Physiological Mechanism of Welsh Onion (Allium fistulosum L.) in Response to High Temperature and Waterlogging Stress
Abstract
1. Introduction
2. Materials and Methods
2.1. Experimental Design
2.2. Dry Matter Content
2.3. Root Activity and Architecture Determination
2.4. Determination of ROS Metabolism and Soluble Solid Content
2.5. Determination of Chlorophyll Content and Photosynthetic Parameters
2.6. Kinetic Curve of Rapid Chlorophyll Fluorescence Induction
2.7. Statistical Analysis of Data
3. Results
3.1. Effect of High Temperature and Waterlogging Treatment on Dry Matter Content of Welsh Onion
3.2. Effect of High Temperature and Waterlogging on Root Activity and Root Configuration of Welsh Onion
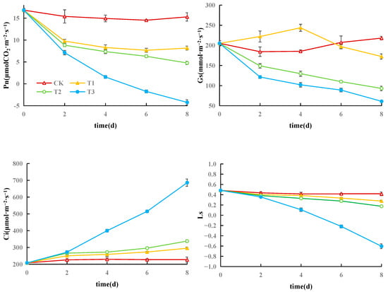
3.3. Effect of High Temperature and Waterlogging Treatment on Photosynthetic Pigment and Water Vapor Exchange Parameters of Welsh Onion
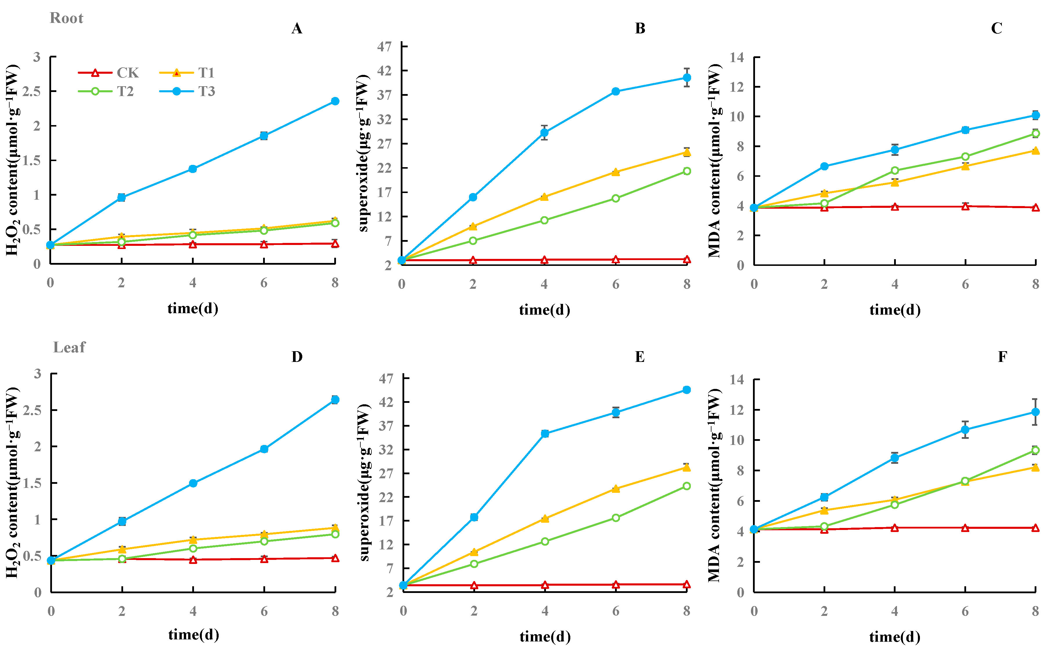
3.4. Effect of High Temperature and Waterlogging Treatment on Antioxidant Enzymes of Welsh Onion
3.5. Effect of High Temperature and Waterlogging Treatment on Chlorophyll a Transient Fluorescence Curve of Welsh Onion Leaves
4. Discussion
4.1. The Effect of High Temperature and Waterlogging Treatment on the Root System and Dry Matter Content of Welsh Onion
4.2. The Effect of High Temperature and Waterlogging Treatment on Photosynthetic Pigments, Water Vapor Exchange Parameters, and Antioxidant Enzymes in Welsh Onion
4.3. High Temperature and Waterlogging Treatment Decreased the Photosynthetic Electron Transfer Efficiency of Welsh Onion Leaves
5. Conclusions
Author Contributions
Funding
Data Availability Statement
Conflicts of Interest
References
- Kaur, G.; Singh, G.; Motavalli, P.P.; Nelson, K.A.; Orlowski, J.M.; Golden, B.R. Impacts and management strategies for crop production in waterlogged or flooded soils: A review. Agron. J. 2020, 112, 1475–1501. [Google Scholar] [CrossRef]
- Garcia, N.; da-Silva, C.J.; Cocco, K.L.T.; Pomagualli, D.; de Oliveira, F.K.; da Silva, J.V.L.; de Oliveira, A.C.B.; do Amarante, L. Waterlogging tolerance of five soybean genotypes through different physiological and biochemical mechanisms. Environ. Exp. Bot. 2020, 172, 103975. [Google Scholar] [CrossRef]
- Zhang, Y.J.; Liu, G.Y.; Dong, H.Z.; Li, C.D. Waterlogging stress in cotton: Damage, adaptability, alleviation strategies, and mechanisms. Crop J. 2021, 9, 257–270. [Google Scholar] [CrossRef]
- Kaur, G.; Zurweller, B.A.; Nelson, K.A.; Motavalli, P.P.; Dudenhoeffer, C.J. Soil Waterlogging and Nitrogen Fertilizer Management Effects on Corn and Soybean Yields. Agron. J. 2017, 109, 97–106. [Google Scholar] [CrossRef]
- Liu, Z.; Liu, Z.; Xiao, J.; Nan, J.; Gong, W. Waterlogging at seedling and jointing stages inhibits growth and development, reduces yield in summer maize. Trans. Chin. Soc. Agric. Eng. 2013, 29, 44–52. [Google Scholar] [CrossRef]
- Lee, Y.H.; Kim, K.S.; Jang, Y.S.; Hwang, J.H.; Lee, D.H.; Choi, I.H. Global gene expression responses to waterlogging in leaves of rape seedlings. Plant Cell Rep. 2014, 33, 289–299. [Google Scholar] [CrossRef]
