Next Article in Journal
Rice Responds to Different Light Conditions by Adjusting Leaf Phenotypic and Panicle Traits to Optimize Shade Tolerance Stability and Yield
Previous Article in Journal
Seed Coatings as Biofilm Micro-Habitats: Principles, Applications, and Sustainability Impacts
 
 
Font Type:
Arial Georgia Verdana
Font Size:
Aa Aa Aa
Line Spacing:
Column Width:
Background:
Article

Evidence of the Role of Plant Growth-Promoting Bacteria in Mitigating N2O Emissions from Maize Cultivation

by
Safira Yara Azevedo Medeiros da Silva
1,
Jerri Édson Zilli
2,
Fabiana Mariano Lisboa
2,
Gabriela Cavalcanti Alves
2,
Natalia Pereira Zatorre
3,
Segundo Urquiaga
2,
Verônica Massena Reis
2,
Stefanny Aparecida Ribeiro
2,
Camilla Santos Reis de Andrade da Silva
2,
Alex Paulo Lemos da Silva
1 and
Bruno José Rodrigues Alves
2,*
1
Soil Science Postgraduate Program, Soils Department, Agronomy Institute, Universidade Federal Rural do Rio de Janeiro, Seropédica 23897-000, RJ, Brazil
2
Embrapa Agrobiologia, Seropédica 23891-000, RJ, Brazil
3
Instituto Federal de Educação, Ciência e Tecnologia Fluminense, Bom Jesus de Itabapoana Campus, Bom Jesus de Itabapoana 28360-000, RJ, Brazil
*
Author to whom correspondence should be addressed.
Agronomy 2025, 15(12), 2856; https://doi.org/10.3390/agronomy15122856
Submission received: 28 October 2025 / Revised: 1 December 2025 / Accepted: 8 December 2025 / Published: 12 December 2025

Abstract

Nitrous oxide is a potent greenhouse gas, with N fertilizers being one of its major sources. Plant growth-promoting bacteria have been used to mitigate N2O emissions by improving N use efficiency in plants. In addition, some of these microorganisms are capable of reducing N2O to N2, a process that could be further explored as a complementary mitigation strategy. This study aimed to test whether Azospirillum brasilense strains Ab-V5 and Ab-V6, and strain Wa3, as well as Nitrospirillum viridazoti strain BR 11145, already used in commercial inoculants for N-fertilized crops and known to carry the nosZ gene encoding nitrous oxide reductase, could act as biological sinks for this gas. In the pot experiment, soils fertilized with N and inoculated with N. viridazoti exhibited consistently lower N2O emissions, but not when A. brasilense strains were used. The mitigation effect was observed both in bare soil (72% emission reduction) and in the presence of millet plants (60% emission reduction), confirming the ability of N. viridazoti strain BR 11145 to consume N2O. In a field experiment conducted with maize, inoculation with N. viridazoti again reduced N2O fluxes during the first two weeks after fertilization compared with the urea-only treatment. However, no significant differences were detected comparing emission factors, whose calculation requires consideration of the entire monitoring period, thereby adding more variability. While N2O mitigation was observed, no significant effects of inoculation or N fertilization were found on maize growth or yield. Nonetheless, the consistent reduction in N2O emissions achieved with N. viridazoti strain BR 11145 suggests that inoculants with this bacterium represent a promising biological sink for N2O, offering a novel nature-based solution to enhance the sustainability of tropical crop management.

1. Introduction

Intensifying crop production to meet the growing global demands for food, fiber, and bioenergy requires, among other measures, greater fertilizer use to raise yields on already cleared lands, thereby helping to conserve remaining natural vegetation [1]. This reliance on nitrogen fertilizers, however, brings a persistent challenge that is low nitrogen use efficiency (NUE), typically below 50% in many commercial crops [2]. This limitation is particularly relevant for cereals just as maize, which accounts for about 40% of global cereal production [3].
The fraction of N fertilizer not taken up by crops has severe environmental consequences. It contributes to biodiversity loss, the formation of fine particulate matter (PM2.5) that degrades air quality, and stratospheric ozone depletion through the release of volatile N oxides. It also increases atmospheric warming via emissions of N2O, a potent greenhouse gas [4]. This latter effect is especially important given the urgency to limit the global warming to 1.5 °C [5]. Beyond these environmental concerns, inefficient fertilization also has implications for production costs and crop yields. Countries dependent on importing N fertilizers are particularly vulnerable to economy oscillations that can severely restrict imports, with serious consequences for soil health and agricultural production [6]. Such vulnerability underscores the need for approaches that reduce dependence on synthetic N inputs and enhance the efficiency at which N is used by crops.
The current challenges related to N fertilization call for additional strategies to improve NUE, beyond the 4R stewardship that is likely already adopted in many countries. The application of plant growth-promoting bacteria (PGPB) or even fungi as bioinputs has emerged as a sustainable strategy to enhance the utilization of soil resources in an integrated approach, as discussed for N and P by Adesemoye and Kloepper [7]. A key demonstration of PGPB as part of an integrated fertilization strategy was provided by Hungria et al. [8], who reported positive results using selected strains of Azospirillum brasilense inoculated into wheat and maize in Brazil, concluding that this technology could allow reductions in N fertilization rates by up to 50%. This not only lowers production costs but also mitigates the environmental impacts associated with excessive N application.
Among the PGPB, A. brasilense has been extensively studied for its beneficial effects on cereals, although results vary depending on the bacterial strain and the environmental conditions [9]. Regarding N fertilization, the use of a combination of A. brasilense strains Ab-V5 and Ab-V6 in inoculants has demonstrated significant improvements in maize biomass, grain yield, and NUE, particularly under conditions of reduced N fertilization [8]. The use of such strains has increased the 15N-based urea recovery in maize shoots to as much as 58%, compared with 34% in non-inoculated controls [10]. Another bacterial species that has been effectively used as a PGPB is Nitrospirillum viridazoti strain BR 11145 (=CBAmC), reclassified from N. amazonense and previously known as Azospirillum amazonense. This species, which has maize among its hosts [11], has also been shown to promote sugarcane growth [12].
Some strains of PGPB exhibit genomic profiles directly associated with denitrification. For example, A. brasilense is an aerophilic bacterium capable of fixing N2, but it can also survive under anaerobic conditions by using alternative electron acceptors to O2, since it carries the complete set of genes involved in the denitrification pathway [13]. This implies that it has the capacity to produce N2O in the presence of nitrate or other intermediate N oxides, but also to reduce N2O to N2. In contrast, N. viridazoti is also capable of fixing N2, but it exhibits a more limited denitrification capacity, primarily associated with the presence of only the nosZ gene, which encodes the enzyme nitrous oxide reductase [11]. This genomic trait suggests a potential greater ability to reduce N2O rather than contribute to its production.
To date, specific studies evaluating the impact of inoculation with A. brasilense strains or N. viridazoti on N2O emissions from N-fertilized crops are scarce or even lacking. This knowledge gap highlights the need for experiments designed to assess whether inoculation with these strains can alter N2O fluxes under controlled and field conditions, which was the objective of the present study. Accordingly, the pot experiment focused on isolating the direct effects of bacterial inoculation under controlled soil and moisture conditions, whereas the field experiment evaluated whether similar effects could be observed under agronomically realistic management.

2. Materials and Methods

The study included Azospirillum brasilense [14] strains Ab-V5 and Ab-V6, which are recommended for the inoculation of several crops in Brazil, including maize [7], as well as Nitrospirillum viridazoti [11] strain BR 11145 (=CBAmC), which is commercially recommended for sugarcane in Brazil. In addition, A. brasilense strain Wa3 was included to explore possible contrasting effects, a strain that was studied as potential inoculants for several grasses including maize [15].
Two experiments were carried out, with one in pots under controlled conditions to evaluate the effect of inoculation with the strains of A. brasilense (Ab-V5 and Ab-V6, and Wa3) and of N. viridazoti (BR 11145) to a soil treated with N fertilizer on N2O emissions. A second experiment was conducted under field conditions, where inoculants prepared with A. brasilense strains Ab-V5 and Ab-V6 and N. viridazoti strain BR 11145 were applied to maize fertilized with urea.

