Enhanced Cd Tolerance in Bamboo: Synergistic Effects of Nano-Hydroxyapatite and Fe3O4 Nanoparticles on Reactive Oxygen Species Scavenging, Cd Detoxification, and Water Balance
Abstract
1. Introduction
2. Materials and Methods
2.1. Growth Conditions
2.2. Determination of Biochemical Indexes
2.3. Determination of Physiological Indexes
2.4. Determination of Biomass Indexes
2.5. Accumulation of Cd in Bamboo Organs (Shoot, Roots, and Stems)
2.6. Calculation of the Translocation Factor, Bioaccumulation Factor, and Tolerance Index
2.7. Statistical Analysis
3. Results
3.1. Biochemical Indexes
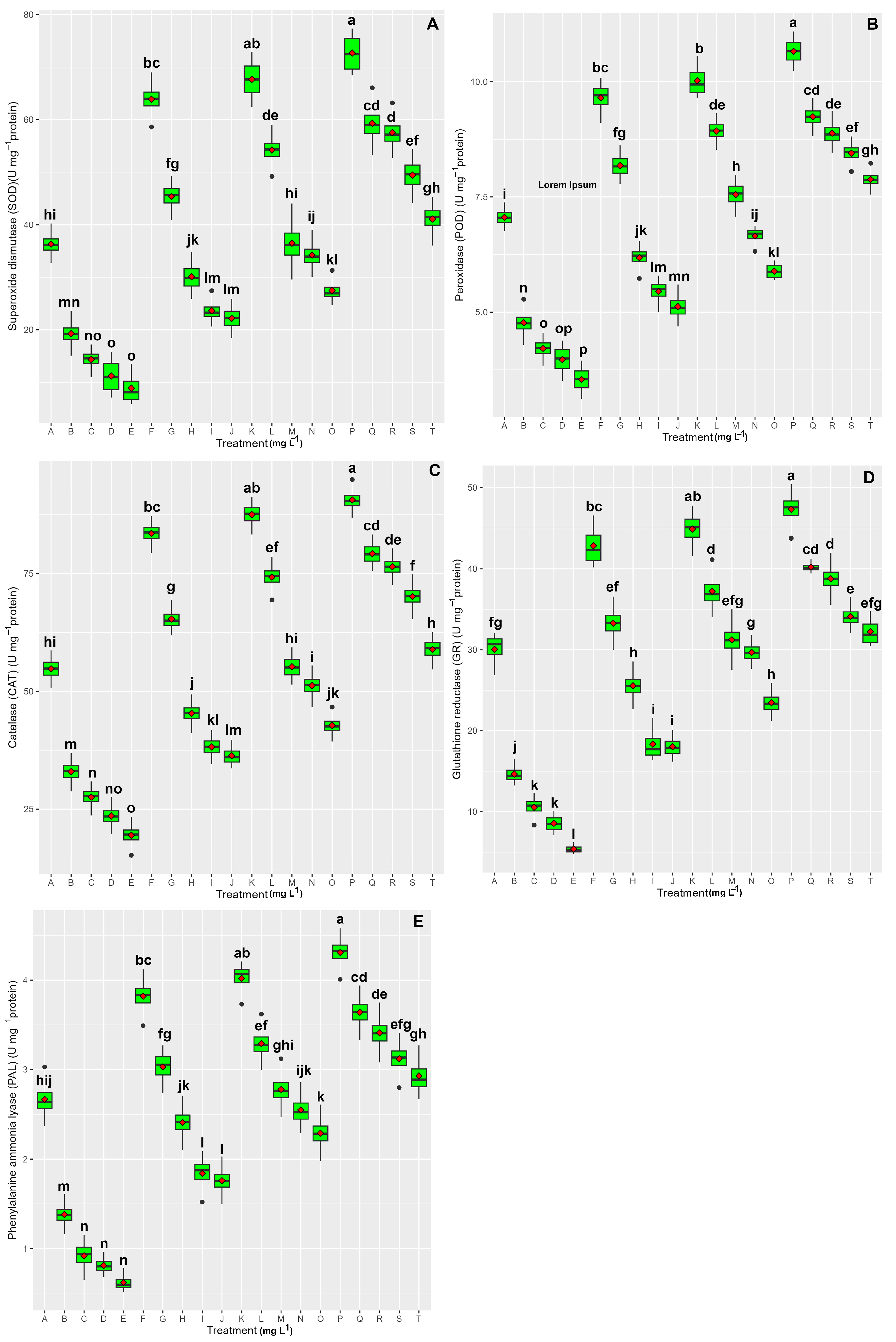
3.1.1. Antioxidant Enzyme Activity
3.1.2. Glyoxalase Activity
3.1.3. Plant Secondary Metabolism
3.1.4. Plant Oxidative Indexes
3.1.5. Plant Physiological Indexes
Nitric Oxide Content, Proline Accumulation, and RWC
Total Photosynthetic Pigments and Gaseous Exchange
Biomass Indexes
3.1.6. Cd Accumulation
3.1.7. Plant Tolerance Indexes
4. Discussion
5. Conclusions
Author Contributions
Funding
Data Availability Statement
Conflicts of Interest
References
- Bhat, J.A.; Shivaraj, S.M.; Singh, P.; Navadagi, D.B.; Tripathi, D.K.; Dash, P.K.; Solanke, A.U.; Sonah, H.; Deshmukh, R. Role of silicon in mitigation of heavy metal stresses in crop plants. Plants 2019, 21, 71. [Google Scholar] [CrossRef]
- Emamverdian, A.; Ding, Y. Effects of heavy metals’ toxicity on plants and enhancement of plant defense mechanisms of Si-mediation. Int. J. Environ. Agric. Res. 2017, 3, 41–51. [Google Scholar]
- Kim, J.J.; Kim, Y.S.; Kumar, V. Heavy metal toxicity: An update of chelating therapeutic strategies. J. Trace Elem. Med. Biol. 2019, 54, 226–231. [Google Scholar] [CrossRef]
- Qi, Z.Y.; Ahammed, G.J.; Jiang, C.Y.; Li, C.X.; Zhou, J. E3 ubiquitin ligase gene SlRING1 is essential for plant tolerance to Cd stress in Solanum lycopersicum. J. Biotechnol. 2020, 20, 239–247. [Google Scholar] [CrossRef] [PubMed]
- Ghorbani, A.; Emamverdian, A.; Pehlivan, N.; Zargar, M.; Razavi, S.M.; Chen, M. Nano-enabled agrochemicals: Mitigating heavy metal toxicity and enhancing crop adaptability for sustainable crop production. J. Nanobiotechnol. 2024, 22, 91. [Google Scholar] [CrossRef] [PubMed]
- Chen, R.; De Sherbinin, A.; Ye, C.; Shi, G. China’s soil pollution: Farms on the frontline. Science 2014, 344, 691. [Google Scholar] [CrossRef] [PubMed]
- Zhang, X.; Zhong, T.; Liu, L.; Ouyang, X. Impact of soil heavy metal pollution on food safety in China. PLoS ONE 2015, 10, e0135182. [Google Scholar] [CrossRef]
- Rian, Y.; He, L.; Cai, R.; Li, B.; Li, Z.; Yang, K. Heavy metal pollution and health risk in China. Glob. Health J. 2017, 1, 47–55. [Google Scholar]
- Qin, Q.; Li, X.; Wu, H.; Zhang, Y.; Feng, Q.; Tai, P. Characterization of cadmium (108Cd) distribution and accumulation in Tageteserecta L. seedlings: Effect of split-root and of remove-xylem/phloem. Chemosphere 2013, 93, 2284–2288. [Google Scholar] [CrossRef]
- Adrees, M.; Ali, S.; Rizwan, M.; Zia-ur-Rehman, M.; Ibrahim, M.; Abbas, F.; Farid, M.; Qayyum, M.F.; Irshad, M.K. Mechanisms of silicon-mediated alleviation of heavy metal toxicity in plants: A review. Ecotoxicol. Environ. Saf. 2015, 119, 186–197. [Google Scholar] [CrossRef] [PubMed]
- Emamverdian, A.; Ding, Y.; Barker, J.; Liu, G.; Hasanuzzaman, M.; Li, Y.; Ramakrishnan, M.; Mokhberdoran, F. Co-Application of 24-Epibrassinolide and Titanium Oxide NPs Promotes Pleioblastus pygmaeus Plant Tolerance to Cu and Cd Toxicity by Increasing Antioxidant Activity and Photosynthetic Capacity and Reducing Heavy Metal Accumulation and Translocation. Antioxidants 2022, 11, 451. [Google Scholar] [CrossRef] [PubMed]
- Singh, S.; Susan, E.; D’Souza, S.F. Cd accumulation and its influence on lipid peroxidation and antioxidative system in an aquatic plant, Bacopa monnieri L. Chemosphere 2006, 62, 233–246. [Google Scholar] [CrossRef] [PubMed]