- Fausey, N.R.; McDonald, M.B. Emergence of Inbred and Hybrid Corn Following Flooding. Agron. J. 1985, 77, 51–56. [Google Scholar] [CrossRef]
- Liu, J.P.; Sun, X.J.; Xu, F.Y.; Zhang, Y.J.; Zhang, Q.; Miao, R.; Zhang, J.H.; Liang, J.S.; Xu, W.F. Suppression of OsMDHAR4 enhances heat tolerance by mediating H2O2-induced stomatal closure in rice plants. Rice 2018, 11, 38. [Google Scholar] [CrossRef] [PubMed]
- Bahuguna, R.N.; Jha, J.; Pal, M.; Shah, D.; Lawas, L.M.; Khetarpal, S.; Jagadish, K.S. Physiological and biochemical characterization of NERICA-L-44: A novel source of heat tolerance at the vegetative and reproductive stages in rice. Physiol. Plant 2015, 154, 543–559. [Google Scholar] [CrossRef]
- Prasanth, V.V.; Babu, M.S.; Basava, R.K.; Tripura Venkata, V.G.N.; Mangrauthia, S.K.; Voleti, S.R.; Neelamraju, S. Trait and Marker Associations in Oryza nivara and O. rufipogon Derived Rice Lines under Two Different Heat Stress Conditions. Front. Plant Sci. 2017, 8, 1819. [Google Scholar] [CrossRef] [PubMed]
- Trought, M.; Drew, M. Effects of waterlogging on young wheat plants(Triticum aestivun L.),and on soil solutes at different soil temperatures. Plant Soil 1982, 69, 311–326. [Google Scholar] [CrossRef]
- Rashed, G.I.; Zhao, B.; Huang, Q.; Kheshti, M. Research Progress on Peony under High Temperature Stress Caused by Climate Warming. E3S Web Conf. 2021, 252, 03056. [Google Scholar] [CrossRef]
- Shao, J.Y.; Liu, P.; Zhao, B.; Zhang, J.W.; Zhao, X.Y.; Ren, B.Z. Combined effects of high temperature and waterlogging on yield and stem development of summer maize. Crop J. 2023, 11, 651–660. [Google Scholar] [CrossRef]
- Limami, A.M.; Diab, H.; Lothier, J. Nitrogen metabolism in plants under low oxygen stress. Planta 2014, 239, 531–541. [Google Scholar] [CrossRef] [PubMed]
- Ploschuk, R.A.; Miralles, D.J.; Colmer, T.D.; Ploschuk, E.L.; Striker, G.G. Waterlogging of Winter Crops at Early and Late Stages: Impacts on Leaf Physiology, Growth and Yield. Front. Plant Sci. 2018, 9, 1863. [Google Scholar] [CrossRef] [PubMed]
- Yang, W.C.; Lin, K.H.; Wu, C.W.; Chang, Y.J.; Chang, Y.S. Effects of Waterlogging with Different Water Resources on Plant Growth and Tolerance Capacity of Four Herbaceous Flowers in a Bioretention Basin. Water 2020, 12, 1619. [Google Scholar] [CrossRef]
- Barickman, T.C.; Simpson, C.R.; Sams, C.E. Waterlogging Causes Early Modification in the Physiological Performance, Carotenoids, Chlorophylls, Proline, and Soluble Sugars of Cucumber Plants. Plants 2019, 8, 160. [Google Scholar] [CrossRef]
- Posso, D.A.; Borella, J.; Reissig, G.N.; Bacarin, M.A. Root flooding-induced changes in the dynamic dissipation of the photosynthetic energy of common bean plants. Acta Physiol. Plant. 2018, 40, 212. [Google Scholar] [CrossRef]
