Modeling Soil Organic Carbon Dynamics Under Two Cropping Modes in Salinized Paddy Fields in the Yellow River Delta
Abstract
1. Introduction
2. Materials and Methods
2.1. Study Region
2.2. Experiment Design and Sample Treatment
2.3. Measurement of Soil Environmental Factor Index
2.4. Measurement of SOC and Active Components in Soil
2.5. Data Processing and Analytics
3. Results
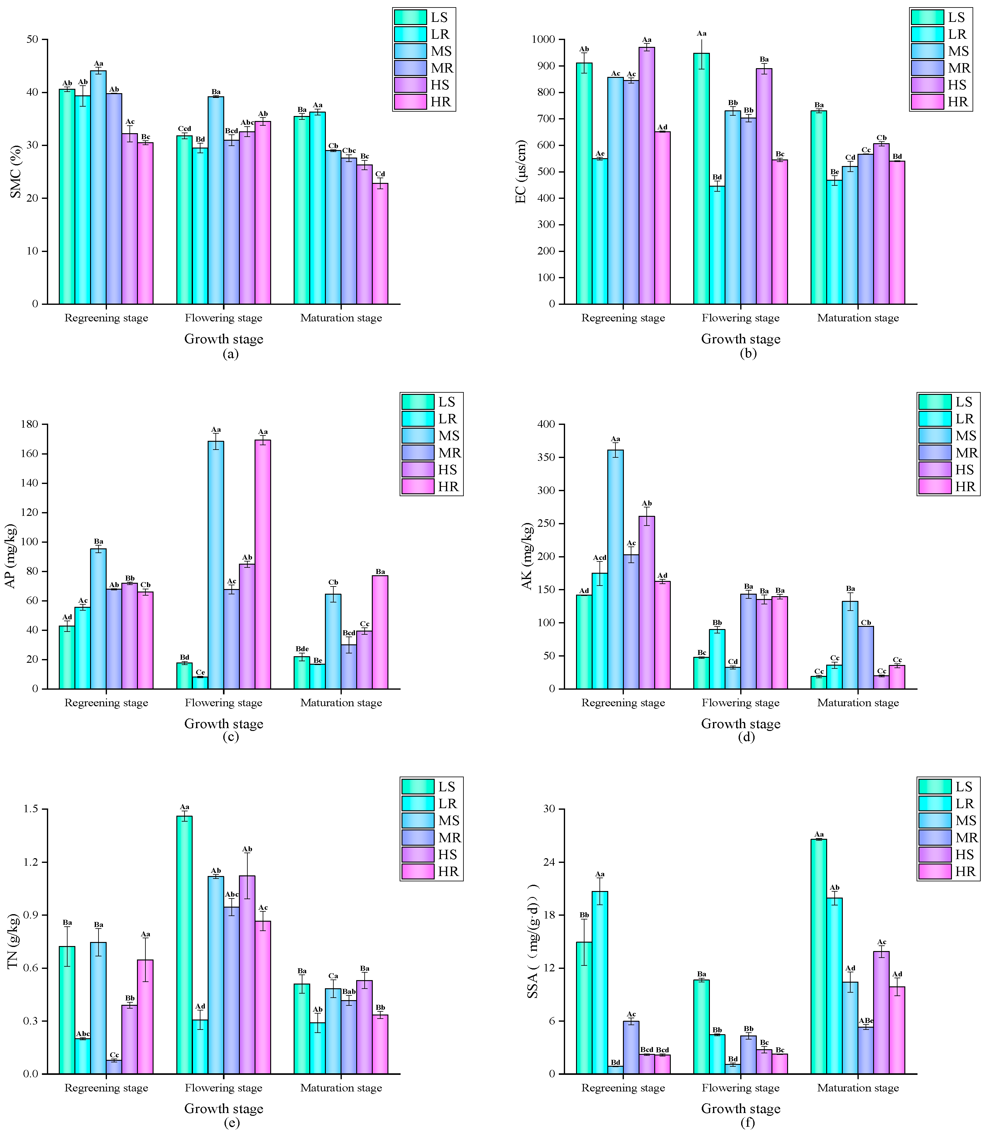
3.1. Changes in Environmental Parameters in Paddy Soils with Different Salinization Levels Under Two Cropping Patterns
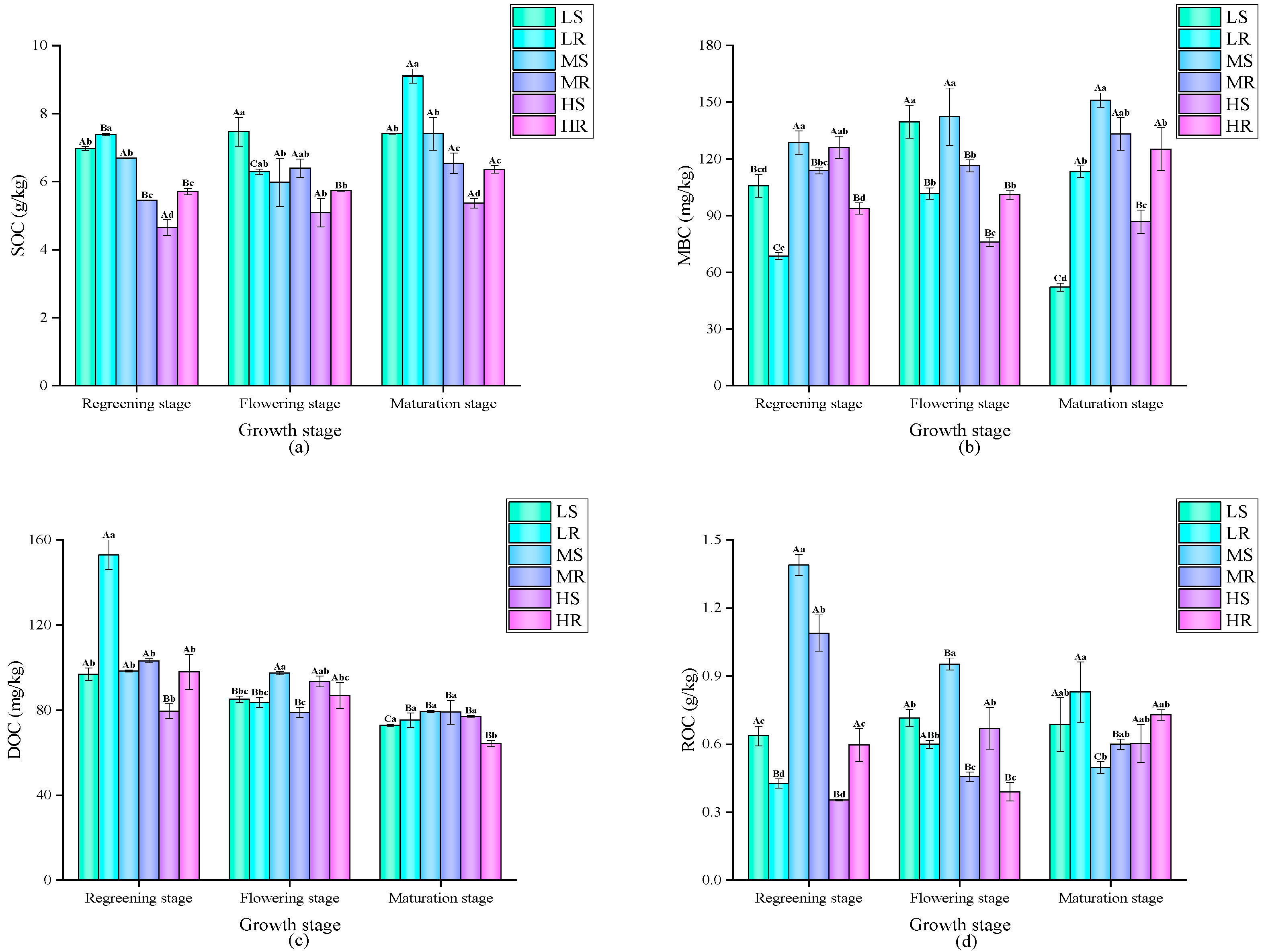
3.2. Changes in Soil Organic Carbon and Its Active Components in Paddy Soils with Different Salinization Levels Under Two Cropping Patterns
3.3. Relationship Between Soil Environmental Parameters and Soil Organic Carbon and Its Active Components
3.4. Analysis of the Impact of Soil Environmental Parameters on Soil Organic Carbon Content
3.5. Redundancy Analysis of Soil Environmental Parameters and Active Organic Carbon Components
3.6. Interaction Mechanism Between Soil Environment, SOC, and Active Components of SOC
4. Discussion
4.1. Dynamic Changes in Soil Environmental Parameters, Soil Organic Carbon (SOC), and SOC Active Components
4.2. Influence of Soil Environment on SOC and Its Active Components
4.3. Limitations and Future Prospects
5. Conclusions
Supplementary Materials
Author Contributions
Funding
Data Availability Statement
Conflicts of Interest
Abbreviations
| SMC | Soil moisture content | 
| EC | Electrical conductivity | 
| TN | Total nitrogen | 
| AP | Available phosphorus | 
| AK | Available potassium | 
| SSA | Soil sucrase activity | 
| SAA | Soil amylase activity | 
| SCA | Soil cellulase activity | 
| SOC | Soil organic carbon | 
| MBC | Microbial biomass carbon | 
| DOC | Dissolved organic carbon | 
| ROC | Readily oxidizable organic carbon | 
References
- Pistocchi, C.; Ragaglini, G.; Colla, V.; Branca, T.A.; Tozzini, C.; Romaniello, L. Exchangeable Sodium Percentage Decrease in Saline Sodic Soil after Basic Oxygen Furnace Slag Application in a Lysimeter Trial. J. Environ. Manag. 2017, 203, 896–906. [Google Scholar] [CrossRef]
- Gong, H.; Li, Y.; Li, S. Effects of the Interaction between Biochar and Nutrients on Soil Organic Carbon Sequestration in Soda Saline-Alkali Grassland: A Review. Glob. Ecol. Conserv. 2021, 26, e01449. [Google Scholar] [CrossRef]
