Next Article in Journal
Identification of Key Genes Associated with Lycopene Accumulation in Red Carrot Taproots Based on WGCNA
Next Article in Special Issue
A Ray-Tracing-Based Irradiance Model for Agrivoltaic Greenhouses: Development and Application
Previous Article in Journal
Evaluation of Combination Fungicides for Charcoal Rot and Collar Rot Management in Soybean
Previous Article in Special Issue
Integration of Crops, Livestock, and Solar Panels: A Review of Agrivoltaic Systems
 
 
Font Type:
Arial Georgia Verdana
Font Size:
Aa Aa Aa
Line Spacing:
Column Width:
Background:
Article

Productivity and Morphological Adaptation of Phaseolus vulgaris L. in Agrivoltaic Systems with Different Photovoltaic Technologies: A Case Study in Chachapoyas, Amazonas, Peru

by
Wildor Gosgot Angeles
1,2,*,
Duber Banda Martinez
1,
Miguel Ángel Barrena Gurbillón
1,
Fernando Isaac Espinoza Canaza
3,
Homar Santillan Gomez
1,
Diana Carina Mori Servan
1,
Merbelita Yalta Chappa
1,
Milton Américo Huanes Mariños
4,
Oscar Andrés Gamarra-Torres
1 and
Manuel Oliva-Cruz
1
1
Instituto de Investigación para Desarrollo Sustentable de Ceja de Selva, Universidad Nacional Toribio Rodríguez de Mendoza de Amazonas, Chachapoyas 01001, Peru
2
Programa de Doctorado en Ciencias para el Desarrollo Sustentable, Escuela de Posgrado, Universidad Nacional Toribio Rodríguez de Mendoza de Amazonas, Chachapoyas 01001, Peru
3
Facultad de Ingeniería Civil y Ambiental, Universidad Nacional Toribio Rodríguez de Mendoza de Amazonas (UNTRM), Chachapoyas 01001, Peru
4
Programa de Estudio de Ingeniería Agrónoma, Facultad de Ciencias Agrarias, Universidad Privada Antenor Orrego, Campus Trujillo, Trujillo 13008, Peru
*
Author to whom correspondence should be addressed.
Agronomy 2025, 15(3), 529; https://doi.org/10.3390/agronomy15030529
Submission received: 24 November 2024 / Revised: 23 December 2024 / Accepted: 28 December 2024 / Published: 21 February 2025

Abstract

The increasing demand for food and energy presents challenges for agricultural and energy sustainability, especially in regions with limited arable land. This study analyzed the productivity and morphological adaptations of Phaseolus vulgaris L. in agrivoltaic systems using monofacial, bifacial, and semi-transparent photovoltaic technologies under the high Andean climatic conditions of Chachapoyas, Amazonas, Peru. The evaluated varieties, Panamito and Chaucha, were cultivated with planting distances of 25 cm and 35 cm. The analyzed variables included plant height, number of trifoliate leaves, number of flowers, number and weight of pods, grain weight, and yield. The experiment was designed with plots under agrivoltaic systems and a conventional system as a control. Environmental parameters such as photosynthetically active radiation (PAR), irradiance, precipitation, leaf moisture, soil moisture, and ambient temperature were monitored. Results showed that the bifacial system with a planting density of 25 cm was the most efficient, recording a plant height of 139.38 cm, an average grain weight of 67.97 g, and a yield of 700.5 kg/ha, significantly surpassing the conventional system. These findings shows the potential of agrivoltaic systems to enhance agricultural production by efficiently utilizing solar radiation and land, providing an innovative solution for integrating agriculture and energy generation, as well as increasing productivity in scenarios with land-use competition and climatic challenges.

1. Introduction

In the coming years, the demand for food and energy will increase at an accelerated rate, making supply security a major challenge, especially in developing countries [1]. Currently, global agricultural systems fail to ensure food security or contribute to environmental sustainability. Agricultural practices play a crucial role in achieving sustainability goals [2].
In this context, cultivating Phaseolus vulgaris L. emerges as an alternative to mitigate food demand, as it is the most important legume for human consumption worldwide and a significant source of plant-based protein, minerals, antioxidants, and bioactive compounds [3]. Additionally, P. vulgaris L. serves as the primary protein source for low-income rural and urban populations in Central America and the Caribbean. It is noted that at least 60% of P. vulgaris L. in Latin America and 50% in Africa is grown in soils severely deficient in phosphorus [4]. Legumes are a staple food in many parts of the world and are cultivated in diverse climates and soils. According to the United Nations [5], legumes are among the most important dietary legumes worldwide. In Peru, the production of P. vulgaris L. in 2023 reached 43,678.36 tons across 62,198.50 hectares, while in the Amazonas region, production in 2023 totaled 2929.82 tons over 6369.00 hectares [6].
The planting environment conditions of P. vulgaris L. are critical for its successful development and productivity. This legume thrives in a wide range of climates, but optimal growth and yield are influenced by environmental factors such as temperature, water availability, and soil quality. Low temperatures during germination and emergence stages can delay seedling development, thereby reducing overall yield potential [7]. Additionally, water stress and waterlogging negatively affect stomatal conductance and photosynthesis, ultimately impacting the yield [8]. The selection of appropriate varieties with determinate or indeterminate growth habits also plays a key role in adapting the crop to diverse environmental conditions and cultivation systems [9]. Moreover, the use of nitrogen-fixing bacteria as bioinoculants has proven to be an effective agronomic practice to improve soil quality and boost productivity [3]. Finally, environmental factors such as day length and temperature significantly affect the flowering period and overall yield of P. vulgaris L. [10]. These factors must be carefully considered when designing agronomic practices and crop management strategies for P. vulgaris L.
The cultivation of Phaseolus vulgaris L. faces multiple challenges in the current agricultural environment. Factors such as climate variability, soil degradation, and competition for limited resources directly impact its productivity [11]. Furthermore, the growing demand for energy has led to the expansion of photovoltaic installations on agricultural land, creating competition for land use [12]. This situation underscores the need for agrivoltaic systems that integrate agricultural production with solar energy generation, optimizing land use while mitigating the negative effects of climate change [13]. The implementation of agrivoltaic systems can enhance land-use efficiency and provide additional benefits, such as reducing soil water evaporation and protecting crops from extreme weather conditions. Therefore, it is essential to conduct experiments that assess the feasibility and benefits of these systems for the cultivation of P. vulgaris L., particularly in regions where food and energy security are critical concerns [14].
The allocation and management of agricultural land is an emerging concern due to soil scarcity, which is also associated with declining energy and water supplies, as well as the growing global food demand [15]. In this regard, the promotion of renewable energies, particularly solar photovoltaic energy, is a global trend, requiring land for installation. Consequently, future land-use conflicts may arise between agricultural purposes and photovoltaic electricity generation [16]. Solar photovoltaic (PV) energy has grown rapidly over the years, leading to territorial competition between PV system installations for energy generation and land use for agriculture to meet the rising consumption demand of the human population [17].
In response to this challenge, agrivoltaic systems have emerged as an alternative, simultaneously producing energy and food on the same land. Agrivoltaic systems offer an intelligent solution by combining electricity generation from solar photovoltaic technology with agricultural production, avoiding land-use conflicts [18]. Agrivoltaics allow dual land use for both agriculture and photovoltaic energy generation, significantly increasing land-use efficiency while enabling photovoltaic capacity expansion on farmland without compromising agricultural activities [19].
Agrivoltaic systems are still under development, with studies exploring the impact on crop productivity and electricity generation from different photovoltaic technologies [12,13]. Regarding crop yield, this depends on the amount of photosynthetically active radiation entering the system to facilitate photosynthesis [20,21,22]. However, agrivoltaic systems face limitations, such as estimating long-term soil productivity, market access, fair competition, and the development of pre-designed systems to accommodate various crops [23]. Additionally, shaded crops experience slight yield reductions but exhibit higher light-use efficiency and protection against water and thermal stress, necessitating further studies to refine designs and models that integrate microclimatic effects and seasonal adjustments with solar panels [24].
In the context of agrivoltaic systems, understanding the distinctions between monofacial, bifacial, and semitransparent solar cells is crucial. Monofacial solar cells are designed to capture sunlight solely on their front surface, with the rear side typically being opaque and inactive. In contrast, bifacial solar cells can absorb light on both front and rear surfaces, enabling them to utilize reflected and diffused light from the environment, which can enhance overall energy generation [25]. Semitransparent solar cells allow a portion of incident light to pass through while converting the rest into electrical energy, making them suitable for applications like building-integrated photovoltaics, where both light transmission and energy generation are desired [26]. Each of these technologies offers unique advantages and challenges, particularly when integrated into agrivoltaic systems where the interplay between light availability for crops and energy production must be carefully balanced [27]. Therefore, selecting the appropriate type of solar cell is essential to optimize both agricultural output and photovoltaic efficiency in such integrated systems [12].
Given this context, agrivoltaic systems are becoming a global trend. In the near future, they will be implemented in Peru, prompting an analysis of the productivity of Phaseolus vulgaris L. varieties Panamito and Chaucha, cultivated with two planting densities under agrivoltaic systems featuring three photovoltaic technologies, monofacial, bifacial, and semi-transparent, in the high Andean region of Amazonas, Peru. The purpose of this study is to evaluate the morphological adaptations and productivity of Phaseolus vulgaris L. under these agrivoltaic technologies, focusing on how the distinct shading and light dynamics of each system influence plant growth and yield. This study is novel as it assesses the combined use of monofacial, bifacial, and semi-transparent PV technologies within a single agrivoltaic system, a configuration not widely explored in high Andean conditions. Additionally, the analysis of different planting densities and their interaction with each PV system offers new insights into maximizing agricultural productivity in regions where land use is highly competitive.

