Functional Analysis of Key Transporter Genes Involved in Cadmium Uptake and Translocation in Wheat
Abstract
1. Introduction
2. Materials and Methods
2.1. Experimental Materials and Design
2.2. Determination of Cd Content in Wheat
2.3. Determination of Gene Expression
2.4. Determination of Cd Chelators
2.5. Statistical Analysis
3. Results
3.1. Differences in Cd Accumulation and Translocation Among Wheat Varieties
3.2. Expression Differences in NRAMP Family Genes Between High and Low Cd-Accumulating Wheat Varieties
3.3. Expression Differences in HMA Family Genes Between High and Low Cd-Accumulating Wheat Varieties
3.4. Expression Differences in ZIP Family Genes Between High and Low Cd-Accumulating Wheat Varieties
3.5. Expression Differences in YSL Family Genes Between High and Low Cd-Accumulating Wheat Varieties
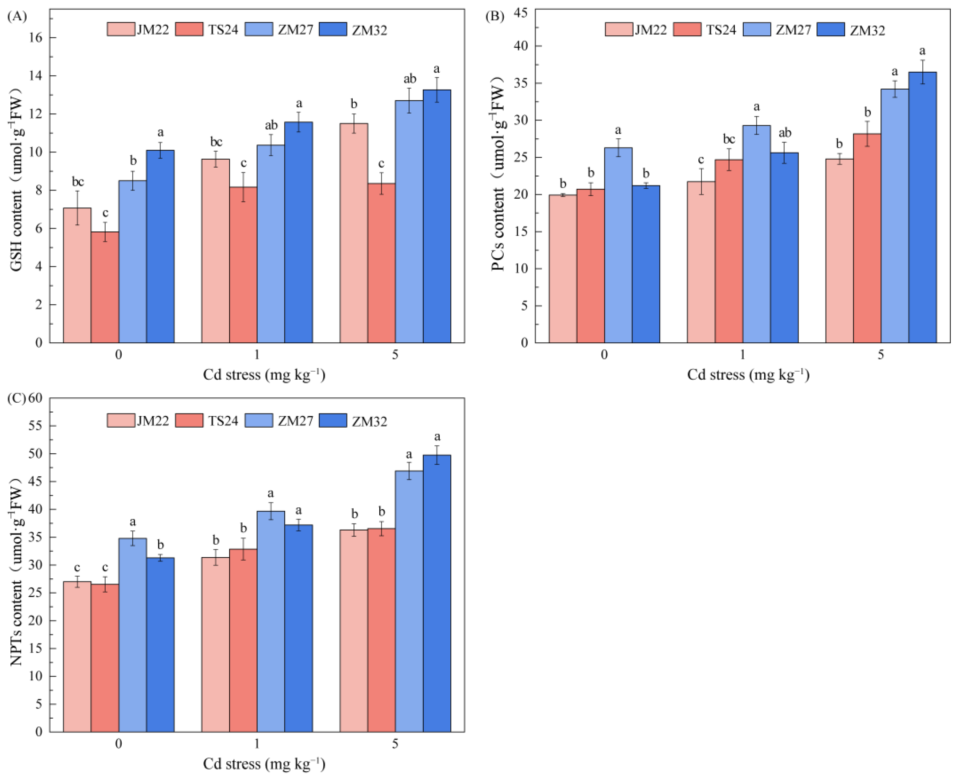
3.6. Differences in Cd Chelators Content Between High and Low Cd-Accumulating Wheat Varieties
3.7. Mantel Test Analysis of Cd Content with Transporters and Cd Chelators
4. Discussion
4.1. The Function of the NRAMP Family in Cd Uptake and Accumulation in Plants
4.2. The Function of the HMA Family in Cd Uptake and Accumulation in Plants
4.3. The Function of the ZIP Family in Cd Uptake and Accumulation in Plants
4.4. The Function of the YSL Family in Cd Uptake and Accumulation in Plants
4.5. The Function of the Cd Chelators in Cd Accumulation and Tolerance
5. Conclusions
Supplementary Materials
Author Contributions
Funding
Data Availability Statement
Acknowledgments
Conflicts of Interest
References
- Huang, X.H.; Li, X.Z.; Zheng, L.P.; Zhang, Y.; Sun, L.; Feng, Y.H.; Du, J.Y.; Lu, X.S.; Wang, G.Q. Comprehensive assessment of health and ecological risk of cadmium in agricultural soils across China: A tiered framework. J. Hazard. Mater. 2024, 465, 133111. [Google Scholar] [CrossRef]
- Naggar, Y.A.; Naiem, E.; Mona, M.; Giesy, J.P.; Seif, A. Metals in agricultural soils and plants in Egypt. Toxicol. Environ. Chem. 2014, 96, 730–742. [Google Scholar] [CrossRef]
- Houessionon, M.G.K.; Ouendo, E.M.D.; Bouland, C.; Takyi, S.A.; Kedote, N.M.; Fayomi, B.; Fobil, J.N.; Basu, N. Environmental heavy metal contamination from Electronic Waste (e-waste) recycling activities worldwide: A systematic review from 2005 to 2017. Int. J. Environ. Res. Public Health 2021, 18, 3517. [Google Scholar] [CrossRef] [PubMed]
- Zakaria, Z.; Zulkafflee, N.S.; Redzuan, N.A.M.; Selamat, J.; Ismail, M.R.; Praveena, S.M.; Tóth, G.; Razis, A.F.A. Understanding potential heavy metal contamination, absorption, translocation and accumulation in rice and human health risks. Plants 2021, 10, 1070. [Google Scholar] [CrossRef]
- Rahman, S.U.; Han, J.C.; Ahmad, M.; Gao, S.; Khan, K.A.; Li, B.; Zhou, Y.; Zhao, X.; Huang, Y.F. Toxic effects of lead (Pb), cadmium (Cd) and tetracycline (TC) on the growth and development of Triticum aestivum: A meta-analysis. Sci. Total Environ. 2023, 904, 166677. [Google Scholar] [CrossRef] [PubMed]
- Luo, L.; Ma, Y.B.; Zhang, S.Z.; Wei, D.P.; Zhu, Y.G. An inventory of trace element inputs to agricultural soils in China. J. Environ. Manag. 2009, 90, 2524–2530. [Google Scholar] [CrossRef]
