Next Article in Journal
Exploring the Genome of Bacillus mojavensis Bai2-32 Against Root Rot Disease in Lycium barbarum L.
Previous Article in Journal
Mitochondrial Genomes Reveal Population Structure of the Locust Oedaleus decorus (Orthoptera: Acrididae: Oedipodinae) in China
 
 
Font Type:
Arial Georgia Verdana
Font Size:
Aa Aa Aa
Line Spacing:
Column Width:
Background:
Article

Integrated Soil Management Strategies for Reducing Wireworm (Agriotes spp., Elateridae) Damage in Potato Fields: A Three-Year Field Study

Department of Agronomy, Biotechnical Faculty, University of Ljubljana, SI-1000 Ljubljana, Slovenia
*
Author to whom correspondence should be addressed.
Agronomy 2025, 15(12), 2831; https://doi.org/10.3390/agronomy15122831
Submission received: 13 November 2025 / Revised: 5 December 2025 / Accepted: 6 December 2025 / Published: 9 December 2025
(This article belongs to the Section Pest and Disease Management)

Abstract

Between 2023 and 2025, we conducted experiments at the Laboratory Field of the Bio-technical Faculty in Ljubljana to study alternative methods for controlling wireworms in potato fields. The trials were arranged in three blocks with five first-order (Brassica carinata, Brassica juncea, Nemakil 330, Rasti Soil Tonic G, positive control) and five second-order treatments (entomopathogenic nematodes, entomopathogenic fungi, zeolite combined with half-doses of these products, positive control with tefluthrin, and negative control), giving twenty-five treatments per block. Foliar pests and diseases were managed with contact plant protection products. We measured total tuber yield and divided it into three size classes, then assessed wireworm damage (holes per tuber). The purpose of the soil excavations in the first-order treatments was to verify the abundance of wireworms in the soil. Most combinations reduced wireworm abundance. The lowest tuber damage comparable to the positive control occurred when using zeolite with half-doses of entomopathogenic nematodes and fungi. The highest yields across all three weather-distinct years resulted from combining Rasti Soil Tonic with zeolite and half-dose entomopathogenic products. Although Nemakil 330 increased soil phosphorus, it neither improved yield nor reduced wireworm damage. Overall, the tested environmentally acceptable methods show promising insecticidal potential for sustainable wireworm control in potatoes.

1. Introduction

Potatoes (Solanum tuberosum L.) are among the most important field crops in the world [1]. Their production frequently faces serious challenges posed by wireworms (Agriotes spp.) as one of the most important potato pests. Wireworms cause damage and consequential economic harm by boring into tubers, which reduces the market value of the yield and increases susceptibility to secondary infections [2,3]. Although wireworm attack does not affect crop yield directly, it reduces crop quality considerably [4]. The use of synthetic insecticides for wireworm control is often ineffective [5] and subject to criticism due to its negative impact on non-target organisms [6].
To this end, the use of environmentally acceptable methods has become a focal point of wireworm control research. These methods include, for example, the biological control of wireworms, where entomopathogenic bacteria, fungi, nematodes, and predators from the family Staphylinidae can be used [7]. Biofumigation is also a method for the environmentally acceptable control of soil-borne pests and diseases, which is most often based on mulching and ploughing wild crucifers into the soil, where the breakdown of glucosinolates forms natural compounds with insecticidal, herbicidal, and nematicidal activity in the soil [6,8]. Brassica carinata and Brassica hirta were chosen based on the fact that they contain a lot of glucosinolates and their derivates are important for wireworm suppression [8]. In our investigation, however, we wanted to determine the potential of biofumigation combined with biological control agents for reducing wireworm abundance [9].
Among the environmentally acceptable ways of reducing wireworm damage are also attractants, intercrops, and trap crops, crop rotation, tillage, flooding or drainage of the soil, the use of semiochemicals, and tolerant varieties [7,10].
Strategies for the environmentally acceptable reduction in wireworms in agricultural land below the economic damage threshold therefore most often do not involve the use of a single control method, but rather several of these methods should be combined and used over a longer period [3]. It is evident from the literature that the preventive treatment of winter oats as a trap crop with the entomopathogenic fungi Metarhizium brunneum Petch shows promising results [11]. The results of research conducted in Switzerland are also promising [12], where pre-crops (Avena strigosa, Trifolium alexandrinum, Guizotia abyssinica, Phacelia tanacetifolia) before potatoes were also treated with the fungus M. brunneum. The inclusion of trap crops in crop rotation can also improve functional biodiversity and nutrient availability in the soil and is also an important factor in plant protection as it suppresses weed growth [7].
In addition to the previously mentioned methods of wireworm control, we are also aware of the insecticidal effect of various fertilizers, such as calcium cyanamide [13], or plant extracts that have a repellent effect on wireworms. Thus, we can talk about the encouraging effect of cinnamaldehyde, which can be added to the field during irrigation, and azadirachtin as the active substance in Neem cake, which also acts as a repellent against wireworms [14].
The main purpose of our research was to precisely study and evaluate the synergistic effect of a large number of environmentally acceptable methods for reducing wireworm abundance in the soil and damage to potato tubers. Since even one hole in a tuber is enough to make potatoes unmarketable [15], we wanted to determine whether it is possible to produce completely healthy tubers using any of the tested methods. We also hypothesized that we would be able to confirm differences in the yield of tubers among the individual treatments. In addition, we anticipated that the combination of zeolites and entomopathogens would be one of the most effective combinations against wireworms in potato fields. At the same time, we also examined the effect of the substances used in the experiment on tuber yield and on the most important soil parameters.

2. Materials and Methods

2.1. Experimental Site

The field experiment was conducted at the Laboratory Field of the Biotechnical Faculty in Ljubljana (46°04′ N, 14°31′ E, 299 m a.s.l.) during the period 2023–2025. In the first year of the research, the experiment was carried out on a 1700 m2 field, in the second year on a 3375 m2 field, and in the third year on an 1150 m2 field. The experimental fields for 2023 and 2024 are presented in the Supplementary File.

2.2. Presentation of Treatments Under Investigation

In all three years, the experiments were designed in three blocks, and in each of them, the following five 1st-order treatments were randomly distributed: (1) sowing of brown mustard (Brassica juncea [L.] Czern.) (producer: Field Seeds Fredenberger, Krefeld, Germany); (2) sowing of Ethiopian mustard (Brassica carinata A. Braun) (producer: Field Seeds Fredenberger, Krefeld, Germany); (3) soil application of the product Nemakil 330 (supplier: Metrob Ltd., Začret, Slovenia); (4) soil application of the product Rasti Soil Tonic G (supplier: Metrob Ltd., Začret, Slovenia); and (5) positive control, or application of the product Force Evo (a.i.: tefluthrin; supplier: Syngenta Ltd., Ljubljana, Slovenia). Brassica species during the growing season can be seen in the Supplementary File.
When planting potatoes, we distributed 5 different 2nd-order treatments perpendicularly to the 1st-order treatment plots. In these, we used the following products in various combinations during planting and hilling: (1) solitary (independent) use of the Nemopak SF product (a.i. Steinernema feltiae), 50 million nematodes per 10 l of water (supplier: Picount Ltd., Mošnje, Slovenia), and (2) solitary use of the Naturalis product (a.i. Beauveria bassiana), 27 mL per 10 l (supplier: Karsia, Ltd., Ljubljana, Slovenia). We applied the entomopathogenic fungi and entomopathogenic nematodes to the potato tubers by spraying with a 15 l SOLO backpack sprayer (type: 425 CLASSIC, supplier: Eurogarden Ltd., Dobrova, Slovenia). We used different sprayers for each of the treatments (Nemopak SF and Naturalis). The third treatment involved a combination of zeolite application, entomopathogenic nematodes (at 50% concentration), and entomopathogenic fungi (at 50% concentration). Zeolite, or zeolite powder (supplier: Montana Ltd., Žalec, Slovenia), was spread over the relevant experimental field plot one day before potato planting and lightly incorporated into the soil (dosage: 1.6 t/ha). The entomopathogenic fungi and entomopathogenic nematodes were applied to the tubers by spraying during planting and hilling. The fourth treatment was the positive control, where we applied the synthetic soil insecticide Force Evo at a dosage of 16 kg/ha just before planting, and the fifth treatment was the negative control, i.e., an untreated plot. Application of products can be seen in the figures in the Supplementary File. For easier understanding, treatments are presented in Table 1.