- Tortella, G.R.O.; Rubilar, N.; Duran, M.C.; Diez, M.; Martinez, J.; Parada, A.B. Seabra Silver NPs: Toxicity in model organisms as an overview of its hazard for human health and the environment. J. Hazard. Mater. 2020, 390, 121974. [Google Scholar] [CrossRef] [PubMed]
- Singh, R.; Bhateria, R. Experimental and modeling process optimization of lead adsorption on magnetite NPs via isothermal, kinetics, and thermodynamic studies. ACS Omega 2020, 5, 10826–10837. [Google Scholar] [CrossRef] [PubMed]
- Tang, J.; Su, M.; Wu, Q.; Wei, L.; Wang, N.; Xiao, E.; Zhang, H.; Wei, Y.; Liu, Y.; Ekberg, C.; et al. Highly efficient recovery and clean-up of four heavy metals from MSWI fly ash by integrating leaching, selective extraction and adsorption. J. Clean. Prod. 2019, 234, 139–149. [Google Scholar] [CrossRef]
- Li, J.; Hu, J.; Xiao, L.; Wang, Y.; Wang, X. Interaction mechanisms between α-Fe2O3, γ-Fe2O3 and Fe3O4 NPs and Citrus maxima seedlings. Sci. Total Environ 2018, 625, 677–685. [Google Scholar] [CrossRef]
- Yuan, J.; Chen, Y.; Li, H.; Lu, J.; Zhao, H.; Liu, M.; Nechitaylo, G.S.; Glushchenko, N.N. New insights into the cellular responses to iron NPs in Capsicum annuum. Sci. Rep. 2018, 8, 3228. [Google Scholar] [CrossRef] [PubMed]
- Gupta, N.; Singh, P.M.; Sagar, V.; Pandya, A.; Chinnappa, M.; Kumar, R.; Bahadur, A. Seed priming with ZnO and Fe3O4 NPs alleviate the lead toxicity in Basella alba L. Through reduced lead uptake and regulation of ROS. Plants 2022, 11, 2227. [Google Scholar] [CrossRef] [PubMed]
- Konate, A.; He, X.; Zhang, Z.; Ma, Y.; Zhang, P.; Alugongo, G.; Rui, Y. Magnetic (Fe3O4) NPs reduce heavy metals uptake and mitigate their toxicity in wheat seedling. Sustainability 2017, 9, 790. [Google Scholar] [CrossRef]
- Shaheen, S.M.; Rinklebe, J. Impact of emerging and low cost alternative amendments on the (im)mobilization and phytoavailability of Cd and Pb in a contaminated floodplain soil. Ecol. Eng 2015, 74, 319–326. [Google Scholar] [CrossRef]
- Yan, Y.; Qi, F.; Zhao, S.; Luo, Y.; Gu, S.; Li, Q.; Zhang, L.; Zhou, S.; Bolan, N. A new low-cost hydroxyapatite for efficient immobilization of lead. J. Colloid Interface Sci. 2019, 553, 798–804. [Google Scholar] [CrossRef] [PubMed]
- Feng, Y.; Yang, J.; Liu, W.; Yan, Y.; Wang, Y. Hydroxyapatite as a passivator for safe wheat production and its impacts on soil microbial communities in a Cd-contaminated alkaline soil. J. Hazard. Mater. 2021, 404 Pt B, 124005. [Google Scholar] [CrossRef]
- Liu, R.; Lal, R. Synthetic apatite nanoparticles as a phosphorus fertilizer for soybean (Glycine max). Sci Rep. 2014, 4, 5686. [Google Scholar] [CrossRef]
- Kottegoda, N.; Sandaruwan, C.; Priyadarshana, G.; Siriwardhana, A.; Rathnayake, U.A.; Berugoda Arachchige, D.M.; Kumarasinghe, A.R.; Dahanayake, D.; Karunaratne, V.; Amaratunga, G.A. Urea-Hydroxyapatite Nanohybrids for Slow Release of Nitrogen. ACS Nano 2017, 11, 1214–1221. [Google Scholar] [CrossRef] [PubMed]
- Silva, M.M.; Pérez, D.V.; Wasserman, J.C.; Santos-Oliveira, R.; Wasserman, M.A.V. The effect of nanohydroxyapatite on the behavior of metals in a microcosm simulating a lentic environment. Environ. Nanotechnol. Monit. Manag. 2017, 8, 219–227. [Google Scholar]
- Huang, R.; Mao, P.; Xiong, L.; Qin, G.; Zhou, J.; Zhang, J.; Li, Z.; Wu, J. Negatively charged nano-hydroxyapatite can be used as a phosphorus fertilizer to increase the efficacy of wollastonite for soil cadmium immobilization. J. Hazard. Mater. 2023, 443 Pt B, 130291. [Google Scholar] [CrossRef]
- Zhao, C.; Ren, S.; Zuo, Q.; Wang, S.; Zhou, Y.; Liu, W.; Liang, S. Effect of nanohydroxyapatite on cadmium leaching and environmental risks under simulated acid rain. Sci. Total Environ. 2018, 627, 553–560. [Google Scholar] [CrossRef] [PubMed]
- Khan, S.; Akhtar, N.; Rehman, S.U.; Shujah, S.; Rha, E.S.; Jamil, M. Bacillus subtilis Synthesized Iron Oxide Nanoparticles (Fe3O4 NPs) Induced Metabolic and Anti-Oxidative Response in Rice (Oryza sativa L.) under Arsenic Stress. Toxics 2022, 10, 618. [Google Scholar] [CrossRef]