2. Materials and Methods

2.1. Study Site Location

The study was conducted on the campus of the National University Toribio Rodríguez de Mendoza of Amazonas, located in the district and province of Chachapoyas, Amazonas region, Peru (6°13′59″ S, 77°51′11″ W). Chachapoyas, situated in northeastern Peru, features unique climatic conditions due to its altitude and location in the Andes. At 2300 masl (meters above sea level), it has a temperate and humid climate typical of the Peruvian “Ceja de Selva” (cloud forest), positioned at the transition zone between the Andean highlands and the Amazon rainforest [28]. This climate is characterized by two distinct seasons: a rainy season from November to April and a dry season from May to October [29]. The study was carried out from 1 April to 21 June 2024 (Figure 1).

2.2. Unit of Study

The study was based on three agrivoltaic systems (monofacial, bifacial, and semi-transparent photovoltaic systems) and a control plot without shading from solar photovoltaic modules. Each photovoltaic system had ten solar modules (two rows of five modules each, with a total surface area of 20 m2), oriented in a North–South direction, with the southern side raised at a 15° angle to optimize solar radiation incidence. These modules were mounted on a metallic structure 2.40 m high at its lower end (Figure 2). Beneath the solar modules, plots were established for two Phaseolus vulgaris L. varieties (Panamito and Chaucha). The Panamito variety, coded PER1003549 and registered in the Germplasm Bank of the National Institute of Agricultural Innovation (INIA), has oval-shaped white seeds, while the Chaucha variety, coded PER1003542, has cube-shaped seeds with a predominant light brown color and purple stripes [30].

2.3. Planting Distribution of Phaseolus vulgaris L.

In all systems (control, monofacial, bifacial, and semi-transparent), the 20 m2 shaded area was used for planting. The area was divided into three rows of four 1 m2 plots, with a spacing of 0.25 m between plots and 0.3 m between rows. The 12 plots in each system were planted with two P. vulgaris L. varieties, Panamito (V1) and Chaucha (V2), according to Figure 3, using two planting densities, 25 cm (D1) and 35 cm (D2), with three replicates each. In each experimental unit, four plants of P. vulgaris L. were evaluated, taking into account edge effects.

2.4. Meteorological and Environmental Conditions of the Crop

During the crop evaluation, meteorological parameters such as irradiance were monitored using an EKO MS-80M pyranometer (EKO Instruments Co., Ltd., Tokyo, Japan). Ambient temperature and precipitation were measured using a DAVIS Vantage Pro 2 weather station (Davis Instruments Corp., Hayward, CA, USA). The environmental conditions recorded included photosynthetically active radiation (PAR) measured by an ONSET S-LIA-M003 PAR sensor, leaf moisture measured by an ONSET S-LWA-M003 sensor, and soil moisture measured by an ONSET S-SMD-M005 sensor (all from Onset Computer Corp., Bourne, MA, USA). These sensors were connected to a HOBO H21-USB data logger (Onset Computer Corp., Bourne, MA, USA), which recorded measurements every minute throughout the research period [31].
To utilize precipitation, gutters were installed along the lower edge of the photovoltaic panel arrays to collect rainwater. This water was directed to a 200 L polyethylene tank mounted horizontally on a metal structure 1.80 m above the ground, enabling a drip irrigation system for P. vulgaris L. The irrigation system consisted of 16 mm polyethylene hoses with branches running along the P. vulgaris L. plants in the experimental plots of each agrivoltaic system, with drippers placed next to each plant to ensure adequate water supply for optimal vegetative development [32].

2.5. Morphological Characterization and Yield of Phaseolus vulgaris L.

To evaluate the development and yield of the P. vulgaris L. varieties, various morphological variables were measured at different growth stages. Plant height was recorded at 21, 49, and 91 days after emergence. The number of trifoliate leaves was also assessed during this period. Flower counts began at 55 days and were conducted weekly for four weeks. Additionally, pods were counted, and their length, pod weight, and grain weight were measured using standardized measurement equipment [33]. Yield per hectare was estimated based on the average production from 1 m² recorded in the study units [34].
Crop yield was assessed on a sandy loam soil with a slightly alkaline pH (7.93), organic matter (4.32%), phosphorus (24.27 mg/kg), potassium (722.25 mg/kg), cation exchange capacity (16.75 meq/100 g), and total nitrogen (0.25%). The soil was enriched with 4 kg of compost per square meter, with the following physicochemical characteristics: slightly alkaline pH (8.20), moderate to high electrical conductivity (5.70 dS/m), phosphorus content (107.04 ppm), potassium (13.2 g/kg), nitrogen (2.04%), organic matter (16.28%), and cation exchange capacity (47.59 meq/100 g).
Weed control was performed manually throughout the vegetative stage. Pest control included management of Diabrotica (Diabrotica spp.) and pod borers (Heliothis spp.). The fungal disease powdery mildew (Erysiphe polygoni) was also identified. Pest control was conducted using the insecticide Lovera (Lambda-cyhalothrin 105 g/L + Thiamethoxam 141 g/L) at a concentration of 15 mL per 20 L backpack sprayer. Powdery mildew was managed using the systemic fungicide ORION® 25 EW, which has protective, curative, and eradicative action, with the active ingredient tebuconazole.

2.6. Statistical Analysis

The statistical analysis was conducted using an analysis of variance (ANOVA) to determine the significance of differences among treatments evaluated in the agrivoltaic systems, considering the P. vulgaris L. varieties (Panamito and Chaucha), the types of photovoltaic systems (monofacial, bifacial, and semi-transparent), and planting densities (25 cm and 35 cm). Tukey’s multiple comparison test was subsequently applied to identify significant differences among factor combinations. p values < 0.05 were considered significant.

3. Results

3.1. Meteorological and Environmental Conditions for the Cultivo de P. vulgaris L.

During the study period, from 1 April to 21 June 2024, daily maximum temperatures (yellow line) fluctuated between 18 °C and 24 °C, while minimum temperatures (brown line) ranged from 10 °C to 15 °C, with occasional drops (Figure 4). The average ambient temperature (green line) varied between 15 °C and 17 °C, consistently falling between the maximum and minimum temperatures, with minor variability. Precipitation (blue bars) was sporadic, with dry days interspersed with events exceeding 2 mm, reflecting an irregular but occasionally intense rainfall pattern. Overall, the period was characterized by moderate temperatures and isolated rains, typical of a seasonal climate with thermal stability.
Figure 5 shows the average hourly values of irradiance (W/m2) and photosynthetically active radiation (PAR, in µmol/m2/s) during the study, highlighting how agrivoltaic systems modify light availability for crops. The average irradiance, represented by the red line, peaked around midday (between 11:00 and 13:00), reaching 750 W/m2. Meanwhile, PAR values were lower, representing only the fraction of the solar spectrum useful for photosynthesis. In the bifacial and monofacial systems (dark blue line), PAR reached a maximum peak of nearly 500 µmol/m2/s, with fluctuations attributed to system characteristics and shading. Conversely, the semi-transparent system (light blue line) allowed greater light transmission, with PAR values exceeding 500 µmol/m2/s during the same hours, showing greater fluctuations, especially in the mornings.
Figure 6 displays the average hourly values of leaf moisture and soil moisture for P. vulgaris L., calculated between 1 April and 21 June 2024, under semi-transparent and monofacial/bifacial agrivoltaic systems. Leaf moisture followed a similar pattern in both conditions, with high values during the night and early morning (80–100%), rapidly decreasing between 7:00 and 10:00, reaching a minimum near 0% at midday, and recovering in the evening due to daytime evaporation. In contrast, soil moisture remained relatively stable, being slightly higher under semi-transparent conditions (approximately 0.16 m3/m3 compared to 0.15 m3/m3 in monofacial and bifacial systems).