2.3. Design and Application of Agro-Technical Measures and Chemical Treatments

Detailed descriptions of the agro-technical measures that were applied throughout the entire experimental period are presented in Table 2.
Dates when chemical treatments were applied (besides treatment with Force Evo as positive control) are presented in Table 3.

2.4. Assessment of Tuber Damage Due to Wireworm Feeding

During sorting, seven tubers per fraction (they were chosen randomly) were collected from each potato sample [13], according to the 1st-order and 2nd-order treatments, for the purpose of assessing wireworm damage. A potato tuber with a hole caused by wireworms is presented in the Supplementary File.

2.5. Soil Excavations—Monitoring of Wireworm Abundance in the Soil

In all three years of the research, we performed soil excavations according to the 1st-order treatments to determine the number of wireworms in the soil. Each individual soil excavation measured 0.25 m2 (0.5 × 0.5 m). Soil excavations were carried out on 23 May, 26 August, and 5 September in the first year of the research; on 18 March, 19 April, and 16 August 2024 in the second year; and on 2 April, 30 April, 9 June, 5 August, and 5 September 2025 in the third year of the research. Soil excavations were performed down to a depth of 15 cm. The method used for the soil excavations was previously described in [16].

2.6. Soil Analyses

For the purpose of soil analysis, soil samples were taken in all years towards the end of the season using a cylindrical probe down to a depth of 6 cm in the 1st-order treatments. In the first year, sampling took place on 13th September, in the second year, it was conducted on 20 August, and in the third year, sampling was carried out on 22 July.
In the soil samples, we monitored the contents of P2O5 (mg/100 g) and K2O (mg/100 g), % of organic matter, and pH value. In the first two years of the research, the analysis of the samples was performed at the Department for Chemical and Analytical Analysis and Research at the Agricultural and Forestry Institute of Murska Sobota (Slovenia), while in the third year of the research, the samples were analyzed at the Agrochemical Laboratory, which is the Central Laboratory at the Agricultural Institute of Slovenia. The pH value was determined in both laboratories using the ISO 10390 standard, and the K2O and P2O5 contents were determined in the first two years using the standard SIST TS CEN/TS 17731:2022. In the third year of the research, the analysis of the aforementioned parameters was carried out using an internal method.

2.7. Weather Data

Average monthly temperatures and total monthly precipitation were obtained for all three years of the research for the period from April to August [17]. We found that 2023 had temperatures consistent with the long-term average, while the temperatures in 2024 and 2025 were above the long-term average. The year 2025 was more modest in precipitation compared to the average for the 2010–2022 period, while the first two years of our research took place in a period richer in precipitation compared to this long-term average.
In the first year of the research, the highest average daily temperatures were recorded in July, and the amount of precipitation was highest in August, when we measured almost 300 mm of rain. In 2024, April stood out with the lowest average daily temperature (12.7 °C) and the smallest amount of precipitation (71.4 mm), while the amount of precipitation was highest in May (200 mm). The average lowest daily temperature in 2025 was recorded in April, namely 12.1 °C. Regarding the amount of precipitation, June (9.1 mm) and July (194.9 mm) stand out with the lowest and highest amounts of precipitation, respectively. Detailed data on the average daily temperature and precipitation amounts are presented in the Supplementary File, in Table S1.

2.8. Statistical Analysis of the Results

Analysis of variance (ANOVA) was conducted to establish the differences among the treatments from the 1st and 2nd orders within the evaluation parameters (average yield, number of holes per tuber, average number of wireworms per m2, parameters of soil analysis). Before analysis, each variable was tested for homogeneity of variance, and any non-homogenous data were log(Y)-transformed prior to the ANOVA. Significant differences (p ≤ 0.05) between the mean values were identified using Tukey’s honestly significant difference (HSD) multiple range test. All statistical analyses were performed using the software Statgraphics Centurion XVI (Statgraphics Technologies Inc., The Plains, VA, USA), and the results are presented as the untransformed mean ± the standard error (SE) [18]. Figures 2, 3, 4, 5, 6, 7, 8, 9, 10, 13, 14, 15 were created using R program (version 4.3.3.) [19].

3. Results

3.1. Soil Excavation

We found that the average number of wireworms in the soil differed significantly between the first-order treatments in the first (F4,18 = 120.40, p < 0.05), second (F4,18 = 117.14, p < 0.05), and third years of the study (F4,18 = 203.20, p < 0.05). The average number of wireworms was significantly affected by the date of excavation in the first (F2,18 = 30.20, p < 0.05), second (F2,18 = 25.17, p < 0.05), and third (F5,27 = 26.10, p < 0.05) years of the study.
In the first year, the lowest average number of wireworms was found in the Nemakil 330 treatment group (0.88 wireworm per 1 m2), but this number did not differ significantly from the other treatment groups. In the first term of soil excavation (i.e., before the Brassica species were ploughed or other products were applied to the field), the average number of wireworms was the highest in all treatment groups; namely, 6 wireworms per m2 were found in the positive control group, and 3.33 wireworms per m2 were confirmed in the Brassica juncea treatment group. After the application of the products or ploughing of the cruciferous vegetables, strings were found only in the soil of the Rasti Soil Tonic and Brassica carinata treatment groups (Figure 1A).
In the second year of research, we also recorded the highest average number of wireworms in the soil before ploughing of the crucifers or applying the products to the soil surface. During the only soil excavation after the application, we detected wireworms only in the Brassica juncea treatment group, specifically less than 1 wireworm per m2 (Figure 1B).
In the third year of the research, on the first soil excavation date, we found 5 wireworms per m2 in the Brassica carinata treatment group, 3 wireworms per m2 in the Brassica juncea treatment group, and 2 wireworms per m2 in the Nemakil 330 treatment group. On the first soil excavation date after applying the products to the soil surface or after ploughing in the crucifers, we still found more than 2 wireworms per m2 in the Brassica juncea treatment group. On the aforementioned date, no wireworms were found in the soil excavations in the Nemakil 330 and Rasti Soil Tonic treatment groups (Figure 1C).

3.2. Damage on Tubers Due to Wireworm Feeding According to First-Order Treatments

We found that the average number of holes on potatoes differed according to the fraction in the first (F2,45 = 12.10, p < 0.05), second (F2,60 = 16.14, p < 0.05), and third (F2,49 = 17.10, p < 0.05) years of the experiment. Similarly, tuber damage depended on the type of treatment in the first (F4,16 = 8.05, p < 0.05), second (F4,16 = 12.10, p < 0.05), and third (F4,16= 8.90, p < 0.05) years.
In the first year of the research, we demonstrated the highest number of holes in small-fraction tubers in the positive control group (0.15 ± 0.08 holes per tuber), while in medium-fraction tubers, we noted the highest average number of holes for the Nemakil 330 treatment (0.46 ± 0.24), and the least damage on tubers from this fraction was found in the positive control group (0.20 ± 0.08 holes per tuber). The healthiest tubers of the largest fraction were found in the Rasti Soil Tonic G treatment group (0.36 ± 0.0 holes/tuber). In the second year of the research, no damage was recorded on the small and medium tubers grown using the Brassica carinata treatment, while the lowest number of holes on large tubers was found in the Brassica juncea treatment group (0.07 ± 0.05). The average number of holes due to wireworm feeding was the lowest in the Brassica juncea treatment group for small tubers (0.10 ± 0.05 holes/tuber), medium-fraction tubers were least damaged in the Rasti Soil Tonic G treatment group (0.16 ± 0.07 holes/tuber), and for large-fraction tubers, the least damaged were the tubers from the Brassica juncea treatment group (0.33 ± 0.16 holes per tuber)
In the first year, we recorded the lowest average number of holes on tubers in the positive control (0.25 ± 0.09) and Rasti Soil Tonic treatment (0.25 ± 0.07) groups (Figure 2). Detailed statistical descriptions for Figure 2, Figure 3 and Figure 4 are given in the Supplementary File.
In the second year, the Brassica carinata, Brassica juncea, and Rasti Soil Tonic G treatments stood out in the same regard, with 0.05 ± 0.05, 0.08 ± 0.05, and 0.08 ± 0.04 holes per tuber, respectively (Figure 3). The average number of holes per tuber in the last year of the research was among the lowest in the Brassica juncea (0.31 ± 0.17 holes/tuber) and Rasti Soil Tonic G (0.32 ± 0.13 holes/tuber) treatment groups (Figure 4).