- Yeung, E.; van Veen, H.; Vashisht, D.; Sobral Paiva, A.L.; Hummel, M.; Rankenberg, T.; Steffens, B.; Steffen-Heins, A.; Sauter, M.; de Vries, M.; et al. A stress recovery signaling network for enhanced flooding tolerance in Arabidopsis thaliana. Proc. Natl. Acad. Sci. USA 2018, 115, E6085–E6094. [Google Scholar] [CrossRef] [PubMed]
- Zhou, W.G.; Chen, F.; Meng, Y.J.; Chandrasekaran, U.; Luo, X.F.; Yang, W.Y.; Shu, K. Plant waterlogging/flooding stress responses: From seed germination to maturation. Plant Physiol. Biochem. 2020, 148, 228–236. [Google Scholar] [CrossRef]
- Jin, S.H.; Li, X.Q.; Shi, H.J.; Zhu, X.T. Salicylic Acid Induces Physiological and Biochemical Changes in Peony under Waterlogging Stress. Acta Sci. Pol. Hortorum Cultus 2020, 19, 41–52. [Google Scholar] [CrossRef]
- Wang, D.; Wang, J.F.; Wang, K.; Lv, Y.; Xu, K. Mechanisms of UHP alleviates waterlogging-induced damage in ginger (Zingiber officinale). Sci. Hortic. 2024, 332, 113190. [Google Scholar] [CrossRef]
- Wu, Y.S.; Yang, C.Y. Physiological Responses and Expression Profile of NADPH Oxidase in Rice (Oryza Sativa) Seedlings under Different Levels of Submergence. Rice 2016, 9, 2. [Google Scholar] [CrossRef]
- Wang, Y.Y.; Tao, H.B.; Tian, B.J.; Sheng, D.C.; Xu, C.C.; Zhou, H.M.; Huang, S.B.; Wang, P. Flowering dynamics, pollen, and pistil contribution to grain yield in response to high temperature during maize flowering. Environ. Exp. Bot. 2019, 158, 80–88. [Google Scholar] [CrossRef]
- Yiu, J.C.; Liu, C.W.; Fang, D.Y.; Lai, Y.S. Waterlogging tolerance of Welsh onion (Allium fistulosum L.) enhanced by exogenous spermidine and spermine. Plant Physiol. Biochem. 2009, 47, 710–716. [Google Scholar] [CrossRef] [PubMed]
- Zhang, X.; Huang, G.; Bian, X.; Zhao, Q. Effects of root interaction and nitrogen fertilization on the chlorophyll content, root activity, photosynthetic characteristics of intercropped soybean and microbial quantity in the rhizosphere. Plant Soil Environ. 2013, 59, 80–88. [Google Scholar] [CrossRef]
- Singh, B.K.; Sharma, S.R.; Singh, B. Antioxidant enzymes in cabbage: Variability and inheritance of superoxide dismutase, peroxidase and catalase. Sci. Hortic. 2010, 124, 9–13. [Google Scholar] [CrossRef]
- Beyer, W.F., Jr.; Fridovich, A.I. Assaying for Superoxide Dismutase Activity: Some Large, Consequences of Minor Changes in Conditions. Anal. Biochem 1987, 161, 559–566. [Google Scholar] [CrossRef] [PubMed]
- Sun, J.; You, X.R.; Li, L.; Peng, H.X.; Su, W.Q.; Li, C.B.; He, Q.G.; Liao, F. Effects of a phospholipase D inhibitor on postharvest enzymatic browning and oxidative stress of litchi fruit. Postharvest Biol. Technol. 2011, 62, 288–294. [Google Scholar] [CrossRef]
- Cavalcanti, F.R.; Oliveira, J.T.A.; Martins-Miranda, A.S.; Viegas, R.A.; Silveira, J.A.G. Superoxide dismutase, catalase and peroxidase activities do not confer protection against oxidative damage in salt-stressed cowpea leaves. New Phytol. 2004, 163, 563–571. [Google Scholar] [CrossRef]
- Liu, S.J.; Sun, B.X.; Cao, B.L.; Lv, Y.; Chen, Z.J.; Xu, K. Effects of soil waterlogging and high-temperature stress on photosynthesis and photosystem II of ginger (Zingiber officinale). Protoplasma 2022, 260, 405–418. [Google Scholar] [CrossRef]
