The Role of Genotype and Sowing Time in Reducing the Risk of Infection with Fusarium spp. in Maize
Abstract
1. Introduction
2. Materials and Methods
2.1. Biological Material
2.2. Experimental Design
2.3. Statistical Analysis
2.4. Climatic Conditions
3. Results
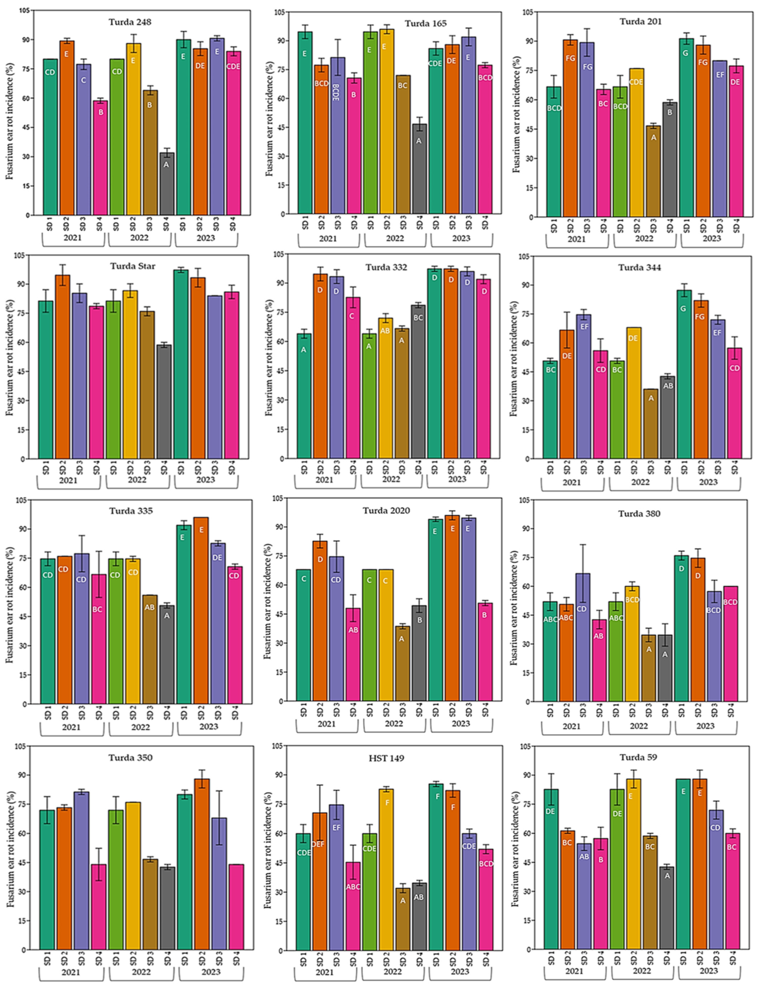
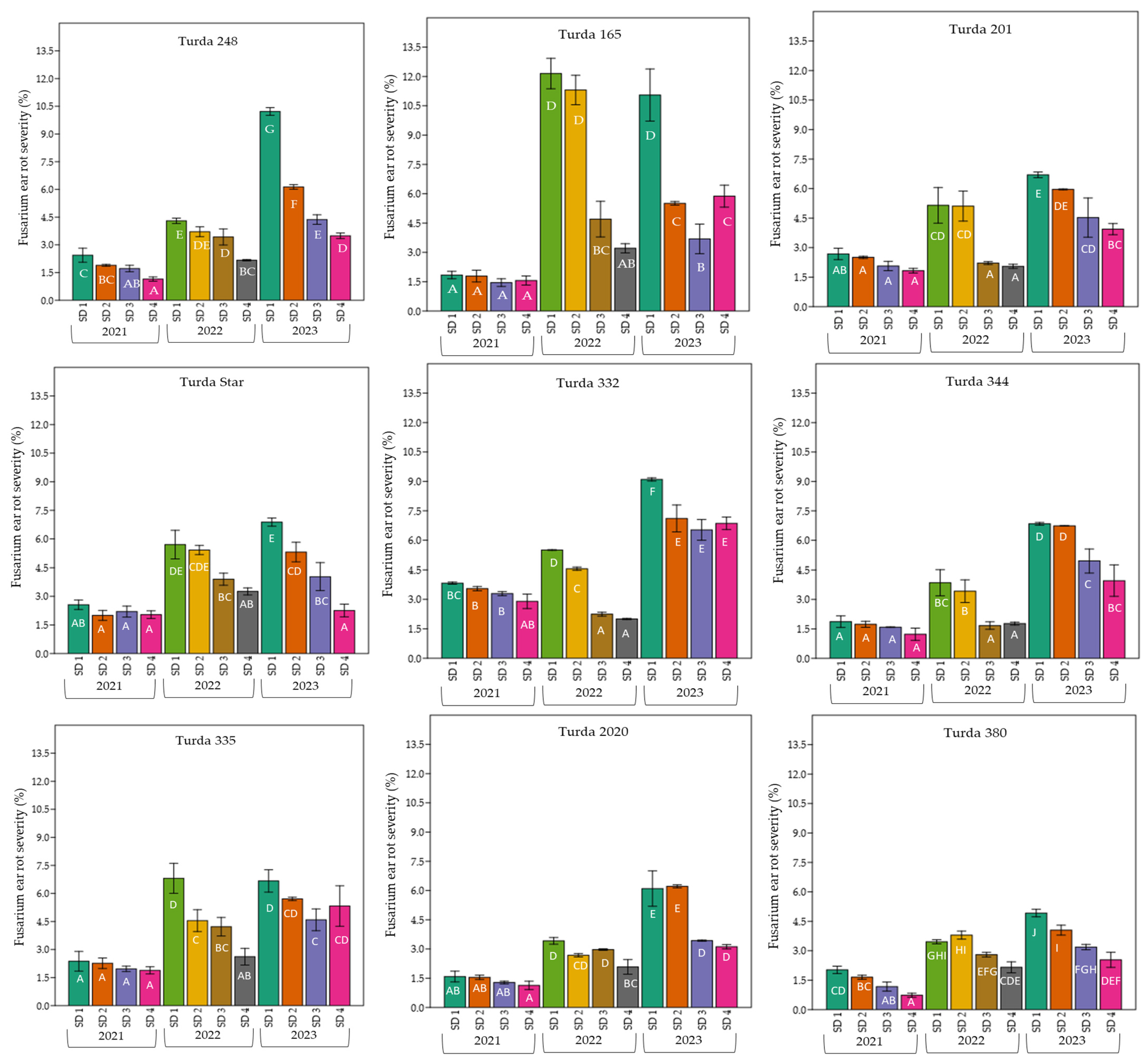
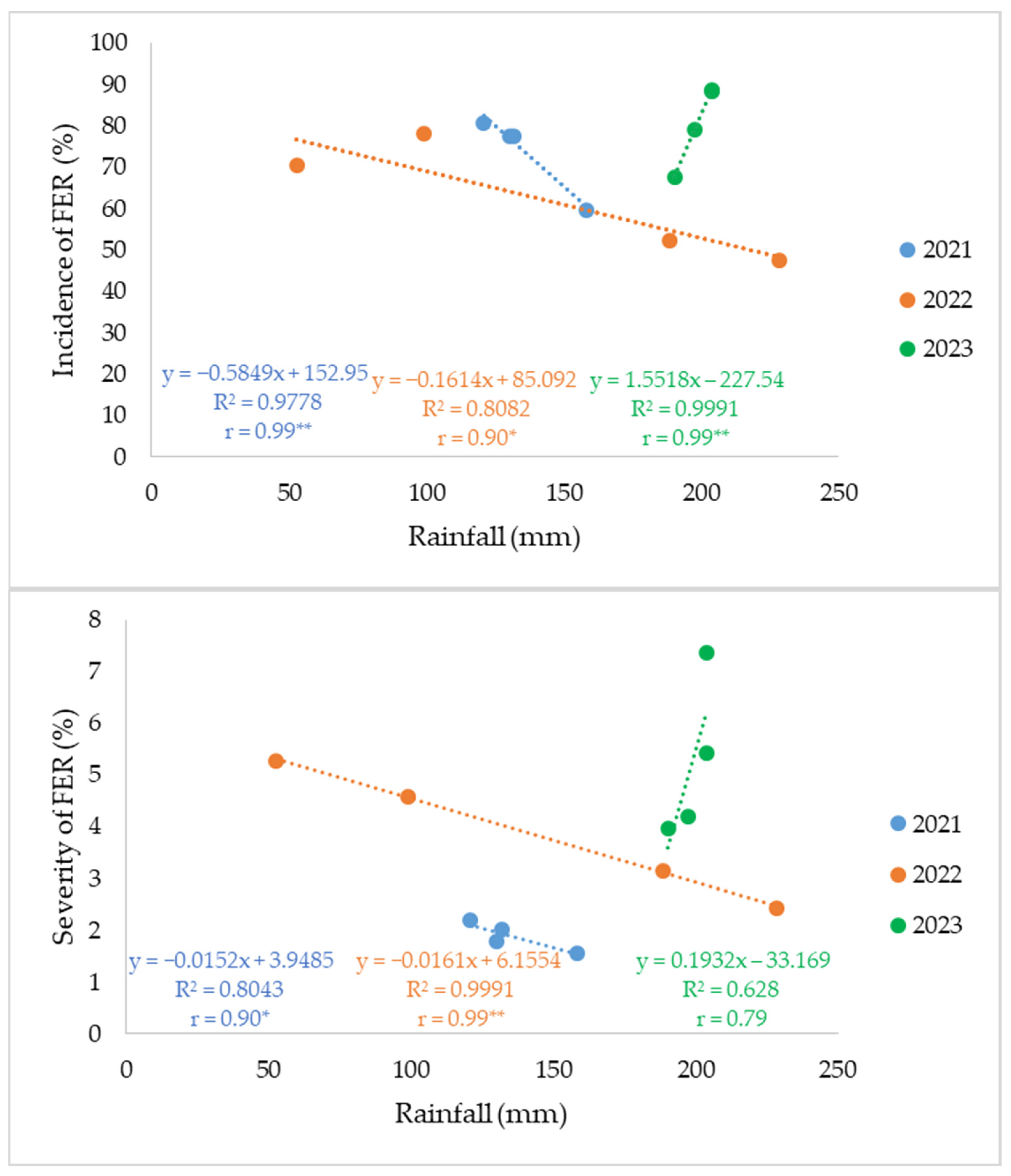
3.1. Incidence and Severity of Fusarium Ear Rot
3.2. Influence of Genotype and Environmental Factors (Sowing Date, Year) on Maize Grain Yield
4. Discussion
5. Conclusions
Author Contributions
Funding
Data Availability Statement
Acknowledgments
Conflicts of Interest
References
- Erenstein, O.; Jaleta, M.; Sonder, K.; Mottaleb, K.; Prasanna, B.M. Global Maize Production, Consumption and Trade: Trends and R&D Implications. Food Secur. 2022, 14, 1295–1319. [Google Scholar] [CrossRef]
- Niu, L.; Liu, L.; Zhang, J.; Scali, M.; Wang, W.; Hu, X.; Wu, X. Genetic Engineering of Starch Biosynthesis in Maize Seeds for Efficient Enzymatic Digestion of Starch during Bioethanol Production. Int. J. Mol. Sci. 2023, 24, 3927. [Google Scholar] [CrossRef] [PubMed]
- Zhou, D.; Wang, X.; Chen, G.; Sun, S.; Yang, Y.; Zhu, Z.; Duan, C. The Major Fusarium Species Causing Maize Ear and Kernel Rot and Their Toxigenicity in Chongqing, China. Toxins 2018, 10, 90. [Google Scholar] [CrossRef] [PubMed]
- Hudson, O.; Meinecke, C.D.; Brawner, J.T. Comparative Genomics of Fusarium Species Causing Fusarium Ear Rot of Maize. PLoS ONE 2024, 19, e0306144. [Google Scholar] [CrossRef]
- Arata, A.F.; Martínez, M.; Castellari, C.; Cristos, D.; Pesquero, N.V.; Dinolfo, M.I. Impact of Fusarium Spp. on Different Maize Commercial Hybrids: Disease Evaluation and Mycotoxin Contamination. Fungal Biol. 2024, 128, 1983–1991. [Google Scholar] [CrossRef]
- Logrieco, A.; Mulè, G.; Moretti, A.; Bottalico, A. Toxigenic Fusarium Species and Mycotoxins Associated with Maize Ear Rot in Europe. Eur. J. Plant Pathol. 2002, 108, 597–609. [Google Scholar] [CrossRef]
- Lanubile, A.; Maschietto, V.; Borrelli, V.M.; Stagnati, L.; Logrieco, A.F.; Marocco, A. Molecular Basis of Resistance to Fusarium Ear Rot in Maize. Front. Plant Sci. 2017, 8, 1774. [Google Scholar] [CrossRef]
- Czembor, E.; Waśkiewicz, A.; Piechota, U.; Puchta, M.; Czembor, J.H.; Stȩpień, Ł. Differences in Ear Rot Resistance and Fusarium Verticillioides-Produced Fumonisin Contamination Between Polish Currently and Historically Used Maize Inbred Lines. Front. Microbiol. 2019, 10, 449. [Google Scholar] [CrossRef]
- Ma, Z.; Wang, J.; Wen, S.; Ren, J.; Hui, H.; Huang, Y.; Yang, J.; Zhao, B.; Liu, B.; Gao, Z. Evaluation of Maize Hybrids for Resistance to Ear Rot Caused by Dominant Fusarium Species in Northeast China. Agronomy 2024, 14, 855. [Google Scholar] [CrossRef]
- Tiru, Z.; Mandal, P.; Chakraborty, A.P.; Pal, A.; Sadhukhan, S.; Tiru, Z.; Mandal, P.; Chakraborty, A.P.; Pal, A.; Sadhukhan, S. Fusarium Disease of Maize and Its Management through Sustainable Approach. In Fusarium—An Overview of the Genus; IntechOpen: Gent, Belgium, 2021; ISBN 978-1-83968-736-5. [Google Scholar]
- Pfordt, A.; Ramos Romero, L.; Schiwek, S.; Karlovsky, P.; Von Tiedemann, A. Impact of Environmental Conditions and Agronomic Practices on the Prevalence of Fusarium Species Associated with Ear- and Stalk Rot in Maize. Pathogens 2020, 9, 236. [Google Scholar] [CrossRef]