- Hussain, B.; Ashraf, M.N.; Rahman, S.U.; Abbas, A.; Li, J.M.; Farooq, M. Cadmium stress in paddy fields: Effects of soil conditions and remediation strategies. Sci. Total Environ. 2021, 754, 142188. [Google Scholar] [CrossRef]
- Su, C.; Jiang, L.Q.; Zhang, W.J. A review on heavy metal contamination in the soil worldwide: Situation, impact and remediation techniques. Environ. Skept. Crit. 2014, 3, 24. [Google Scholar]
- Zhao, F.J.; Ma, Y.B.; Zhu, Y.G.; Tang, Z.; McGrath, S.P. Soil contamination in China: Current status and mitigation strategies. Environ. Sci. Technol. 2015, 49, 750–759. [Google Scholar] [CrossRef]
- Li, X.F.; Zhou, D.M. A meta-analysis on phenotypic variation in cadmium accumulation of rice and wheat: Implications for food cadmium risk control. Pedosphere 2019, 29, 545–553. [Google Scholar] [CrossRef]
- Hou, D.Y.; Jia, X.Y.; Wang, L.W.; McGrath, S.P.; Zhu, Y.G.; Hu, Q.; Zhao, F.J.; Bank, M.S.; O’Connor, D.; Nriagu, J. Global soil pollution by toxic metals threatens agriculture and human health. Science 2025, 388, 316–321. [Google Scholar] [CrossRef] [PubMed]
- Xu, J.h.; Hu, C.Y.; Wang, M.L.; Zhao, Z.S.; Zhao, X.X.; Cao, L.; Lu, Y.F.; Cai, X.Y. Changeable effects of coexisting heavy metals on transfer of cadmium from soils to wheat grains. J. Hazard. Mater. 2022, 423, 127182. [Google Scholar] [CrossRef]
- Ma, J.F.; Shen, R.F.; Shao, J.F. Transport of cadmium from soil to grain in cereal crops: A review. Pedosphere 2021, 31, 3–10. [Google Scholar] [CrossRef]
- Li, X.F. Technical solutions for the safe utilization of heavy metal-contaminated farmland in China: A critical review. Land Degrad. Dev. 2019, 30, 1773–1784. [Google Scholar] [CrossRef]
- Li, H.; Luo, N.; Li, Y.W.; Cai, Q.Y.; Li, H.Y.; Mo, C.H.; Wong, M.H. Cadmium in rice: Transport mechanisms, influencing factors, and minimizing measures. Environ. Pollut. 2017, 224, 622–630. [Google Scholar] [CrossRef]
- You, Y.; Wang, Y.; Zhang, S.Y.; Sun, X.H.; Liu, H.J.; Guo, Y.T.; Du, S.T. Different pathways for exogenous ABA-mediated down-regulation of cadmium accumulation in plants under different iron supplies. J. Hazard. Mater. 2022, 440, 129769. [Google Scholar] [CrossRef]
- Chen, G.; Du, R.Y.; Wang, X. Genetic regulation mechanism of cadmium accumulation and its utilization in rice breeding. Int. J. Mol. Sci. 2023, 24, 1247. [Google Scholar] [CrossRef]
- Wang, Y.; Huang, X.Y.; Li, X.; Lu, Q.; Wu, T.; Shao, M.H.; Liu, Y.L.; Chen, X.; Chen, Y.H.; Peng, K.J. The plasma membrane-localized transporter VrNramp5 of Vigna radiata L. governs cadmium tolerance and accumulation in Arabidopsis thaliana. Environ. Exp. Bot. 2024, 220, 105712. [Google Scholar] [CrossRef]
- Liu, N.; Huang, X.M.; Sun, L.M.; Li, S.S.; Chen, Y.H.; Cao, X.Y.; Wang, W.X.; Dai, J.L.; Rinnan, R. Screening stably low cadmium and moderately high micronutrients wheat cultivars under three different agricultural environments of China. Chemosphere 2020, 241, 125065. [Google Scholar] [CrossRef] [PubMed]