3.3. Damage on Tubers Due to Wireworm Feeding According to Second-Order Treatments

We found that the average number of holes on potato tubers differs according to the potato fraction in the first (F2,45 = 7.14, p < 0.05), second (F2,60 = 11.30, p < 0.05), and third (F2,49 = 19.60, p < 0.05) years of the experiment. Similarly, tuber damage was affected by the treatment in the first (F4,16 = 10.70, p < 0.05) and second (F4,16 = 13.13, p < 0.05) years, while no such differences were detected in the third year (F4,16 = 21.30, p = 0.0927).
In the first year of the research, we found the largest average extent of damage in the EPN treatment group (0.13 ± 0.07 holes per tuber), and 0.22 ± 0.08 holes per tuber were confirmed for the medium fraction of tubers that were sprayed with the EPN product (Figure 5). In the second year, the largest extent of damage was found on the tubers from the negative control group (0.18 ± 0.08 holes per tuber), with medium- and large-fraction tubers being more severely damaged (Figure 6). In the third year, we did not find differences in the average number of holes per tuber based on the treatment (Figure 7). On average, the small-fraction tubers were most damaged in the zeolite + ½ EPF + ½ EPN treatment group. Detailed statistical descriptions for Figure 5, Figure 6 and Figure 7 are given in the Supplementary File.

3.4. Display of Average Number of Holes/Tuber by Individual Treatments

We found that the average number of holes per potato tuber depends on the year of assessment (F2,55 = 10.06, p < 0.05). The influence of individual combinations was observed in the first year (F24,130 = 99.15, p < 0.05), the second year (F24,130 = 140.30, p < 0.05), and the third year of the experiment (F24,130 = 150.16, p < 0.05).
In the first year (Figure 8), we found the highest number of holes per tuber (an average of almost 1 borehole per tuber) on tubers where Brassica carinata was used as the first-order treatment while zeolites in combination with a reduced concentration of entomopathogens were used as the second-order treatment. In the second year (Figure 9), for all second-order treatments involving Brassica carinata as the first-order treatment, the extent of damage on tubers did not exceed 0.2 boreholes per tuber. In the third year (Figure 10), following the lowest extent of damage per tuber in the Brassica carinata treatment group, the EPN treatment stood out (an average of 0.2 holes per tuber).
While the combination of insecticide use in both first- and second-order treatments did not result in undamaged tubers, in the combination where Brassica juncea was used as the first-order treatment and an insecticide was added for the second-order treatment, we produced almost undamaged tubers in two out of the three years of research. In two out of the three years of research, when using Brassica juncea (first-order treatment) and the combination of zeolites plus half the concentration of entomopathogens, we recorded an average of less than 0.4 holes per tuber, and in the second year of the research, the tubers from the abovementioned combination of methods were undamaged.
Regarding the solitary use of the Nemakil 330 product (only as a first-order treatment), the average number of holes per tuber did not exceed 0.6 holes per tuber across all three years. When we used the Rasti Soil Tonic G product as the first-order treatment and added the combination of zeolites plus half the concentration of entomopathogens as the second-order treatment, we found damage that did not exceed 0.2 holes per tuber in all three years of research.

3.5. Average Tuber Yield in First-Order Treatments

We found that the average tuber yield differed significantly according to fraction in the first (F2,70 = 25.12, p < 0.05), second (F2,65 = 30.10, p < 0.05), and third (F2,63 = 27.27, p < 0.05) years of research. We also found significant differences in the average total yield among treatments in the first (F4,83 = 2.63, p < 0.05) and second (F4,50 = 7.66, p < 0.05) years, while no differences in the average total yield were found in the third year of research (F4,42 = 9.15, p = 0.0675).
In the first year of research, the average yield of small-fraction tubers was among the lowest in the positive control group (1.30 ± 0.14 t/ha), while we recorded a yield of 1.72 ± 0.17 t/ha in the Brassica carinata treatment group. The average yield of medium-fraction tubers stood out in the Brassica juncea treatment group, where we recorded 5.71 ± 0.38 t/ha. The average yield of large-fraction tubers was highest in the Brassica juncea treatment group, where we detected almost 9 t/ha. The average total yield did not exceed 12 t/ha in the Brassica carinata treatment group, while we recorded 16t/ha in the Brassica juncea treatment group (Figure 11A).
Small-fraction tubers weighed almost 2t/ha when we used Brassica juncea as the first-order treatment. The highest yield of medium-fraction tubers (almost 6t/ha) and the highest yield of larger tubers (almost 7 t/ha) were also found in the Brassica juncea treatment group. The average total yield was among the lowest in the Brassica carinata treatment group, where it exceeded 6 t/ha. The average total yield was among the highest in the Brassica juncea and Rasti Soil Tonic treatments, reaching 14 t/ha (Figure 11B).
The average yield of small-fraction tubers did not exceed 5 t/ha in any of the treatment groups. We did not find significant differences among them. We also did not find significant differences in the average yield of medium-fraction tubers, as none exceeded 6 t/ha. In the Brassica juncea treatment group, we recorded the lowest average yield of large-fraction tubers (25.55 ± 2.52 t/ha), but this did not differ significantly compared to the average yields of the large fraction in the other treatments. We found no differences in the average total yield among the individual treatments, and for all first-order treatments, it was higher than 30 t/ha (Figure 11C).