- Daliakopoulos, I.N.; Tsanis, I.K.; Koutroulis, A.; Kourgialas, N.N.; Varouchakis, A.E.; Karatzas, G.P.; Ritsema, C.J. The Threat of Soil Salinity: A European Scale Review. Sci. Total Environ. 2016, 573, 727–739. [Google Scholar] [CrossRef]
- Cai, W.; Qin, Y.; Chen, H.; Lin, C.; Yang, J.; Zhang, W. Research Advances in the Mechanism Underlying Alternating Wet and Dry Irrigation and Biochar Affect Carbon Sequestration and Methane Emissions in Paddy Field. China Rice 2024, 30, 7–14. (In Chinese) [Google Scholar]
- Zhao, X.; Yu, W.; Li, J.; Jiang, Z. Research advances in soil organic carbon and its fractions under different management pattern. Chin. J. Appl. Ecol. 2006, 17, 2203–2209. (In Chinese) [Google Scholar]
- Sheng-zhe, E.; Ding, N.; Li, L.; Yuan, J.; Che, Z.; Zhou, H.; Shai, L. Relationship of crop yield and soil organic carbon and nitrogen under long-term fertilization in black loessial soil region on the Loess Plateau in China. Chin. J. Appl. Ecol. 2018, 29, 4047–4055. (In Chinese) [Google Scholar] [CrossRef]
- Pei, H.; Miao, Y.; Liang, A.; Liu, Q.; Hou, R. Improving Cropland Soil Water Management to Promote Soil Organic Carbon Increase through Organic Material Returning in Cold Black Soil Areas. Agric. Ecosyst. Environ. 2025, 382, 109470. [Google Scholar] [CrossRef]
- Zhang, X.; Ren, X.; Cai, L. Effects of Different Straw Incorporation Amounts on Soil Organic Carbon, Microbial Biomass, and Enzyme Activities in Dry-Crop Farmland. Sustainability 2024, 16, 10588. [Google Scholar] [CrossRef]
- Wang, Z.; Tang, H.; Huang, G.; Miao, J.; Liu, Y.; Shah, A.N.; Nawaz, M.; Ayub, M.A.; Hassan, M.U. Different Rotation and Double Straw Returning Significantly Increase Liable Organic Carbon Content and Yield of Double Cropping Paddy Field in Southern China. Int. J. Plant Prod. 2023, 17, 681–691. [Google Scholar] [CrossRef]
- Cheng, K.; Peng, S.; Li, C.; Wen, L.; Liu, L.; Luo, H.; Liu, J.; Tang, H. Effects of Long-Term Soil Tillage Practices on Soil Organic C Accumulation Characteristics in Double-Cropped Rice Paddy. Land 2024, 13, 2074. [Google Scholar] [CrossRef]