- Hu, P.J.; Tu, F.; Simin, L.; Pan, Y.J.; Kong, C.; Zhang, X.M.; Wang, S.H.; Sun, Y.Q.; Qiu, D.; Wu, L.H.; et al. Low-Cd wheat varieties and soil Cd safety thresholds for local soil health management in south Jiangsu province, east China. Agric. Ecosyst. Environ. 2023, 341, 108211. [Google Scholar] [CrossRef]
- Liu, N.; Miao, Y.J.; Zhou, X.X.; Gan, Y.D.; Liu, S.W.; Wang, W.X.; Dai, J.L. Roles of rhizospheric organic acids and microorganisms in mercury accumulation and translocation to different winter wheat cultivars. Agric. Ecosyst. Environ. 2018, 258, 104–112. [Google Scholar] [CrossRef]
- Liu, N.; Liu, Q.; Min, J.M.; Zhang, S.J.; Li, S.S.; Chen, Y.H.; Dai, J.L. Specific bacterial communities in the rhizosphere of low-cadmium and high-zinc wheat (Triticum aestivum L.). Sci. Total Environ. 2022, 838, 156484. [Google Scholar] [CrossRef] [PubMed]
- Pilon, M.; Cohu, C.M.; Ravet, K.; Abdel-Ghany, S.E.; Gaymard, F. Essential transition metal homeostasis in plants. Curr. Opin. Plant Biol. 2009, 12, 347–357. [Google Scholar] [CrossRef]
- Clemens, S.; Ma, J.F. Toxic heavy metal and metalloid accumulation in crop plants and foods. Annu. Rev. Plant Biol. 2016, 67, 489–512. [Google Scholar] [CrossRef] [PubMed]
- Nevo, Y.; Nelson, N. The NRAMP family of metal-ion transporters. Biochim. Biophys. Acta (BBA)-Mol. Cell Res. 2006, 1763, 609–620. [Google Scholar] [CrossRef]
- Ishimaru, Y.; Takahashi, R.; Bashir, K.; Shimo, H.; Senoura, T.; Sugimoto, K.; Ono, K.; Yano, M.; Ishikawa, S.; Arao, T.; et al. Characterizing the role of rice NRAMP5 in manganese, iron and cadmium transport. Sci. Rep. 2012, 2, 286. [Google Scholar] [CrossRef]
- Tian, W.J.; He, G.D.; Qin, L.J.; Li, D.D.; Meng, L.L.; Huang, Y.; He, T.B. Genome-wide analysis of the NRAMP gene family in potato (Solanum tuberosum): Identification, expression analysis and response to five heavy metals stress. Ecotoxicol. Environ. Saf. 2021, 208, 111661. [Google Scholar] [CrossRef]
- Tang, Z.; Cai, H.L.; Li, J.; Lv, Y.L.; Zhang, W.W.; Zhao, F.J. Allelic variation of NtNramp5 associated with cultivar variation in cadmium accumulation in tobacco. Plant Cell Physiol. 2017, 58, 1583–1593. [Google Scholar] [CrossRef] [PubMed]
- Zhang, J.S.; Zhang, X.L.; Jia, M.G.; Fu, Q.; Guo, Y.S.; Wang, Z.H.; Kong, D.J.; Lin, Y.C.; Zhao, D.G. Two novel transporters NtNRAMP6a and NtNRAMP6b are involved in cadmium transport in tobacco (Nicotiana tabacum L.). Plant Physiol. Biochem. 2023, 202, 107953. [Google Scholar] [CrossRef]
- Ryuichi, T.; Yasuhiro, I.; Takeshi, S.; Hugo, S.; Satoru, I.; Tomohito, A.; Hiromi, N.; Nishizawa, N.K. The OsNRAMP1 iron transporter is involved in Cd accumulation in rice. J. Exp. Bot. 2011, 62, 4843–4850. [Google Scholar] [CrossRef]
- Tang, L.; Dong, J.Y.; Qu, M.M.; Lv, Q.M.; Zhang, L.P.; Peng, C.; Hu, Y.Y.; Li, Y.K.; Ji, Z.Y.; Mao, B.G.; et al. Knockout of OsNRAMP5 enhances rice tolerance to cadmium toxicity in response to varying external cadmium concentrations via distinct mechanisms. Sci. Total Environ. 2022, 832, 155006. [Google Scholar] [CrossRef]