3.2. Morphological Characteristics of the Phaseolus vulgaris L. Crop

3.2.1. Plant Height

Plant height is a key indicator of crop development, directly influencing productivity assessments and agronomic decision making. At 49 days, the Chaucha variety under the bifacial system with a planting distance of 25 cm achieved the greatest height (71.51 cm), significantly surpassing the Panamito variety under the semi-transparent system, which reached 30.53 cm. This differential growth can be attributed to the higher amount of diffuse light available under bifacial panels, promoting plant elongation. At 91 days, this trend became more pronounced: the Chaucha variety in the bifacial system reached 139.38 cm, while the Panamito variety in the conventional system showed a significantly lower height (98.72 cm) (Figure 7).

3.2.2. Number of Trifoliate Leaves

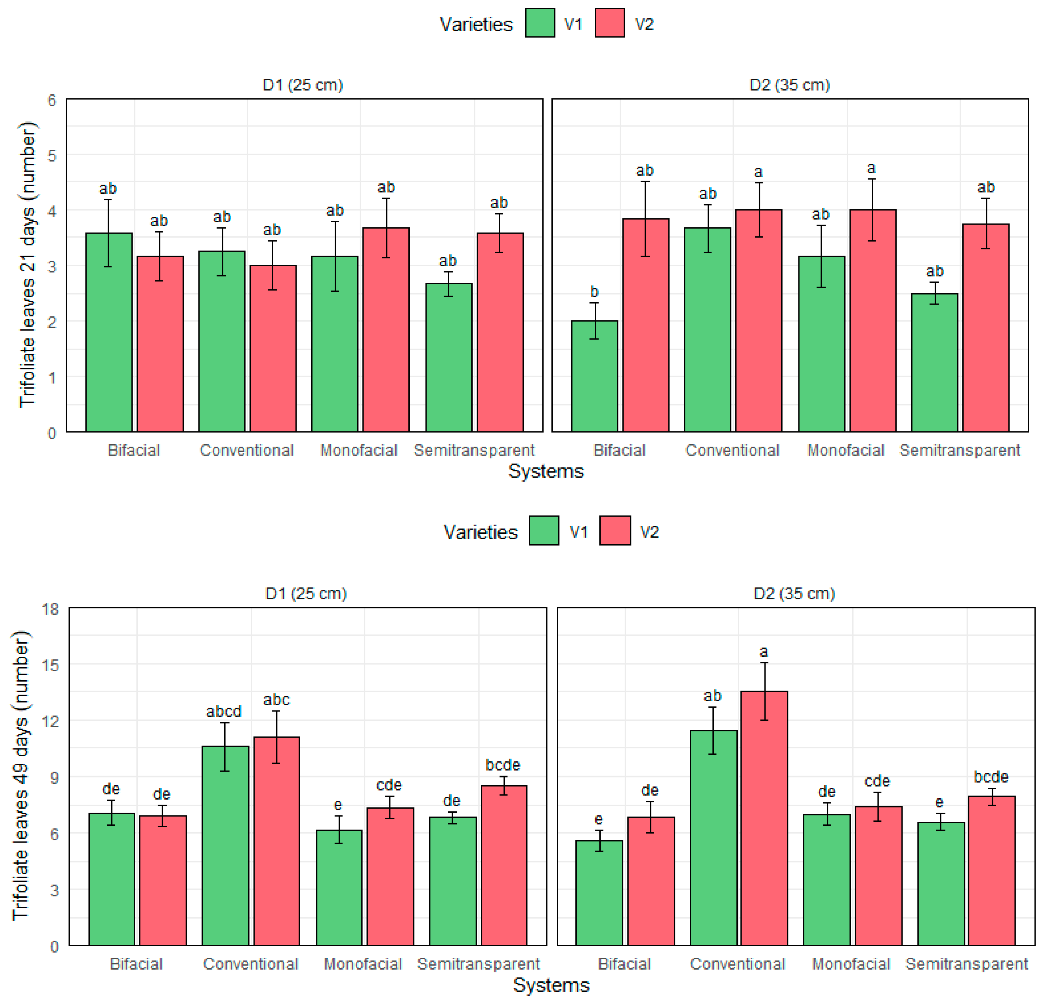
Figure 8 shows the dynamics of the number of trifoliate leaves at 21 and 49 days, revealing significant influences from the interactions between agrivoltaic systems and planting distances. At 21 days, the Chaucha variety under the monofacial system with a planting distance of 35 cm exhibited the highest number of trifoliate leaves (4.00), while the Panamito variety in the bifacial system had the lowest value (2.00). At 49 days and with a planting distance of 35 cm, the Chaucha variety in the conventional system showed the highest number of trifoliate leaves (11.42). These differences suggest that a higher number of trifoliate leaves, resulting from the interaction between planting density and system type, enhances light capture and, consequently, the photosynthetic capacity of plants. This underscores the importance of optimal agrivoltaic system design to maximize crop light-use efficiency.

3.2.3. Number of Flowers

The analysis in Figure 9 reveals significant differences in the number of flowers per plant among the evaluated P. vulgaris L. varieties and agrivoltaic systems. In week 1, the Chaucha variety under the conventional system with a planting distance of 35 cm recorded the highest number of flowers, while the Panamito variety under the semi-transparent system had the lowest number. As the experiment progressed, a notable change was observed by week 4: the bifacial system combined with a 25 cm planting distance significantly boosted flowering, reaching an average of 38.75 flowers in the Panamito variety. This result highlights the positive influence of bifacial systems, which seem to provide an optimal balance of indirect light and shade to stimulate flowering. The statistically significant differences suggest that both the photovoltaic technology used and planting density are key factors affecting the flowering of P. vulgaris L.

3.2.4. Number of Pods

The analysis of the number of pods per plant showed no statistically significant differences among the treatments evaluated (Figure 10), suggesting that the interaction between agrivoltaic systems, P. vulgaris L. varieties, and planting distances did not significantly influence this variable. However, the treatment combining the Panamito variety, a 25 cm planting distance, and the bifacial system recorded the highest number of pods per plant (38.75 ± 14.21), while the treatment with the Chaucha variety, the same planting distance, and the conventional system had the lowest number (16.25 ± 4.05). These results emphasize the importance of genetic factors and specific agronomic management conditions in optimizing yield.

3.2.5. Pod Length

The pod length varied significantly among treatments, as shown in Figure 11. The treatment combining the Chaucha variety, a planting distance of 35 cm, and the bifacial agrivoltaic system recorded the greatest average pod length (14.15 ± 1.49 cm). In contrast, the Panamito variety under a 35 cm planting distance in the conventional system showed the shortest length (9.38 ± 1.02 cm). These differences suggest that the bifacial system provides optimal conditions for enhanced pod development, likely due to improved light distribution and a reduction in shading stress. While plant height is often considered a key indicator of crop development, which influences agronomic decision making, it is the leaf area that plays a more critical role in driving productivity. Larger leaf areas facilitate higher photosynthetic activity, contributing to increased pod growth and development. The statistical results confirm that both the cultivation system and planting density are determining factors for pod length, with the bifacial system promoting more vigorous and uniform growth due to its ability to optimize light availability for photosynthetic processes.