- Nguyen, T.B.H.; Henri-Sanvoisin, A.; Coton, M.; Le Floch, G.; Picot, A. Shifts in Fusarium Communities and Mycotoxins in Maize Residues, Soils, and Wheat Grains throughout the Wheat Cycle: Implications for Fusarium Head Blight Epidemiology. Microorganisms 2024, 12, 1783. [Google Scholar] [CrossRef]
- Todorović, I.; Moënne-Loccoz, Y.; Raičević, V.; Jovičić-Petrović, J.; Muller, D. Microbial Diversity in Soils Suppressive to Fusarium Diseases. Front. Plant Sci. 2023, 14, 1228749. [Google Scholar] [CrossRef]
- Ajmal, M.; Hussain, A.; Ali, A.; Chen, H.; Lin, H. Strategies for Controlling the Sporulation in Fusarium spp. J. Fungi 2022, 9, 10. [Google Scholar] [CrossRef]
- Frasiński, S.; Czembor, E.; Lalak-Kańczugowska, J. The Impact of Fusarium Ear Rot in Poland and Methods to Reduce Losses Caused by the Disease. Biul. Inst. Hod. Aklim. Roślin 2020, 290, 43–50. [Google Scholar] [CrossRef]
- Mazzoni, E.; Scandolara, A.; Giorni, P.; Pietri, A.; Battilani, P. Field Control of Fusarium Ear Rot, Ostrinia nubilalis (Hübner), and Fumonisins in Maize Kernels. Pest Manag. Sci. 2011, 67, 458–465. [Google Scholar] [CrossRef]
- Khalaf, E.M.; Shrestha, A.; Rinne, J.; Lynch, M.D.J.; Shearer, C.R.; Limay-Rios, V.; Reid, L.M.; Raizada, M.N. Transmitting Silks of Maize Have a Complex and Dynamic Microbiome. Sci. Rep. 2021, 11, 13215. [Google Scholar] [CrossRef]
- Blandino, M.; Scarpino, V.; Vanara, F.; Sulyok, M.; Krska, R.; Reyneri, A. The Role of the European Corn Borer (Ostrinia nubilalis) on Contamination of Maize with Thirteen Fusarium Mycotoxins. Food Addit. Contam. Part Chem. Anal. Control Expo. Risk Assess. 2014, 32, 533–543. [Google Scholar] [CrossRef]
- Negruț, G.N.; Cotuna, O.; Sărăţeanu, V.; Durău, C.C.; Titus, S. Research Regarding the Relationship among the Pests Ostrinia nubilalis, Helicoverpa armigera and the Fungi Fusarium verticillioides, Aspergillus flavus in Corn in the Climatic Conditions from Lovrin (Timiș County). Res. J. Agric. Sci. 2019, 51, 282–291. [Google Scholar]
- Pintilie, P.L.; Trotuș, E.; Tălmaciu, N.; Irimia, L.M.; Herea, M.; Mocanu, I.; Amarghioalei, R.G.; Popa, L.D.; Tălmaciu, M. European Corn Borer (Ostrinia nubilalis Hbn.) Bioecology in Eastern Romania. Insects 2023, 14, 738. [Google Scholar] [CrossRef] [PubMed]
- Munkvold, G.P. Epidemiology of Fusarium Diseases and Their Mycotoxins in Maize Ears. In Epidemiology of Mycotoxin Producing Fungi; Xu, X., Bailey, J.A., Cooke, B.M., Eds.; Springer: Dordrecht, The Netherlands, 2003; pp. 705–713. ISBN 978-90-481-6387-8. [Google Scholar]
- Desjardins, A.E.; Plattner, R.D. Fumonisin B1 -Nonproducing Strains of Fusarium Verticillioides Cause Maize (Zea mays) Ear Infection and Ear Rot. J. Agric. Food Chem. 2000, 48, 5773–5780. [Google Scholar] [CrossRef] [PubMed]
- Czarnecka, D.; Czubacka, A.; Agacka-Mołdoch, M.; Trojak-Goluch, A.; Księżak, J. The Occurrence of Fungal Diseases in Maize in Organic Farming Versus an Integrated Management System. Agronomy 2022, 12, 558. [Google Scholar] [CrossRef]
- Singh, H.; Kaur, H.; Hunjan, M.S.; Sharma, S. Unveiling Toxigenic Fusarium Species Causing Maize Ear Rot: Insights into Fumonisin Production Potential. Front. Plant Sci. 2025, 16, 1516644. [Google Scholar] [CrossRef] [PubMed]
- Mesterházy, Á.; Oláh, J.; Popp, J. Losses in the Grain Supply Chain: Causes and Solutions. Sustainability 2020, 12, 2342. [Google Scholar] [CrossRef]
- Mesterházy, Á.; Lemmens, M.; Reid, L.M. Breeding for Resistance to Ear Rots Caused by Fusarium spp. in Maize—A Review. Plant Breed. 2012, 131, 1–19. [Google Scholar] [CrossRef]