3.6. Average Tuber Yield in Second-Order Treatment

We found that the average yield differed significantly according to the tuber fraction in the first (F2,70 = 30.40, p < 0.05), second (F2,65 = 35.12, p < 0.05), and third (F2,63 = 30.05, p < 0.05) years of research. We also found differences in the average total yield among treatments in the first (F4,83 = 7.07, p < 0.05) and second (F4,50 = 7.66, p < 0.05) years, while no differences in the average total yield were found in the third year of research (F4,42 = 20.40, p = 0.07255). The sorting of potatoes is presented in the Supplementary File.
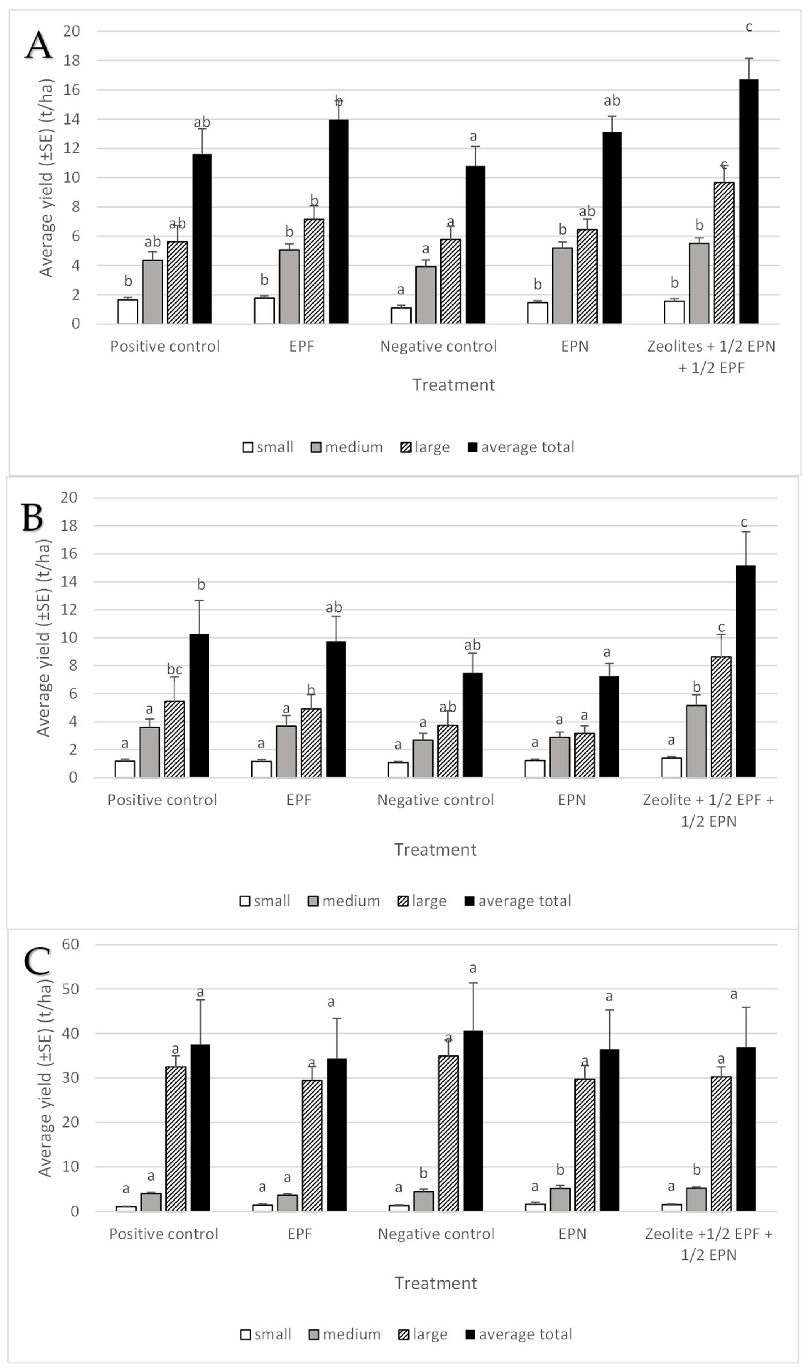
The average yield of small-fraction tubers did not exceed 2 t/ha for any of the second-order treatments, although the lowest yield of small-fraction tubers was found in the negative control group (1.10 ± 0.17 t/ha). The average yield of medium-fraction tubers was again among the lowest in the negative control group, at 3.92 ± 0.47 t/ha. The average yield of large-fraction tubers (almost 10 t/ha) was significantly higher when we used zeolites in combination with half the concentration of entomopathogens as the second-order treatment, which were applied to the tubers during planting and to the soil surface just before potato hilling. We also confirmed one of the highest average total yields in the aforementioned treatment group, namely 16 t/ha (Figure 12A).
Figure 11. Average tuber yield by fraction according to treatment and average total potato yield in first-order treatments in 2023 (A), 2024 (B), and 2025 (C) (letters indicate differences within the fraction among individual treatments). Details from the statistical analysis are presented in the Supplementary File.
Figure 11. Average tuber yield by fraction according to treatment and average total potato yield in first-order treatments in 2023 (A), 2024 (B), and 2025 (C) (letters indicate differences within the fraction among individual treatments). Details from the statistical analysis are presented in the Supplementary File.
Agronomy 15 02831 g011
Figure 12. Average tuber yield by fraction according to treatment and average total potato yield in second-order treatments in the years 2023 (A), 2024 (B), and 2025 (C) (letters indicate differences within the fraction among individual treatments or the yield category (average total) among treatments). Details from the statistical analysis are presented in the Supplementary File.
Figure 12. Average tuber yield by fraction according to treatment and average total potato yield in second-order treatments in the years 2023 (A), 2024 (B), and 2025 (C) (letters indicate differences within the fraction among individual treatments or the yield category (average total) among treatments). Details from the statistical analysis are presented in the Supplementary File.
Agronomy 15 02831 g012
In 2024, we found low average yields of small-fraction tubers across all the second-order treatments, and the yield did not exceed 1.5 t/ha in any of the treatment groups. The average yield of the medium (approximately 5 t/ha) and large (approximately 8 t/ha) fractions stood out with the combined use of zeolites and half the concentration of both the studied entomopathogens. The average total yield was also highest in the aforementioned treatment group, amounting to 14 t/ha (Figure 12B).
When we compared the average total yield among individual second-order treatments, we did not find significant differences. However, the average total yield was higher than 30 t/ha for all of them. Similarly, the average yield of large-fraction tubers was higher than 30 t/ha in all treatment groups. The average yield of medium-fraction tubers did not exceed 10 t/ha in any of the treatment groups, and the average yield of the small fraction did not exceed 2t/ha in any of the treatment groups (Figure 12C).

3.7. Display of Average Tuber Yield by Individual Treatments

We found that the average yield differed among the individual combinations in the first (F24,130 = 130.14, p < 0.05), second (F24,130 = 141.12, p < 0.05), and third (F24,130 = 154.60, p < 0.05) years of research.
In the first year of research, we found some of the highest yields for the combination of the Brassica juncea treatment and the positive control (almost 22 t/ha) and for the combination of the Rasti Soil Tonic G product (first-order treatment) and zeolites plus half the concentration of entomopathogens (almost 23 t/ha). The lowest yields in the first year were found in the positive control treatment group (first- and second-order treatments), where the yield did not exceed 4 t/ha. Similarly, the yield did not exceed 4 t/ha for the combination of the Nemakil 330 treatment (first order) and the negative control (second order) (Figure 13).
In the second year of research, we obtained a yield of 19.19 ± 0.40 t/ha for the combination of Brassica juncea (first order) and spraying with EPF (second order). With the combination of the Rasti Soil Tonic G product and zeolites with half the concentration of entomopathogens, we achieved a yield of more than 20 t/ha. On average, the yields were lowest when we used the crucifer Brassica carinata (first order) and the following second-order treatments: positive control (3.40 ± 0.3 t/ha), EPF (2.68 ± 0.15 t/ha), negative control (2.55 ± 0.20 t/ha), EPN (2.95 ± 0.10 t/ha), and zeolites in combination with half the concentration of entomopathogens (3.12 ± 0.25 t/ha) (Figure 14).
In the third year of research, we obtained a yield of more than 40 t/ha for the following treatment combinations: Brassica carinata (first order) with positive control (second order), positive control (first order) with negative control (second order), a product based on EPN, and the treatment where we used half the concentration of entomopathogens in combination with zeolites. With the solitary use/sowing of the crucifer Brassica juncea (first order), we also achieved a yield higher than 40 t/ha. Similarly, the solitary use of the Nemakil 330 product led to the highest yield in the third year of research, as we recorded approximately 50 t/ha of potatoes in this treatment group. When we applied Rasti Soil Tonic G as the first-order treatment and zeolites plus half the concentration of entomopathogens as the second-order treatment, we also recorded a yield of almost 40 t/ha (Figure 15).

3.8. Chemical Analysis of Soil

According to the analysis, P2O5 differed between treatments in the years 2023 (F4,16 = 15.14; p < 0.05), 2024 (F4,16 = 19.13, p < 0.05), and 2025 (F4,16 = 20.10, p < 0.05). There was also a difference between treatments regarding the K2O value in the years 2023 (F4,16 = 15.15, p < 0.05), 2024 (F4,16 = 20.13, p < 0.05), and 2025 (F4,16 = 14.12, p < 0.05). The treatments also influenced the pH value in the years 2023 (F4,16 = 10.14, p < 0.05), 2024 (F4,16 = 24.12, p < 0.05), and 2025 (F4,16 = 9.09, p < 0.05), as well as influencing organic matter in 2023 (F4,16 = 16.10, p < 0.05), 2024 (F4,16 = 22.55, p < 0.05), and 2025 (F4,16 = 11, p < 0.05).
The P2O5 content was among the highest in the first year in samples taken from the Nemakil 330 treatment group, while a significantly lower content was recorded in samples where the crucifer Brassica carinata was sown. The P2O5 content in samples taken from the Brassica carinata treatment group was also among the lowest in the second year of research (19.25 mg/100 g of sample). The P2O5 content in soil samples taken from the Brassica carinata treatment group was among the highest in the third year of research (36.20 ± 6.93 mg/100 g of sample), but we did not find significant differences compared to the other treatments. The K2O content was among the highest in the first two years in the treatment where we used Brassica juncea, while in the third year, the highest K2O content was found in samples from the Rasti Soil Tonic G treatment group. In all three years, the lowest pH value was confirmed in soil samples where we used Brassica carinata. The organic matter content stood out in the Nemakil 330 treatment group in the first and third years, while the largest amount of organic mass in the second year of research was detected in samples taken from the Brassica carinata and Brassica juncea treatment groups. Details are presented in the Supplementary File, specifically Table S2.