3.2.6. Pod Weight

The analysis of pod weight revealed significant variations under different combinations of agrivoltaic systems, varieties, and planting distances. The Chaucha variety, grown in the bifacial system with a planting distance of 35 cm, achieved the highest average pod weight, registering approximately 114.44 g. In contrast, the Panamito variety, under the conventional system and the same planting distance, showed the lowest average weight at 53.65 g. Overall, the Chaucha variety stood out for its higher yield in this variable, whereas Panamito exhibited lower values across all systems and planting densities. These results suggest that the genetic characteristics of the varieties, together with the type of agrivoltaic system and planting density, significantly impact pod development (Figure 12).

3.2.7. Grain Weight per Plant

The analysis of grain weight per plant revealed statistically significant differences among varieties, agrivoltaic systems, and planting distances. The Chaucha variety (V2) under the bifacial system and a planting distance of 25 cm (D1) recorded the highest average grain weight, reaching 75 g per plant. In contrast, the Panamito variety (V1) under the semi-transparent system showed the lowest values, averaging 45 g per plant. With a planting distance of 35 cm (D2), the Chaucha variety continued to excel in the bifacial system, achieving an average weight of 80 g per plant, significantly higher than the values obtained in conventional and semi-transparent systems. These results underscore the effectiveness of the bifacial system in optimizing grain production, attributed to better light distribution and reduced shading stress. Additionally, the genetic characteristics of the varieties influenced the outcomes, with Chaucha consistently yielding higher amounts under the evaluated conditions (Figure 13).

3.2.8. Yield

The yield obtained in this study indicates that the bifacial system, combined with the Chaucha variety (V2) and a planting distance of 25 cm (D1), achieved the highest value, recording 700.5 kg/ha. This result highlights the superiority of the bifacial system in terms of productivity, attributed to better light distribution and reduced shading stress. Meanwhile, the Panamito variety (V1) under the same conditions also showed significant yield, reaching 618.9 kg/ha, demonstrating that both varieties respond favorably to the bifacial system with lower planting density. Comparatively, these yields are below those reported in other studies, such as the Camanejo cultivar, which reached 2.77 t/ha. However, the results obtained surpass the national average of 1.2 t/ha, reaffirming the potential of bifacial agrivoltaic systems to optimize agricultural production on land with competing uses (Figure 14).

4. Discussion

During the research period, the meteorological and environmental conditions significantly influenced the development of Phaseolus vulgaris L. These conditions, typical of the temperate humid climate of the high Andean region of Amazonas, Peru, provided a stable environment for the crop’s growth. Additionally, irregular precipitation supported moderate water supply and controlled drip irrigation management, ensuring sufficient water availability for optimal vegetative development of the crop [35]. This water balance aligns with previous studies emphasizing the importance of soil moisture in maximizing photosynthetic efficiency in agrivoltaic systems [36].
In this study, the transmittance spectra of three photovoltaic technologies—monofacial, bifacial, and semitransparent—were analyzed, along with their respective power conversion efficiencies. Monofacial panels, which capture light only on their front surface, exhibit an exponential decrease in transmittance with increasing wavelength, showing a power conversion efficiency of 18%. Bifacial panels, capable of capturing light on both the front and rear surfaces, demonstrate a more pronounced transmittance, enabling them to harness reflected and diffuse light, resulting in a power conversion efficiency of 22%. Semitransparent panels allow a portion of light to pass through, making them suitable for applications such as building-integrated photovoltaics, but with a lower power conversion efficiency of 15%. These results highlight the advantages of bifacial panels in maximizing energy capture, while semitransparent panels offer innovative solutions for dual-use spaces, although with reduced energy performance.
The availability of photosynthetically active radiation (PAR) is essential for the growth and development of Phaseolus vulgaris L. PAR, which encompasses wavelengths from 400 to 700 nm, represents the portion of solar radiation that plants use in photosynthesis [37]. Adequate PAR availability directly influences stomatal conductance and photosynthetic activity, which are critical for crop yield [38]. Reductions in irradiance, whether due to shading or other factors, decrease the amount of PAR available to the crop, potentially limiting biomass production and reducing light-use efficiency [39]. Additionally, competition for PAR among plants can influence leaf architecture and resource allocation, which in turn affects productivity [40]. Therefore, it is essential to consider the availability and distribution of PAR when evaluating cropping systems and agronomic practices for P. vulgaris, especially in agrivoltaic systems where the shadow of photovoltaic panels may alter the amount of light reaching the plants [41].
In terms of radiation, irradiance and photosynthetically active radiation (PAR) values varied significantly across the evaluated agrivoltaic systems. Bifacial systems demonstrated an optimal balance, with PAR values around 500 µmol/m2/s, while semi-transparent systems exhibited peaks exceeding 500 µmol/m2/s. This pattern highlights the bifacial systems’ ability to optimize diffuse light distribution, enhancing photosynthetic efficiency and reducing thermal stress. Similar research has noted that diffuse light generated by solar panels can increase the productivity of crops like P. vulgaris L. by improving solar energy absorption in partially shaded environments [19].
An important recommendation for future research is the inclusion of direct leaf temperature measurements. This parameter could provide crucial information about plant thermal stress and its relationship with photosynthetic processes in agrivoltaic systems. Although this study focused on the analysis of photosynthetically active radiation (PAR) and other environmental parameters, measuring leaf temperature could help to better understand how thermal conditions under different solar panel systems affect plant productivity. Previous research has shown that fluctuations in leaf temperature can influence photosynthetic efficiency and crop performance [38]. Additionally, it has been found that thermal stress due to high irradiance can reduce photosynthetic efficiency in some plant species, emphasizing the importance of measuring and controlling temperature in agrivoltaic system studies [39].
Regarding plant morphology variables, plant height is a significant indicator of crop growth, contributing to productivity assessment and agronomic decision making [42]. Evaluations were conducted at 21 days (early vegetative development), 49 days (mid-development stage), and 91 days (production stage nearing harvest). The Chaucha variety, with a 25 cm planting distance in the bifacial system, achieved greater plant height compared to other estimates [43] which, using growth models of P. vulgaris L., reported plant heights between 45 and 60 cm at 40–50 days. The fourth treatment in this study fell below the reported range, despite involving different varieties. This difference indicates that the system significantly affects plant height, often influenced by competition for light and nutrients in higher planting densities and the specific P. vulgaris L. variety used. These results emphasize that optimal conditions and lower planting densities favor maximum plant height, whereas suboptimal conditions and low nutrient levels coupled with high planting densities result in minimal height [44].
Similarly, at 90 days, the Chaucha variety with a 25 cm planting distance in the bifacial system continued to demonstrate the highest average height, at 139.38 cm. Conversely, the Chaucha variety with a 35 cm spacing under the conventional system exhibited the lowest average height of 102.30 cm. It is noteworthy that plant height under photovoltaic modules was higher, influenced by the shading generated by these modules, which caused plants to elongate [45]. This growth facilitated production from the plant base to its uppermost part, resulting in a greater number of flowers and pods.
The findings of this research are at lower levels than those reported elsewhere [46], where the number of trifoliate leaves was 7.4, 14.0, and 26.0 at 4, 6, and 8 weeks after planting, respectively. This discrepancy is attributed to differences in P. vulgaris L. varieties and environmental conditions. While P. vulgaris L. cultivation under photovoltaic modules did not affect leaf development and the number of leaves per plant, plants under photovoltaic roofs experienced reduced leaf area due to light scarcity [45].
For the variable number of flowers per plant, no significant differences were observed among treatments during weeks 1 and 3. This indicates no effect on flower production across the treatments distributed in monofacial and bifacial agrivoltaic systems as well as the control. However, during weeks 2 and 4, significant differences emerged among treatments. In week 2, three statistical groups were identified, with the Chaucha variety, 25 cm planting distance, and control system achieving the highest flower count of 5.17. The lowest value, 2.75, was recorded by the Panamito variety (25 cm planting distance and monofacial system). Similarly, in week 4, five statistical groups were identified, with the Panamito variety, 25 cm planting distance, and bifacial system registering the highest flower count of 38.75. The lowest value of 17.75 was recorded by the Chaucha variety, with a 25 cm planting distance under the conventional system.
The results obtained in this study at 49 days were higher than those reported by other researchers, where at 28 days and 200 masl, 34 flowers were obtained; at 400 masl, 38 flowers per plant; at 30 days and 600 masl, 19 flowers; and finally, at 46 and 49 days at altitudes of 800 and 1000 masl, 9 and 4.74 flowers were recorded [47]. Other researchers reported an average number of flowers per plant of 31.76, 28.33, and 23.33 [48]. They also mentioned that P. vulgaris L. plants irrigated with fresh water exhibited an increase in the number of flowers.
The data analysis revealed highly significant differences among treatments, indicating that the studied variables influence pod production. Treatment 9, which combines the Panamito variety, 25 cm planting distance, and bifacial system, achieved the highest number of pods (38.75 ± 14.21). This result suggests that variety is a critical factor, alongside planting distance. Conversely, Treatment 3, involving the Chaucha variety under the same planting distance but in the control system, showed the lowest number of pods per plant (16.25 ± 4.05). These results indicate that the Chaucha variety tends to be less efficient under standard conditions, potentially due to environmental or agronomic management factors.
Variety significantly influences the number of pods per plant [49]. For instance, some standout varieties achieved averages of 25.4, 67.4, 51.4, 41.2, and 31 pods per plant. In another study, the most notable treatments in their first, second, and third evaluations regarding the number of pods per plant were T2 (4, 15, and 12 pods, respectively) and T5 (4, 13, and 11 pods, respectively) [50].
For pod length, there were highly significant differences among treatments. Treatment 12 (the Chaucha variety, 35 cm planting distance, and bifacial system) recorded the greatest pod length, at 14.15 ± 1.49 cm. This could be due to the 35 cm planting distance combined with the bifacial system, favoring more vigorous and uniform pod growth in the Chaucha variety. These results align with prior research that found pod length increased with closer planting distances (e.g., 33 cm) and medium doses of nitrogen and potassium fertilizers. When nitrogen was applied at medium doses without potassium, plants produced the longest pods, which were the most representative [51].
Variance analysis for pod weight did not reveal significant statistical differences among treatments. This indicates no effect on pod weight across the treatments distributed in monofacial and bifacial agrivoltaic systems and the control.
In the grain weight evaluation, highly significant statistical differences were observed among treatments. The Chaucha variety, with a planting distance of 25 cm and using the bifacial system, recorded the highest average grain weight of 67.97 ± 23.91 g, suggesting that this combination promotes the greatest grain development. Similarly, Treatment 2 (Panamito variety, 35 cm planting distance, and control system) recorded the lowest average grain weight of 26.55 ± 14.54 g.
This difference may be influenced by genetic characteristics and their response to agronomic management. In this regard, grain quality in terms of weight was affected under photovoltaic systems due to shading. Under the photovoltaic roof, grain weight in percentage terms was 30% in the first evaluation and 45% in the second [45].
Compared to the obtained results, grain weight was not adversely affected, as production remained normal or even improved under photovoltaic systems, with only grain size being impacted but not weight or quality. Additionally, another study found that the number and weight of seeds per pod increased as row spacing increased. For example, the 100-seed weight of the Nasir, Goberesha, and Asendabo local varieties was recorded at 48.82 g, 49.24 g, and 89.21 g, respectively [52]. Sin embargo, los resultados obtenidos en la presente investigación muestran que se obtuvo un mayor peso de semillas por planta con 25 cm de distancia de siembra y sistema bifacial. However, the current study showed a higher seed weight per plant with a 25 cm planting distance and the bifacial system.
The most notable results regarding yield show that the Chaucha variety, under the bifacial system and a planting distance of 25 cm, achieved the highest grain yield, reaching 700.5 kg/ha. Similarly, the Panamito variety, with a 25 cm planting distance under the bifacial system (Treatment 9), also achieved a remarkable yield of 618.9 kg/ha, slightly lower than the Chaucha variety. These results indicate that both the Chaucha and Panamito varieties achieved notable yields under the bifacial system with planting distance 1 (25 cm between plants). When compared to other studies, grain yield showed significant differences among cultivars, such as the Camanejo variety, which had a higher yield of 2.77 t/ha. However, the average yields obtained in this study were above the national average of 1.2 t/ha [53].