- Krnjaja, V.; Mandić, V.; Bijelić, Z.; Stanković, S.; Obradović, A.; Caro Petrović, V.; Gogić, M. Influence of Sowing Time on Fusarium and Fumonisin Contamination of Maize Grains and Yield Component Traits. Agriculture 2022, 12, 1042. [Google Scholar] [CrossRef]
- Magarini, A.; Passera, A.; Ghidoli, M.; Casati, P.; Pilu, R. Genetics and Environmental Factors Associated with Resistance to Fusarium graminearum, the Causal Agent of Gibberella Ear Rot in Maize. Agronomy 2023, 13, 1836. [Google Scholar] [CrossRef]
- Parsons, M.W.; Munkvold, G.P. Associations of Planting Date, Drought Stress, and Insects with Fusarium Ear Rot and Fumonisin B1 Contamination in California Maize. Food Addit. Contam. Part A 2010, 27, 591–607. [Google Scholar] [CrossRef]
- Blandino, M.; Saladini, M.A.; Reyneri, A.; Vanara, F.; Alma, A. The Influence of Sowing Date and Insecticide Treatments on Ostrinia nubilalis (Hübner) Damage and Fumonisin Contamination in Maize Kernels. Maydica 2008, 53, 199–206. [Google Scholar]
- Blandino, M.; Reyneri, A.; Vanara, F. Effect of Sowing Time on Toxigenic Fungal Infection and Mycotoxin Contamination of Maize Kernels. J. Phytopathol. 2009, 157, 7–14. [Google Scholar] [CrossRef]
- Blandino, M.; Scarpino, V.; Giordano, D.; Sulyok, M.; Krska, R.; Vanara, F.; Reyneri, A. Impact of Sowing Time, Hybrid and Environmental Conditions on the Contamination of Maize by Emerging Mycotoxins and Fungal Metabolites. Ital. J. Agron. 2017, 12, 928. [Google Scholar] [CrossRef]
- Schjøth, J.E.; Sundheim, L. Epidemic Significance of Planting Time and Hybrid on Fusarium Infection of Maize in Two Agroecological Zones of Zambia. Acta Agric. Scand. Sect. B—Soil Plant Sci. 2013, 63, 153–161. [Google Scholar] [CrossRef]
- Deressa, T.; Adugna, G.; Suresh, L.M.; Bekeko, Z. Resistance of Maize (Zea mays L.) Genotypes against Ear Rot Causing Pathogens in Southern and Western Ethiopia. Phytoparasitica 2025, 53, 67. [Google Scholar] [CrossRef]
- Focker, M.; van Eupen, M.; Verweij, P.; Liu, C.; van Haren, C.; van der Fels-Klerx, H.J. Effects of Climate Change on Areas Suitable for Maize Cultivation and Aflatoxin Contamination in Europe. Toxins 2023, 15, 599. [Google Scholar] [CrossRef]
- Maiorano, A.; Reyneri, A.; Sacco, D.; Magni, A.; Ramponi, C. A Dynamic Risk Assessment Model (FUMAgrain) of Fumonisin Synthesis by Fusarium verticillioides in Maize Grain in Italy. Crop Prot. 2009, 28, 243–256. [Google Scholar] [CrossRef]
- Domokos, Z.; Șimon, A.; Chețan, F.; Ceclan, O.A.; Filip, E.; Călugăr, R.E.; Vâtcă, S.D.; Duda, M.M. The Influence of Sowing Date on the Primary Yield Components of Maize. Agronomy 2024, 14, 2120. [Google Scholar] [CrossRef]
- Partal, E.; Oltenacu, C.V.; Petcu, V. The Influence of Sowing Date and Plant Density on Maize Yield and Quality in the Context of Climate Change in Southern Romania. Sci. Papers. Ser. A. Agron. 2021, LXIV, 508–514. [Google Scholar]
- Liaqat, W.; Akmal, M.; Ali, J. Sowing Dates Effect on Production of High Yielding Maize Varieties. Sarhad J. Agric. 2018, 34, 102–113. [Google Scholar] [CrossRef]
- Lv, X.; Bai, P.; Zhang, W.; Zhu, Y. Analysis on effect of ecological factors on maize dry weight accumulation in different sowing period. J. Shihezi Univ. Sci. 2004, 22, 285–288. [Google Scholar]