2.1. Pot Experiment

This first study served as proof of concept for the use of these bacteria as a potential strategy to mitigate N2O emissions from fertilized soils. The pot experiment was conducted under controlled conditions at Embrapa Agrobiologia (Seropédica, RJ, Brazil) from 16 February to 16 April 2025 to evaluate N2O emissions following N application in soils treated with different microbial inoculants. The soil used in the study was collected from the 0–20 cm layer of a Typic Hapludult, and presented the following chemical properties: pHH2O 6.0; total C 0.98%, Al3+ 0.00 cmolc dm−3; Ca2+ 3.91 cmolc dm−3; Mg2+ 2.11 cmolc dm−3; K+ 86.9 mg dm−3; P (Mehlich I) 9.1 mg dm−3. It is a sandy-loam with 18% clay. The collected soil was shade-dried, sieved through a 1 mm mesh, and thoroughly homogenized.
Each pot was filled with 70 g of soil, adopting a procedure aiming at maintaining uniform porosity among treatments. Briefly, identical pots were filled with 60 mL of water and externally marked at the water level to delimit this volume. The pots were then emptied and dried with tissue paper. From this, 70 g of soil were transferred into each pot and gently tapped to achieve uniform compaction until the soil surface matched the water-level mark (see Supplementary Materials Figure S1). This procedure resulted in a bulk density of 1.17 g cm−3 and was adopted to standardize porosity and bulk density across pots, a critical aspect for gas studies where soil structure strongly influences gas diffusion and emission dynamics.
Seven treatments with four replicates each were established: (1) control without medium and without N addition, (2) BP medium (BP glycerol medium) without N addition, (3) BP sucrose medium (sucrose replacing glycerol) without N addition, (4) 50 ppm of N, (5) strain BR 11145 + 50 ppm N, (6) strain Wa3 + 50 ppm N and (7) a combination of strains Ab-V5 and Ab-V6 + 50 ppm N. The treatments receiving only BP media were included to evaluate whether the organic and inorganic components of the media could stimulate soil bacterial activity and consequently increase background N2O fluxes.
After pot preparation, each pot was gently watered with 21 mL of one of the following solutions: water alone, water with N, or growth medium with or without N. For the treatments receiving only N, the 21 mL volume consisted of 16 mL of water plus 5 mL of KNO3 solution, providing a final N concentration of 50 ppm on a soil basis. A 50 μL aliquot of either growth medium or bacterial culture was added to the water or to the water + N solution, according to the treatment. An additional 50 μL of water was applied to the pots receiving only water or water + N to equalize the final volume to 21 mL across all treatments. The flasks with 21 mL solution were manually stirred to ensure homogenization.
For inoculant preparation, bacterial strains were first grown on solid media in Petri dishes. NFb medium was used for A. brasilense, while LGI medium was used for N. viridazoti [16], with incubation at 28–30 °C. Colonies were then transferred to test tubes containing 5 mL of the respective liquid medium and maintained on a shaker for 2 days at 28–30 °C. Subsequently, cultures were scaled up in 50 mL Erlenmeyer flasks (A. brasilense strains in BP glycerol medium and N. viridazoti in BP sucrose medium [17]; Supplementary Materials Table S1) and shaken until reaching an optical density of 1.5–2.0 absorbance units using a UV-Vis spectrophotometer (Shimadzu UV-1280, Kyoto, Japan). Bacterial populations were on the order of 108 cells mL−1, and culture purity was also verified.
Nitrous oxide monitoring began immediately after the treatment application to the respective pots and continued for 10 days, after which it was paused because water addition was no longer inducing N2O fluxes above those of the control. This interval was maintained to allow the soil to stabilize before rewetting, since the experiment was structured around distinct wetting events rather than continuous monitoring. We called this first monitoring period as Cycle 1. During the subsequent 15-day pause, pearl millet (Pennisetum glaucum var. BRS 1501) was sown (five seeds per pot), seedlings emerged, and were thinned to two per pot. At the end of this interval, the treatments were reapplied, and gas monitoring was resumed two days later, marking the beginning of Cycle 2. The soil moisture level in each pot was maintained by daily weighing and adding water to reach 80% of the water-filled pore space. Ambient air temperature was monitored for use in the N2O flux calculation.
Fluxes of N2O were measured with an off-axis integrated cavity output spectroscopy analyzer (ABB LGR-ICOS, Los Gatos, CA, USA). For each measurement, a pot was placed inside a 2.5 L glass jar fitted with inlet and outlet ports connected to the analyzer, forming a closed dynamic loop that continuously recirculated the headspace air. After a 2 min stabilization period, the linear increase in N2O over a 2 min interval was used to calculate flux from each pot, expressed as μg N2O-N g−1 dry soil h−1. The first three measurements served as baselines (soil + water only). Beginning with the fourth, the full set of treatments was included.
For each sampling date, N2O flux observations were available as replicate measurements within each treatment. For every treatment, we computed the arithmetic mean and the standard error of the mean (SEM). The predefined gap between cycles (no samples collected) was excluded from calculations.
Cumulative N2O emissions for each treatment and replicate were calculated using the trapezoidal rule, which integrates fluxes over time by estimating the area under the curve between consecutive sampling points. This approach accounts for irregular time intervals between measurements. Integrated values were expressed as mg N2O-N pot−1 cycle−1, considering the pot’s dry soil mass. Treatment means and SEM were then computed from the pot-level totals.
The pearl millet plants grown in pots during Cycle 2 were collected and oven-dried at 65 °C to determine their dry matter content.

2.2. Field Experiment

This second experiment was carried out as a field trial in an experimental area of the Fluminense Federal Institute of Education, Science and Technology (IFF), in Bom Jesus de Itabapoana, Rio de Janeiro State. The city lies in the northwestern region of the State, at 21°08′02″ S and 41°40′47″ W, at an altitude of 88 m, with an Aw climate (tropical savanna, sub-humid to dry). The mean annual temperature ranges from 22 to 25 °C, and mean annual precipitation is 1200–1300 mm. The soil in the area was relatively flat and presented a loamy texture being classified as an Oxisol. Soil samples collected from the 0–20 cm layer showed the following chemical properties prior to experimental setup: pHH2O 5.02; Al3+ 0.25 cmolc dm−3; H + Al 3.50 cmolc dm−3; Ca2+ 2.14 cmolc dm−3; Mg+2 0.89 cmolc dm−3; K+ 32.3 mg dm−3; P (Mehlich I) 4.12 mg dm−3. A meteorological station at the Institute continuously recorded daily rainfall and air temperature data, which was the data source for the field experiment.
A single-factor experiment comprised five treatments: (1) Control (without N applied), (2) Urea-N applied either at 82.5 kg N ha−1 (Urea-N 82.5) or (3) at 165 kg N ha−1, (4) Urea-N 82.5 + seed inoculation with A. brasilense strains Ab-V5 and Ab-V6, and (5) Urea-N 82.5 + seed inoculation with N. viridazoti strain BR 11145. The treatments fertilized with N corresponded to the side-dressing application. Each inoculant contained approximately 108 cells mL−1 and was mixed to maize seed at 3 mL kg−1 immediately before sowing.
The treatments were arranged in a randomized complete block design with four replicates. Each experimental plot comprised six 8 m rows spaced 0.5 m apart, with a seeding density of 3–4 plants per linear meter, sown at a depth of 2.5 cm. The two outermost rows served as guard rows, and the first and last 1 m of each row were also used as borders.
Conventional tillage was used, consisting of one plowing followed by two harrowing, producing a clod-free seedbed that enabled proper sowing and facilitated seedling emergence. The maize (Zea mays L.) cultivar RB7510 VIP3 (KWS), recommended for grain production, was used as the reference crop.
After soil preparation, fertilization and corn seeding were carried out using a sowing machine. Fertilization applied to seedbed consisted of 166 kg ha−1 of monoammonium phosphate (MAP), 133 kg ha−1 of K2O, and 20 kg ha−1 of fritted trace elements. At 23 days after emergence, a side-dress application of urea was performed, corresponding to the N fertilization treatments.
The monitoring of N2O fluxes was carried out for all treatments, except for the one receiving 165 kg N ha−1 and was initiated the day after side-dress fertilization using the closed static chamber technique [18].
The chambers consisted of a metal frame measuring 40 × 60 cm with a soil insertion depth of 10 cm, featuring a trough along the upper edge. The lower edge of the frame was inserted into the soil so that its side walls penetrated the soil until the trough rested on the soil surface. Chamber bases were installed after maize seeding, one per experimental plot, positioned in the interrow space. A known amount of N-fertilizer equivalent to the N rate used in side-dressing was applied inside the chamber base according to each treatment. Chamber deployment was performed daily between 9:00 and 11:00 am during gas monitoring. The chamber top was fitted to the base by insertion into the trough, with sealing achieved by adding water to the trough. The top had the same dimensions as the base, with a height of 23 cm. It was covered with an adhesive aluminum foil mantle to serve as thermal insulation for the chamber. The upper side of the chamber top was sealed and equipped with a three-way valve, through which headspace gas samples were collected at 20 min intervals for 1 h after chamber deployment. Headspace gas sampling was performed using a 60 mL polypropylene syringe. Before sample collection, the valve connections were flushed with 10 mL of chamber air, after which 40 mL were withdrawn and retained in the syringe. Following sampling of all chambers, 25 mL of the syringe content were transferred to 20 mL evacuated chromatography vials sealed with chlorobutyl septa, immediately prior to air transfer. The vials were sent to Embrapa Agrobiology for N2O concentration analysis in a GC-2010 gas chromatograph (Shimadzu GC-2010, Kyoto, Japan) and subsequent soil flux calculations, which were expressed as μg N2O-N m−2 h−1. Fluxes were calculated from the linear increase in N2O concentration over time inside the chambers.
Cumulative N2O emissions were calculated as the area under the flux-time curve using the trapezoidal rule. Apart from integrating the whole time series, fluxes were also integrated with a boundary-aware trapezoidal rule within pre-defined windows counted from the first sampling day. This was performed based on the understanding that, in tropical environments, the highest N2O fluxes induced by N fertilization typically occur within the first weeks following the onset of rainfall, and tend to level off thereafter [19]. Therefore, the proposed inoculants are likely to have their greatest impact in the first weeks after N fertilization. To avoid placing cut points on non-sampled calendar days, each nominal boundary was “snapped” to the first sampling date on or after the target day. The experimental timeline was divided into three distinct periods: Period I-the first 12 days; Period II-the subsequent 20 days; and Period III-the remaining duration of the study. When a trapezoid straddled a window edge, flux values at the edge were linearly interpolated from adjacent measurements and only the overlapping fraction was integrated.
To calculate the fraction of added N converted into N2O, emissions were integrated over the entire experimental period. Net N2O emissions were determined by subtracting the cumulative emissions from the control treatment from those of each fertilized treatment. The resulting values were then divided by the amount of N applied as fertilizer to estimate the proportion of fertilizer-derived N lost as N2O.
Maize plants were harvested at maturity to determine grain yield, as well as thousand-kernel weight, number of kernel rows per ear, and ear dimensions (diameter and length), in order to assess soil responses to N fertilization and the possible effects of inoculation on plant growth promotion.