- Peng, L.; Deng, S.; Wu, Y.; Yi, W.; Zhang, Y.; Yao, X.; Xing, P.; Gu, Q.; Qi, J.; Tang, X. A Rapid Increase of Soil Organic Carbon in Paddy Fields after Applying Organic Fertilizer with Reduced Inorganic Fertilizer and Water-Saving Irrigation Is Linked with Alterations in the Structure and Function of Soil Bacteria. Agric. Ecosyst. Environ. 2025, 379, 109353. [Google Scholar] [CrossRef]
- Xu, Y.; Sheng, J.; Zhang, L.; Sun, G.; Zheng, J. Organic Fertilizer Substitution Increased Soil Organic Carbon through the Association of Microbial Necromass C with Iron Oxides. Soil Tillage Res. 2025, 248, 106402. [Google Scholar] [CrossRef]
- Ren, L.; Yang, H.; Li, J.; Zhang, N.; Han, Y.; Zou, H.; Zhang, Y. Organic Fertilizer Enhances Soil Aggregate Stability by Altering Greenhouse Soil Content of Iron Oxide and Organic Carbon. J. Integr. Agric. 2024, 24, 306–321. [Google Scholar] [CrossRef]
- Li, W.; Zhong, M.; Wang, H.; Shi, X.; Song, J.; Wang, J.; Zhang, W. Exogenous Carbon Inputs Alleviated Salt-Induced Oxidative Stress to Cotton in Salinized Field by Improving Soil Aggregate Structure and Microbial Community. Front. Plant Sci. 2025, 16, 1522534. [Google Scholar] [CrossRef] [PubMed]
- Han, Q.; Fu, Y.; Qiu, R.; Ning, H.; Liu, H.; Li, C.; Gao, Y. Carbon Amendments Shape the Bacterial Community Structure in Salinized Farmland Soil. Microbiol. Spectr. 2023, 11, e0101222. [Google Scholar] [CrossRef] [PubMed]
- Xin, Y.; Wu, Y.; Zhang, H.; Li, X.; Qu, X. Soil Depth Exerts a Stronger Impact on Microbial Communities and the Sulfur Biological Cycle than Salinity in Salinized Soils. Sci. Total Environ. 2023, 894, 164898. [Google Scholar] [CrossRef]
- Guo, Y.; Qiu, H.; Zhang, Y.; Zhang, J.; Wang, Y.; Zhang, C.; Kwadwo, A.D. Anning Dominic Kwadwo. Effects of Four Fertilization Regimes on Soil Organic Carbon Fractions and Carbon Pool Management Index of Potato Farmland. Chin. J. Soil Sci. 2021, 52, 912–919. (In Chinese) [Google Scholar] [CrossRef]
- Shi, L.; Li, C.; Tang, H.; Chen, K.; Li, W.; Wen, L.; Xiao, X. Effects of long-term fertilizer management on soil labile organic carbon fractions and hydro lytic enzyme activity under a double-cropping rice system of southern China. Chin. J. Appl. Ecol. 2021, 32, 921–930. (In Chinese) [Google Scholar] [CrossRef]
- Ma, J.; Lou, Y.; Zhou, W.; Li, Z. Effects of Long-term Fertilization on Content of Dissolved Organic Carbon in Rice Rhizosphere Soil. J. Anhui Agric. Sci. 2011, 39, 9695–9697. (In Chinese) [Google Scholar] [CrossRef]