- Berüter, J. Carbohydrate metabolism in two apple genotypes that differ in malate accumulation. J. Plant Physiol. 2004, 161, 1011–1029. [Google Scholar] [CrossRef]
- Dubois, M.; Gilles, K.A.; Hamilton, J.K.; Rebers, P.A.; Smith, F. Colorimetric method for determination of sugars and related substances. Anal. Chem. 1956, 38, 350–356. [Google Scholar] [CrossRef]
- Hu, B.F.; Huang, H.L.; Ji, Y.Z.; Zhao, X.F.; Qi, J.L.; Zhang, L.H.; Zhang, G.Z. Evaluation of the optimum concentration of chlorophyll extract for, determination of chlorophyll content by spectrophotometry. Pratacultural Sci. 2018, 035, 1965–1974. [Google Scholar]
- Gao, S.; Liu, X.; Liu, Y.; Cao, B.; Chen, Z.; Xu, K. Photosynthetic characteristics and chloroplast ultrastructure of welsh onion (Allium fistulosum L.) grown under different LED wavelengths. BMC Plant Biol. 2020, 20, 78. [Google Scholar] [CrossRef] [PubMed]
- Zushi, K.; Matsuzoe, N. Using of chlorophyll a fluorescence OJIP transients for sensing salt stress in the leaves and fruits of tomato. Sci. Hortic. 2017, 219, 216–221. [Google Scholar] [CrossRef]
- Bailey-Serres, J.; Lee, S.C.; Brinton, E. Waterproofing crops: Effective flooding survival strategies. Plant Physiol. 2012, 160, 1698–1709. [Google Scholar] [CrossRef] [PubMed]
- Voesenek, L.; Bailey-Serres, J. Flood adaptive traits and processes: An overview. New Phytol. 2015, 206, 57–73. [Google Scholar] [CrossRef] [PubMed]
- Hong, T.D.; Minchin, F.R.; Summerfield, R.J. Recovery of nodulated cowpea plants (Vigna unguiculata (L.) Walp.) from waterlogging during vegetative growth. Plant Soil 1977, 48, 661–672. [Google Scholar] [CrossRef]
- Jayawardhane, J.; Goyali, J.C.; Zafari, S.; Igamberdiev, A.U. The Response of Cowpea (Vigna unguiculata) Plants to Three Abiotic Stresses Applied with Increasing Intensity: Hypoxia, Salinity, and Water Deficit. Metabolites 2022, 12, 38. [Google Scholar] [CrossRef]
- Kumar, P.; Pal, M.; Joshi, R.; Sairam, R.K. Yield, growth and physiological responses of mung bean [Vigna radiata (L.) Wilczek] genotypes to waterlogging at vegetative stage. Physiol. Mol. Biol. Plants 2013, 19, 209–220. [Google Scholar] [CrossRef]
- Zheng, J.W.; Ying, Q.S.; Fang, C.Y.; Sun, N.; Si, M.L.; Yang, J.; Zhu, B.; Ruan, Y.L.; Zhu, Z.J.; He, Y. Alternative oxidase pathway is likely involved in waterlogging tolerance of watermelon. Sci. Hortic. 2021, 278, 109831. [Google Scholar] [CrossRef]
- Wakchaure, G.C.; Minhas, P.S.; Kumar, S.; Khapte, P.S.; Rane, J.; Reddy, K.S. Bulb productivity and quality of monsoon onion (Allium cepa L.) as affected by transient waterlogging at different growth stages and its alleviation with plant growth regulators. Agric. Water Manag. 2023, 278, 108136. [Google Scholar] [CrossRef]
- Najeeb, U.; Bange, M.P.; Tan, D.K.; Atwell, B.J. Consequences of waterlogging in cotton and opportunities for mitigation of yield losses. AoB Plants 2015, 7, plv080. [Google Scholar] [CrossRef]