- Liu, W.H.; Huo, C.S.; He, L.S.; Ji, X.; Yu, T.; Yuan, J.W.; Zhou, Z.Y.; Song, L.R.; Yu, Q.; Chen, J.; et al. The NtNRAMP1 transporter is involved in cadmium and iron transport in tobacco (Nicotiana tabacum). Plant Physiol. Biochem. 2022, 173, 59–67. [Google Scholar] [CrossRef]
- Tan, L.T.; Zhu, Y.X.; Fan, T.; Peng, C.; Wang, J.R.; Sun, L.; Chen, C.Y. OsZIP7 functions in xylem loading in roots and inter-vascular transfer in nodes to deliver Zn/Cd to grain in rice. Biochem. Biophys. Res. Commun. 2019, 512, 112–118. [Google Scholar] [CrossRef]
- Zhao, F.J.; Tang, Z.; Song, J.J.; Huang, X.Y.; Wang, P. Toxic metals and metalloids: Uptake, transport, detoxification, phytoremediation, and crop improvement for safer food. Mol. Plant 2022, 15, 27–44. [Google Scholar] [CrossRef]
- Cheng, J.H.; Zhang, S.; Yi, Y.; Qin, Y.; Chen, Z.H.; Deng, F.L.; Zeng, F.R. Hydrogen peroxide reduces root cadmium uptake but facilitates root-to-shoot cadmium translocation in rice through modulating cadmium transporters. Plant Physiol. Biochem. 2023, 200, 107754. [Google Scholar] [CrossRef]
- Jiang, Y.; Han, J.H.; Xue, W.X.; Wang, J.Y.; Wang, B.H.; Liu, L.J.; Zou, J.H. Overexpression of SmZIP plays important roles in Cd accumulation and translocation, subcellular distribution, and chemical forms in transgenic tobacco under Cd stress. Ecotoxicol. Environ. Saf. 2021, 214, 112097. [Google Scholar] [CrossRef] [PubMed]
- Tao, J.Y.; Lu, L.L. Advances in genes-encoding transporters for cadmium uptake, translocation, and accumulation in plants. Toxics 2022, 10, 411. [Google Scholar] [CrossRef] [PubMed]
- Huang, B.F.; Liao, Q.; Fu, H.L.; Ye, Z.Y.; Mao, Y.X.; Luo, J.M.; Wang, Y.T.; Yuan, H.W.; Xin, J.L. Effect of potassium intake on cadmium transporters and root cell wall biosynthesis in sweet potato. Ecotoxicol. Environ. Saf. 2023, 250, 114501. [Google Scholar] [CrossRef] [PubMed]
- Li, J.N.; Wang, Y.R.; Zheng, L.; Li, Y.; Zhou, X.L.; Li, J.J.; Gu, D.F.; Xu, J.W.; Lu, Y.P.; Chen, X.; et al. The intracellular transporter AtNRAMP6 is involved in Fe homeostasis in Arabidopsis. Plant Sci. 2019, 10, 1124. [Google Scholar] [CrossRef]
- Wang, X.J. Study on the Differences of Cadmium Absorption and Transport Among Wheat Varieties. Master’s Thesis, Henan Agricultural University, Zhengzhou, China, 2020. [Google Scholar]
- Lu, Y.; Li, T.; Li, R.J.; Zhang, P.; Li, X.X.; Bai, Z.Q.; Wu, J.W. Role of SbNRT1.1B in cadmium accumulation is attributed to nitrate uptake and glutathione-dependent phytochelatins biosynthesis. J. Hazard. Mater. 2024, 479, 135655. [Google Scholar] [CrossRef]
- Han, M.; Feng, J.H.; Zhai, Y.J.; Si, Y.J.; Liu, X.N.; Han, Y.R.; Hu, J.H.; Su, T.; Cao, F.L. Promoted metabolic remolding by overexpression of AspAT9 ameliorates cadmium toxicity in Arabidopsis. J. Hazard. Mater. 2025, 483, 136688. [Google Scholar] [CrossRef]
- Li, D.Q.; Wang, L.L.; Li, Z.M.; Li, H.S.; Chen, G.K. Effect of cadmium stress on non-protein thiols in the seedlings of high- and low-cadmium-accumulating rice cultivars. Agro-Environ. Sci. 2019, 38, 2697–2704. [Google Scholar] [CrossRef]