- Guan, H.; Guo, Y.; Zhang, Y.; Liu, J.; Yin, X.; Luo, Y. Effect of Different Mode of Alternating Crop-planting on Content of Organic Carbon and Microbial Biomass Carbon in the Soil Within Tobacco Root Regions in Yunnan, China. J. Agro-Environ. Sci. 2011, 30, 133–138. (In Chinese) [Google Scholar]
- Zhang, S.; Xiang, W. Research progress in effects of land use mode on soil active organic carbon. J. Cent. South Univ. For. Technol. 2012, 32, 134–143. (In Chinese) [Google Scholar] [CrossRef]
- Fei, Y.; She, D.; Yi, J.; Sun, X.; Han, X.; Liu, D.; Liu, M.; Zhang, H. Roles of Soil Amendments in the Water and Salt Transport of Coastal Saline Soils through Regulation of Microstructure. Land Degrad. Dev. 2024, 35, 2382–2394. [Google Scholar] [CrossRef]
- Liu, D.; Gong, H.; Li, J.; Liu, Z.; Wang, L.; Ouyang, Z.; Xu, L.; Wang, T. Continuous Crop Rotation Increases Soil Organic Carbon Stocks in River Deltas: A 40-Year Field Evidence. Sci. Total Environ. 2024, 906, 167749. [Google Scholar] [CrossRef]
- O’Kelly, B.C. Accurate Determination of Moisture Content of Organic Soils Using the Oven Drying Method. Dry. Technol. 2004, 22, 1767–1776. [Google Scholar] [CrossRef]
- Holford, I.C.R. Soil Phosphorus: Its Measurement, and Its Uptake by Plants. Soil Res. 1997, 35, 227. [Google Scholar] [CrossRef]
- NY/T 889-2004; Determination of Exchangeable Potassium and Non-Exchangeable Potassium Content in Soil. Ministry of Agriculture of the People’s Republic of China: Beijing, China, 2005. (In Chinese)
- Sáez-Plaza, P.; Michałowski, T.; Navas, M.J.; Asuero, A.G.; Wybraniec, S. An Overview of the Kjeldahl Method of Nitrogen Determination. Part I. Early History, Chemistry of the Procedure, and Titrimetric Finish. Crit. Rev. Anal. Chem. 2013, 43, 178–223. [Google Scholar] [CrossRef]
- Feng, C.; Yi, Z.; Qian, W.; Liu, H.; Jiang, X. Rotations Improve the Diversity of Rhizosphere Soil Bacterial Communities, Enzyme Activities and Tomato Yield. PLoS ONE 2023, 18, e0270944. [Google Scholar] [CrossRef] [PubMed]
- Sokač, T.; Šalić, A.; Dukarić, A.-M.; Tišma, M.; Planinić, M.; Zelić, B.; Božinović, M. Standardization of 3,5-Dinitrosalicylic Acid (DNS) Assay for Measuring Xylanase Activity: Detecting and Solving Problems. Croat. J. Food Sci. Technol. 2023, 15, 151–162. [Google Scholar] [CrossRef]