2.3. Statistical Analysis

Regardless of the specific experiments, descriptive statistics of the instantaneous N2O fluxes were used to plot their variation over the monitoring period. Each plot displays a dark central line representing the mean, surrounded by a shaded envelope indicating the standard error of the mean.
For the pot experiment, all statistical analyses were performed with seven treatments and four replicated pots per treatment. Because the experiment comprised two measurement periods with distinct biological contexts, we treated Cycle 1 (soil without plants) and Cycle 2 (soil with plants) as separate analyses. The two cycles are displayed as disconnected data series (no line connecting cycles). Axes were harmonized within and across panels to facilitate visual comparison. For each cycle, a one-way ANOVA with treatment as the fixed effect on cumulative emissions was used. When the F test was significant (p < 0.05), means were separated using Fisher’s LSD test for pairwise mean comparisons. Normality and homogeneity of variances were assessed on model residuals by Shapiro–Wilk’s test and Levene’s test, respectively.
In the field experiment, cumulative emissions within each time window were analyzed using a randomized complete block design. Normality and homogeneity of variances were assessed based on model residuals, following standard procedures. When the F-test was significant at p < 0.05 or marginally significant at p < 0.10, Fisher’s LSD test was applied to separate treatment means.
Analyses were conducted and figures were produced using the Python (v.3.13, 2025) programming language and the packages Pandas (v2.2.3, 2024), SciPy (v1.16.0, 2025), and NumPy (v2.3.0, 2025) for data processing, and Matplotlib (v3.10.0, 2024) for panel visualization.