- Wu, H.; Jiang, X.; Tong, J.; Wang, J.; Shi, J. Effects of Fe3O4 NPs and nano hydroxyapatite on Pb and Cd stressed rice (Oryza sativa L.) seedling. Chemosphere 2023, 329, 138686. [Google Scholar] [CrossRef] [PubMed]
- Liang, S.X.; Jin, Y.; Liu, W.; Li, X.; Shen, S.G.; Ding, L. Feasibility of Pb phytoextraction using nano-materials assisted ryegrass: Results of a one-year field-scale experiment. J. Environ. Manag. 2017, 190, 170–175. [Google Scholar] [CrossRef]
- Kumar, V.; Guleria, P.; Ranjan, S. Phytoresponse to nanoparticle exposure. Nanotoxicol. Nanoecotoxicol. 2021, 1, 251–286. [Google Scholar]
- Ahmad, Z.; Upadhyay, A.; Ding, Y.; Emamverdian, A.; Shahzad, A. Bamboo: Origin, habitat, distributions and global prospective. In Biotechnological Advances in Bamboo; Ahmad, Z., Ding, Y., Shahzad, A., Eds.; Springer: Singapore, 2021. [Google Scholar]
- Emamverdian, A.; Ding, Y.; Mokhberdoran, F.; Xie, Y. Growth responses andphotosynthetic indices of Bamboo plant (Indocalamus latifolius) under heavy metalstress. Sci. World J. 2018, 2018, 1219364. [Google Scholar] [CrossRef]
- Emamverdian, A.; Ding, Y.; Mokhberdoran, F.; Ramakrishnan, M.; Ahmad, Z.; Xie, Y. Different physiological and biochemical responses of bamboo to the additionof TiO2 NPs under HM toxicity. Forests 2021, 12, 759. [Google Scholar] [CrossRef]
- Bian, F.; Zhong, Z.; Zhang, X.; Yang, C.; Gai, X. Bamboo—An untapped plantresource for the phytoremediation of heavy metal contaminated soils. Chemosphere 2019, 246, 125750. [Google Scholar] [CrossRef] [PubMed]
- Liu, J.N.; Zhou, Q.X.; Sun, T.; Ma, L.Q.; Wang, S. Growth responses of threeornamental plants to Cd and Pb stress and their metal accumulation characteristics. J. Hazard. Mater. 2008, 151, 261–267. [Google Scholar] [CrossRef]
- González-Chávez Mdel, C.; Carrillo-González, R. Tolerance of Chrysantemum maximum to heavy metals: The potential for its use in the revegetation of tailings heaps. J. Environ. Sci. 2013, 25, 367–375. [Google Scholar] [CrossRef] [PubMed]
- Emamverdian, A.; Khalofah, A.; Pehlivan, N.; Li, Y.; Chen, M.; Liu, G. Iron NPs in combination with other conventional Fe sources remediate mercury toxicity-affected plants and soils by nutrient accumulation in bamboo species. Ecotoxicol. Environ. Saf. 2024, 278, 116431. [Google Scholar] [CrossRef] [PubMed]
- Emamverdian, A.; Khalofah, A.; Pehlivan, N.; Zia-ur-Rehman, M.; Li, Y.; Zargar, M. Exogenous application of jasmonates and brassinosteroids alleviates lead toxicity in bamboo by altering biochemical and physiological attributes. Environ. Sci. Pollut. Res. 2024, 31, 7008–7026. [Google Scholar] [CrossRef]
- Senthilkumar, M.; Amaresan, N.; Sankaranarayanan, A. Estimation of superoxide dismutase (SOD). In Plant-Microbe Interactions; Springer: Berlin/Heidelberg, Germany, 2021; pp. 117–118. [Google Scholar]
- Berner, M.; Krug, D.; Bihlmaier, C.; Vente, A.; Müller, R.; Bechthold, A. Genes and enzymes involved in caffeic acid bio-synthesisin the actinomycete Saccharothrix espanaensis. J. Bacteriol. 2006, 188, 2666–2673. [Google Scholar] [CrossRef] [PubMed]
- Aebi, H. Catalase in vitro. Methods Enzymol. 1984, 105, 121–126. [Google Scholar]
- Liu, N.; Lin, Z.; Guan, L.; Gaughan, G.; Lin, G. Antioxidant enzymes regulate reactive oxygen species during pod elongation in Pisum sativum and Brassica chinensis. PLoS ONE 2014, 9, e87588. [Google Scholar] [CrossRef] [PubMed]
- Foyer, C.H.; Halliwell, B. The presence of glutathione and glutathione reductase in chloroplasts: A proposed role in ascorbic acidmetabolism. Planta 1976, 133, 21–25. [Google Scholar] [CrossRef] [PubMed]
- Hasanuzzaman, M.; Hossain, M.A.; Fujita, M. Nitric oxide modu-lates antioxidant defense and the methylglyoxal detoxificationsystem and reduces salinity-induced damage of wheat seedlings. Plant Biotechnol. Rep. 2011, 5, 353. [Google Scholar] [CrossRef]
- Principato, G.B.; Rosim, G.; Talesam, V.; Giovannini, E.; Uotila, L. Purification and characterization of two forms of glyoxalase IIfrom the liver and brain of Wistar rats. Biochim. Biophys. Acta 1987, 911, 349–355. [Google Scholar] [CrossRef]