- Chang, J.D.; Gao, W.P.; Wang, P.; Zhao, F.J. OsNRAMP5 is a major transporter for lead uptake in rice. Environ. Sci. Technol. 2022, 56, 17481–17490. [Google Scholar] [CrossRef]
- Cailliatte, R.; Lapeyre, B.; Briat, J.F.; Mari, S.; Curie, C. The NRAMP6 metal transporter contributes to cadmium toxicity. Biochem. J. 2009, 422, 217–228. [Google Scholar] [CrossRef]
- Chen, S.S.; Han, X.J.; Fang, J.; Lu, Z.T.; Qiu, W.M.; Liu, M.Y.; Sang, J.; Jiang, J.; Zhuo, R.Y. Sedum alfredii SaNramp6 metal transporter contributes to cadmium accumulation in transgenic Arabidopsis thaliana. Sci. Rep. 2017, 7, 13318. [Google Scholar] [CrossRef] [PubMed]
- Peng, F.; Wang, C.; Zhu, J.S.; Zeng, J.; Kang, H.Y.; Fan, X.; Sha, L.; Zhang, H.Q.; Zhou, Y.H.; Wang, Y. Expression of TpNRAMP5, a metal transporter from Polish wheat (Triticum polonicum L.), enhances the accumulation of Cd, Co and Mn in transgenic Arabidopsis plants. Planta 2018, 247, 1395–1406. [Google Scholar] [CrossRef]
- Wu, D.Z.; Yamaji, N.; Yamane, M.; Kashino, F.M.; Sato, K.; Ma, J.F. The HvNramp5 transporter mediates uptake of cadmium and manganese, but not iron. Plant Physiol. 2016, 172, 1899–1910. [Google Scholar] [CrossRef]
- Sasaki, A.; Yamaji, N.; Yokosho, K.; Ma, J.F. Nramp5 is a major transporter responsible for manganese and cadmium uptake in rice. Plant Cell 2012, 24, 2155–2167. [Google Scholar] [CrossRef] [PubMed]
- Wang, Q.; Li, Y.N.; Wang, Y.X.; Zhang, M.J.; Lv, Y.H.; Zhang, H.B.; Liu, N.; Cheng, H.Y. Integrative proteomic and physiological analyses reveal differential responses between high- and low-Cd-accumulating wheat under Cd stress. Ecotoxicol. Environ. Saf. 2025, 302, 118662. [Google Scholar] [CrossRef]
- Liu, T.; Luo, T.; Guo, X.J.; Zou, X.; Zhou, D.H.; Sadia, A.; Gui, L.; Zhang, Y.; Zhang, R.; Luo, Z.Y. PgMYB2, a MeJA-responsive transcription factor, positively regulates the dammarenediol synthase gene expression in Panax Ginseng. Int. J. Mol. Sci. 2019, 20, 2219. [Google Scholar] [CrossRef] [PubMed]
- Ueno, D.; Yamaji, N.; Kono, I.; Chao, F.H.; Ando, T.; Yano, M.; Ma, J.F. Gene limiting cadmium accumulation in rice. Natl. Acad. Sci. USA 2010, 107, 16500–16505. [Google Scholar] [CrossRef] [PubMed]
- Satoh, N.N.; Mori, M.; Nakazawa, N.; Kawamoto, T.; Nagato, Y.; Sakurai, K.; Takahashi, H.; Watanabe, A.; Akagi, H. Mutations in rice (Oryza sativa) heavy metal ATPase 2 (OsHMA2) restrict the translocation of zinc and cadmium. Plant Cell Physiol. 2012, 53, 213–224. [Google Scholar] [CrossRef] [PubMed]
- Yamaji, N.; Xia, J.X.; Mitani, U.N.; Yokosho, L.; Ma, J.F. Preferential delivery of zinc to developing tissues in rice is mediated by P-type heavy metal ATPase OsHMA2. Plant Physiol. 2013, 162, 927–939. [Google Scholar] [CrossRef] [PubMed]
- Wu, D.Z.; Sato, K.; Ma, J.F. Genome-wide association mapping of cadmium accumulation in different organs of barley. New Phytol. 2015, 208, 817–829. [Google Scholar] [CrossRef]
- Zhao, X.W.; Luo, L.X.; Cao, Y.H.; Liu, Y.J.; Li, Y.H.; Wu, W.M.; Lan, Y.Z.; Jiang, Y.W.; Gao, S.B.; Zhang, Z.M.; et al. Genome-wide association analysis and QTL mapping reveal the genetic control of cadmium accumulation in maize leaf. BMC Genom. 2018, 19, 91. [Google Scholar] [CrossRef]