3. Results

3.1. Pot Experiment

The three treatment that did not receive the inoculation and without nitrogen application (Control, BP medium, and BP sucrose medium) exhibited relatively low N2O fluxes, with a discrete stimulatory effect likely related to the nutrient and organic components present in the BP media. This effect was more pronounced during gas monitoring Cycle 1, although it was still observable to a lesser extent in Cycle 2 (Figure 1).
Soil N2O fluxes in the N-amended treatments with KNO3 exceeded those of the uninoculated treatment (Figure 2). In Cycle 1, fluxes intensified following N application on bare soil, subsequently declining to background levels within one week. Notably, the treatment inoculated with the N. viridazoti strain BR 11145 consistently diverged from the other N-fertilized treatments, exhibiting the lowest N2O emissions across both cycles.
In Cycle 2, the addition of N fertilizer also led to an increase in N2O fluxes, although with a distinct pattern and lower intensity compared to Cycle 1, possibly influenced by the growing plants of millet. The duration until fluxes returned to background levels was approximately similar across treatments. Once again, the treatment inoculated with the BR 11145 strain exhibited the lowest N2O emissions, in contrast to those receiving Wa3 or no inoculation. The treatment with Ab-V5 + Ab-V6 showed intermediate fluxes (Figure 2).
The observed effects were confirmed when cumulative N2O emissions were calculated for each cycle. In Cycle 1, the total N2O emitted per treatment was similar among the controls, whether they received the growth medium, and the treatment fertilized with N and inoculated with the BR 11145 strain (Figure 3). In contrast, soils fertilized with N alone or also inoculated with strains Ab-V5 + Ab-V6 or Wa3 exhibited the highest cumulative emissions, with no clear distinction between them.
Despite the differences in N2O flux patterns observed in Cycle 1, the results for cumulative emissions in Cycle 2 were not substantially different. The difference was that in the presence of plants, the soil fertilized with N and inoculated with the Wa3 strain exhibited reduced N2O emissions, comparable to those of the treatment inoculated with the BR 11145 strain.
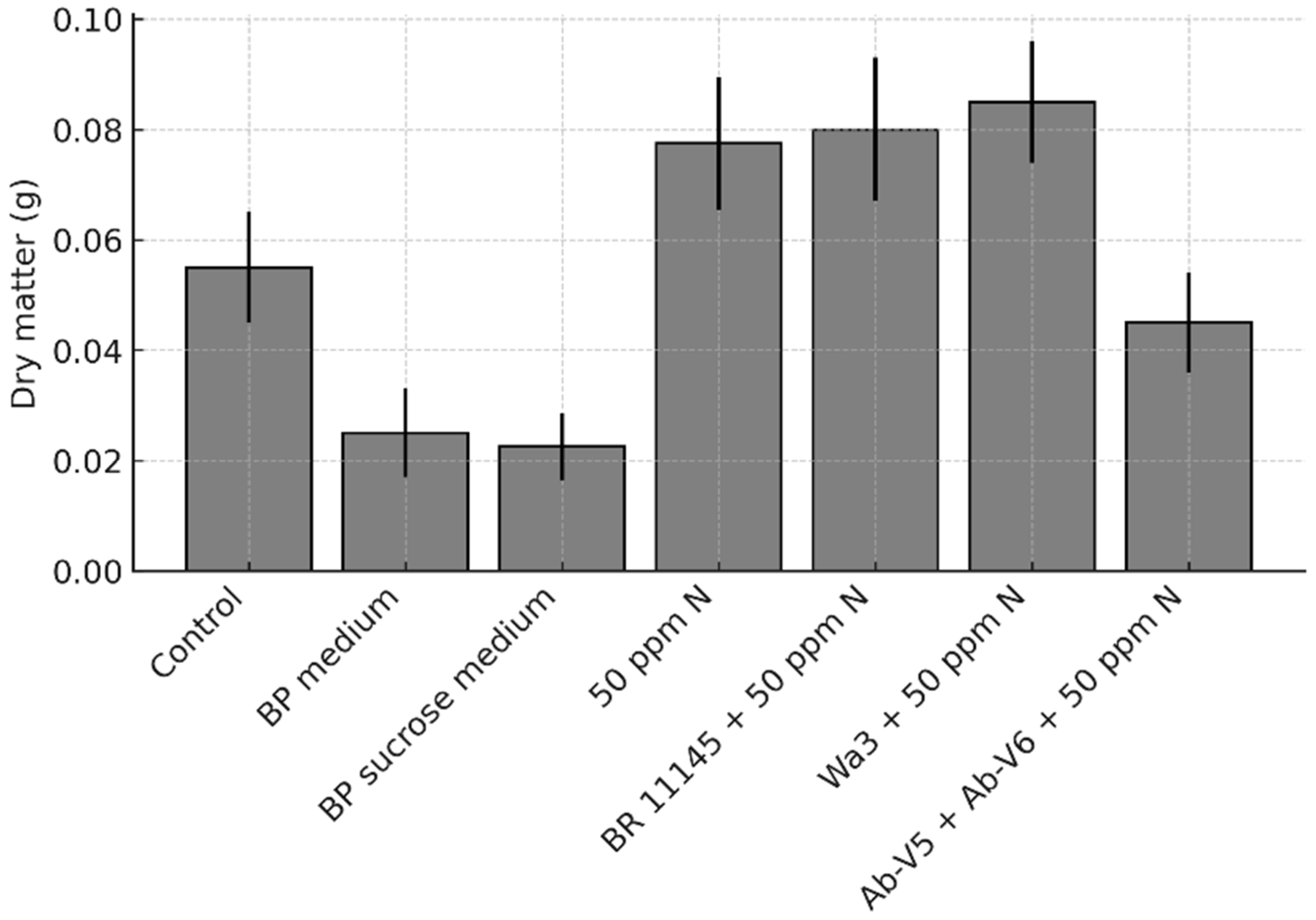
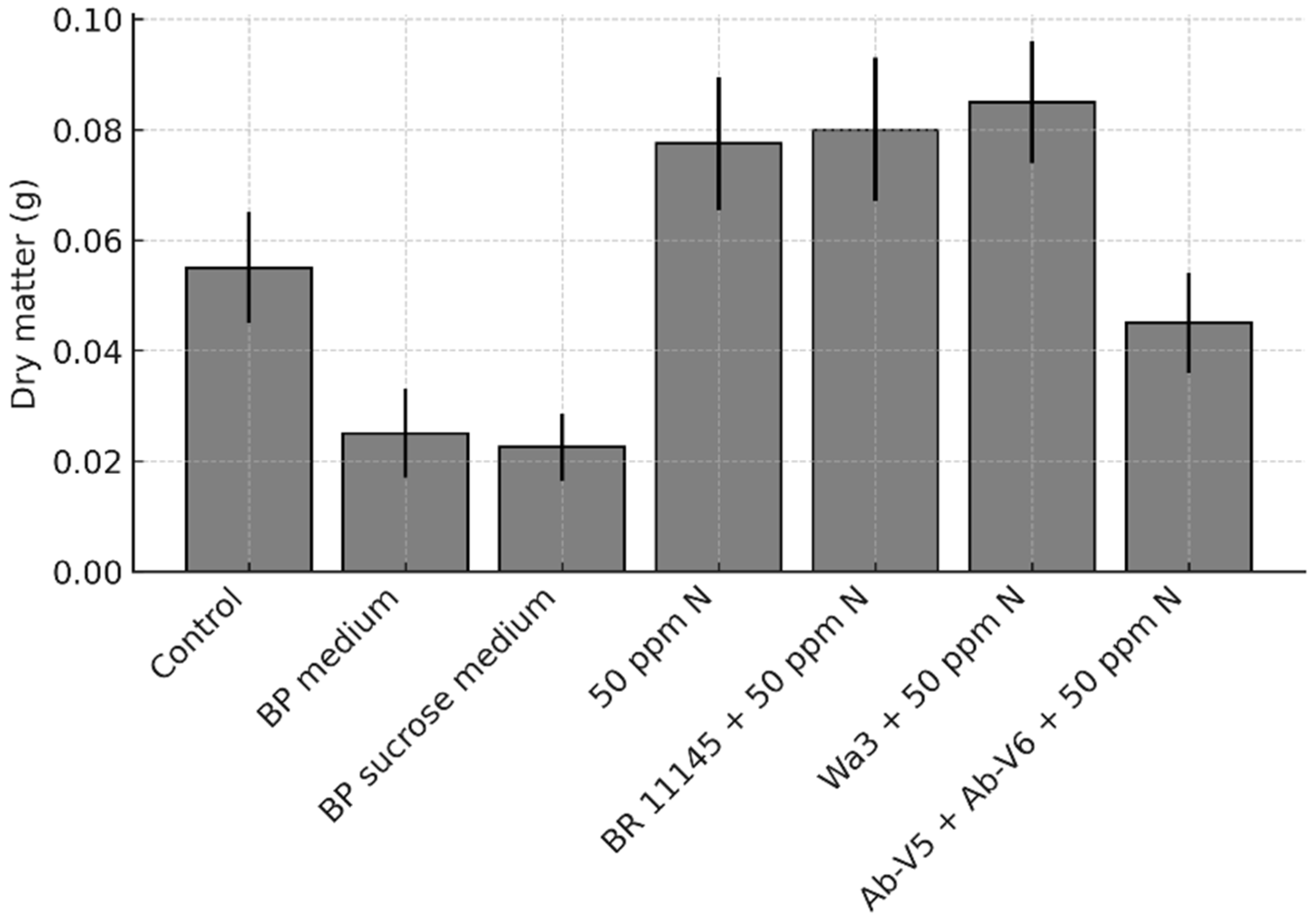
The millet plants accumulated less than 100 mg of dry mass due to the short monitoring period, which resulted in high variability (Figure 4). Therefore, only a trend toward an effect of N fertilization was observed compared to the control (p < 0.10).

3.2. Field Experiment

The climatological conditions during maize growth in the field experiment were characterized by relatively frequent rainfall, except for a 10-day dry spell occurring approximately one month after sowing (Figure 5). Notably, the frequent rainfall following the side-dress fertilization was beneficial, as it coincided with the period when the soil was enriched with N from the fertilizer, thereby promoting N2O fluxes.
In fact, the N2O fluxes peaked on the first day of monitoring, with clear contrasts among treatments. The treatment receiving only urea exhibited the highest flux, followed by those that received inoculants in addition to urea. In contrast, the control treatment consistently showed the lowest fluxes (Figure 6). After the initial response to fertilization and rainfall, N2O fluxes generally declined, with occasional rebounds linked to subsequent rainfall events, though these patterns were partially obscured by the inherent variability observed.
Cumulative N2O emissions over the entire monitoring period showed only marginal differences, as indicated by Fisher’s LSD test (p = 0.11), suggesting lower emissions associated with the control treatment. To identify when treatment effects were most pronounced, fluxes were integrated across three-time intervals (12, 20, and 42 days). A strong trend toward a treatment effect was observed in Period I (p = 0.052) when adopting a significance threshold of p < 0.10, but not in Period II (p = 0.453) or Period III (p = 0.172). In Period I, the highest N2O emissions were associated with treatments receiving urea alone or urea combined with A. brasilense inoculant, whereas the control and the treatment with urea plus N. viridazoti inoculant exhibited lower emissions, with no substantial difference between them (Figure 7).
The fraction of the fertilizer N (EF) applied at side-dress that was transformed into N2O where inoculants were applied was not even marginally different from that of the area receiving only urea, despite an apparent reduction in approximately 15% (Table 1). The overall EF was 0.29% or 0.0029 g N2O-N g−1 N applied. Instead of the period-based analysis, the EFs were calculated using the complete monitoring period, which incorporated additional variability.
The expected plant growth promotion was not observed after grain harvest, as yield and yield components were similar among treatments (Table 2). The mean grain yield was 4.8 t ha−1, with a thousand kernel weight of 258 g, 14 kernel rows per ear, and ears averaging 14 cm in diameter and 19 cm in length. No consistent trends indicating possible inoculation effects were detected, suggesting that N availability was not a key limiting factor.