- Yadav, S.K.; Singla-Pareek, S.L.; Reddy, M.K.; Sopory, S.K. Trans-genic tobacco plants overexpressing glyoxalase enzymesresist an increase in methylglyoxal and maintain higherreduced glutathione levels under salinity stress. FEBS Lett. 2005, 579, 6265–6271. [Google Scholar] [CrossRef]
- McDonald, S.; Prenzler, P.D.; Antolovich, M.; Robards, K. Phenoliccontent and antioxidant activity of olive extracts. Food Chem. 2001, 73, 73–84. [Google Scholar] [CrossRef]
- Chang, C.C.; Yang, M.H.; Wen, H.M.; Chern, J.C. Estimation of total flavonoid content in propolis by two complementary colorimetric methods. J. Food Drug Anal. 2002, 10, 178–182. [Google Scholar]
- Rao, K.M.; Sresty, T. Antioxidative parameters in the seedlings of pigeonpea (Cajanus cajan (L.) Millspaugh) in response to Zn and Ni stresses. Plant Sci. 2000, 157, 113–128. [Google Scholar]
- Velikova, V.; Yordanov, I.; Edreva, A. Oxidative stress and some antioxidant systems in acid rain-treated bean plants: Protectiverole of exogenous polyamines. Plant Sci. 2000, 151, 59–66. [Google Scholar] [CrossRef]
- Valentovic, P.; Luxova, M.; Kolarovic, L.; Gasparikova, O. Effect of osmotic stress on compatible solutes content, membrane stability and water relations in two maize cultivars. Plant Soil Environ. 2006, 52, 186–191. [Google Scholar] [CrossRef]
- Bates, L.S.; Walden, R.P.; Teare, I.D. Rapid determination of free proline for water stress studies. Plant Soil 1973, 39, 205–207. [Google Scholar] [CrossRef]
- Dhopte, A.M.; Manuel, L.M. Principles and techniques for plant scientists. In Updesh Purohit for Agrobios, 1st ed.; Agrobios: Jodhpur, India, 2002; Volume 81, p. 373. [Google Scholar]
- Arnon, D.I. Copper enzymes in isolated chloroplasts. Polyphe-noloxidase in Beta vulgaris. Plant Physiol. 1949, 24, 1–15. [Google Scholar] [CrossRef]
- Holá, D.; Benešová, M.; Honnerová, J.; Hnilicka, F.; Rothová, O.; Kocová, M.; Hniličková, H. The evaluation of photo-synthetic parameters in maize inbred lines subjected to water deficiency: Can these parameters be used for the prediction of performance of hybrid progeny? Photosynthetica 2010, 48, 545–558. [Google Scholar] [CrossRef]
- Khosropour, E.; Attarod, P.; Shirvany, A.; Pypker, T.G.; Bayramzadeh, V.; Hakimi, L.; Moeinaddini, M. Response of Plat-anus orientalis leaves to urban pollution by HMss. J. For. Res. 2019, 30, 1437–1445. [Google Scholar] [CrossRef]
- Souri, Z.; Karimi, N. Enhanced Phytoextraction by as Hyperaccumulator Isatis cappadocica Spiked with Sodium Nitro-prusside. Soil Sediment Contam. Int. J. 2017, 26, 457–468. [Google Scholar] [CrossRef]
- Soni, S.; Jha, A.B.; Dubey, R.S.; Sharma, P. Mitigating Cd accumulation and toxicity in plants: The promising role of NPs. Sci. Total Environ. 2024, 912, 168826. [Google Scholar] [CrossRef]
- Liu, W.; Li, Y.; Feng, Y.; Qiao, J.; Zhao, H.; Xie, J.; Fang, Y.; Shen, S.; Liang, S. The effectivenessof nanobiochar for reducing phytotoxicity and improving soil remediation in Cd-contaminated soil. Sci. Rep. 2020, 10, 858. [Google Scholar]
- Zhou, P.; Adeel, M.; Shakoor, N.; Guo, M.; Hao, Y.; Azeem, I.; Li, M.; Liu, M.; Rui, Y. Application of NPs Alleviates Heavy Metals Stress and Promotes Plant Growth: An Overview. Nanomaterials 2020, 11, 26. [Google Scholar] [CrossRef] [PubMed]
- Mihailovic, V.; Katanic Stankovic, J.S.; Selakovic, D.; Rosic, G. An Overview of the Beneficial Role of Antioxidants in the Treatment of Nanoparticle-Induced Toxicities. Oxid. Med. Cell. Longev. 2021, 15, 7244677. [Google Scholar] [CrossRef]
- Emamverdian, A.; Ding, Y.; Mokberdoran, F.; Ahmad, Z.; Xie, Y. Determination of HMs tolerance threshold in a bamboo species (Arundinaria pygmaea) as treated with silicon dioxide NPs. Glob. Ecol. Conserv. 2020, 24, e0130. [Google Scholar]
- Rizwan, M.; Ali, S.; Ali, B.; Adrees, M.; Arshad, M.; Hussain, A.; ur Rehman, M.Z.; Waris, A.A. Zinc and iron oxide nanoparticles improved the plant growth and reduced the oxidative stress and cadmium concentration in wheat. Chemosphere 2019, 214, 269–277. [Google Scholar] [CrossRef] [PubMed]