4. Discussion

In our research, we focused on studying the effectiveness of various environmentally acceptable methods for wireworm control to reduce the damage they cause to potato tubers. In addition to the primary goal, i.e., pest control or damage reduction (holes) in tubers, we were also interested in the effect of these methods on potato yield and key soil parameters. We studied various environmentally acceptable wireworm control methods in the potato field through both solitary and combined use, as we were primarily interested in the synergistic effects of their combined application. It has already been confirmed in several cases that the solitary use of environmentally acceptable methods does not ensure satisfactory efficacy in controlling wireworms [15,16,20,21], while their combined use has resulted in greater effectiveness in reducing the harmfulness of these important soil pests [22,23].
The timing of product application was carefully adjusted to the bionomics of the target pest group and the specific instructions of the manufacturers to ensure maximum effectiveness of the treatments. In Slovenia, previous studies on biofumigation for wireworm control have used rapeseed, oilseed radish, white mustard, oilseed rape, and kale [16], but their efficacy was negligibly low. In our research, we included two Brassica species known for their high glucosinolate content [8], namely Ethiopian mustard and brown mustard. There are several ways to incorporate crucifers into the soil [8]; in our research, we ploughed the mulched plant mass into the soil. The actual effect of the plant mass intended for biofumigation on the yield of the cultivated plants has been very rarely explained in previous research, as most of these studies were conducted in pots, e.g., regarding the use of brown mustard (Brassica juncea) [6]. Brassica carinata is supposed to enable easier adaptation of plants to summer drought or optimization of plant growth due to dry springs [24].
In our research, the potato yield among combinations that included Brassica carinata differed in the first two years, but there were no differences in the third year. This could be attributed to the amount of precipitation in 2025, as June was modest in rainfall, and due to the smaller amount of precipitation in spring (compared to the ten-year average), the water reserves were more distributed, enabling plant growth. The combination of the positive control in the first- and second-order treatments represents the lowest yields in all years of the experiment, which can be attributed to the fact that the remaining first-order treatments (Nemakil 330, Rasti Soil Tonic G, and the two types of crucifers) also function as fertilizers [25].
High tuber yields were achieved in every year of the three-year study, and this successful outcome was driven by two treatments: Rasti Soil Tonic G (comprising zeolite and unlisted plant extracts) and the mixture of zeolites and entomopathogens at half their standard concentration. The product Nemakil 330, characterized by a substantial proportion of organic matter and supplemented with Neem cake and castor meal, exhibited a synergistic interaction when used as a first-order treatment with the zeolite and half-strength entomopathogen mixture. The addition of Neem cake and castor meal, specifically, contributed to reducing the degree of wireworm feeding damage on potato tubers. Azadirachtin, the main active substance in Neem cake, acts as a repellent to wireworms [26], while castor acts as an insecticide [27]. The organic matter in the Nemakil 330 product, on the other hand, acts as a fertilizer. In the literature, we found positive effects of zeolite use on soil [28], as they improve the soil structure, etc. The potato yields, with the combined use of the Rasti Soil Tonic G product and zeolites in combination with entomopathogens, always exceeded 20 t/ha, and even reached 40 t/ha in the last year. The application of zeolites has been shown to positively affect potato yield, particularly in irrigated production systems [29]. Notably, zeolite application reduced water consumption. This suggests that incorporating zeolites into potato production systems could significantly improve efficiency across Europe by mitigating water shortages—a growing concern that negatively impacts tuber bulking [1]—and reducing the overall need for irrigation.
Among the entomopathogenic fungi recognized for having high efficacy against wireworms, Metarhizium brunneum [12] and Metarhizium anisopliae [5] are frequently cited. However, due to regulatory restrictions on their use in Slovenia, our research utilized Beauveria bassiana ATCC 74040 [30], which is locally approved for wireworm management on potato crops.
For the control of wireworms in potatoes, the most commonly referenced entomopathogenic nematodes are Heterorhabditis bacteriophora and Steinernema feltiae [5]. In our study, we selected a commercial product based on S. feltiae, as it is the only species currently registered in Slovenia for wireworm control [31]. By applying a combination of the entomopathogenic fungi and nematode products at a reduced concentration along with the addition of zeolite, we achieved control results that were statistically comparable to those of the positive control treatment.
Tuber damage reached its peak significance in the third year of the study. We attribute this increased damage to the crop rotation history [9]; specifically, the field’s preceding long-term grass cover provided an extremely favourable habitat for wireworm reproduction [32], which consequently led to a higher incidence of damaged tubers [3]. Across all years of research, we found no statistical differences in the average number of holes per tuber among the first-order treatments. However, a consistent pattern emerged: damage intensity varied significantly based on tuber size. Specifically, larger tubers consistently exhibited a greater number of wireworm feeding holes across all three years of the experiment [16,33].
During the first two years of the experiment, a significant reduction in the average number of holes per tuber was observed among the second-order treatments when utilizing the combination of zeolites and a reduced concentration of entomopathogens (zeolite + 1/2 EPN + ½ EPF). The level of damage recorded in this specific treatment group was statistically comparable to the results achieved using the positive control.
These findings underscore the critical importance of appropriate entomopathogen species selection for effective wireworm control, as studies indicate that choosing an unsuitable species can lead to high ineffectiveness [34]. Furthermore, our results align with prior research [10], demonstrating that entomopathogenic fungi are more effective when combined with other environmentally sustainable methods, such as the use of winter oats as a trap crop [11].
Despite the fact that the average amount of precipitation in the first two years of research was higher than the ten-year average, this did not contribute to more effective action of the entomopathogens, which require soil moisture for optimal functioning [7].
All treatment methods investigated in our study demonstrated significant efficacy or repellent effects, as evidenced by a statistically significant reduction in the density of wireworms (individuals per m2) following application, as determined by soil excavations.
Our research corroborated the previously documented insecticidal effect of Brassica juncea and Brassica carinata on wireworms [7].
In a study on the effect of cruciferous seed meal on soil microorganisms, no negative effects were found [24], despite the fact that the concentration of glucosinolates and other substances in the meal was significantly higher than in the mulched and subsequently ploughed above-ground parts of the crucifers. The authors also found that soil amendment with Brassica carinata seed meal improved the fertility of the soil, since this method has shown positive effects in terms of increasing the total organic carbon content and humified carbon in the soil. With this, we can also confirm for our research the absence of undesirable effects from glucosinolate decomposition products and their suitability for environmentally friendly methods of controlling harmful soil-borne organisms.
According to the manufacturer’s instructions, the Nemakil 330 product [35] contains 3% total phosphorus pentoxide, which is also evident in the soil analysis samples, as the this compound is most abundant in the Nemakil 330 soil samples. However, this surplus did not significantly affect the yield, as phosphorus does not represent a critical element in potato fertilization [36].

5. Conclusions

To sum up, biofumigation as a method is time-consuming. It took us a longer period of time to implement this method. We waited for the cruciferous cover crops to reach full bloom before mulching and ploughing them. It would have been easier to select seed meal from the chosen crucifers for application. This would also have made it easier to control the content of incorporated glucosinolates. According to the guidelines for the application of nematodes, they should be applied as a soil drench or through an irrigation/spraying system. Therefore, the coverage of the root zone is larger. As concluded in our study, application timing for nematodes is important. It should be carried in early spring. The combination of zeolites (Rasti Soil Tonic G) and half the concentration of entomopathogens (zeolite + 1/2 EPN + ½ EPF) consistently achieved the highest potato yields (over 40 t/ha in the final year) across all three years of the experiment. The selected crucifers also showed biofumigation potential in the field trials, as they similarly reduced the number of wireworms in the soil. The combined use of products (especially zeolites and entomopathogens) achieved comparable results in reducing tuber damage to those achieved using the positive control, which confirms that the combined use of environmentally friendly protection methods can replace or complement conventional methods. All studied methods demonstrated efficacy in reducing the wireworm population in the soil, as the number of wireworms per m2 significantly decreased after their application.