- Ping, L.W.; Chen, G.P.; Guo, J.R.; Wang, Z.X.; Rao, C.F. Study on the Source and Sink in Relation to Grain Yield under Different Ecological Areas in Maize (Zea mays L.). Acta Agron. Sin. 1997, 23, 727–733. [Google Scholar]
- Ke, F.; Ma, X. Responses of Maize Hybrids with Contrasting Maturity to Planting Date in Northeast China. Sci. Rep. 2021, 11, 15776. [Google Scholar] [CrossRef]
- Hayat, Z.; Khalil, S. Phenology and Yield of Sweet Corn Landraces Influenced by Planting Dates. Sarhad J. Agric. 2009, 25, 153–157. [Google Scholar]
- Călugăr, R.E.; Varga, A.; Vana, C.D.; Ceclan, L.A.; Racz, I.; Chețan, F.; Șimon, A.; Popa, C.; Tritean, N.; Russu, F.; et al. Influence of Changing Weather on Old and New Maize Hybrids: A Case Study in Romania. Plants 2024, 13, 3322. [Google Scholar] [CrossRef]
- Șimon, A.; Moraru, P.I.; Ceclan, A.; Russu, F.; Chețan, F.; Bărdaș, M.; Popa, A.; Rusu, T.; Pop, A.I.; Bogdan, I. The Impact of Climatic Factors on the Development Stages of Maize Crop in the Transylvanian Plain. Agronomy 2023, 13, 1612. [Google Scholar] [CrossRef]
- Parsons, M.W.; Munkvold, G.P. Effects of Planting Date and Environmental Factors on Fusarium Ear Rot Symptoms and Fumonisin B1 Accumulation in Maize Grown in Six North American Locations. Plant Pathol. 2012, 61, 1130–1142. [Google Scholar] [CrossRef]
- Mesterhazy, A. Food Safety Aspects of Breeding Maize to Multi-Resistance against the Major (Fusarium Graminearum, F. verticillioides, Aspergillus flavus) and Minor Toxigenic Fungi (Fusarium spp.) as Well as to Toxin Accumulation, Trends, and Solutions—A Review. J. Fungi 2024, 10, 40. [Google Scholar] [CrossRef]
- Soiuri, H. Statiunea Cercet. Dezvoltare Agric. Turda 2025. Available online: https://scdaturda.ro/soiurihibrizi/ (accessed on 24 September 2025).
- Rusu, M.; Mihai, M.; Mihai, V.C.; Moldovan, L.; Ceclan, O.A.; Toader, C. Areas of Agrochemical Deepening Resulting from Long-Term Experiments with Fertilizers—Synthesis Following 20 Years of Annual and Stationary Fertilization. Agriculture 2023, 13, 1503. [Google Scholar] [CrossRef]
- Reid, L.M.; Hamilton, R.I.; Mather, D.E. Screening Maize for Resistance to Gibberella Ear Rot; Research Branch, Agriculture and Agri-Food: Ottawa, ON, Canada, 1996; ISBN 978-0-662-24595-7. [Google Scholar]
- Poly Fact. ANOVA and Duncan’s Test PC Program for Variant Analyses Made for Completely Randomized Polyfactorial Experiences; USAMV: Cluj-Napoca, Romania, 2015; Available online: https://scholar.google.com/scholar_lookup?title=ANOVA+and+Duncan%E2%80%99s+Test+PC+Program+for+Variant+Analyses+Made+for+Completely+Randomized+Polyfactorial+Experiences&author=PoliFact+2020&publication_year=2020 (accessed on 25 August 2025).
- Turda Weather Station. Northern Transylvania Regional Meteorological Center Cluj. Available online: https://www.meteoromania.ro/ (accessed on 20 August 2025).
- Czembor, E.; Frasiński, S.; Urbaniak, M.; Waśkiewicz, A.; Czembor, J.H.; Stępień, Ł. Fusarium Species Shifts in Maize Grain as a Response to Climatic Changes in Poland. Agriculture 2024, 14, 1793. [Google Scholar] [CrossRef]
- Doohan, F.; Brennan, J.M.; Cooke, B.M. Influence of Climatic Factors on Fusarium Species Pathogenic to Cereals. Eur. J. Plant Pathol. 2003, 109, 755–768. [Google Scholar] [CrossRef]
- Cao, A.; Santiago, R.; Ramos, A.J.; Souto, X.C.; Aguín, O.; Malvar, R.A.; Butrón, A. Critical Environmental and Genotypic Factors for Fusarium verticillioides Infection, Fungal Growth and Fumonisin Contamination in Maize Grown in Northwestern Spain. Int. J. Food Microbiol. 2014, 177, 63–71. [Google Scholar] [CrossRef] [PubMed]