4. Discussion

This study evaluated the potential of associative, plant growth-promoting bacteria, already used in commercial inoculants for N-fertilized grain crops and carrying the nosZ gene, as an approach to mitigate soil N2O emissions. This process is generally attributed either to the total or partial replacement of fertilizer-derived N by symbiotic bacteria, or to the enhanced N uptake of plants whose growth is stimulated by phytohormones and other complementary mechanisms provided by the inoculated bacteria [20,21]. However, the capacity of some associative bacteria, already used as commercial inoculants, to reduce N2O to N2 represents an additional pathway through which gas emissions can be mitigated, an overlooked potential that could be exploited to lessen the environmental impact of N fertilization.
In the present study, direct soil inoculation was adopted in the pot experiment to maximize early contact between the inoculant and the soil environment, which is typical in controlled-environment mechanistic studies. In contrast, seed inoculation was used in the field because it reflects the standard application method recommended for commercial inoculants and aligns with common farmer practice.
The pot experiment of this study provided robust evidence of an N2O mitigation effect, both in the presence and absence of a plant sink, particularly when N. viridazoti strain BR 11145 was included in the inoculant. Indeed, this was the first study to provide proof of concept that N. viridazoti can consume N2O under soil conditions, which supports Baldani et al. [11], who described the genomic profile of this species as containing only the nosZ gene, responsible for the enzymatic reduction of N2O to N2. It is important to note that the consistently low N2O production observed in pots containing N. viridazoti was not detected in those inoculated with A. brasilense strains Ab-V5 + Ab-V6, and was only weakly expressed with strain Wa3.
The field applicability of plant growth-promoting bacteria depends largely on their ability to survive in the soil after inoculation, and the same applies to their potential N2O-reducing effect. In this study, the population of inoculated bacteria in the soil was not monitored over time. However, previous research with root-associative bacteria like those used here has shown that these organisms can maintain, or even increase, their populations relative to the initial inoculum and may persist in bare soil at relatively high densities for several weeks. Their survival is strongly influenced by soil characteristics such as organic matter, nitrogen and clay contents, and especially by water availability [22]. Indeed, water has been identified as a key factor capable of extending bacterial survival beyond 20 days, with populations of A. brasilense and A. amazonense (now N. viridazoti) remaining above 104 cells g−1 of soil under adequate moisture [23]. These findings suggest that, in our pot experiment, where soil moisture was replenished daily, the inoculated bacteria were likely maintained at relatively high densities for several weeks, even during the first monitoring cycle when plants were absent. This is consistent with evidence that bacterial populations remain high when plants are present and supported by root exudates [22]. Although the cited studies used the same bacterial species but not the same strains, their results reinforce the confidence that the variation observed in N2O fluxes in the current experiment was indeed driven by the inoculated bacteria.
The complete denitrification pathway in A. brasilense [13] may enable both N2O production and consumption, with the predominance of either process depending on factors that regulate denitrification. There is experimental evidence that A. brasilense, but strain Sp7, exhibits oxygen-sensitive N2O reduction, which means it can reduce N2O in the presence of O2, but at a substantially lower rate than under anoxic conditions [24]. In this regard, Sanford et al. [25] analyzed the genomes of bacteria from diverse environments, including agricultural soils, and revealed an unexpectedly high diversity of nosZ genes in these soils. In that study, functional nosZ was found in many non-denitrifying bacteria that lacked key denitrification genes such as nir and nor, a profile like that of N. viridazoti. The so-called atypical nosZ genes were shown to form a distinct phylogenetic lineage, later recognized as Clade II, which differs structurally and functionally from the classical nosZ Clade I found in typical denitrifiers such as Azospirillum, Pseudomonas and Bradyrhizobium [26]. The contrasting kinetic behavior of nosZ clades, as demonstrated by Yoon et al. [27], provides a physiological basis for their distinct ecological roles. Bacteria of Clade I exhibit high maximum N2O reduction rates but low affinity for N2O, and their activity is strongly inhibited by oxygen. In contrast, those of Clade II show slower maximum rates but a much higher affinity for N2O and greater tolerance to O2, allowing them to function effectively under low N2O concentrations and microaerobic conditions.
In the pot experiment of the present study, the restricted soil volume likely caused greater fluctuations in water content, although it was not continuously monitored but measured once a day, when water was added to maintain the target soil moisture level. Such conditions may have favored the prevalence of N2O-consuming microorganisms more adapted to these fluctuations, particularly those classified within Clade II. Although a nosZ clade affiliation of N. viridazoti has not yet been formally determined, its genomic profile, containing solely the nosZ gene and lacking the other denitrification genes, suggests an alignment with Clade II that gathers broader environmental tolerance and higher N2O-reduction efficiency [28]. Consequently, one hypothesis is that A. brasilense may act as a transient N2O source under certain soil conditions, whereas N. viridazoti consistently functions as an effective biological sink for N2O.
Apart from the increased variability that is commonly observed in field N2O monitoring, the results obtained during the first two weeks, when the effects of N fertilization on the gas fluxes are most consistently detected, especially following rainfall events [19], demonstrated a clear reduction in N2O emissions when N. viridazoti was inoculated to maize. The similar magnitude of N2O emissions observed during period II (calculated for 20 days) and period III (calculated for 42 days) indicates a declining daily flux, suggesting that fertilization was acting as only a minor stimulus for N2O production. Under tropical conditions, N2O fluxes induced by N fertilization typically persist for no longer than two to three weeks [19], which coincides with the period during which inoculated bacterial population are more likely to persist in soil and root systems [22,23]. The differences in inoculation procedures may have contributed to the magnitude of results between pot and field experiments, particularly because seed inoculation leads to stronger dependence on rhizosphere colonization and environmental conditions that influence early bacterial survival and establishment as discussed earlier.
As a potential field strategy, the marginal significance in N2O mitigation observed in the inoculated treatments was not fully reflected in the corresponding direct N2O emission factors when compared with non-inoculated treatments. The way EF is calculated, requiring integration of emissions over the entire crop cycle, substantially increases variability, which likely masked statistically significant differences among treatments. Despite this, the temporal emission patterns clearly indicated a mitigation effect, which was not fully captured by the cumulative EF metric even though an apparent 15% reduction was estimated with the use of both inoculants. This is far from the N2O mitigation levels reported by Hiis et al. [29] in Norway following soil inoculation with Cloacibacterium sp., another Clade II representative, which may be attributed to the contrasting experimental conditions. Their study was carried out under more controlled conditions, with high inoculum loads delivered through an organic carrier substrate. However, the environmental impact of even more modest reductions could be substantial, considering that a large proportion of the nearly 10 million tons of N applied as fertilizers in South America corresponds to maize, wheat, and sugarcane crops, which are potential targets for commercial Azospirillum and Nitrospirillum inoculants aimed at promoting plant growth.
In this study, inoculation did not significantly affect plant growth or yield. Under controlled conditions, plant growth was inherently limited, preventing statistical significance and revealing only a trend in response to N addition, with no detectable effect of inoculation. A similar pattern was observed in the field experiment, where neither N fertilization nor inoculation increased yield, suggesting that other factors constrained crop performance. Although rainfall was generally adequate, prolonged dry spells, one lasting about 20 days and others of 7 to 10 days, combined with high temperatures, may have restricted growth, and limiting yield. The experimental site and available infrastructure also restricted additional measurements, such as root biomass and N accumulation which prevented us from assessing potential physiological benefits commonly associated with plant growth-promoting bacteria. Galindo et al. [30] reported that A. brasilense inoculation in maize modestly increased grain yield (7%) but significantly enhanced N uptake, emphasizing its potential to improve the sustainability of maize production in tropical regions. Likewise, studies involving N. viridazoti (referred to as A. amazonense at that time) inoculation in maize showed greater root biomass and N accumulation, indicating improved nutrient uptake efficiency [31].
Because inoculation did not affect plant growth or N uptake in either experiment, plant-mediated mechanisms cannot explain the observed reductions in N2O emissions. Instead, the mitigation patterns, consistently lower fluxes in the N. viridazoti treatment and, to a lesser extent, in A. brasilense, are more plausibly attributed to the denitrification capacity of these strains. In particular, the isolated presence of the nosZ gene in N. viridazoti provides a mechanistic explanation for its stronger mitigation effect. This interpretation is consistent with the temporal flux dynamics observed and with previous reports on the functional potential of these bacteria.