- Yang, X.; Yang, L.; Shi, Y.; Lei, F.; Dong, L.; Zheng, C.; Zhang, D.; Sun, L.; Xie, A.; Sun, X. Correction: Analysis of Exogenous Lactic Acid Bacteria on Growth and Development of Different Herbaceous Peony Varieties and Rhizosphere Soil Nutrients. Chem. Biol. Technol. Agric. 2024, 11, 4. [Google Scholar] [CrossRef]
- Chen, J. Study on Effects of Nitrogen and Phosphorus Addition on Organic Carbon Mineralization in Saline-Alkali Farmland in Western Jilin Province, China; Jilin University: Changchun, China, 2020; (In Chinese). [Google Scholar] [CrossRef]
- Chen, G.; Liu, Y.; Yao, H.; Huang, C. A Method for Measuring Microbial Biomass C in Waterlogged Soil: Chloroform Fumigation Extraction-Water Bath Method. Acta Pedol. Sin. 2006, 06, 981–988. (In Chinese) [Google Scholar]
- Li, T.; Zhu, B.; Wang, X.; Yang, X. A Preliminary Study on the Effects of Land Use on the Contents of Soil Active Organic Carbon. Chin. J. Soil Sci. 2013, 44, 46–51. (In Chinese) [Google Scholar] [CrossRef]
- Blair, G.; Lefroy, R.; Lisle, L. Soil Carbon Fractions Based on Their Degree of Oxidation, and the Development of a Carbon Management Index for Agricultural Systems. Aust. J. Agric. Res. 1995, 46, 1459. [Google Scholar] [CrossRef]
- Yang, C.; Chen, Y.; Ma, S.; Wang, G.; Zhang, G.; Li, X. The Effect of Soil Moisture on Water Consumption and Growth of Rice. J. Irrig. Drain. 2022, 41, 15+36. (In Chinese) [Google Scholar] [CrossRef]
- Fageria, N.K.; Oliveira, J.P. Nitrogen, Phosphorus and Potassium Interactions in Upland Rice. J. Plant Nutr. 2014, 37, 1586–1600. [Google Scholar] [CrossRef]
- Yang, X.; Song, Z.; Van Zwieten, L.; Guo, L.; Chen, J.; Luo, Z.; Wang, Y.; Luo, Y.; Wang, Z.; Wang, W.; et al. Significant Accrual of Soil Organic Carbon through Long-term Rice Cultivation in Paddy Fields in China. Glob. Chang. Biol. 2024, 30, e17213. [Google Scholar] [CrossRef]
- Zhang, K.; Wang, X.; Wu, L.; Lu, T.; Guo, Y.; Ding, X. Impacts of Salinity on the Stability of Soil Organic Carbon in the Croplands of the Yellow River Delta. Land Degrad. Dev. 2021, 32, 1873–1882. [Google Scholar] [CrossRef]
- Yu, T.; Yang, Z.; Hou, Q.; Xia, X.; Zong, S.; Li, B. Distribution and influencing factors of organic carbon content in paddy soil in main agricultural areas of China. Earth Sci. Front. 2011, 18, 11–19. (In Chinese) [Google Scholar]