- Zhou, M.; Zheng, S.G.; Liu, R.; Lu, L.; Zhang, Z.H.; Zhang, L.; Levi, Y.; Wu, Y. The genome-wide impact of cadmium on microRNA and mRNA expression in contrasting Cd responsive wheat genotypes. BMC Genom. 2019, 20, 615. [Google Scholar] [CrossRef]
- Sasaki, A.; Yamaji, N.; Ma, J.F. Overexpression of OsHMA3 enhances Cd tolerance and expression of Zn transporter genes in rice. J. Exp. Bot. 2014, 65, 6013–6021. [Google Scholar] [CrossRef]
- Lu, C.N.; Zhang, L.X.; Tang, Z.; Huang, X.Y.; Ma, J.F.; Zhao, F.J. Producing cadmium-free Indica rice by overexpressing OsHMA3. Environ. Int. 2019, 126, 619–626. [Google Scholar] [CrossRef]
- Lei, G.J.; Fujii-Kashino, M.; Wu, D.Z.; Hisano, H.; Saisho, D.; Deng, F.; Yamaji, N.; Sato, K.; Zhao, F.J. Breeding for low cadmium barley by introgression of a Sukkula-like transposable element. Nat. Food 2020, 1, 489–499. [Google Scholar] [CrossRef]
- Zhang, L.X.; Gao, C.; Chen, C.; Zhang, W.; Huang, X.Y.; Zhao, F.J. Overexpression of rice OsHMA3 in wheat greatly decreases cadmium accumulation in wheat grain. Environ. Sci. Technol. 2020, 54, 10100–10108. [Google Scholar] [CrossRef]
- Yamazaki, S.; Ueda, Y.; Mukai, A.; Ochiai, K.; Matoh, T. Rice phytochelatin synthases OsPCS1 and OsPCS2 make different contributions to cadmium and arsenic tolerance. Plant Direct 2018, 2, e00034. [Google Scholar] [CrossRef] [PubMed]
- Zheng, X.; Chen, L.; Li, X.F. Arabidopsis and rice showed a distinct pattern in ZIPs genes expression profile in response to Cd stress. Bot. Stud. 2018, 59, 22. [Google Scholar] [CrossRef]
- Viehweger, K. How plants cope with heavy metals. Bot. Stud. 2014, 55, 35. [Google Scholar] [CrossRef] [PubMed]
- Swamy, B.P.M.; Descalsota, G.I.L.; Nha, C.T.; Amparado, A.; Inabangan-Asilo, M.A.; Manito, C.; Tesoro, F.; Reinke, R. Identification of genomic regions associated with agronomic and biofortification traits in DH populations of rice. PLoS ONE 2018, 13, e0201756. [Google Scholar] [CrossRef]
- Evens, N.P.; Buchner, P.; Williams, L.E.; Hawkesford, M.J. The role of ZIP transporters and group F bZIP transcription factors in the Zn-deficiency response of wheat (Triticum aestivum). Plant J. 2017, 92, 291–304. [Google Scholar] [CrossRef]
- Mao, H.D.; Yu, L.J.; Li, Z.J.; Liu, H.; Han, R. Molecular evolution and gene expression differences within the HD-Zip transcription factor family of Zea mays L. Genetica 2016, 144, 243–257. [Google Scholar] [CrossRef]
- Astudillo, C.; Fernandez, A.C.; Blair, M.W.; Cichy, K.A. The Phaseolus vulgaris ZIP gene family: Identification, characterization, mapping, and gene expression. Front. Plant Sci. 2013, 4, 286. [Google Scholar] [CrossRef] [PubMed]
- Wu, X.; Chen, J.H.; Yue, X.M.; Wei, X.N.; Zou, J.W.; Chen, Y.H.; Su, N.N.; Cui, J. The zinc-regulated protein (ZIP) family genes and glutathione s-transferase (GST) family genes play roles in Cd resistance and accumulation of pakchoi (Brassica campestris ssp. chinensis). Ecotoxicol. Environ. Saf. 2019, 183, 109571. [Google Scholar] [CrossRef]