5. Conclusions

In Peru, the climatic conditions of the high Andean region, characterized by high solar radiation and a temperate humid climate, are ideal for implementing agrivoltaic technologies with Phaseolus vulgaris L. crops. The Chaucha and Panamito varieties demonstrated a favorable response under these technologies, evidencing their adaptability to agrivoltaic systems. The results showed that the Chaucha variety under the bifacial system, with a planting distance of 25 cm, was the most efficient, recording a plant height of 139.38 cm, an average grain weight of 67.97 g, and a yield of 700.5 kg/ha, significantly surpassing the conventional system. These findings support the integration of agrivoltaic technologies in agricultural regions, especially in areas with high land-use competition, offering a sustainable and adaptable model to meet future food and renewable energy demands.

Author Contributions

Conceptualization, W.G.A., M.Á.B.G., M.O.-C. and O.A.G.-T.; formal analysis, W.G.A., D.B.M. and M.Á.B.G.; investigation, W.G.A., D.B.M., D.C.M.S., M.Y.C., F.I.E.C. and H.S.G.; methodology, W.G.A. and D.B.M.; supervision, M.A.H.M. and O.A.G.-T.; validation, M.Y.C., M.O.-C. and O.A.G.-T.; visualization, H.S.G.; writing—original draft, W.G.A. and D.B.M.; writing—review and editing, M.O.-C. and M.Á.B.G. All authors have read and agreed to the published version of the manuscript.

Funding

The study was funded by the Consejo Nacional de Ciencia, Tecnología e Innovación (Concytec) through the Programa Nacional de Investigación Científica y Estudios Avanzados (PROCIENCIA) under the financing Esquema Financiero E041-2023-02 denominado “Proyectos de Investigación Aplicada” of the project contract No. PE501082273-2023, “Sistemas agrovoltaicos: energía, agua y soberanía alimentaria para adaptación al cambio climático en zona altoandina de la región Amazonas”, executed by the Instituto de Investigación para el Desarrollo Sustentable de Ceja de Selva (INDES-CES), through the Centro de Investigación en Climatología, Energías Renovables, Tecnología Ambiental y Construcciones Sostenibles (CINCERCOS) of the Universidad Nacional Toribio Rodríguez de Mendoza de Amazonas del Perú.

Data Availability Statement

The original contributions presented in the study are included in the article; further inquiries can be directed to the corresponding author.

Conflicts of Interest

The authors declare no conflicts of interest.