- Czembor, E.; Stępień, Ł.; Waśkiewicz, A. Effect of Environmental Factors on Fusarium Species and Associated Mycotoxins in Maize Grain Grown in Poland. PLoS ONE 2015, 10, e0133644. [Google Scholar] [CrossRef]
- Thompson, M.E.H.; Raizada, M.N. Fungal Pathogens of Maize Gaining Free Passage Along the Silk Road. Pathogens 2018, 7, 81. [Google Scholar] [CrossRef]
- Dalla Lana, F.; Madden, L.V.; Paul, P.A. Natural Occurrence of Maize Gibberella Ear Rot and Contamination of Grain with Mycotoxins in Association with Weather Variables. Plant Dis. 2021, 105, 114–126. [Google Scholar] [CrossRef] [PubMed]
- Tărău, A.-D.; Urdă, C.; Vălean, A.-M.; Şopterean, L.; Suciu, L.; Șimon, A.; Russu, F.; Varga, A.; Călugăr, R. The Impact of the Sowing Time on the European Corn Borer (Ostrinia nubilalis Hubner) Attack on Some Romanian Maize Hybrids. Rom. Agric. Res. 2025, 42, 215–223. [Google Scholar] [CrossRef]
- Berghetti, J.; Casa, R.T.; Ferreira, E.Z.; Zanella, E.J.; Scheidt, B.T.; Sangoi, L. Incidence of Stalk Rots in Corn Hybrids Influenced by Sowing Time and Nitrogen Rates. Bragantia 2019, 78, 371–378. [Google Scholar] [CrossRef]
- Reid, L.M.; Nicol, R.W.; Ouellet, T.; Savard, M.; Miller, J.D.; Young, J.C.; Stewart, D.W.; Schaafsma, A.W. Interaction of Fusarium graminearum and F. moniliforme in Maize Ears: Disease Progress, Fungal Biomass, and Mycotoxin Accumulation. Phytopathology 1999, 89, 1028–1037. [Google Scholar] [CrossRef]
- Singh, M.P.; DiFonzo, C.D.; Fusilier, K.M.; Kaur, H.; Chilvers, M.I. Insect Ear-Feeding Impacts Gibberella Ear Rot and Deoxynivalenol Accumulation in Corn Grain. Crop Forage Turfgrass Manag. 2024, 10, e20258. [Google Scholar] [CrossRef]
- Ayesiga, S.B.; Rubaihayo, P.; Sempiira, J.B.; Adjei, E.A.; Dramadri, I.O.; Oloka, B.M.; Sserumaga, J.P. Combining Ability and Gene Action for Resistance to Fusarium Ear Rot in Tropical Maize Hybrids. Front. Plant Sci. 2025, 16, 1509859. [Google Scholar] [CrossRef]
- Neupane, S.P.; Stagnati, L.; Dell’Acqua, M.; Busconi, M.; Lanubile, A.; Pè, M.E.; Caproni, L.; Marocco, A. Genetic Basis of Fusarium Ear Rot Resistance and Productivity Traits in a Heterozygous Multi-Parent Recombinant Inbred Intercross (RIX) Maize Population. BMC Plant Biol. 2025, 25, 639. [Google Scholar] [CrossRef]
- Cao, A.; de la Fuente, M.; Gesteiro, N.; Santiago, R.; Malvar, R.A.; Butrón, A. Genomics and Pathways Involved in Maize Resistance to Fusarium Ear Rot and Kernel Contamination With Fumonisins. Front. Plant Sci. 2022, 13, 866478. [Google Scholar] [CrossRef]
- Nagy, E.; Haş, V.; Haş, I.; Suciu, A.; Florian, V. The Influence of Fusarium Ear Infection on the Maize Yield and Mycotoxin Content (Transylvania-Romania). Bull. Univ. Agric. Sci. Vet. Med. Cluj-Napoca Agric. 2009, 66, 549. [Google Scholar] [CrossRef]
- Xu, Y.; Zhang, Z.; Lu, P.; Li, R.; Ma, P.; Wu, J.; Li, T.; Zhang, H. Increasing Fusarium verticillioides Resistance in Maize by Genomics-Assisted Breeding: Methods, Progress, and Prospects. Crop J. 2023, 11, 1626–1641. [Google Scholar] [CrossRef]
- Guo, Z.; Zou, C.; Liu, X.; Wang, S.; Li, W.-X.; Jeffers, D.; Fan, X.; Xu, M.; Xu, Y. Complex Genetic System Involved in Fusarium Ear Rot Resistance in Maize as Revealed by GWAS, Bulked Sample Analysis, and Genomic Prediction. Plant Dis. 2020, 104, 1725–1735. [Google Scholar] [CrossRef]