- Zou, J.H.; Wang, G.; Ji, J.; Wang, J.Y.; Wu, H.F.; Ou, Y.J.; Li, B.B. Transcriptional, physiological and cytological analysis validated the roles of some key genes linked Cd stress in Salix matsudana Koidz. Environ. Exp. Bot. 2017, 134, 116–129. [Google Scholar] [CrossRef]
- Zhang, X.X.; Li, X.; Tang, L.; Peng, Y.Z.; Qian, M.; Guo, Y.F.; Rui, H.Y.; Zhang, F.Q.; Hu, Z.B.; Chen, Y.H.; et al. The root iron transporter 1 governs cadmium uptake in Vicia sativa roots. J. Hazard. Mater. 2020, 398, 122873. [Google Scholar] [CrossRef]
- Plaza, S.; Tearall, K.L.; Zhao, F.J.; Buchner, P.; McGrath, S.P.; Hawkesford, M.J. Expression and functional analysis of metal transporter genes in two contrasting ecotypes of the hyperaccumulator Thlaspi caerulescens. J. Exp. Bot. 2007, 58, 1717–1728. [Google Scholar] [CrossRef]
- Curie, C.; Panaviene, Z.; Loulergue, C.; Dellaporta, S.L.; Briat, J.F.; Walker, E.L. Maize yellow stripe1 encodes a membrane protein directly involved in Fe (III) uptake. Nature 2001, 409, 346–349. [Google Scholar] [CrossRef] [PubMed]
- Aoyama, T.; Kobayashi, T.; Takahashi, M.; Nagasaka, S.; Usuda, K.; Kakei, Y.; Ishimaru, Y.; Nakanishi, H.; Mori, S.; Nishizawa, N.K. OsYSL18 is a rice iron (III)–deoxymugineic acid transporter specifically expressed in reproductive organs and phloem of lamina joints. Plant Mol. Biol. 2009, 70, 681–692. [Google Scholar] [CrossRef] [PubMed]
- Curie, C.; Cassin, G.; Couch, D.; Divol, F.; Higuchi, K.; Jean, M.L.; Misson, J.; Schikora, A.; Czernic, P.; Mari, S. Metal movement within the plant: Contribution of nicotianamine and yellow stripe 1-like transporters. Ann. Bot. 2009, 103, 1–11. [Google Scholar] [CrossRef] [PubMed]
- Murata, Y.; Ma, J.F.; Yamaji, N.; Ueno, D.; Nomoto, K.; Iwashita, T. A specific transporter for iron (III)–phytosiderophore in barley roots. Plant J. 2006, 46, 563–572. [Google Scholar] [CrossRef]
- Gendre, D.; Czernic, P.; Conéjéro, G.; Pianelli, K.; Briat, J.F.; Lebrun, M.; Mari, S. TcYSL3, a member of the YSL gene family from the hyper-accumulator Thlaspi caerulescens, encodes a nicotianamine-Ni/Fe transporter. Plant J. 2007, 49, 1–15. [Google Scholar] [CrossRef]
- Sasaki, A.; Yamaji, N.; Xia, J.; Ma, J.F. OsYSL6 is involved in the detoxification of excess manganese in rice. Plant Physiol. 2011, 157, 1832–1840. [Google Scholar] [CrossRef]
- Bari, M.A.; El-Shehawi, A.M.; Elseehy, M.M.; Naheen, N.N.; Rahman, M.M.; Kabir, A.H. Molecular characterization and bioinformatics analysis of transporter genes associated with Cd-induced phytotoxicity in rice (Oryza sativa L.). Plant Physiol. Biochem. 2021, 167, 438–448. [Google Scholar] [CrossRef]
- Wang, Y.X.; Yu, T.F.; Wang, C.X.; Wei, J.T.; Zhang, S.X.; Liu, Y.W.; Chen, J.; Zhou, Y.B.; Chen, M.; Ma, Y.Z.; et al. Heat shock protein TaHSP17.4, a TaHOP interactor in wheat, improves plant stress tolerance. Int. J. Biol. Macromol. 2023, 246, 125694. [Google Scholar] [CrossRef]
- Ren, P.Q.; Zhou, B.B.; Bi, Y.P.; Chen, X.P.; Yao, S.X.; Yang, X.L. Bacillus subtilis can promote cotton phenotype, yield, nutrient uptake and water use efficiency under drought stress by optimizing rhizosphere microbial community in arid area. Ind. Crops Prod. 2025, 227, 120784. [Google Scholar] [CrossRef]