References

  1. Chamara, R.; Beneragama, C. Agrivoltaic Systems and Its Potential to Optimize Agricultural Land Use for Energy Production in Sri Lanka: A Review. J. Sol. Energy Res. 2020, 5, 417–431. [Google Scholar]
  2. Swart, R.; Levers, C.; Davis, J.T.M.; Verburg, P.H. Meta-Analyses Reveal the Importance of Socio-Psychological Factors for Farmers’ Adoption of Sustainable Agricultural Practices. One Earth 2023, 6, 1771–1783. [Google Scholar] [CrossRef]
  3. Karavidas, I.; Ntatsi, G.; Vougeleka, V.; Karkanis, A.; Ntanasi, T.; Saitanis, C.; Agathokleous, E.; Ropokis, A.; Sabatino, L.; Tran, F.; et al. Agronomic Practices to Increase the Yield and Quality of Common Bean (Phaseolus vulgaris L.): A Systematic Review. Agronomy 2022, 12, 271. [Google Scholar] [CrossRef]
  4. Sebastian Chávez, R.; Escuela, R.; Panamericana, A.; Honduras, Z. Respuesta Del Cultivo de Frijol Común a Bajo Contenido de Fósforo En El Suelo: Revisión de Literatura; Zamorano Escuela Agrícola Panamericana: Tegucigalpa, Honduras, 2020. [Google Scholar]
  5. United Nations. Population|United Nations. Available online: https://un.org/en/observances/world-pulses-day (accessed on 30 December 2024).
  6. Ministerio de Desarrollo Agrario y Riego (Minagri). Perfil Productivo y Competitivo de los Principales Cultivos del Sector. Available online: https://app.powerbi.com/view?r=eyJrIjoiYjYwYTk5MDgtM2M0MS00NDMyLTgzNDEtMjNhNjEzYWQyOTNlIiwidCI6IjdmMDg0NjI3LTdmNDAtNDg3OS04OTE3LTk0Yjg2ZmQzNWYzZiJ9 (accessed on 30 October 2024).
  7. De Ron, A.M.; Rodiño, A.P.; Santalla, M.; González, A.M.; Lema, M.J.; Martín, I.; Kigel, J. Seedling Emergence and Phenotypic Response of Common Bean Germplasm to Different Temperatures under Controlled Conditions and in Open Field. Front. Plant Sci. 2016, 7, 1087. [Google Scholar] [CrossRef] [PubMed]
  8. Geleta, R.J.; Roro, A.G.; Terfa, M.T. Phenotypic and Yield Responses of Common Bean (Phaseolus vulgaris L.) Varieties to Different Soil Moisture Levels. BMC Plant Biol. 2024, 24, 242. [Google Scholar] [CrossRef] [PubMed]
  9. De Ron, A.M.; Kalavacharla, V.K.; Casquero, P.A.; Gutiérrez, S.; Lorenzana, A.; Villanueva, A.B.; Rosa, L. De Genomic Designing of Climate-Smart Pulse Crops; Springer International Publishing: Berlin/Heidelberg, Germany, 2019; ISBN 9783319969329. [Google Scholar]
  10. Łabuda, H.; Brodaczewska, A. The Influence of Environmental Factors on Flowering of French Bean (Phaseolus vulgaris L.). Acta Agrobot. 2012, 60, 153–159. [Google Scholar] [CrossRef]
  11. Azeem, F.; Bilal, M.J.; Ijaz, U.; Zubair, M.; Rasul, I.; Asghar, M.J.; Abbas, G.; Atif, R.M.; Hameed, A. Recent Advances in Breeding, Marker Assisted Selection and Genomics of Black Gram (Vigna Mungo (L.) Hepper). In Advances in Plant Breeding Strategies: Legumes; Springer: Cham, Switzerland, 2019; Volume 7, ISBN 9783030234003. [Google Scholar]
  12. Weselek, A.; Ehmann, A.; Zikeli, S.; Lewandowski, I.; Schindele, S.; Högy, P. Agrophotovoltaic Systems: Applications, Challenges, and Opportunities. A Review. Agron. Sustain. Dev. 2019, 39, 35. [Google Scholar] [CrossRef]
  13. Zahrawi, A.A.; Aly, A.M. A Review of Agrivoltaic Systems: Addressing Challenges and Enhancing Sustainability. Sustainability 2024, 16, 8271. [Google Scholar] [CrossRef]
  14. Wang, F.; Men, R.; Yan, S.; Lai, H.; Wang, Z.; Feng, K.; Gao, S.; Li, Y.; Guo, W.; Qu, Y. Vegetation’s Dynamic Changes, Spatial Trends, and Responses to Drought in the Yellow River Basin, China. Agronomy 2024, 14, 1724. [Google Scholar] [CrossRef]
  15. Nie, Y.; Avraamidou, S.; Xiao, X.; Pistikopoulos, E.N.; Li, J.; Zeng, Y.; Song, F.; Yu, J.; Zhu, M. A Food-Energy-Water Nexus Approach for Land Use Optimization. Sci. Total Environ. 2018, 659, 7–19. [Google Scholar] [CrossRef] [PubMed]
  16. Santra, P. Agri-Voltaic System for Climate Smart Agriculture and Clean Energy Generation. SATSA Mukhaptra Annu. Tech. Issue 2018, 22, 7–15. [Google Scholar]
  17. Reeza, A.A.; Noor, N.F.M.; Ahmed, O.H.; Masuri, M.A. Shading Effect of Photovoltaic Panels on Growth of Selected Tropical Vegetable Crops. Sci. Hortic. 2024, 324, 112574. [Google Scholar] [CrossRef]
  18. Elkadeem, M.R.; Zainali, S.; Lu, S.M.; Younes, A.; Abido, M.A.; Amaducci, S.; Croci, M.; Zhang, J.; Landelius, T.; Stridh, B.; et al. Agrivoltaic Systems Potentials in Sweden: A Geospatial-Assisted Multi-Criteria Analysis. Appl. Energy 2024, 356, 122108. [Google Scholar] [CrossRef]
  19. Trommsdorff, M.; Dhal, I.S.; Özdemir, Ö.E.; Ketzer, D.; Weinberger, N.; Rösch, C. Agrivoltaics: Solar Power Generation and Food Production; Academic Press: Cambridge, MA, USA, 2022; ISBN 9780323898669. [Google Scholar]
  20. Gonocruz, R.A.; Nakamura, R.; Yoshino, K.; Homma, M.; Doi, T.; Yoshida, Y.; Tani, A. Analysis of the Rice Yield under an Agrivoltaic System: A Case Study in Japan. Environments 2021, 8, 65. [Google Scholar] [CrossRef]
  21. Gorjian, S.; Bousi, E.; Özdemir, Ö.E.; Trommsdorff, M.; Kumar, N.M.; Anand, A.; Kant, K.; Chopra, S.S. Progress and Challenges of Crop Production and Electricity Generation in Agrivoltaic Systems Using Semi-Transparent Photovoltaic Technology. Renew. Sustain. Energy Rev. 2022, 158, 112126. [Google Scholar] [CrossRef]
  22. Meitzner, R.; Schubert, U.S.; Hoppe, H. Agrivoltaics—The Perfect Fit for the Future of Organic Photovoltaics. Adv. Energy Mater. 2021, 11, 2002551. [Google Scholar] [CrossRef]
  23. Pascaris, A.S.; Schelly, C.; Pearce, J.M. A First Investigation of Agriculture Sector Perspectives on the Opportunities and Barriers for Agrivoltaics. Agronomy 2020, 10, 1885. [Google Scholar] [CrossRef]
  24. Dupraz, C.; Marrou, H.; Talbot, G.; Dufour, L.; Nogier, A.; Ferard, Y. Combining Solar Photovoltaic Panels and Food Crops for Optimising Land Use: Towards New Agrivoltaic Schemes. Renew. Energy 2011, 36, 2725–2732. [Google Scholar] [CrossRef]
  25. Garrod, A.; Ghosh, A. A Review of Bifacial Solar Photovoltaic Applications. Front. Energy 2023, 17, 704–726. [Google Scholar] [CrossRef]
  26. Barichello, J.; Mariani, P.; Vesce, L.; Spadaro, D.; Citro, I.; Matteocci, F.; Bartolotta, A.; Di Carlo, A.; Calogero, G. Bifacial Dye-Sensitized Solar Cells for Indoor and Outdoor Renewable Energy-Based Application. J. Mater. Chem. C 2023, 12, 2317–2349. [Google Scholar] [CrossRef]
  27. Hezel, R. Novel Applications of Bifacial Solar Cells. Prog. Photovolt. Res. Appl. 2003, 11, 549–556. [Google Scholar] [CrossRef]
  28. Castro, A.; Dàvila, C.; Wil, L. Climas Del Perú: Mapa de Clasificaciòn Climática Nacional; 2021; ISBN 9786124831539. Available online: https://hdl.handle.net/20.500.12542/1336 (accessed on 28 December 2024).
  29. Rascón, J.; Gosgot Angeles, W.; Oliva, M.; Quiñones Huatangari, L.; Barrena Grurbillon, M.A. Determinación de Las Épocas Lluviosas y Secas En La Ciudadde Chachapoyas Para El Periodo de 2014–2018. Rev. Climatol. 2020, 20, 15–28. [Google Scholar]
  30. Vásquez, J.; Vilca, N.; Malqui, R. Catálogo de Frijol En Regiones Andinas Del Banco de Germoplasma Del INIA; Instituto Nacional de Innovación Agraria: La Molin, Peru, 2023; ISBN 9789972441219. [Google Scholar]
  31. Zhang, X.; Feng, G.; Sun, X. Advanced Technologies of Soil Moisture Monitoring in Precision Agriculture: A Review. J. Agric. Food Res. 2024, 18, 101473. [Google Scholar] [CrossRef]
  32. Kahramanoğlu, İ.; Usanmaz, S.; Alas, T. Water Footprint and Irrigation Use Efficiency of Important Crops in Northern Cyprus from an Environmental, Economic and Dietary Perspective. Saudi J. Biol. Sci. 2020, 27, 134–141. [Google Scholar] [CrossRef] [PubMed]
  33. Awan, F.K.; Khurshid, M.Y.; Afzal, O.; Ahmed, M.; Chaudhry, A.N. Agro-Morphological Evaluation of Some Exotic Common Bean (Phaseolus vulgaris L.) Genotypes under Rainfed Conditions of Islamabad, Pakistan. Pakistan J. Bot. 2014, 46, 259–264. [Google Scholar]
  34. Vásquez García, J.; Vilca Valqui, N.C.; Malqui Ramos, R.F. Manual de Manejo Agronomico de Frijol en Regiones Andinas; Instituto Nacional de Innovación Agraria: La Molin, Peru, 2023; Volume 11. [Google Scholar]
  35. Elamri, Y.; Cheviron, B.; Lopez, J.M.; Dejean, C.; Belaud, G. Water Budget and Crop Modelling for Agrivoltaic Systems: Application to Irrigated Lettuces. Agric. Water Manag. 2018, 208, 440–453. [Google Scholar] [CrossRef]
  36. Noor, N.F.M.; Reeza, A.A. Effects of Solar Photovoltaic Installation on Microclimate and Soil Properties in UiTM 50MWac Solar Park, Malaysia. IOP Conf. Ser. Earth Environ. Sci. 2022, 1059, 012031. [Google Scholar] [CrossRef]
  37. Jadidi, M.; Mumivand, H.; Nia, A.E.; Shayganfar, A.; Maggi, F. UV-A and UV-B Combined with Photosynthetically Active Radiation Change Plant Growth, Antioxidant Capacity and Essential Oil Composition of Pelargonium Graveolens. BMC Plant Biol. 2023, 23, 555. [Google Scholar] [CrossRef] [PubMed]
  38. Lv, Y.; Gu, L.; Man, R.; Liu, X.; Xu, J. Response of Stomatal Conductance, Transpiration, and Photosynthesis to Light and CO2 for Rice Leaves with Different Appearance Days. Front. Plant Sci. 2024, 15, 1397948. [Google Scholar] [CrossRef]
  39. Hadi, H.; Ghassemi-Golezani, K.; Khoei, F.R.; Valizadeh, M.; Shakiba, M.R. Response of Common Bean (Phaseolus vulgaris L.) to Different Levels of Shade. J. Agron. 2006, 5, 595–599. [Google Scholar] [CrossRef]
  40. Raza, M.A.; Gul, H.; Hasnain, A.; Bin Khalid, M.H.; Hussain, S.; Abbas, G.; Ahmed, W.; Babar, M.J.; Ahmed, Z.; Saeed, A.; et al. Leaf Area Regulates the Growth Rates and Seed Yield of Soybean (Glycine max L. Merr.) in Intercropping System. Int. J. Plant Prod. 2022, 16, 639–652. [Google Scholar] [CrossRef]
  41. Scarano, A.; Semeraro, T.; Calisi, A.; Aretano, R.; Rotolo, C.; Lenucci, M.S.; Santino, A.; Piro, G.; De Caroli, M. Effects of the Agrivoltaic System on Crop Production: The Case of Tomato (Solanum lycopersicum L.). Appl. Sci. 2024, 14, 3095. [Google Scholar] [CrossRef]
  42. Xie, T.; Li, J.; Yang, C.; Jiang, Z.; Chen, Y.; Guo, L.; Zhang, J. Crop Height Estimation Based on UAV Images: Methods, Errors, and Strategies. Comput. Electron. Agric. 2021, 185, 106155. [Google Scholar] [CrossRef]