- Sardar, R.; Ahmed, S.; Yasin, N.A. Titanium dioxide NPs mitigate Cd toxicity in Coriandrum sativum L. through modulating antioxidant system, stress markers and reducing Cd uptake. Environ. Pollut. 2022, 292 Pt A, 118373. [Google Scholar] [CrossRef]
- Guo, K.; Hu, A.; Wang, K.; Wang, L.; Fu, D.; Hao, Y.; Wang, Y.; Ali, A.; Adeel, M.; Rui, Y.; et al. Effects of spraying nanomaterials on the absorption of metal(loid)s in cucumber. IET Nanobiotechnol. 2019, 13, 712–719. [Google Scholar] [CrossRef] [PubMed]
- Burakov, A.E.; Galunin, E.V.; Burakova, I.V.; Kucherova, A.E.; Agarwal, S.; Tkachev, A.G.; Gupta, V.K. Adsorption of heavy metals on conventional and nanostructured materials for wastewater treatment purposes: A review. Ecotoxicol. Environ. Saf. 2018, 148, 702–712. [Google Scholar] [CrossRef]
- Wani, K.I.; Naeem, M.; Castroverde, C.D.M.; Kalaji, H.M.; Albaqami, M.; Aftab, T. Molecular mechanisms of nitric oxide (NO) signaling and reactive oxygen species (ROS) homeostasis during abiotic stresses in plants. Int. J. Mol. Sci. 2021, 22, 9656. [Google Scholar] [CrossRef] [PubMed]
- Gechev, T.; Petrov, V. Reactive oxygen species and abiotic stress in plants. Int. J. Mol. Sci. 2020, 21, 7433. [Google Scholar] [CrossRef] [PubMed]
- Akhtar, N.; Khan, S.; Rehman, S.U.; Rehman, Z.U.; Khatoon, A.; Rha, E.S.; Jamil, M. Synergistic Effects of Zinc Oxide Na-noparticles and Bacteria Reduce Heavy Metals Toxicity in Rice (Oryza sativa L.). Plant. Toxics 2021, 9, 113. [Google Scholar] [CrossRef]
- Emamverdian, A.; Ghorbani, A.; Pehlivan, N.; Li, Y.; Zargar, M.; Liu, G. Bamboo biochar helps minimize Brassica phytotoxicity driven by toxic metals in naturally polluted soils of four mine zones. Environ. Technol. Innov. 2024, 36, 103753. [Google Scholar] [CrossRef]
- Emamverdian, A.; Ghorbani, A.; Pehlivan, N.; Barker, J.; Zargar, M.; Chen, M.; Liu, G. Brassinolide ameliorates the detrimental effects of arsenic in tomato: Insights into iron and arsenic absorption, antioxidant capacity, nitrogen, and sulfur assimilation. Hortic. Plant J. 2024, in press. [Google Scholar] [CrossRef]
- Jiang, D.; Hou, J.; Gao, W.; Tong, X.; Li, M.; Chu, X. Exogenous spermidine alleviates the adverse effects of aluminum toxicity on photosystem II through improved antioxidant system and endogenous polyamine contents. Ecotoxicol. Environ. Saf. 2021, 207, 111265. [Google Scholar] [CrossRef]
- Mozafariyan, M.; Shekari, L.; Hawrylak-Nowak, B.; Kamelmanesh, M.M. Protective Role of Selenium on Pepper Exposed to Cd Stress During Reproductive Stage. Biol. Trace Elem. Res. 2014, 160, 97–107. [Google Scholar] [CrossRef]
- Babashpour-Asl, M.; Farajzadeh-Memari-Tabrizi, E.; Yousefpour-Dokhanieh, A. Foliar-applied selenium NPs alleviate Cd stress through changes in physio-biochemical status and essential oil profile of coriander (Coriandrum sativum L.) leaves. Environ. Sci. Pollut. Res. 2022, 29, 80021–80031. [Google Scholar] [CrossRef] [PubMed]
- Memari-Tabrizi, E.F.; Yousefpour-Dokhanieh, A.; Babashpour-Asl, M. Foliar-applied silicon NPs mitigate Cd stress through physio-chemical changes to improve growth, antioxidant capacity, and essential oil profile of summer savory (Satureja hortensis L.). Plant Physiol. Biochem. 2021, 165, 71–79. [Google Scholar] [CrossRef] [PubMed]
- Bandurska, H. Does proline accumulated in leaves of water deficit stressed barley plants confine cell membrane injuries? II. Proline accumulation during hardening and its involvement in reducing membrane injuries in leaves subjected to severe osmotic stress. Acta Physiol. Plant. 2001, 23, 483–490. [Google Scholar] [CrossRef]
- Torabian, S.; Zahedi, M.; Khoshgoftarmanesh, A. Effect of foliarspray of zinc oxide on some antioxidant enzymes activity of sunflower under salt stress. J. Agric. Sci. Technol. 2016, 18, 1013–1025. Available online: http://jast.modares.ac.ir/article-23-5061-en.html (accessed on 1 January 2020).