Supplementary Materials

The following supporting information can be downloaded at: https://www.mdpi.com/article/10.3390/agronomy15122831/s1, Figure S1: Experimental field at the Laboratory Field of the Biotechnical faculty of Ljubljana; Figure S2: Two different wild Brassica species prior to mulching; Figure S3: Preparation of the land before the application of field before application of treatments from first order and the application of zeolite prior/before potato planting; Figure S4: Products Nemakil 330 and Rasti Soil Tonic G, which were applied on the field surface prior potato planting; Figure S5: Potato planting and hilling potatotes with application of entomopathogenic nematodes and fungi in rows with potato; Figure S6: Potato tuber with hole caused by a wireworm and the wireworm itself on the soil surface; Figure S7: Potato yield in the 2024 experiment and sorting of potatotes after the experiment in 2025; Table S1: Average daily temperature (°C) and average precipitation amount for the period April-August in all three years (2023–2025) of the experiment and comparison with the 10-year average; Table S2: Values of four soil parameters in five 1st-order treatments over three years of research.

Author Contributions

T.B.—investigation, formal analysis, writing—original draft and editing, investigation, methodology, author of visual material; S.A.Z.—formal analysis, F.V.—methodology, S.T.—investigation, writing—original draft and editing, supervision, project administration, author of visual material. All authors have read and agreed to the published version of the manuscript.

Funding

This research was conducted within the L4-4554 applied research project, which received financial support from the Slovenian Research and Innovation Agency (ARIS) and the Ministry of Agriculture, Forestry, and Food of the Republic of Slovenia (MKGP).

Data Availability Statement

The data presented in this study are available on request from the corresponding author due to privacy restrictions.

Acknowledgments

Jaka Rupnik, Matej Vidrih, Žiga Laznik, Luka Batistič, Miha Curk, Aleksander Bobnar, Boštjan Medved Karničar, Nina Pečarič, Eva Indihar, and Monica Novljan are acknowledged for their technical assistance. The study was performed at the Development and Research Centre for Studying the Growth and Development of Agricultural Crops in Ljubljana (IC RRC-AG [IO-0022-0481-001]).

Conflicts of Interest

The authors declare that they have no competing financial interests or personal relationships that could have appeared to influence the work reported in this paper.