- Jin, Z.; Cheng, Y.; Li, Q.; Zeng, H.; Luo, K.; Huang, J.; Lu, W.; Tang, Z. Content of Soil Organic Carbon and Its Relationship with Nutrients in Karst Cave Wetlands, Paddy Fields and Dry Farmlands in Huixian. Wetl. Sci. 2014, 12, 485–490. (In Chinese) [Google Scholar] [CrossRef]
- Aizizi, A.; Dawutijiang, A.; Yan, C.; Tu, M.; Li, J.; Ma, M.; Na, A. Paddy-upland rotation planting technology model It can effectively control the process of soil salinization. Agric. Compr. Dev. China 2025, 6, 9–12. (In Chinese) [Google Scholar]
- Feng, J.; Zhang, Q.; Yuan, X.; Zhu, B. Effects of nitrogen and phosphorus addition on soil organic carbon: Review and prospects. Chin. J. Plant Ecol. 2022, 46, 855–870. (In Chinese) [Google Scholar] [CrossRef]
- Zhang, Y.; Jia, W.; Yang, L.; Zhu, G.; Lan, X.; Luo, H.; Yu, Z. Change Characteristics of Soil Organic Carbon and Soil Available Nutrients and Their Relationship in the Subalpine Shrub Zone of Qilian Mountains in China. Sustainability 2023, 15, 13028. [Google Scholar] [CrossRef]
- Zhao, H.; Li, J.; Li, X.; Hu, Q.; Guo, X.; Wang, Y.; Zhao, Y.; Gan, G.Y. Response of Soil Organic Carbon and Bacterial Community to Amendments in Saline-Alkali Soils of the Yellow River Delta. Eur. J. Soil Sci. 2025, 76, e70147. [Google Scholar] [CrossRef]
- Liu, X.; Wu, C.; Jiang, D.; Zhang, Y.; Chen, Z. Biochar Application Regulates Organic Phosphorus Fractions and the Release of Available Phosphorus in Farmland Soil. J. Sci. Food Agric. 2025, 105, 671–681. [Google Scholar] [CrossRef]
- Hu, Y.; Wang, B. Response of Soil Organic Carbon to Different Mate rials Input in Northern Farmland. J. Agric. Catastrophology 2019, 9, 24–26+52. (In Chinese) [Google Scholar] [CrossRef]
- Yang, W.; Shao, X.; Liang, W.; Wu, M. Activities and Its Relationship with Active Organic Carbon Fractions in Hangzhou Bay. Wetl. Sci. Manag. 2011, 7, 54–58. (In Chinese) [Google Scholar]
- Zhang, F.H.; Yang, H.C.; Gale, W.J.; Cheng, Z.B.; Yan, J.H. Temporal Changes in Soil Organic Carbon and Aggregate-Associated Organic Carbon after Reclamation of Abandoned, Salinized Farmland. J. Agric. Sci. 2017, 155, 205–215. [Google Scholar] [CrossRef]
- Guo, Q.; Nan, L.; Li, B.; Cao, S. Pilot-scale Study on In-situ Reduction of Black and Odorous Sediment in River Channel by Immobilized Microorganism Technology. J. Irrig. Drain. 2018, 37, 66–71+128. (In Chinese) [Google Scholar] [CrossRef]