- Faizan, M.; Bhat, J.A.; Noureldeen, A.; Ahmad, P.; Yu, F. Zinc oxide NPs and 24-epibrassinolide alleviates Cu toxicity in tomato by regulating ROS scavenging, stomatal movement and photosynthesis. Ecotoxicol. Environ. Saf. 2021, 218, 112293. [Google Scholar] [CrossRef] [PubMed]
- Helaly, M.N.; El-Metwally, M.A.; El-Hoseiny, H.; Omar, S.A.; El-Sheery, N.I. Effect of NPs on biological con-tamination of in vitro culturesand organogenic regeneration of banana. Aust. J. Crop. Sci. 2014, 8, 612–624. [Google Scholar]
- Emamverdian, A.; Ding, Y.; Mokhberdoran, F.; Ahmad, Z.; Xie, Y. The Investigation of TiO2 NPs Effect as a Wastewater Treatment to Mitigate Cd Negative Impact on Bamboo Growth. Sustainability 2021, 13, 3200. [Google Scholar] [CrossRef]
- Ahmed, T.; Noman, M.; Ijaz, M.; Ali, S.; Rizwan, M.; Ijaz, U.; Hameed, A.; Ahmad, U.; Wang, Y.; Sun, G.; et al. Current trends and future prospective in nanoremediation of HMs contaminated soils: A way forward towards sustainable agriculture. Ecotoxicol. Environ. Saf. 2021, 227, 112888. [Google Scholar] [CrossRef] [PubMed]
- Sardar, R.; Ahmed, S.; Sha, A.A.; Yasin, N.A. Selenium NPs reduced Cd uptake, regulated nutritional homeostasis and antioxidative system in Coriandrum sativum grown in Cd toxic conditions. Chemosphere 2022, 287, 132332. [Google Scholar] [CrossRef]
- Shirani Bidabadi, S.; Sabbatini, P.; Vander Weide, J. Iron oxide (IO) NPs alleviate PEG-simulated drought stress in grape (Vitis vinifera L.) plants by regulating leaf antioxidants. Sci. Hortic. 2023, 312, 111847. [Google Scholar] [CrossRef]
- Ahmad, P.; Ahanger, M.A.; Alyemeni, M.N.; Wijaya, L.; Alam, P. Exogenous application of nitric oxide modulates osmolyte metabolism, antioxidants, enzymes of ascorbate-glutathione cycle and promotes growth under Cd stress in tomato. Protoplasma 2018, 255, 79–93. [Google Scholar] [CrossRef] [PubMed]
- Emamverdian, A.; Ding, Y.; Barker, J.; Liu, G.; Li, Y.; Mokhberdoran, F. Sodium Nitroprusside Improves Bamboo Resistance under Mn and Cr Toxicity with Stimulation of Antioxidants Activity, Relative Water Content, and Metal Trans-location and Accumulation. Int. J. Mol. Sci. 2023, 24, 1942. [Google Scholar] [CrossRef]
- Nabi, R.B.S.; Tayade, R.; Hussain, A.; Kulkarni, K.P.; Imran, Q.M.; Mun, B.G.; Yun, B.W. Nitric oxide regulates plant responses to drought, salinity, and heavy metal stress. Environ. Exp. Bot. 2019, 161, 120–133. [Google Scholar] [CrossRef]
- El-Badri, A.M.; Hashem, A.M.; Batool, M.; Sherif, A.; Nishawy, E.; Ayaad, M.; Hassan, H.M.; Elrewainy, I.M.; Wang, J.; Kuai, J.; et al. Comparative efficacy of bio-selenium NPs and sodium selenite on mor-pho-physiochemical attributes under normal and salt stress conditions, besides selenium detoxification pathways in Brassica napus L. J. Nanobiotechnol. 2022, 20, 163. [Google Scholar] [CrossRef] [PubMed]
- Moussa, H.R.; El-Fatah, A.; Ahmed, M. Protective role of selenium on development and physiological responses of Viciafaba. Int. J. Veg. Sci. 2010, 16, 174–183. [Google Scholar] [CrossRef]








| Treatments | Content of Treatments | Label |
|---|---|---|
| Control | 0 | A |
| Cd | 50 mg L−1 | B |
| Cd | 80 mg L−1 | C |
| Cd | 100 mg L−1 | D |
| Cd | 150 mg L−1 | E |
| Fe3O4 NPs + Cd | 100 mg L−1 Fe3O4 NPs + 0 mg L−1Cd | F |
| Fe3O4 NPs + Cd | 100 mg L−1 Fe3O4 NPs + 50 mg L−1Cd | G |