References

  1. Van Loon, M.P.; Alimagham, S.; Abuley, I.K.; Boogaard, H.; Boguszewska-Mankovska, D.; Ruiz de Galarreta, J.; Geling, E.H.; Kryvobok, O.; Kryvoshein, O.; Landeras, G.; et al. Insights into the potential of potato production across Europe. Crops Environ. 2025, 4, 97–106. [Google Scholar] [CrossRef]
  2. Askar, A.G.; Yűksel, E.; Bozbuǧa, R.; Ȍcal, A.; Kȕtȕk, H.; Dincer, D.; Canhilal, R.; Dababat, A.A.; Imren, M. Evaluation of entomopathogenic nematodes against common wireworm species in potato cultivation. Pathogens 2023, 12, 288. [Google Scholar] [CrossRef] [PubMed]
  3. Poggi, S.; Le Cointe, R.; Lehmhus, J.; Plantegenest, M.; Furlan, L. Alternative strategies for controlling wireworms in field crops: A review. Agriculture 2021, 11, 436. [Google Scholar] [CrossRef]
  4. Hermann, A.; Brunner, N.; Hann, P.; Wrbka, T.; Kromp, B. Correlations between wireworm damages in potato fields and landscape structure at different scales. J. Pest Sci. 2013, 86, 41–51. [Google Scholar] [CrossRef]
  5. Ansari, M.A.; Evans, M.; Butt, T.M. Identification of pathogenic strains of entomopathogenic nematodes and fungi for wireworms control. Crop Prot. 2009, 28, 269–272. [Google Scholar] [CrossRef]
  6. Sukovata, L.; Jaworski, T.; Kolk, A. Efficacy of Brassica juncea granulated seed meal against Melolontha grubs. Ind. Crops Prod. 2015, 70, 260–265. [Google Scholar] [CrossRef]
  7. Nikoukar, A.; Rashed, A. Integrated Pest Management of wireworms (Coleoptera: Elateridae) and the Rhizosphere in Agroecosystems. Insects 2022, 13, 769. [Google Scholar] [CrossRef]
  8. Batistič, L.; Bohinc, T.; Trdan, S. Biofumigation with Brassica species and their derivates: A comprehensive review of an innovative pest control strategy targeting wirworms (Coleoptera: Elateroidae). Agronomy 2025, 15, 967. [Google Scholar] [CrossRef]
  9. Simon, L.M.; Obour, A.K.; Holman, J.D.; Roozeboom, K.L. Long-term cover crops management effects on soil properties in dryland cropping systems. Agric. Ecosyst. Environ. 2022, 328, 107852. [Google Scholar] [CrossRef]
  10. Bohinc, T.; Trdan, S. Alternative methods for controlling wireworms (Coleoptera, Elateridae) in the fields. Acta Agric. Slov. 2013, 101, 137–147. (In Slovenian) [Google Scholar]
  11. Rogge, S.A.; Mayerhofer, J.; Enkerli, J.; Bacher, S.; Grabenweger, G. Preventive application of an entomopathogenic fungus in cover crops from from wireworms notrol. BioControl 2017, 62, 613–623. [Google Scholar] [CrossRef]
  12. Reinbacher, L.; Bacher, S.; Knecht, F.; Schweizer, C.; Sostizzo, T.; Grabenweger, G. Preventive field application of Metarhizium brunneum in cover crops for wireworms control. Crop Prot. 2021, 150, 105811. [Google Scholar] [CrossRef]
  13. Bohinc, T.; Vučajnk, F.; Trdan, S. The efficacy of environmentally acceptable products fort he control of major potato pests and diseases. Zemdirbyste 2019, 106, 135–142. [Google Scholar] [CrossRef]
  14. Barcics, F.; Haubruge, E.; Verheggen, F.J. Wireworms’ management: And overview of the existing methods, with particular regards to Agriotes spp. (Coleoptera: Elateridae). Insects 2013, 4, 117–152. [Google Scholar] [CrossRef]
  15. Lojewski, J.A.; Wenninger, E.J. Comparison of Two Different Statistical Methods for Assessing Insecticide Efficacy in Small Plot Trials Targeting Wireworms, Limonius californicus (Mannerheim) (Coleoptera: Elateridae), in Potato. Am. J. Potato Res. 2019, 96, 578–587. [Google Scholar] [CrossRef]
  16. Laznik, Ž.; Trdan, S.; Vučajnk, F.; Bohinc, T.; Vidrih, M. Cruciferous plants’ use as biofumigants in potato against wireworms. Acta Agric. Scand. Sect. B—Soil Plant Sci. 2014, 64, 606–614. [Google Scholar] [CrossRef]
  17. Slovenian Environmental Agency. Available online: https://meteo.arso.gov.si/met/sl/app/webmet/#webmet==8Sdwx2bhR2cv0WZ0V2bvEGcw9ydlJWblR3LwVnaz9SYtVmYh9iclFGbt9SaulGdugXbsx3cs9mdl5WahxXYyNGapZXZ8tHZv1WYp5mOnMHbvZXZulWYnwCchJXYtVGdlJnOn0UQQdSf (accessed on 1 November 2025).
  18. Statgraphics Centurion XIX; Statpoint Technologies Inc.: Warrenton, VA, USA, 2020.
  19. R Core Team. R: A Language and Environment for Statistical Computing; R Foundation for Staistical Computing: Vienna, Austria, 2024. [Google Scholar]
  20. Mayerhofer, J.; Eckard, S.; Hartmann, M.; Grabenweger, G.; Widmer, F.; Leuchtmann, A.; Enkerli, J. Assessing effects of the entomopathogenic fungus Metarhizium brunneum on soil microbial communities in Agriotes spp. biological pest control. FEMS Microbiol. Ecol. 2017, 93, fix117. [Google Scholar] [CrossRef]
  21. Morton, A.; Garcia-del-Pino, F. Laboratory and field evaluation of entomopathogenic nematodes for control of Agriotes obscurus (L.) (Coleoptera: Elateridae). J. Appl. Entomol. 2017, 141, 241–246. [Google Scholar] [CrossRef]
  22. Bourdon, P.A.; Baxter, I.; Grabenweger, G.; Butt, T.M. Susceptibility of Agriotes spp. larvae (Coleoptera: Elateridae) to stress-and-kill strategies using spinosad and the entomopathogenic fungus Metarhizium brunneum. Turk. J. Zool. 2012, 45, 395–407. [Google Scholar] [CrossRef]
  23. Brunner, M.; Zeisler, C.; Neu, D.; Rotondo, C.; Rubbmark, O.R.; Reinbacher, L.; Grabenweger, G.; Traugott, M. Trap crops enhance the control efficacy of Metarhizium brunneum against a soil-dwelling pest. J. Pest Sci. 2024, 97, 1633–1645. [Google Scholar] [CrossRef]
  24. Monaci, E.; Casucci, C.; De Bernardi, A.; Marini, E.; Landi, L.; Toscano, G.; Romanazzi, G.; Vischetti, C. Brassica carinata seed meal as soil amendment and potential biofumigant. Crops 2022, 2, 233–246. [Google Scholar] [CrossRef]
  25. Chen, D.H.; Zebarth, B.J.; Goyer, C.; Comeau, L.P.; Nahar, K.; Dixon, T. Effect of Biofumigation on Population Densities of Pratylenchus spp. and Verticillium spp. and Potato Yield in Eastern Canada. Amer. J. Potato Res. 2022, 99, 229–242. [Google Scholar] [CrossRef] [PubMed]
  26. Cherry, R.; Nuessly, G. Repellency of the biopesticide, azadirachtin, to wireworms (Coleoptera: Elateridae). Florida Entomol. 2010, 93, 52–55. [Google Scholar] [CrossRef]
  27. Furlan, L. Management and biological control of wireworm populations in Europe: Current possiilities and future perspectives. IOBC/WPRS Bull. 2007, 30, 11–16. [Google Scholar]
  28. Eroglu, N.; Emekci, M.; Athanassiou, C.G. Applications of natural zeolites on agriculture and food production. J. Sci. Food Agric. 2017, 97, 3487–3499. [Google Scholar] [CrossRef]
  29. Ozbahce, A.; Fuat Tari, A.; Gonulal, E.; Simsekli, N. Zeolite for enhancing yield and quality of potatoes cultivated under water-deficit conditions. Potato Res. 2018, 61, 247–259. [Google Scholar] [CrossRef]
  30. List of Registrated Plant Protection Products. Ministry of Agriculture, Forestry and Food. Administration of the Republic of Slovenia for Food Safety, Veterirary Sector and Plant Protection. Available online: https://spletni2.furs.gov.si/FFS/REGSR/index.htm (accessed on 20 September 2025).
  31. List of Commercial Products for Biological Control. Administration of the Republic of Slovenia for Food Safety, Veterinary Sector and Plant Protection. Available online: https://www.gov.si/teme/bioticno-varstvo-rastlin/ (accessed on 10 October 2025).
  32. Saussure, S.; Plantegenest, M.; Thibord, J.B.; Larroudé, P.; Poggi, S. Management of wireworm damage in maize fields using new, landscape-scale strategies. Agron. Sustain. Dev. 2015, 35, 793–802. [Google Scholar] [CrossRef]
  33. Brunner, M.; Traugott, M. Wireworms feeding damage on potato tubers during ripening is driven by soil moisture, tuber mass, and cultivar but not by tuber CO2 respiration. SSRN 2025. [Google Scholar] [CrossRef]
  34. Ritter, C.; Richter, E. Control methods and monitoring of Agriotes wireworms (Coleoptera: Elateriade). J. Plant Dis. Prot. 2013, 120, 4–15. [Google Scholar] [CrossRef]
  35. Nemakil Technical Sheet. Available online: https://www.metrob.si (accessed on 3 November 2025).
  36. Niedziński, T.; Szymańska, M.; Łabętowicz, J.; Sosulski, T. Does the deep placement of fertilizers increase potato yoield, fertilization efficacy and reduce N20 emissions from the Soil. Agriculture 2024, 14, 368. [Google Scholar] [CrossRef]
Figure 1. Average number of wireworms per m2 according to different 1st-order treatments in 2023 (A), 2024 (B), and 2025 (C) (letters indicate differences on the assessment date among individual treatments). Details from the statistical analysis are presented in the Supplementary File.
Figure 1. Average number of wireworms per m2 according to different 1st-order treatments in 2023 (A), 2024 (B), and 2025 (C) (letters indicate differences on the assessment date among individual treatments). Details from the statistical analysis are presented in the Supplementary File.
Agronomy 15 02831 g001
Figure 2. Average number of holes due to wireworm feeding per tuber by fraction according to 1st-order treatment in 2023.
Figure 2. Average number of holes due to wireworm feeding per tuber by fraction according to 1st-order treatment in 2023.
Agronomy 15 02831 g002
Figure 3. Average number of holes due to wireworm feeding per tuber by fraction according to 1st-order treatment in 2024.
Figure 3. Average number of holes due to wireworm feeding per tuber by fraction according to 1st-order treatment in 2024.
Agronomy 15 02831 g003
Figure 4. Average number of holes due to wireworm feeding per tuber by fraction according to 1st-order treatment in 2025.
Figure 4. Average number of holes due to wireworm feeding per tuber by fraction according to 1st-order treatment in 2025.
Agronomy 15 02831 g004
Figure 5. Average number of holes due to wireworm feeding per tuber by fraction according to 2nd-order treatment in 2023.
Figure 5. Average number of holes due to wireworm feeding per tuber by fraction according to 2nd-order treatment in 2023.
Agronomy 15 02831 g005
Figure 6. Average number of holes due to wireworm feeding per tuber by fraction according to 2nd-order treatment in 2024.
Figure 6. Average number of holes due to wireworm feeding per tuber by fraction according to 2nd-order treatment in 2024.
Agronomy 15 02831 g006
Figure 7. Average number of holes due to wireworm feeding per tuber by fraction according to 2nd-order treatment in 2025.
Figure 7. Average number of holes due to wireworm feeding per tuber by fraction according to 2nd-order treatment in 2025.
Agronomy 15 02831 g007
Figure 8. Average number of holes due to wireworm feeding per tuber by individual combinations of 1st- and 2nd-order treatments in 2023.
Figure 8. Average number of holes due to wireworm feeding per tuber by individual combinations of 1st- and 2nd-order treatments in 2023.
Agronomy 15 02831 g008
Figure 9. Average number of holes due to wireworm feeding per tuber by individual combinations of 1st- and 2nd-order treatments in 2024.
Figure 9. Average number of holes due to wireworm feeding per tuber by individual combinations of 1st- and 2nd-order treatments in 2024.
Agronomy 15 02831 g009
Figure 10. Average number of holes due to wireworm feeding per tuber by individual combinations of 1st- and 2nd-order treatments in 2025.
Figure 10. Average number of holes due to wireworm feeding per tuber by individual combinations of 1st- and 2nd-order treatments in 2025.
Agronomy 15 02831 g010
Figure 13. Average tuber yield by individual combinations of 1st- and 2nd-order treatments in 2023.
Figure 13. Average tuber yield by individual combinations of 1st- and 2nd-order treatments in 2023.
Agronomy 15 02831 g013
Figure 14. Average tuber yield by individual combinations of 1st- and 2nd-order treatments in 2024.
Figure 14. Average tuber yield by individual combinations of 1st- and 2nd-order treatments in 2024.
Agronomy 15 02831 g014
Figure 15. Average tuber yield by individual combinations of 1st- and 2nd-order treatments in 2025.
Figure 15. Average tuber yield by individual combinations of 1st- and 2nd-order treatments in 2025.
Agronomy 15 02831 g015
Table 1. Summary of tested treatments in field investigation from 2022 to 2025.
Table 1. Summary of tested treatments in field investigation from 2022 to 2025.
No. 1Treatment of 1st OrderTreatment of 2nd Order
1Brassica carinataPositive control
2EPF (entomopathogenic fungi)
3Negative control
4EPN (entomopathogenic nematodes)
5Zeolite + ½ EPN + ½ EPF
6Positive controlPositive control
7EPF (entomopathogenic fungi)
8Negative control
9EPN (entomopathogenic nematodes)
10Zeolite + ½ EPN + ½ EPF
11Brassica junceaPositive control
12EPF (entomopathogenic fungi)
13Negative control
14EPN (entomopathogenic nematodes)
15Zeolite + ½ EPN + ½ EPF
16Nemakil 330Positive control
17EPF (entomopathogenic fungi)
18Negative control
19EPN (entomopathogenic nematodes)
20Zeolite + ½ EPN + ½ EPF
21Rasti Soil Tonic GPositive control
22EPF (entomopathogenic fungi)
23Negative control
24EPN (entomopathogenic nematodes)
25Zeolite + ½ EPN + ½ EPF
Table 2. Summary of agro-technical measures used in field investigation from 2022 to 2025.
Table 2. Summary of agro-technical measures used in field investigation from 2022 to 2025.
Agro-Technical MeasuresYear 2023Year 2024Year 2025Additional Information
Pre-sowing tillage15 October 202230 August 202325 August 2024Two-furrow plough (type: LEMKEN VARIOPAL 5, 2 N 100, Lemken GmbH & Co., KG, Alpen, Germany) and
power harrow (type: LEMKEN ZIRKON 7, Lemken GmbH & Co. KG, Germany) in plots with Brassicas
Sowing of Brassica species (Brassica juncea, Brassica carinata)21 October 20227 September 202330 August 2024Dosage for Brassica juncea: 20 kg/ha; dosage for Brassica carinata: 30 kg/ha
Sowing machine (type: AMAZONE 09 2500 SPECIAL; Amazon Werke H. Dreyer SE & Co. KG, Hasbergen, Germany)
Brassica fertilization5 March 202310 March 202417 March 2025Applied KAN (27% N)
Supplementary sowing of Brassica juncea and Brassica carinata22 March 2023NoneNoneDosage for Brassica juncea: 20 kg/ha; dosage for Brassica carinata: 30 kg/ha
Mulching of crucifers (Brassica species)28 May 202330 April 202412 May 2025ELITE tractor mulcher (producer: Ino Brežice, Krška vas, Slovenia)
Field—ploughing28 May 202330 April 202412 May 2025Two-furrow plough (type: LEMKEN VARIOPAL 5, 2 N 100)
Shallow tillage29 May 20238 May 202414 May 2025Power harrow (type: LEMKEN ZIRKON 7) at depth of 10 cm
Application of products Nemakil 330, Rasti Soil Tonic G and zeolites and light incorporation into the soil. Application of insecticide (product: Force Evo) for positive control)29 May 202311 May 202414 May 2025Light incorporation into the soil was performed manually
Dosage for Nemakil 330: 1000 kg/ha; dosage for Rasti Soil Tonic G: 20 g/1 m2
Application of products in specific/separate treatments
Application of zeolites: 1.6 t/ha
Force Evo was applied at dosage of 16 kg/ha, in positive control from 1st order and 2nd order
Potato planting and 1st application of entomopathogens29 May 202313 May 202415 May 20252023: variety ‘Belmonda’; 2024: variety ‘Twister’; 2025: variety ‘Mozart’ (supplier: Semenarna Ljubljana, Ltd., Ljubljana, Slovenia)
Entomopathogenic fungi and nematodes were applied with solitary application (100% dosage) and in combined use (at 50% concentration in plots were zeolite was applied)
For application of entomopathogens: 15 L backpack sprays were used (type: 425 CLASSIC, supplier Eurogarden, Slovenia)
Potato hilling and
2nd application of entomopathogens
12 July 202320 June 202423 June 2025Entomopathogens were applied through solitary and combined application
Potato harvesting13 September 202321 August 202415 September 2025Potato digger (type: IK-1D, producer: Technos Ltd., Žalec, Slovenia)
Potato classification15 September 202323 August 202417 September 2025Special shaking device (type: Krukowiak Strzelec M637, Brzesc Kujawski, Poland)
Potato tubers were classified into 3 fractions: small (<4 cm), medium (between 4 and 5 cm) and large (>5 cm)
Table 3. Insecticides, fungicides, and herbicides applied throughout experimental periods in years 2023, 2024, and 2025.
Table 3. Insecticides, fungicides, and herbicides applied throughout experimental periods in years 2023, 2024, and 2025.
Chemical TreatmentsActive Substance,
Supplier
Year 2023Year 2024Year 2025
Herbicides
SencorMetribuzin,
Bayer, Ltd., Ljubljana, Slovenia
18 June 202423 May 202420 May 2025
Stomp AquaPendimethalin,
Semenarna Ljubljana, Ltd., Ljubljana, Slovenia
None23 May 2024None
Fungicides
OrtivaAzoxystrobin;
Syngenta Agro, Ltd., Ljubljana, Slovenia
14 July 2023;
23 July 2023
23 July 20245 and 12 July
InfinitoPropamocard and fluopicolide,
Bayer, Ltd., Slovenia
8 August 2023
Revus TopMandipropamid and difenconazole;
Syngenta Agro, Ltd., Ljubljana, Slovenia
18 August 20238 June,
14 June,
22 June 2024
20 June, 10 August
Shirlan 500 SCFluazinam,
Certis Belchim SI, Ltd., Trzin, Slovenia
18 August 20238 June,
14 June,
22 June 2024,
23 July 2024
20 June,
7 July,
15 July,
10 August
Insecticides
Laser plusSpinosad;
Karsia, Ltd., Ljubljana, Slovenia
3 July 2023None24 June 2024;
12 July 2024
BeneviaCyantraniliprole,
Picount, Ltd., Mošnje, Slovenia
14 July 2023NoneNone
Karate Zeon 5 CSLambda-cyhalothrin;
Syngenta Agro, Ltd., Slovenia
8 August 2023NoneNone
VoliamChlorantraniliprole;
Syngenta Agro Ltd., Slovenia
None8 June 2024None
Disclaimer/Publisher’s Note: The statements, opinions and data contained in all publications are solely those of the individual author(s) and contributor(s) and not of MDPI and/or the editor(s). MDPI and/or the editor(s) disclaim responsibility for any injury to people or property resulting from any ideas, methods, instructions or products referred to in the content.