5. Conclusions

Efforts to contain global warming involve not only measures to neutralize CO2 emissions from fossil fuels but also actions to curb the release of other greenhouse gases in the coming decades [5]. In this regard, agricultural research has highlighted strategies based on the use of soil bacteria to enhance N2O consumption, which have been investigated to mitigate emissions from soybean cultivation [31] and from soils receiving organic N amendments [29]. The present study adds to this field by providing experimental evidence that plant growth-promoting bacteria can contribute to mitigating soil N2O emissions.
Under controlled conditions, N. viridazoti consistently reduced N2O fluxes, both in bare soil and in the presence of millet, while A. brasilense showed a smaller but still detectable effect. In the field experiment, inoculation with N. viridazoti led to a modest, marginally significant reduction in early-season N2O emissions. These contrasting responses highlight the influence of environmental variability and the need for field environments that favor bacterial establishment and activity. Seed or furrow inoculation remain feasible approaches for practical application. Our results suggest that furrow application may allow earlier bacteria–soil interaction, potentially enhancing mitigation, but this requires validation under field conditions. Overall, the study supports the potential of N. viridazoti and, to a lesser extent, A. brasilense as components of nature-based strategies to mitigate N2O emissions, while emphasizing the need for further field research to consolidate their practical applicability.

Supplementary Materials

The following supporting information can be downloaded at: https://www.mdpi.com/article/10.3390/agronomy15122856/s1. Figure S1: Sequential procedure used to standardize soil bulk density among pots prior to gas measurements. Table S1. Composition of BP and BP Sucrose Media.

Author Contributions

S.Y.A.M.d.S., conceptualization, methodology, investigation, data curation, project administration, writing—original draft; J.É.Z. and N.P.Z., conceptualization, methodology, writing—review and editing; F.M.L., C.S.R.d.A.d.S., G.C.A., S.A.R. and A.P.L.d.S., formal analysis, writing—review and editing; V.M.R., S.U., investigation, methodology, data curation; B.J.R.A., conceptualization, methodology, investigation, project administration, supervision, resources, funding acquisition, writing—review and editing. All authors have read and agreed to the published version of the manuscript.

Funding

This research received financial support (scholarships) from the Coordination for the Improvement of Higher Education Personnel (CAPES/Brazil) and the National Council for Scientific and Technological Development (CNPq/Brazil).

Data Availability Statement

The data presented in this study are available upon request from the corresponding author, as they cannot be made publicly available due to ethical and privacy restrictions.

Acknowledgments

The authors thank the team at the Instituto Federal Fluminense do Bom Jesus de Itabapoana for their support in conducting the field experiment and the Embrapa Agrobiologia team for providing the analytical infrastructure. B.J.R.A., J.É.Z., V.M.R., and S.U. thank CNPq for the Research Productivity Grant and the Scientist of Our State Program for additional support. The authors also thank the Embrapa-USDA partnership and FNDCT/Finep/Rede FertBrasil (Agreement No. 01.22.0080.00) for logistical and financial support, the project “INCT MicroAgro: Biotechnological innovations with microorganisms for productive and sustainable agriculture” (CNPq 408267/2024, Fundação Araucária), and ChatGPT (OpenAI, v.5.1) for assistance with linguistic review.

Conflicts of Interest

The authors declare no conflict of interest.