| Fe3O4 NPs + Cd | 100 mg L−1 Fe3O4 NPs + 80 mg L−1Cd | H |
| Fe3O4 NPs + Cd | 100 mg L−1 Fe3O4 NPs + 100 mg L−1Cd | I |
| Fe3O4 NPs + Cd | 100 mg L−1 Fe3O4 NPs + 150 mg L−1Cd | J |
| n-HAP + Cd | 100 mg L−1 n-HAP + 0 mg L−1Cd | K |
| n-HAP + Cd | 100 mg L−1 n-HAP + 50 mg L−1Cd | L |
| n-HAP + Cd | 100 mg L−1 n-HAP + 80 mg L−1Cd | M |
| n-HAP + Cd | 100 mg L−1 n-HAP + 100 mg L−1Cd | N |
| n-HAP + Cd | 100 mg L−1 n-HAP + 150 mg L−1Cd | O |
| n-HAP + Fe3O4NPs + Cd | 100 mg L−1 n-HAP + Fe3O4NPs + 0 mg L−1Cd | P |
| n-HAP + Fe3O4NPs + Cd | 100 mg L−1 n-HAP + Fe3O4NPs + 50 mg L−1Cd | Q |
| n-HAP + Fe3O4NPs + Cd | 100 mg L−1 n-HAP + Fe3O4NPs + 80 mg L−1Cd | R |
| n-HAP + Fe3O4NPs + Cd | 100 mg L−1 n-HAP + Fe3O4NPs + 100 mg L−1Cd | S |
| n-HAP+Fe3O4NPs + Cd | 100 mg L−1 n-HAP + Fe3O4NPs + 150 mg L−1Cd | T |
| Treatments (mg L−1) | Cd (mg L−1) | RDW (%) | SHDW (%) |
|---|---|---|---|
| 100 mg L−1 n-HAP | 0 mg L−1 | 38% ↑ | 36% ↑ |
| 100 mg L−1 Fe3O4 NPs | 0 mg L−1 | 33% ↑ | 31% ↑ |
| 100 mg L−1 n-HAP + Fe3O4NPs | 0 mg L−1 | 42% ↑ | 45% ↑ |
| 50 mg L−1Cd | 50 mg L−1 | 24% ↓ | 24% ↓ |
| 100 mg L−1 n-HAP | 50 mg L−1 | 24% ↑ | 18% ↑ |
| 100 mg L−1 Fe3O4 NPs | 50 mg L−1 | 15% ↑ | 9% ↑ |
| 100 mg L−1 n-HAP + Fe3O4NPs | 50 mg L−1 | 29% ↑ | 26% ↑ |
| 80 mg L−1 | 80 mg L−1 | 31% ↑ | 32% ↓ |
| 100 mg L−1 n-HAP | 80 mg L−1 | 5% ↑ | 1% ↑ |
| 100 mg L−1 Fe3O4 NPs | 80 mg L−1 | 8% ↓ | 8% ↓ |
| 100 mg L−1 n-HAP + Fe3O4NPs | 80 mg L−1 | 27% ↑ | 22% ↑ |
| 100 mg L−1 | 100 mg L−1 | 38% ↓ | 37% ↓ |
| 100 mg L−1 n-HAP | 100 mg L−1 | 3% ↓ | 4% ↓ |
| 100 mg L−1 Fe3O4 NPs | 100 mg L−1 | 18% ↓ | 14% ↓ |
| 100 mg L−1 n-HAP + Fe3O4NPs | 100 mg L−1 | 20% ↑ | 13% ↑ |
| 100 mg L−1 | 150 mg L−1 | 41% ↓ | 44% ↓ |
| 100 mg L−1 n-HAP | 150 mg L−1 | 12% ↓ | 9% ↓ |
| 100 mg L−1 Fe3O4 NPs | 150 mg L−1 | 20% ↓ | 19% ↓ |
| 100 mg L−1 n-HAP + Fe3O4NPs | 150 mg L−1 | 9% ↑ | 5% ↑ |
| Treatments | TI (Root) | TI (Shoot) | TF (Leaf) | TF (Stem) | BAF (Leaf) | BAF (Stem) | BAF (Root) |
|---|---|---|---|---|---|---|---|
| 0 | 1.00 ± 0.002 gh | 1.00 ± 0.002 hi | 0 | 0 | 0 | 0 | 0 |
| 100 mg L−1 n-HAP + 0 mg L−1Cd | 1.35 ± 0.002 a | 1.32 ± 0.002 b | 0 | 0 | 0 | 0 | 0 |
| 100 mg L−1 Fe3O4 NPs + 0 mg L−1Cd | 1.27 ± 0.002 b | 1.26 ± 0.002 bc | 0 | 0 | 0 | 0 | 0 |
| 100 mg L−1 n-HAP + Fe3O4NPs + 0 mg L−1Cd | 1.42 ± 0.002 a | 1.55 ± 0.002 a | 0 | 0 | 0 | 0 | 0 |
| 50 mg L−1 | 0.72 ± 0.002 mn | 0.73 ± 0.005 n | 00.57 ± 0.0006 bcd | 0.73 ± 0.0005 cd | 1.54 ± 0.001 d | 1.73 ± 0.002 d | 2.94 ± 0.008 d |
| 100 mg L−1 n-HAP + 50 mg L−1Cd | 1.18 ± 0.002 cd | 1.14 ± 0.002 ef | 0.47 ± 0.0006 g | 0.54 ± 0.0005 h | 0.44 ± 0.001 l | 0.50 ± 0.002 l | 0.80 ± 0.008 lm |
| 100 mg L−1 Fe3O4 NPs + 50 mg L−1Cd | 1.09 ± 0.002 ef | 1.35 ± 0.002 gh | 0.52 ± 0.0006 ef | 0.58 ± 0.0005 g | 0.53 ± 0.001 k | 0.67 ± 0.002 j | 0.96 ± 0.008 jk |
| 100 mg L−1 n-HAP + Fe3O4NPs + 50 mg L−1Cd | 1.23 ± 0.002 bci | 1.22 ± 0.002 cd | 0.39 ± 0.01 i | 0.47 ± 0.0005 i | 0.19 ± 0.001 n | 0.21 ± 0.002 n | 0.55 ± 0.008 n |
| 80 mg L−1 | 0.65 ± 0.002 no | 0.65 ± 0.005 o | 00.58 ± 0.0006 bc | 0.74 ± 0.0005 c | 1.83 ± 0.001 c | 2.02 ± 0.002 c | 3.44 ± 0.008 c |
| 100 mg L−1 n-HAP + 80 mg L−1Cd | 0.95 ± 0.002 hi | 0.96 ± 0.005 ij | 0.52 ± 0.0006 ef | 0.63 ± 0.0005 f | 0.68 ± 0.001 i | 0.78 ± 0.002 i | 1.32 ± 0.008 i |
| 100 mg L−1 Fe3O4 NPs + 80 mg L−1Cd | 0.87 ± 0.002 jk | 0.88 ± 0.005 kl | 0.53 ± 0.0006 def | 0.69 ± 0.0005 e | 0.93 ± 0.001 h | 1.30 ± 0.002 g | 1.66 ± 0.008 h |