- Gonzalez-Garcia, M.P.; Conesa, C.M.; Lozano-Enguita, A.; Baca-Gonzalez, V.; Simancas, B.; Navarro-Neila, S.; Sanchez-Bermudez, M.; Salas-Gonzalez, I.; Caro, E.; Castrillo, G.; et al. Temperature changes in the root ecosystem affect plant functionality. Plant Commun. 2023, 4, 100514. [Google Scholar] [CrossRef]
- Mathur, S.; Agrawal, D.; Jajoo, A. Photosynthesis: Response to high temperature stress. J. Photochem. Photobiol. B 2014, 137, 116–126. [Google Scholar] [CrossRef] [PubMed]
- Kuai, J.; Liu, Z.W.; Wang, Y.H.; Meng, Y.L.; Chen, B.L.; Zhao, W.Q.; Zhou, Z.G.; Oosterhuis, D.M. Waterlogging during flowering and boll forming stages affects sucrose metabolism in the leaves subtending the cotton boll and its relationship with boll weight. Plant Sci. 2014, 223, 79–98. [Google Scholar] [CrossRef] [PubMed]
- Yan, K.; Zhao, S.J.; Cui, M.X.; Han, G.X.; Wen, P. Vulnerability of photosynthesis and photosystem I in Jerusalem artichoke (Helianthus tuberosus L.) exposed to waterlogging. Plant Physiol. Biochem. 2018, 125, 239–246. [Google Scholar] [CrossRef] [PubMed]
- Farquhar, G.D.; Sharkey, T.D. Stomatal conductance and photosynthesis. Ann. Rev. Plant Physiol. 1982, 33, 317–345. [Google Scholar] [CrossRef]
- Pandey, S.; Fartyal, D.; Agarwal, A.; Shukla, T.; James, D.; Kaul, T.; Negi, Y.K.; Arora, S.; Reddy, M.K. Abiotic Stress Tolerance in Plants: Myriad Roles of Ascorbate Peroxidase. Front. Plant Sci. 2017, 8, 581. [Google Scholar] [CrossRef] [PubMed]
- Sharma, P.; Jha, A.B.; Dubey, R.S.; Pessarakli, M. Reactive Oxygen Species, Oxidative Damage, and Antioxidative Defense Mechanism in Plants under Stressful Conditions. J. Bot. 2012, 2012, 217037. [Google Scholar] [CrossRef]
- Wang, H.; Chen, Y.; Hu, W.; Snider, J.L.; Zhou, Z. Short-term soil-waterlogging contributes to cotton cross tolerance to chronic elevated temperature by regulating ROS metabolism in the subtending leaf. Plant Physiol. Biochem. 2019, 139, 333–341. [Google Scholar] [CrossRef]
- Ren, B.; Zhang, J.; Dong, S.; Liu, P.; Zhao, B. Effects of Waterlogging on Leaf Mesophyll Cell Ultrastructure and Photosynthetic Characteristics of Summer Maize. PLoS ONE 2016, 11, e0161424. [Google Scholar] [CrossRef]
- Ahmed, S.; Nawata, E.; Hosokawa, M.; Domae, Y.; Sakuratani, T. Alterations in photosynthesis and some antioxidant enzymatic activities of mungbean subjected to waterlogging. Plant Sci. 2002, 163, 117–123. [Google Scholar] [CrossRef]
- Jedmowski, C.; Brüggemann, W. Imaging of fast chlorophyll fluorescence induction curve (OJIP) parameters, applied in a screening study with wild barley (Hordeum spontaneum) genotypes under heat stress. J. Photoch. Photobio. B 2015, 151, 153–160. [Google Scholar] [CrossRef]
- Jiang, C.D.; Gao, H.Y.; Zou, Q. Changes of donor and acceptor side in photosystem 2 complex induced by iron deficiency in attached soybean and maize leaves. Photosynthetica 2003, 41, 267. [Google Scholar] [CrossRef]