References

  1. Byerlee, D.; Stevenson, J.; Villoria, N. Does intensification slow crop-land expansion or encourage deforestation? Glob. Food Secur. 2014, 3, 92–98. [Google Scholar] [CrossRef]
  2. Omara, P.; Aula, F.; Oyebiyl, F.; Raun, W.R. World cereal nitrogen use efficiency trends: Review and current knowledge. Agrosyst. Geosci. Environ. 2019, 2, 1–8. [Google Scholar] [CrossRef]
  3. FAO (Food and Agriculture Organization of the United Nations). 2025. Available online: https://www.fao.org (accessed on 7 December 2025).
  4. Erisman, J.W.; Galloway, J.N.; Seitzinger, S.; Bleeker, A.; Dise, N.B.; Petrescu, A.M.R.; Leach, A.M.; De Vries, W. Consequences of Human Modification of the Global Nitrogen Cycle. Philos. Trans. R. Soc. B 2013, 368, 20130116. [Google Scholar] [CrossRef] [PubMed]
  5. IPCC. Global Warming of 1.5 °C: IPCC Special Report on Impacts of Global Warming of 1.5 °C Above Pre-Industrial Levels in Context of Strengthening Response to Climate Change, Sustainable Development, and Efforts to Eradicate Poverty, 1st ed.; Cambridge University Press: Cambridge, UK, 2022; ISBN 978-1-009-15794-0. [Google Scholar]
  6. Abay, K.A.; Chamberlin, J.; Chivenge, P.; Spielman, D.J. Fertilizer, Soil Health, and Economic Shocks: A Synthesis of Recent Evidence. Food Policy 2025, 133, 102892. [Google Scholar] [CrossRef]
  7. Adesemoye, A.O.; Kloepper, J.W. Plant–Microbes Interactions in Enhanced Fertilizer-Use Efficiency. Appl. Microbiol. Biotechnol. 2009, 85, 1–12. [Google Scholar] [CrossRef]
  8. Hungria, M.; Barbosa, J.Z.; Rondina, A.B.L.; Nogueira, M.A. Improving Maize Sustainability with Partial Replacement of N Fertilizers by Inoculation with Azospirillum brasilense. Agron. J. 2022, 114, 2969–2980. [Google Scholar] [CrossRef]
  9. Bashan, Y.; de-Bashan, L.E. How the Plant Growth-Promoting Bacterium Azospirillum Promotes Plant Growth—A Critical Assessment. In Advances in Agronomy; Elsevier: Amsterdam, The Netherlands, 2010; Volume 108, pp. 77–136. ISBN 978-0-12-381031-1. [Google Scholar]
  10. Martins, M.R.; Jantalia, C.P.; Reis, V.M.; Döwich, I.; Polidoro, J.C.; Alves, B.J.R.; Boddey, R.M.; Urquiaga, S. Impact of Plant Growth-Promoting Bacteria on Grain Yield, Protein Content, and Urea-15 N Recovery by Maize in a Cerrado Oxisol. Plant Soil 2018, 422, 239–250. [Google Scholar] [CrossRef]
  11. Baldani, J.I.; dos Santos Ferreira, N.; Shwab, S.; Reis, V.M.; de Barros Soares, L.H.; Simões-Araujo, J.L.; dos Santos Dourado, F.; Bach, E.; Camacho, N.N.; de Oliveira, A.M.; et al. Nitrospirillum viridazoti sp. nov., an Efficient Nitrogen-Fixing Species Isolated from Grasses. Curr. Microbiol. 2024, 81, 144. [Google Scholar] [CrossRef] [PubMed]
  12. Sica, P.D.S.; Shirata, E.S.; Rios, F.A.; Biffe, D.F.; Filho, J.U.T.B.; Estrada, K.R.F.S.; Oliveira, R.S.D., Jr. Impact of N-Fixing Bacterium Nitrospirillum Amazonense on Quality and Quantitative Parameters of Sugarcane under Field Condition. Aust. J. Crop Sci. 2020, 14, 1870–1875. [Google Scholar] [CrossRef]
  13. Zilli, J.É.; Alves, B.J.R.; Rouws, L.F.M.; Simões-Araujo, J.L.; De Barros Soares, L.H.; Cassán, F.; Castellanos, M.O.; O’Hara, G. The Importance of Denitrification Performed by Nitrogen-Fixing Bacteria Used as Inoculants in South America. Plant Soil 2020, 451, 5–24. [Google Scholar] [CrossRef]
  14. Tarrand, J.J.; Krieg, N.R.; Döbereiner, J. A Taxonomic Study of the Spirillum lipoferum Group, with Descriptions of a New Genus, Azospirillum Gen. Nov. and Two Species, Azospirillum lipoferum (Beijerinck) Comb. nov. and Azospirillum brasilense sp. nov. Can. J. Microbiol. 1978, 24, 967–980. [Google Scholar] [CrossRef] [PubMed]
  15. Christiansen-Weniger, C.; Vanderleyden, J. Ammonium-Excreting Azospirillum Sp. Become Intracellularly Established in Maize (Zea mays) Para-Nodules. Biol. Fert. Soils 1994, 17, 1–8. [Google Scholar] [CrossRef]
  16. Baldani, J.I.; Reis, V.M.; Videira, S.S.; Boddey, L.H.; Baldani, V.L.D. The art of isolating nitrogen-fixing bacteria from non-leguminous plants using N-free semi-solid media: A practical guide for microbiologists. Plant Soil 2014, 384, 413–431. [Google Scholar] [CrossRef]
  17. Scheidt, W.; Dos Santos Pedroza, I.C.P.; Fontana, J.; Da Cruz Meleiro, L.A.; De Barros Soares, L.H.; Reis, V.M. Optimization of Culture Medium and Growth Conditions of the Plant Growth-Promoting Bacterium Herbaspirillum Seropedicae BR11417 for Its Use as an Agricultural Inoculant Using Response Surface Methodology (RSM). Plant Soil 2019, 451, 75–87. [Google Scholar] [CrossRef]
  18. Alves, B.J.R.; Smith, K.A.; Flores, R.A.; Cardoso, A.S.; Oliveira, W.R.D.; Jantalia, C.P.; Urquiaga, S.; Boddey, R.M. Selection of the Most Suitable Sampling Time for Static Chambers for the Estimation of Daily Mean N2O Flux from Soils. Soil Biol. Biochem. 2012, 46, 129–135. [Google Scholar] [CrossRef]
  19. Grassmann, C.S.; Mariano, E.; Rocha, K.F.; Gilli, B.R.; Rosolem, C.A. Effect of tropical grass and nitrogen fertilization on nitrous oxide, methane, and ammonia emissions of maize-based rotation systems. Atmos. Environ. 2020, 234, 117571. [Google Scholar] [CrossRef]
  20. Fukami, J.; Cerezini, P.; Hungria, M. Azospirillum: Benefits That Go Far beyond Biological Nitrogen Fixation. AMB Expr. 2018, 8, 73. [Google Scholar] [CrossRef]
  21. Schulman, P.; De Melo Carvalho, M.T.; De Mello, R.N.; Madari, B.E.; De Almeida Machado, P.L.O.; De Brito Ferreira, E.P.; Ferraresi, T.M.; De Oliveira Borba, T.C.; Mendes, R.; Hirose, E.; et al. Co-Inoculation Maintains Yields and Lowers N2O Emission by Affecting Rhizosphere Bacterial Diversity in Common Bean Grown on a C-Rich Clayey Ferralsol. Soil Adv. 2025, 3, 100046. [Google Scholar] [CrossRef]
  22. Bashan, Y.; Puente, M.E.; Rodriguez-Mendoza, M.N.; Toledo, G.; Holguin, G.; Ferrera-Cerrato, R.; Pedrin, S. Survival of Azospirillum brasilense in the bulk soil and rhizosphere of 23 soil types. Appl. Environ. Microbiol. 1995, 61, 1938–1945. [Google Scholar] [CrossRef]
  23. Oliveira, A.L.M.; Canuto, E.L.; Silva, E.E.; Reis, V.M.; Baldani, J.I. Survival of endophytic diazotrophic bacteria in soil under different moisture levels. Braz. J. Microbiol. 2004, 35, 295–299. [Google Scholar] [CrossRef]
  24. Wang, Z.; Vishwanathan, N.; Kowaliczko, S.; Ishii, S. Clarifying Microbial Nitrous Oxide Reduction under Aerobic Conditions: Tolerant, Intolerant, and Sensitive. Microbiol. Spectr. 2023, 11, e04709-22. [Google Scholar] [CrossRef] [PubMed]
  25. Sanford, R.A.; Wagner, D.D.; Wu, Q.; Chee-Sanford, J.C.; Thomas, S.H.; Cruz-García, C.; Rodríguez, G.; Massol-Deyá, A.; Krishnani, K.K.; Ritalahti, K.M.; et al. Unexpected Nondenitrifier Nitrous Oxide Reductase Gene Diversity and Abundance in Soils. Proc. Natl. Acad. Sci. USA 2012, 109, 19709–19714. [Google Scholar] [CrossRef] [PubMed]
  26. Jones, C.M.; Graf, D.R.H.; Bru, D.; Philippot, L.; Hallin, S. The Unaccounted yet Abundant Nitrous Oxide-Reducing Microbial Community: A Potential Nitrous Oxide Sink. ISME J. 2013, 7, 417–426. [Google Scholar] [CrossRef]
  27. Yoon, S.; Nissen, S.; Park, D.; Sanford, R.A.; Löffler, F.E. Nitrous Oxide Reduction Kinetics Distinguish Bacteria Harboring Clade I NosZ from Those Harboring Clade II NosZ. Appl. Environ. Microbiol. 2016, 82, 3793–3800. [Google Scholar] [CrossRef]
  28. Li, H.; Luo, Q.; Sun, L.; Xu, H.; Hao, X.; Zhu, K.; Li, M.; Li, B.; Jiao, W.; Geng, J.; et al. Comparative Study of nosZI and nosZII Clade Isolates: Insights into Their Responses to Environmental Variables and Soil Fertilization Types. Front. Plant Sci. 2025, 16, 1537010. [Google Scholar] [CrossRef]
  29. Hiis, E.G.; Vick, S.H.W.; Molstad, L.; Røsdal, K.; Jonassen, K.R.; Winiwarter, W.; Bakken, L.R. Unlocking Bacterial Potential to Reduce Farmland N2O Emissions. Nature 2024, 630, 421–428. [Google Scholar] [CrossRef]
  30. Galindo, F.S.; Rodrigues, W.L.; Fernandes, G.C.; Boleta, E.H.M.; Jalal, A.; Rosa, P.A.L.; Buzetti, S.; Lavres, J.; Teixeira Filho, M.C.M. Enhancing Agronomic Efficiency and Maize Grain Yield with Azospirillum Brasilense Inoculation under Brazilian Savannah Conditions. Eur. J. Agron. 2022, 134, 126471. [Google Scholar] [CrossRef]
  31. Itakura, M.; Uchida, Y.; Akiyama, H.; Hoshino, Y.T.; Shimomura, Y.; Morimoto, S.; Tago, K.; Wang, Y.; Hayakawa, C.; Uetake, Y.; et al. Mitigation of Nitrous Oxide Emissions from Soils by Bradyrhizobium japonicum Inoculation. Nat. Clim. Change 2013, 3, 208–212. [Google Scholar] [CrossRef]
Figure 1. Mean N2O fluxes (μg N g−1 dry soil h−1) from soils under Control, BP medium, and BP sucrose medium treatments. Measurements were conducted over Cycle 1 with bare soil, followed by Cycle 2 after millet seeding. Shaded areas surrounding each flux line represent the standard error of the mean. Horizontal bars at the top indicate the duration of gas monitoring for Cycle 1 and Cycle 2.
Figure 1. Mean N2O fluxes (μg N g−1 dry soil h−1) from soils under Control, BP medium, and BP sucrose medium treatments. Measurements were conducted over Cycle 1 with bare soil, followed by Cycle 2 after millet seeding. Shaded areas surrounding each flux line represent the standard error of the mean. Horizontal bars at the top indicate the duration of gas monitoring for Cycle 1 and Cycle 2.
Agronomy 15 02856 g001
Figure 2. Mean N2O fluxes (μg N g−1 dry soil h−1) from soil in the pot experiment receiving fertilizer N (50 ppm KNO3-N). The top row brings the gas fluxes from soil and from soil inoculated with N. viridazoti strain BR 11145; the bottom row, the soil received the inoculant with A. brasilense strains Ab-V5 + Ab-V6 and the A. brasilense strain Wa3. Measurements were conducted in two cycles, the first corresponding to bare soil, followed by Cycle 2 where millet were seeded. Shaded areas surrounding each flux line represent the standard error of the mean. Horizontal bars at the top indicate the duration of gas monitoring for Cycle 1 and Cycle 2.
Figure 2. Mean N2O fluxes (μg N g−1 dry soil h−1) from soil in the pot experiment receiving fertilizer N (50 ppm KNO3-N). The top row brings the gas fluxes from soil and from soil inoculated with N. viridazoti strain BR 11145; the bottom row, the soil received the inoculant with A. brasilense strains Ab-V5 + Ab-V6 and the A. brasilense strain Wa3. Measurements were conducted in two cycles, the first corresponding to bare soil, followed by Cycle 2 where millet were seeded. Shaded areas surrounding each flux line represent the standard error of the mean. Horizontal bars at the top indicate the duration of gas monitoring for Cycle 1 and Cycle 2.
Agronomy 15 02856 g002
Figure 3. Cumulative N2O emission (μg N2O-N pot−1 cycle−1) in the pot experiment for Cycle 1 and Cycle 2. Bars show mean ± SEM. Different letters above the bars indicate significant differences by Fisher’s LSD test (p < 0.05). Treatments (plot order): (1) Control; (2) BP medium; (3) BP sucrose medium; (4) 50 ppm N; (5) BR 11145 + 50 ppm N; (6) Wa3 + 50 ppm N; (7) Ab-V5 + Ab-V6 + 50 ppm N.
Figure 3. Cumulative N2O emission (μg N2O-N pot−1 cycle−1) in the pot experiment for Cycle 1 and Cycle 2. Bars show mean ± SEM. Different letters above the bars indicate significant differences by Fisher’s LSD test (p < 0.05). Treatments (plot order): (1) Control; (2) BP medium; (3) BP sucrose medium; (4) 50 ppm N; (5) BR 11145 + 50 ppm N; (6) Wa3 + 50 ppm N; (7) Ab-V5 + Ab-V6 + 50 ppm N.
Agronomy 15 02856 g003
Figure 4. Mean dry matter (g pot−1) of millet grown under different inoculation and fertilization treatments in the pot experiment. Bars represent means ± standard error. Differences among treatments were not significant according to Fisher’s LSD test (p < 0.05).
Figure 4. Mean dry matter (g pot−1) of millet grown under different inoculation and fertilization treatments in the pot experiment. Bars represent means ± standard error. Differences among treatments were not significant according to Fisher’s LSD test (p < 0.05).
Agronomy 15 02856 g004
Figure 5. Weather during the field study period. The stepped curve represents daily cumulative precipitation (mm; left y-axis), and the solid line shows daily mean air temperature (°C; right y-axis).
Figure 5. Weather during the field study period. The stepped curve represents daily cumulative precipitation (mm; left y-axis), and the solid line shows daily mean air temperature (°C; right y-axis).
Agronomy 15 02856 g005
Figure 6. Mean N2O fluxes (μg N m−2 h−1) from soil in the field experiment. The top row shows gas fluxes from the control treatment (no N applied during side-dress fertilization) and the fertilized treatment (82.5 kg N ha−1 as urea at side-dress). The bottom row displays treatments in which seeds were inoculated with A. brasilense strains Ab-V5 + Ab-V6, or with N. viridazoti strain BR 11145, combined with the N fertilization. Shaded areas around each flux line represent the standard error of the mean.
Figure 6. Mean N2O fluxes (μg N m−2 h−1) from soil in the field experiment. The top row shows gas fluxes from the control treatment (no N applied during side-dress fertilization) and the fertilized treatment (82.5 kg N ha−1 as urea at side-dress). The bottom row displays treatments in which seeds were inoculated with A. brasilense strains Ab-V5 + Ab-V6, or with N. viridazoti strain BR 11145, combined with the N fertilization. Shaded areas around each flux line represent the standard error of the mean.
Agronomy 15 02856 g006
Figure 7. Cumulative N2O emissions (mg N m−2) from the field experiment across three-time intervals (Period I of 12 days, Period II of 20 days, and Period III of 42 days) defined from the first sampling date. Bars represent treatment means ± SEM, corresponding (from left to right) to the Control, N fertilization with urea at 82.5 kg N ha−1 (Urea), Urea + A. brasilense (strains Ab-V5 + Ab-V6), and Urea + N. viridazoti strain BR 11145). Figure titles indicate the ANOVA p-value for the treatment effect in each period. Different letters above the bars indicate significant differences by Fisher’s LSD test (p < 0.10).
Figure 7. Cumulative N2O emissions (mg N m−2) from the field experiment across three-time intervals (Period I of 12 days, Period II of 20 days, and Period III of 42 days) defined from the first sampling date. Bars represent treatment means ± SEM, corresponding (from left to right) to the Control, N fertilization with urea at 82.5 kg N ha−1 (Urea), Urea + A. brasilense (strains Ab-V5 + Ab-V6), and Urea + N. viridazoti strain BR 11145). Figure titles indicate the ANOVA p-value for the treatment effect in each period. Different letters above the bars indicate significant differences by Fisher’s LSD test (p < 0.10).
Agronomy 15 02856 g007
Table 1. Full-period cumulative N2O emissions and emission factor (EF) by treatment.
Table 1. Full-period cumulative N2O emissions and emission factor (EF) by treatment.
TreatmentN2O Emission
(mg N m−2)
N2O Emission SEM
(mg N m−2)
EF Mean (%)EF SEM (%)
Control21.134.95----
Urea53.2811.500.390.19
Urea + Inoc. Ab-V5 + Ab-V641.437.210.250.12
Urea + Inoc. BR 1114540.957.040.240.14
Overall mean39.204.670.290.08
SEM is standard error of mean. EF (%) is defined only for fertilized treatments as net emission/8.25 (g N m−2) × 100, where net emission = Emission in fertilized treatment-Emission of the control.
Table 2. Maize yield components under different treatments at the field experiment.
Table 2. Maize yield components under different treatments at the field experiment.
TreatmentsTKW 1 (g)NKR 2ED 3 (cm)EL 4 (cm)Yield 5
(kg ha−1)
Control227.014.214.118.44617.8
Urea (165) 6252.215.314.418.64764.3
Urea (82.5)290.714.514.719.45132.1
Urea (82.5) + Inoc. Ab-V5 + Ab-V6237.013.313.718.54244.0
Urea (82.5) + Inoc. BR 11145281.813.914.319.14832.0
Overall mean257.514.214.218.84798.7
Fisher’s LSD (p = 0.05)ns 7nsnsnsns
1 Thousand kernel weight; 2 number of kernel rows per ear; 3 ear diameter (ED, cm); 4 ear length (CE, cm); and 5 grain yield at 13% moisture (yield, kg ha−1). 6 The number between parenthesis means the N rate used depending on treatment (165 kg N ha−1 or 82.5 kg N ha−1). 7 ns means no statistical difference.
Disclaimer/Publisher’s Note: The statements, opinions and data contained in all publications are solely those of the individual author(s) and contributor(s) and not of MDPI and/or the editor(s). MDPI and/or the editor(s) disclaim responsibility for any injury to people or property resulting from any ideas, methods, instructions or products referred to in the content.