Share and Cite

MDPI and ACS Style

Bohinc, T.; Adamič Zamljen, S.; Vučajnk, F.; Trdan, S. Integrated Soil Management Strategies for Reducing Wireworm (Agriotes spp., Elateridae) Damage in Potato Fields: A Three-Year Field Study. Agronomy 2025, 15, 2831. https://doi.org/10.3390/agronomy15122831

AMA Style

Bohinc T, Adamič Zamljen S, Vučajnk F, Trdan S. Integrated Soil Management Strategies for Reducing Wireworm (Agriotes spp., Elateridae) Damage in Potato Fields: A Three-Year Field Study. Agronomy. 2025; 15(12):2831. https://doi.org/10.3390/agronomy15122831

Chicago/Turabian Style

Bohinc, Tanja, Sergeja Adamič Zamljen, Filip Vučajnk, and Stanislav Trdan. 2025. "Integrated Soil Management Strategies for Reducing Wireworm (Agriotes spp., Elateridae) Damage in Potato Fields: A Three-Year Field Study" Agronomy 15, no. 12: 2831. https://doi.org/10.3390/agronomy15122831

APA Style

Bohinc, T., Adamič Zamljen, S., Vučajnk, F., & Trdan, S. (2025). Integrated Soil Management Strategies for Reducing Wireworm (Agriotes spp., Elateridae) Damage in Potato Fields: A Three-Year Field Study. Agronomy, 15(12), 2831. https://doi.org/10.3390/agronomy15122831

Note that from the first issue of 2016, this journal uses article numbers instead of page numbers. See further details here.

Article Metrics

Back to TopTop