- Wu, W.; Yue, W.; Bi, J.; Zhang, L.; Xu, D.; Peng, C.; Chen, X.; Wang, S. Influence of Climatic Variables on Maize Grain Yield and Its Components by Adjusting the Sowing Date. Front. Plant Sci. 2024, 15, 1411009. [Google Scholar] [CrossRef]
- Varma, V.; Kanaka Durga, K.; Neelima, P. Effect of Sowing Date on Maize Seed Yield and Quality: A Review. Rev. Plant Stud. 2014, 1, 26–38. [Google Scholar] [CrossRef]
- Simon, A.; Ceclan, A.; Has, V.; Varga, A.; Russu, F.; Chetan, F.; Bardas, M. Evaluation of the Impact of Sowing Season and Weather Conditions on Maize Yield. AgroLife Sci. J. 2023, 12, 207–214. [Google Scholar] [CrossRef]
- Bocianowski, J.; Nowosad, K.; Rejek, D. Genotype-Environment Interaction for Grain Yield in Maize (Zea mays L.) Using the Additive Main Effects and Multiplicative Interaction (AMMI) Model. J. Appl. Genet. 2024, 65, 653–664. [Google Scholar] [CrossRef]
- Katsenios, N.; Sparangis, P.; Chanioti, S.; Giannoglou, M.; Leonidakis, D.; Christopoulos, M.V.; Katsaros, G.; Efthimiadou, A. Genotype × Environment Interaction of Yield and Grain Quality Traits of Maize Hybrids in Greece. Agronomy 2021, 11, 357. [Google Scholar] [CrossRef]









| Disease Common Name | Organism | Major Mycotoxins | Silk Susceptible Period | 
|---|---|---|---|
| Gibberella Ear Rot | Fusarium graminearum (Schw.) | Deoxynivalenol, Zearalenone | after pollination, beginning of senescence, begin browning | 
| Fusarium Ear Rot | Fusarium verticillioides (Sacc.) Nirenberg, F. proliferatum (Matsush.) Nirenberg, F. subglutinans (Wollenw. & Reinking) | Fumonisin B1 | 4–6 days after pollination | 
| Hybrid | Hybrid Type | FAO Group | General Characteristics | Kernel | Germplasm Group | 
|---|---|---|---|---|---|
| Turda 248 | single-cross | 300 | 18–20 kernel rows/cob, protein 10–11.3%, starch 66–69% | dent, light yellow | Lancaster × BSSS (Stiff Stalk Syn.) | 
| Turda 165 | three-way-cross | 270 | 16–18 kernel rows/cob, protein 12.1–12.9%, starch 67.9–71.7% | dent, golden yellow | Mo 17 + B 73 × D 105 × W 153 R | 
| Turda 201 | three-way-cross | 340 | 16–18 kernel rows/cob, protein 10.5–13.3%, starch 70–72.4% | dent, golden yellow | Mo 17 + B 73 × D 105 × Iodent | 
| Turda Star | three-way-cross | 370 | 16 kernel rows/cob, protein 11.5–12.5%, starch 69.5–71.5% | semi-flint, normal yellow | S 54 + Mo 17 × D 105 × Iodent | 
| Turda 332 | single-cross | 380 | 18–22 kernel rows/cob, protein 10–10.4%, starch 70–71.5% | dent, dark yellow | Iodent × BSSS (Stiff Stalk Syn.) | 
| Turda 344 | three-way-cross | 380 | 18–20 kernel rows/cob, protein 10–10.5%, starch 70–71.5% | dent, dark yellow | BSSS × Lancaster × Oh 43 | 
| Turda 335 | single-cross | 380 | 16–20 kernel rows/cob, protein 12–13%, starch 69–70% | dent, orange yellow | Iodent × Oh 43 + Lancaster + BSSS | 
| Turda 2020 | single-cross | 380 | 18–22 kernel rows/cob, protein 11–12%, starch 66–67% | dent, dark yellow | Lancaster + BSSS × Iodent + Oh 43 | 
| Turda 380 | single-cross | 380 | 16–18 kernel rows/cob, protein 10–11%, starch 72–75% | dent, normal yellow | Iodent + Oh 43 × Lancaster | 
| Turda 350 | single-cross | 360 | 18–22 kernel rows/cob, protein 10–11%, starch 66–67% | dent, normal yellow | Iodent+B 73 × Iodent | 
| HST 149 | single-cross | 360 | 18–22 kernel rows/cob, protein 10–11%, starch 66–67% | dent, normal yellow | Iodent + B 73 × Iodent | 
| Turda 59 | single-cross | 360 | 18–22 kernel rows/cob, protein 10–11%, starch 65–66% | dent, normal yellow | Iodent + B 73 X Oh 43 + Mo 17 + C 103 | 