- Abubakar, S.A.; Wu, Y.M.; Chen, F.M.; Zhu, A.G.; Chen, P.; Chen, K.M.; Qiu, X.J.; Huang, X.Y.; Zhao, H.H.; Chen, J.K.; et al. Comprehensive analysis of WUSCEL-related homeobox gene family in Ramie (Boehmeria nivea) indicates its potential role in adventitious root development. Biology 2023, 12, 1475. [Google Scholar] [CrossRef] [PubMed]







| Gene | Sequence (5′ ⟶ 3′) | Reference |
|---|---|---|
| TaNRAMP5-F | TCTGGGTGATTCTGATTGGC | [40] |
| TaNRAMP5-R | CGGCTTTGGATACTCGGTC | |
| TaNRAMP6-F | ATGTTGCCATTGTATCACTCTCTG | [40] |
| TaNRAMP6-R | TTCTTGAATAGTACGGATGCTGAC | |
| TaHMA2-F | GGGCATCCGCTTATTTGG | [40] |
| TaHMA2-R | TTCCACTGCCTTTCTCCCTC | |
| TaHMA3-F | GGGATGTCGTCGTTGATGAG | [40] |
| TaHMA3-R | ACCGTCCAAGTTGAGCGTG | |
| TaZIP5-F | AAGTTCAAGGCTAGGTCCATCGT | Genebank accession no. DQ490132.1 |
| TaZIP5-R | TCTTGTTGTACACCCGTGATATGC | |
| TaZIP6-F | GTCATCATCTCTGAAACTGAAGAAGG | [40] |
| TaZIP6-R | CCCTCTATACATTTCACTATGRCC | |
| TaYSL1-F | CCTGACACTCACCTCACCAC | Genebank accession no. XM_044500292.1 |
| TaYSL1-R | CTTAAAACTGCGAGCCCACG | |
| TaYSL6-F | TCGCCTTCTGCAACTCATACAA | Genebank accession no. XM_044598002.1 |
| TaYSL6-R | CTAAGCCTGCAATCACACCAC |
Disclaimer/Publisher’s Note: The statements, opinions and data contained in all publications are solely those of the individual author(s) and contributor(s) and not of MDPI and/or the editor(s). MDPI and/or the editor(s) disclaim responsibility for any injury to people or property resulting from any ideas, methods, instructions or products referred to in the content. |
© 2025 by the authors. Licensee MDPI, Basel, Switzerland. This article is an open access article distributed under the terms and conditions of the Creative Commons Attribution (CC BY) license (https://creativecommons.org/licenses/by/4.0/).
Share and Cite
Liu, N.; Yang, C.; Wang, Y.; Lv, Y.; Wang, Y.; Wang, Q.; Li, Y.; Chen, Y.; Zhang, H.; Cheng, H.; et al. Functional Analysis of Key Transporter Genes Involved in Cadmium Uptake and Translocation in Wheat. Agronomy 2025, 15, 2515. https://doi.org/10.3390/agronomy15112515
Liu N, Yang C, Wang Y, Lv Y, Wang Y, Wang Q, Li Y, Chen Y, Zhang H, Cheng H, et al. Functional Analysis of Key Transporter Genes Involved in Cadmium Uptake and Translocation in Wheat. Agronomy. 2025; 15(11):2515. https://doi.org/10.3390/agronomy15112515
Chicago/Turabian StyleLiu, Na, Chaodong Yang, Yi Wang, Yonghui Lv, Yixiu Wang, Qing Wang, Yuenan Li, Yuanyuan Chen, Haibo Zhang, Hongyan Cheng, and et al. 2025. "Functional Analysis of Key Transporter Genes Involved in Cadmium Uptake and Translocation in Wheat" Agronomy 15, no. 11: 2515. https://doi.org/10.3390/agronomy15112515
APA StyleLiu, N., Yang, C., Wang, Y., Lv, Y., Wang, Y., Wang, Q., Li, Y., Chen, Y., Zhang, H., Cheng, H., & Dai, J. (2025). Functional Analysis of Key Transporter Genes Involved in Cadmium Uptake and Translocation in Wheat. Agronomy, 15(11), 2515. https://doi.org/10.3390/agronomy15112515