Share and Cite

MDPI and ACS Style

Silva, S.Y.A.M.d.; Zilli, J.É.; Lisboa, F.M.; Alves, G.C.; Zatorre, N.P.; Urquiaga, S.; Reis, V.M.; Ribeiro, S.A.; Silva, C.S.R.d.A.d.; Silva, A.P.L.d.; et al. Evidence of the Role of Plant Growth-Promoting Bacteria in Mitigating N2O Emissions from Maize Cultivation. Agronomy 2025, 15, 2856. https://doi.org/10.3390/agronomy15122856

AMA Style

Silva SYAMd, Zilli JÉ, Lisboa FM, Alves GC, Zatorre NP, Urquiaga S, Reis VM, Ribeiro SA, Silva CSRdAd, Silva APLd, et al. Evidence of the Role of Plant Growth-Promoting Bacteria in Mitigating N2O Emissions from Maize Cultivation. Agronomy. 2025; 15(12):2856. https://doi.org/10.3390/agronomy15122856

Chicago/Turabian Style

Silva, Safira Yara Azevedo Medeiros da, Jerri Édson Zilli, Fabiana Mariano Lisboa, Gabriela Cavalcanti Alves, Natalia Pereira Zatorre, Segundo Urquiaga, Verônica Massena Reis, Stefanny Aparecida Ribeiro, Camilla Santos Reis de Andrade da Silva, Alex Paulo Lemos da Silva, and et al. 2025. "Evidence of the Role of Plant Growth-Promoting Bacteria in Mitigating N2O Emissions from Maize Cultivation" Agronomy 15, no. 12: 2856. https://doi.org/10.3390/agronomy15122856

APA Style

Silva, S. Y. A. M. d., Zilli, J. É., Lisboa, F. M., Alves, G. C., Zatorre, N. P., Urquiaga, S., Reis, V. M., Ribeiro, S. A., Silva, C. S. R. d. A. d., Silva, A. P. L. d., & Alves, B. J. R. (2025). Evidence of the Role of Plant Growth-Promoting Bacteria in Mitigating N2O Emissions from Maize Cultivation. Agronomy, 15(12), 2856. https://doi.org/10.3390/agronomy15122856

Note that from the first issue of 2016, this journal uses article numbers instead of page numbers. See further details here.

Article Metrics

Back to TopTop