| Year | Sowing Date Code | Sowing Date | Silking Period | Physiological Maturity Period | Harvest Date | 
|---|---|---|---|---|---|
| 2021 | SD1 | 01.04 | 7.07–15.07 | 02.09–10.09 | 21.10 | 
| SD2 | 12.04 | 07.07–17.07 | 09.09–21.09 | 21.10 | |
| SD3 | 22.04 | 07.07–17.07 | 04.09–19.09 | 21.10 | |
| SD4 | 07.05 | 15.07–21.07 | 14.09–03.10 | 21.10 | |
| 2022 | SD1 | 30.03 | 30.06–07.07 | 06.08–10.08 | 11.10 | 
| SD2 | 14.04 | 30.06–08.07 | 14.08–27.08 | 11.10 | |
| SD3 | 02.05 | 04.07–12.07 | 20.08–10.09 | 11.10 | |
| SD4 | 17.05 | 15.07–24.07 | 14.09–06.10 | 11.10 | |
| 2023 | SD1 | 11.04 | 30.06–10.07 | 02.09–05.09 | 20.10 | 
| SD2 | 21.04 | 03.07–10.07 | 05.09–11.09 | 20.10 | |
| SD3 | 05.05 | 07.07–17.07 | 05.09–11.09 | 20.10 | |
| SD4 | 22.05 | 16.07–24.07 | 07.09–13.09 | 20.10 | 
| Year | Month | Rainfall (mm) | Number of Rainy Days | 
|---|---|---|---|
| April | 38.4 | 12 | |
| May | 80.8 | 15 | |
| June | 45 | 10 | |
| 2021 | July | 123.1 | 8 | 
| August | 52.9 | 11 | |
| September | 39.1 | 10 | |
| October | 11.6 | 2 | |
| April | 42.5 | 10 | |
| May | 82.9 | 11 | |
| June | 41.8 | 11 | |
| 2022 | July | 25.2 | 8 | 
| August | 94.6 | 15 | |
| September | 119.9 | 20 | |
| October | 16.3 | 7 | |
| April | 30.5 | 14 | |
| May | 33.2 | 8 | |
| June | 144.5 | 18 | |
| 2023 | July | 85.8 | 15 | 
| August | 98.5 | 12 | |
| September | 116.1 | 6 | |
| October | 19.8 | 5 | 
| Climatic Condition | Ear Rot Incidence | +/− (Arcsin√%) | Ear Rot Severity | +/− (Arcsin√%) | ||
|---|---|---|---|---|---|---|
| (%) | (Arcsin√%) | (%) | (Arcsin√%) | |||
| Average years (control variant) | 74.00 | 59.92 | 0.00 | 3.40 | 10.60 | 0.00 | 
| 2021 | 60.90 | 60.90 | 0.98 | 1.80 | 7.79 | −2.81 000 | 
| 2022 | 76.00 | 52.86 | −7.06 000 | 3.70 | 11.03 | 0.43 * | 
| 2023 | 83.40 | 65.99 | 6.07 ** | 5.05 | 12.98 | 2.38 *** | 
| LSD (p 5%) LSD (p 1%) LSD (p 0.1%) | 1.99 3.30 6.17 | 0.32 0.53 0.99 | ||||
| Sowing date | Ear rot incidence | +/− (arcsin√%) | Ear rot severity | +/− (arcsin√%) | ||
| (%) | (arcsin√%) | (%) | (arcsin√%) | |||
| SD1 | 82.50 | 65.24 | 7.15 *** | 4.55 | 12.35 | 2.55 *** | 
| SD2 | 83.60 | 66.11 | 8.02 *** | 3.75 | 11.19 | 1.39 *** | 
| SD3 (control variant) | 72.05 | 58.09 | 0.00 | 2.90 | 9.80 | 0.00 | 
| SD4 | 59.10 | 50.23 | −7.86 000 | 2.50 | 9.07 | −0.73 000 | 
| LSD (p 5%) LSD (p 1%) LSD (p 0.1%) | 1.20 1.65 2.24 | 0.24 0.33 0.45 | ||||
| The genotype | Ear rot incidence | +/− (arcsin√%) | Ear rot severity | +/− (arcsin√%) | ||
| (%) | (arcsin√%) | (%) | (arcsin√%) | |||
| Average | 74.90 | 59.92 | 0.00 | 3.40 | 10.60 | 0.0 | 
| Turda 248 | 79.15 | 62.84 | 2.91 * | 3.45 | 10.70 | 0.10 | 
| Turda 165 | 82.20 | 65.05 | 5.13 *** | 4.70 | 12.50 | 1.90 *** | 
| Turda 201 | 78.60 | 62.41 | 2.49 | 3.55 | 10.83 | 0.23 | 
| Turda Star | 87.05 | 68.92 | 9.00 *** | 3.65 | 10.96 | 0.36 | 
| Turda 332 | 90.15 | 71.73 | 11.81 *** | 4.55 | 12.33 | 1.73 *** | 
| Turda 344 | 65.40 | 53.96 | −5.96 000 | 3.05 | 10.01 | −0.59 0 | 
| Turda 335 | 76.70 | 61.15 | 1.23 | 3.85 | 11.33 | 0.73 ** | 
| Turda 2020 | 73.35 | 58.92 | −1.00 | 2.75 | 9.55 | −1.05 000 | 
| Turda 380 | 56.70 | 48.83 | −11.09 000 | 2.55 | 9.20 | −1.40 000 | 
| Turda 350 | 67.30 | 55.12 | −4.80 00 | 3.20 | 10.31 | −0.28 | 
| HST 149 | 63.70 | 52.93 | −6.99 000 | 2.65 | 9.32 | −1.28 000 | 
| Turda 59 | 70.60 | 57.18 | −2.74 | 3.10 | 10.15 | −0.45 | 
