Y., Wu, J., & Li, G. (2025). The Combined Effects of Irrigation, Tillage and N Management on Wheat Grain Yield and Quality in a Drought-Prone Region of China. Agronomy, 15(7), 1727. https://doi.org/10.3390/agronomy15071727