  43. Frühauf, A.C.; Silva, E.M.; Fernandes, T.J.; Muniz, J.A. Predicting Height Growth in Bean Plants Using Non-Linear and Polynomial Models. Rev. Agrogeoambiental 2022, 13. [Google Scholar] [CrossRef]
  44. Kumar, V.; Kumar, P.; Khan, A. Optimization of PGPR and Silicon Fertilization Using Response Surface Methodology for Enhanced Growth, Yield and Biochemical Parameters of French Bean (Phaseolus vulgaris L.) under Saline Stress. Biocatal. Agric. Biotechnol. 2020, 23, 101463. [Google Scholar] [CrossRef]
  45. Cossu, M.; Sirigu, A.; Deligios, P.A.; Farci, R.; Carboni, G.; Urracci, G.; Ledda, L. Yield Response and Physiological Adaptation of Green Bean to Photovoltaic Greenhouses. Front. Plant Sci. 2021, 12, 655851. [Google Scholar] [CrossRef] [PubMed]
  46. Ali, A.D.; Habila, S.; Isiwu, N.C.; Osaji, K.J.; Nyam, D.D. Effects of Tin Mine Tailings on the Growth and Development of Common Bean (Phaseolus vulgaris L.) in Jos, Nigeria. J. Agric. Ecol. Res. Int. 2019, 19, 1–7. [Google Scholar] [CrossRef]
  47. Rinaldi, F.B.; Sudiana, E.; Hardiyati, T. Global Warming and the Phenology of Yard-Long Beans (Vigna unguiculata Subsp. Cylindrica (L.) Verdc.). Interdiscip. Int. J. Conserv. Cult. 2023, 1, 73–79. [Google Scholar] [CrossRef]
  48. Tabot, P.T.; Mebong, M.P.; Abeche, A.J.; Kedju, N.C.; Nyama, B.C. Ecophysiological Responses of Phaseolus vulgaris L. to Salinity and Irrigation Regimes in Screen House. Int. J. Curr. Res. Biosci. Plant Biol. 2021, 8, 11–22. [Google Scholar] [CrossRef]
  49. Bareke, T. Diversity and Genetic Potential of Various Morphological Traits among Common Bean (Phaseolus vulgaris, Fabaceae) Landraces. Biodiversitas J. Biol. Divers. 2019, 20. [Google Scholar] [CrossRef]
  50. Madushani, G.H.K.; Karunarathna, B. Impact of Organic Liquid Fertilizers on Growth and Yield Performance of Green Bean (Phaseolus vulgaris L.) in Non-Circulating Hydroponic System. AGRIEAST J. Agric. Sci. 2023, 17, 25–41. [Google Scholar] [CrossRef]
  51. Hussein, A.M.; Benmoussa, M. Planting Density and Dose of Nitrogen and Potassium as Influencing Pod Characters of Snap Bean (Phaseolus vulgaris L.). Turkish J. Agric.-Food Sci. Technol. 2023, 11, 634–638. [Google Scholar] [CrossRef]
  52. Merga, J.T. Evaluation of Common Bean Varieties (Phaseolus vulgaris L.) to Different Row-Spacing in Jimma, South Western Ethiopia. Heliyon 2020, 6, e04822. [Google Scholar] [CrossRef] [PubMed]
  53. Saravia, D.; Valqui-Valqui, L.; Salazar, W.; Quille-Mamani, J.; Barboza, E.; Porras-Jorge, R.; Injante, P.; Arbizu, C.I. Yield Prediction of Four Bean (Phaseolus vulgaris) Cultivars Using Vegetation Indices Based on Multispectral Images from UAV in an Arid Zone of Peru. Drones 2023, 7, 325. [Google Scholar] [CrossRef]
Figure 1. Location of bifacial, monofacial, and semi-transparent agrivoltaic systems in the area of Chachapoyas, Amazonas Region, Peru.
Figure 1. Location of bifacial, monofacial, and semi-transparent agrivoltaic systems in the area of Chachapoyas, Amazonas Region, Peru.
Agronomy 15 00529 g001
Figure 2. Agrivoltaic systems. (A) Bifacial, (B) monofacial, and (C) semi-transparent.
Figure 2. Agrivoltaic systems. (A) Bifacial, (B) monofacial, and (C) semi-transparent.
Agronomy 15 00529 g002
Figure 3. Sowing distribution of Phaseolus vulgaris L.
Figure 3. Sowing distribution of Phaseolus vulgaris L.
Agronomy 15 00529 g003
Figure 4. Daily temperature and precipitation trends for the period of April to June 2024.
Figure 4. Daily temperature and precipitation trends for the period of April to June 2024.
Agronomy 15 00529 g004
Figure 5. Irradiance and photosynthetically active radiation (PAR) in agrivoltaic systems.
Figure 5. Irradiance and photosynthetically active radiation (PAR) in agrivoltaic systems.
Agronomy 15 00529 g005
Figure 6. Leaf and soil moisture for P. vulgaris L. under agrivoltaic systems.
Figure 6. Leaf and soil moisture for P. vulgaris L. under agrivoltaic systems.
Agronomy 15 00529 g006
Figure 7. Comparison of plant height for Phaseolus vulgaris L. varieties (V1 Panamito and V2 Chaucha) at 49 and 91 days under different agrivoltaic systems and planting distances. The different letters above the bars indicate statistically significant differences in plant height among the various systems and planting distances, based on the results of post-hoc analysis.
Figure 7. Comparison of plant height for Phaseolus vulgaris L. varieties (V1 Panamito and V2 Chaucha) at 49 and 91 days under different agrivoltaic systems and planting distances. The different letters above the bars indicate statistically significant differences in plant height among the various systems and planting distances, based on the results of post-hoc analysis.
Agronomy 15 00529 g007
Figure 8. Influence of agrivoltaic systems and planting densities on the number of trifoliate leaves in Phaseolus vulgaris L. (V1 Panamito and V2 Chaucha) at 21 and 49 days. The different letters above the bars indicate statistically significant differences in plant height among the various systems and planting distances, based on the results of post-hoc analysis.
Figure 8. Influence of agrivoltaic systems and planting densities on the number of trifoliate leaves in Phaseolus vulgaris L. (V1 Panamito and V2 Chaucha) at 21 and 49 days. The different letters above the bars indicate statistically significant differences in plant height among the various systems and planting distances, based on the results of post-hoc analysis.
Agronomy 15 00529 g008
Figure 9. Variation in the number of flowers per plant in weeks 1, 2, and 4 according to agrovoltaic systems and planting distances of P. vulgaris L. (V1 Panamito and V2 Chaucha). The different letters above the bars indicate statistically significant differences in plant height among the various systems and planting distances, based on the results of post-hoc analysis.
Figure 9. Variation in the number of flowers per plant in weeks 1, 2, and 4 according to agrovoltaic systems and planting distances of P. vulgaris L. (V1 Panamito and V2 Chaucha). The different letters above the bars indicate statistically significant differences in plant height among the various systems and planting distances, based on the results of post-hoc analysis.
Agronomy 15 00529 g009
Figure 10. Average number of pods per plant of P. vulgaris L. (V1 Panamito and V2 Chaucha) under different agrovoltaic systems and planting distances. The different letters above the bars indicate statistically significant differences in plant height among the various systems and planting distances, based on the results of post-hoc analysis.
Figure 10. Average number of pods per plant of P. vulgaris L. (V1 Panamito and V2 Chaucha) under different agrovoltaic systems and planting distances. The different letters above the bars indicate statistically significant differences in plant height among the various systems and planting distances, based on the results of post-hoc analysis.
Agronomy 15 00529 g010
Figure 11. Comparison of pod length in Phaseolus vulgaris L. (V1 Panamito and V2 Chaucha) ac-cording to agrovoltaic systems and planting distances. The different letters above the bars indicate statistically significant differences in plant height among the various systems and planting distances, based on the results of post-hoc analysis.
Figure 11. Comparison of pod length in Phaseolus vulgaris L. (V1 Panamito and V2 Chaucha) ac-cording to agrovoltaic systems and planting distances. The different letters above the bars indicate statistically significant differences in plant height among the various systems and planting distances, based on the results of post-hoc analysis.
Agronomy 15 00529 g011
Figure 12. Average pod weight of Phaseolus vulgaris L. (V1 Panamito and V2 Chaucha) by agrivoltaic system, variety, and planting distance. The different letters above the bars indicate statistically significant differences in plant height among the various systems and planting distances, based on the results of post-hoc analysis.
Figure 12. Average pod weight of Phaseolus vulgaris L. (V1 Panamito and V2 Chaucha) by agrivoltaic system, variety, and planting distance. The different letters above the bars indicate statistically significant differences in plant height among the various systems and planting distances, based on the results of post-hoc analysis.
Agronomy 15 00529 g012
Figure 13. Average grain weight per plant of Phaseolus vulgaris L. (V1 Panamito and V2 Chaucha) under different agrivoltaic systems and planting distances. The different letters above the bars indicate statistically significant differences in plant height among the various systems and planting distances, based on the results of post-hoc analysis.
Figure 13. Average grain weight per plant of Phaseolus vulgaris L. (V1 Panamito and V2 Chaucha) under different agrivoltaic systems and planting distances. The different letters above the bars indicate statistically significant differences in plant height among the various systems and planting distances, based on the results of post-hoc analysis.
Agronomy 15 00529 g013
Figure 14. Average yield (kg/ha) of Phaseolus vulgaris L. under agrivoltaic systems and planting densities. The different letters above the bars indicate statistically significant differences in plant height among the various systems and planting distances, based on the results of post-hoc analysis.
Figure 14. Average yield (kg/ha) of Phaseolus vulgaris L. under agrivoltaic systems and planting densities. The different letters above the bars indicate statistically significant differences in plant height among the various systems and planting distances, based on the results of post-hoc analysis.
Agronomy 15 00529 g014
Disclaimer/Publisher’s Note: The statements, opinions and data contained in all publications are solely those of the individual author(s) and contributor(s) and not of MDPI and/or the editor(s). MDPI and/or the editor(s) disclaim responsibility for any injury to people or property resulting from any ideas, methods, instructions or products referred to in the content.