| 100 mg L−1 n-HAP + Fe3O4NPs + 80 mg L−1Cd | 1.21 ± 0.002 bcd | 1.18 ± 0.002 de | 0.44 ± 0.0006 h | 0.50 ± 0.0005 i | 0.34 ± 0.001 m | 0.35 ± 0.002 m | 0.86 ± 0.008 kl |
| 100 mg L−1 | 0.61 ± 0.002 op | 0.59 ± 0.002 o | 0.61 ± 0.00006 b | 00.79 ± 0.0005 b | 2.02 ± 0.001 b | 2.44 ± 0.002 b | 3.92 ± 0.008 b |
| 100 mg L−1 n-HAP + 100 mg L−1Cd | 0.91 ± 0.002 ij | 0.92 ± 0.005 jk | 0.53 ± 0.0006 def | 0.67 ± 0.0005 e | 1.89 ± 0.001 h | 1.12 ± 0.002 h | 1.64 ± 0.008 h |
| 100 mg L−1 Fe3O4 NPs + 100 mg L−1Cd | 0.78 ± 0.002 lm | 0.82 ± 0.002 lm | 0.56 ± 0.0006 cde | 0.73 ± 0.0005 cd | 1.17 ± 0.001 f | 1.46 ± 0.002 f | 2.25 ± 0.008 f |
| 100 mg L−1 n-HAP + Fe3O4NPs + 100 mg L−1Cd | 1.14 ± 0.002 de | 1.09 ± 0.002 fg | 0.51 ± 0.0006 f | 0.58 ± 0.0005 g | 0.45 ± 0.001 l | 0.60 ± 0.002 k | 0.76 ± 0.008 kl |
| 150 mg L−1 | 0.54 ± 0.002 p | 0.41 ± 0.005 p | 0.66 ± 0.0006 a | 0.83 ± 0.0005 a | 2.21 ± 0.001 a | 2.88 ± 0.002 a | 4.34 ± 0.008 a |
| 100 mg L−1 n-HAP + 150 mg L−1Cd | 0.83 ± 0.002 k | 0.87 ± 0.005 kl | 0.55 ± 0.0006 cdef | 0.69 ± 0.0005 de | 1.08 ± 0.001 g | 1.32 ± 0.002 g | 2.01 ± 0.008 g |
| 100 mg L−1 Fe3O4 NPs + 150 mg L−1Cd | 0.76 ± 0.002 lm | 0.77 ± 0.002 mn | 0.56 ± 0.0006 vde | 0.73 ± 0.0005 cd | 1.44 ± 0.001 e | 1.55 ± 0.002 e | 2.67 ± 0.008 e |
| 100 mg L−1 n-HAP + Fe3O4NPs + 150 mg L−1Cd | 1.04 ± 0.002 fg | 1.01 ± 0.002 hi | 0.52 ± 0.0006 ef | 0.58 ± 0.0005 gc | 0.61 ± 0.001 j | 0.72 ± 0.002 ij | 1.06 ± 0.008 j |
Disclaimer/Publisher’s Note: The statements, opinions and data contained in all publications are solely those of the individual author(s) and contributor(s) and not of MDPI and/or the editor(s). MDPI and/or the editor(s) disclaim responsibility for any injury to people or property resulting from any ideas, methods, instructions or products referred to in the content. |
© 2025 by the authors. Licensee MDPI, Basel, Switzerland. This article is an open access article distributed under the terms and conditions of the Creative Commons Attribution (CC BY) license (https://creativecommons.org/licenses/by/4.0/).
Share and Cite
Emamverdian, A.; Khalofah, A.; Pehlivan, N.; Li, Y. Enhanced Cd Tolerance in Bamboo: Synergistic Effects of Nano-Hydroxyapatite and Fe3O4 Nanoparticles on Reactive Oxygen Species Scavenging, Cd Detoxification, and Water Balance. Agronomy 2025, 15, 386. https://doi.org/10.3390/agronomy15020386
Emamverdian A, Khalofah A, Pehlivan N, Li Y. Enhanced Cd Tolerance in Bamboo: Synergistic Effects of Nano-Hydroxyapatite and Fe3O4 Nanoparticles on Reactive Oxygen Species Scavenging, Cd Detoxification, and Water Balance. Agronomy. 2025; 15(2):386. https://doi.org/10.3390/agronomy15020386
Chicago/Turabian StyleEmamverdian, Abolghassem, Ahlam Khalofah, Necla Pehlivan, and Yang Li. 2025. "Enhanced Cd Tolerance in Bamboo: Synergistic Effects of Nano-Hydroxyapatite and Fe3O4 Nanoparticles on Reactive Oxygen Species Scavenging, Cd Detoxification, and Water Balance" Agronomy 15, no. 2: 386. https://doi.org/10.3390/agronomy15020386
APA StyleEmamverdian, A., Khalofah, A., Pehlivan, N., & Li, Y. (2025). Enhanced Cd Tolerance in Bamboo: Synergistic Effects of Nano-Hydroxyapatite and Fe3O4 Nanoparticles on Reactive Oxygen Species Scavenging, Cd Detoxification, and Water Balance. Agronomy, 15(2), 386. https://doi.org/10.3390/agronomy15020386