- Küpper, H.; Benedikty, Z.; Morina, F.; Andresen, E.; Mishra, A.; Trtilek, M. Analysis of OJIP Chlorophyll Fluorescence Kinetics and Q(A) Reoxidation Kinetics by Direct Fast Imaging. Plant Physiol. 2019, 179, 369–381. [Google Scholar] [CrossRef] [PubMed]
- Paunov, M.; Koleva, L.; Vassilev, A.; Vangronsveld, J.; Goltsev, V. Effects of Different Metals on Photosynthesis: Cadmium and Zinc Affect Chlorophyll Fluorescence in Durum Wheat. Int. J. Mol. Sci. 2018, 19, 787. [Google Scholar] [CrossRef] [PubMed]
- de Torres Zabala, M.; Littlejohn, G.; Jayaraman, S.; Studholme, D.; Bailey, T.; Lawson, T.; Tillich, M.; Licht, D.; Bolter, B.; Delfino, L.; et al. Chloroplasts play a central role in plant defence and are targeted by pathogen effectors. Nat. Plants 2015, 1, 15074. [Google Scholar] [CrossRef]








| Length (cm) | Surf Area (cm2) | Avg Diam (mm) | Root Volume (cm3) | Tips (Number) | |
|---|---|---|---|---|---|
| CK | 1650.07 ± 16.169 a | 293.72 ± 2.895 a | 0.57 ± 0.007 b | 4.16 ± 0.088 a | 3342.67 ± 57.047 a |
| T1 | 1119.98 ± 36.717 b | 245.35 ± 10.414 b | 0.7 ± 0.009 a | 4.28 ± 0.242 a | 2121 ± 89.084 b |
| T2 | 922.57 ± 10.853 c | 157.13 ± 4.288 c | 0.54 ± 0.011 c | 2.13 ± 0.098 b | 1701.67 ± 20.502 c |
| T3 | 449.2 ± 12.895 d | 53.71 ± 2.981 d | 0.38 ± 0.017 d | 0.51 ± 0.048 c | 1271.67 ± 51.052 d |
Disclaimer/Publisher’s Note: The statements, opinions and data contained in all publications are solely those of the individual author(s) and contributor(s) and not of MDPI and/or the editor(s). MDPI and/or the editor(s) disclaim responsibility for any injury to people or property resulting from any ideas, methods, instructions or products referred to in the content. |
© 2025 by the authors. Licensee MDPI, Basel, Switzerland. This article is an open access article distributed under the terms and conditions of the Creative Commons Attribution (CC BY) license (https://creativecommons.org/licenses/by/4.0/).
Share and Cite
Li, X.; Li, R.; Wang, K.; Kong, Y.; Lv, Y.; Cao, B.; Gao, S.; Xu, K.; Chen, Z.; Xu, K. Physiological Mechanism of Welsh Onion (Allium fistulosum L.) in Response to High Temperature and Waterlogging Stress. Agronomy 2025, 15, 482. https://doi.org/10.3390/agronomy15020482
Li X, Li R, Wang K, Kong Y, Lv Y, Cao B, Gao S, Xu K, Chen Z, Xu K. Physiological Mechanism of Welsh Onion (Allium fistulosum L.) in Response to High Temperature and Waterlogging Stress. Agronomy. 2025; 15(2):482. https://doi.org/10.3390/agronomy15020482
Chicago/Turabian StyleLi, Xianxiang, Ruobing Li, Kai Wang, Yuwen Kong, Yao Lv, Bili Cao, Song Gao, Kang Xu, Zijing Chen, and Kun Xu. 2025. "Physiological Mechanism of Welsh Onion (Allium fistulosum L.) in Response to High Temperature and Waterlogging Stress" Agronomy 15, no. 2: 482. https://doi.org/10.3390/agronomy15020482
APA StyleLi, X., Li, R., Wang, K., Kong, Y., Lv, Y., Cao, B., Gao, S., Xu, K., Chen, Z., & Xu, K. (2025). Physiological Mechanism of Welsh Onion (Allium fistulosum L.) in Response to High Temperature and Waterlogging Stress. Agronomy, 15(2), 482. https://doi.org/10.3390/agronomy15020482