Share and Cite

MDPI and ACS Style

Gosgot Angeles, W.; Banda Martinez, D.; Barrena Gurbillón, M.Á.; Espinoza Canaza, F.I.; Santillan Gomez, H.; Mori Servan, D.C.; Yalta Chappa, M.; Huanes Mariños, M.A.; Gamarra-Torres, O.A.; Oliva-Cruz, M. Productivity and Morphological Adaptation of Phaseolus vulgaris L. in Agrivoltaic Systems with Different Photovoltaic Technologies: A Case Study in Chachapoyas, Amazonas, Peru. Agronomy 2025, 15, 529. https://doi.org/10.3390/agronomy15030529

AMA Style

Gosgot Angeles W, Banda Martinez D, Barrena Gurbillón MÁ, Espinoza Canaza FI, Santillan Gomez H, Mori Servan DC, Yalta Chappa M, Huanes Mariños MA, Gamarra-Torres OA, Oliva-Cruz M. Productivity and Morphological Adaptation of Phaseolus vulgaris L. in Agrivoltaic Systems with Different Photovoltaic Technologies: A Case Study in Chachapoyas, Amazonas, Peru. Agronomy. 2025; 15(3):529. https://doi.org/10.3390/agronomy15030529

Chicago/Turabian Style

Gosgot Angeles, Wildor, Duber Banda Martinez, Miguel Ángel Barrena Gurbillón, Fernando Isaac Espinoza Canaza, Homar Santillan Gomez, Diana Carina Mori Servan, Merbelita Yalta Chappa, Milton Américo Huanes Mariños, Oscar Andrés Gamarra-Torres, and Manuel Oliva-Cruz. 2025. "Productivity and Morphological Adaptation of Phaseolus vulgaris L. in Agrivoltaic Systems with Different Photovoltaic Technologies: A Case Study in Chachapoyas, Amazonas, Peru" Agronomy 15, no. 3: 529. https://doi.org/10.3390/agronomy15030529

APA Style

Gosgot Angeles, W., Banda Martinez, D., Barrena Gurbillón, M. Á., Espinoza Canaza, F. I., Santillan Gomez, H., Mori Servan, D. C., Yalta Chappa, M., Huanes Mariños, M. A., Gamarra-Torres, O. A., & Oliva-Cruz, M. (2025). Productivity and Morphological Adaptation of Phaseolus vulgaris L. in Agrivoltaic Systems with Different Photovoltaic Technologies: A Case Study in Chachapoyas, Amazonas, Peru. Agronomy, 15(3), 529. https://doi.org/10.3390/agronomy15030529

Note that from the first issue of 2016, this journal uses article numbers instead of page numbers. See further details here.

Article Metrics

Back to TopTop