| LSD (p 5%) LSD (p 1%) LSD (p 0.1%) | 2.89 3.81 4.89 | 0.48 0.63 0.81 | ||||
| Climatic Condition | Yield (kg/ha−1) | +/− (kg/ha−1) | Significance | 
|---|---|---|---|
| Average years (control variant) | 8398 | 0.00 | c.v. | 
| 2021 | 9999 | 1601 | *** | 
| 2022 | 6429 | −1969 | 000 | 
| 2023 | 8765 | 367 | ** | 
| LSD (p 5%) LSD (p 1%) LSD (p 0.1%) | 144 239 447 | ||
| Sowing date | Yield (kg/ha−1) | +/− (kg/ha−1) | Significance | 
| SD1 | 8170 | −1210 | 000 | 
| SD2 | 8169 | −602 | 000 | 
| SD3 (control variant) | 8771 | 0.00 | c.v. | 
| SD4 | 9088 | 317 | *** | 
| LSD (p 5%) LSD (p 1%) LSD (p 0.1%) | 133 182 248 | ||
| The genotype | Yield (kg/ha−1) | +/− (kg/ha−1) | Significance | 
| Average | 8398 | 0.00 | c.v. | 
| Turda 248 | 8985 | 587 | *** | 
| Turda 165 | 6617 | −1781 | 000 | 
| Turda 201 | 6705 | −1693 | 000 | 
| Turda Star | 8037 | −361 | 000 | 
| Turda 332 | 8844 | 446 | *** | 
| Turda 344 | 8477 | 77 | - | 
| Turda 335 | 8599 | 202 | - | 
| Turda 2020 | 8877 | 480 | *** | 
| Turda 380 | 8694 | 296 | ** | 
| Turda 350 | 9096 | 699 | *** | 
| HST 149 | 8578 | 181 | - | 
| Turda 59 | 9264 | 867 | *** | 
| LSD (p 5%) LSD (p 1%) LSD (p 0.1%) | 212 279 358 | 
| Variables | Sowing Date | Disease Incidence (%) | Disease Severity (%) | Yield (kg/ha−1/ha) | 
|---|---|---|---|---|
| Sowing date | — | −0.93 * | −0.99 ** | 0.99 ** | 
| Disease incidence (%) | 0.93 * | — | 0.86 * | −0.88 * | 
| Disease severity (%) | −0.99 ** | 0.86 * | — | −0.99 ** | 
| Yield (kg/ha−1/ha) | 0.99 ** | −0.88 * | −0.99 ** | — | 
| Disclaimer/Publisher’s Note: The statements, opinions and data contained in all publications are solely those of the individual author(s) and contributor(s) and not of MDPI and/or the editor(s). MDPI and/or the editor(s) disclaim responsibility for any injury to people or property resulting from any ideas, methods, instructions or products referred to in the content. | 
© 2025 by the authors. Licensee MDPI, Basel, Switzerland. This article is an open access article distributed under the terms and conditions of the Creative Commons Attribution (CC BY) license (https://creativecommons.org/licenses/by/4.0/).
Share and Cite
Șopterean, L.; Șimon, A.; Vălean, A.-M.; Tărău, A.; Varga, A.; Călugăr, R.E.; Russu, F.; Tritean, N.; Suciu, L.; Crișan, V.; et al. The Role of Genotype and Sowing Time in Reducing the Risk of Infection with Fusarium spp. in Maize. Agronomy 2025, 15, 2525. https://doi.org/10.3390/agronomy15112525
Șopterean L, Șimon A, Vălean A-M, Tărău A, Varga A, Călugăr RE, Russu F, Tritean N, Suciu L, Crișan V, et al. The Role of Genotype and Sowing Time in Reducing the Risk of Infection with Fusarium spp. in Maize. Agronomy. 2025; 15(11):2525. https://doi.org/10.3390/agronomy15112525
Chicago/Turabian StyleȘopterean, Laura, Alina Șimon, Ana-Maria Vălean, Adina Tărău, Andrei Varga, Roxana Elena Călugăr, Florin Russu, Nicolae Tritean, Loredana Suciu, Valentin Crișan, and et al. 2025. "The Role of Genotype and Sowing Time in Reducing the Risk of Infection with Fusarium spp. in Maize" Agronomy 15, no. 11: 2525. https://doi.org/10.3390/agronomy15112525
APA StyleȘopterean, L., Șimon, A., Vălean, A.-M., Tărău, A., Varga, A., Călugăr, R. E., Russu, F., Tritean, N., Suciu, L., Crișan, V., & Varo, F. (2025). The Role of Genotype and Sowing Time in Reducing the Risk of Infection with Fusarium spp. in Maize. Agronomy, 15(11), 2525. https://doi.org/10.3390/agronomy15112525
 
        



 
       