- Ba, Y.; Wang, H. Effects of Land Consolidation on Active Fractions of Soil Organic Carbon and Carbon Sequestration Measures. J. Green Sci. Technol. 2018, 14, 6–9+19. (In Chinese) [Google Scholar] [CrossRef]
- Wang, Y.; Shao, L.; Liu, Y.; Lv, H.; Chen, Q.; Liao, M.; Yang, S. Effects of interplanting grass on soil organic carbon and active components of carbon pool in peach orchard. Acta Ecol. Sin. 2014, 34, 6002–6010. (In Chinese) [Google Scholar] [CrossRef]







| Disclaimer/Publisher’s Note: The statements, opinions and data contained in all publications are solely those of the individual author(s) and contributor(s) and not of MDPI and/or the editor(s). MDPI and/or the editor(s) disclaim responsibility for any injury to people or property resulting from any ideas, methods, instructions or products referred to in the content. | 
© 2025 by the authors. Licensee MDPI, Basel, Switzerland. This article is an open access article distributed under the terms and conditions of the Creative Commons Attribution (CC BY) license (https://creativecommons.org/licenses/by/4.0/).
Share and Cite
Li, M.; Dong, J.; Guo, S.; Zhao, D.; Wu, C.; Xu, J.; Zhao, L.; Wang, J.; Wang, H.; Wang, J.; et al. Modeling Soil Organic Carbon Dynamics Under Two Cropping Modes in Salinized Paddy Fields in the Yellow River Delta. Agronomy 2025, 15, 2524. https://doi.org/10.3390/agronomy15112524
Li M, Dong J, Guo S, Zhao D, Wu C, Xu J, Zhao L, Wang J, Wang H, Wang J, et al. Modeling Soil Organic Carbon Dynamics Under Two Cropping Modes in Salinized Paddy Fields in the Yellow River Delta. Agronomy. 2025; 15(11):2524. https://doi.org/10.3390/agronomy15112524
Chicago/Turabian StyleLi, Minghui, Jia Dong, Sijia Guo, Deyong Zhao, Chunhong Wu, Jikun Xu, Liping Zhao, Jun Wang, Haiyang Wang, Jianlin Wang, and et al. 2025. "Modeling Soil Organic Carbon Dynamics Under Two Cropping Modes in Salinized Paddy Fields in the Yellow River Delta" Agronomy 15, no. 11: 2524. https://doi.org/10.3390/agronomy15112524
APA StyleLi, M., Dong, J., Guo, S., Zhao, D., Wu, C., Xu, J., Zhao, L., Wang, J., Wang, H., Wang, J., & Zhao, S. (2025). Modeling Soil Organic Carbon Dynamics Under Two Cropping Modes in Salinized Paddy Fields in the Yellow River Delta. Agronomy, 15(11), 2524. https://doi.org/10.3390/agronomy15112524
 
        




